Next Article in Journal
Coexistence between Xylella fastidiosa Subsp. pauca and Susceptible Olive Plants in the Salento Peninsula (Southern Italy)
Previous Article in Journal
Field Evaluation of Urea Fertilizers Enhanced by Biological Inhibitors or Dual Coating
 
 
Font Type:
Arial Georgia Verdana
Font Size:
Aa Aa Aa
Line Spacing:
Column Width:
Background:
Article

Responses of Water and Fertilizer Utilization Efficiency and Yield of Cotton to Foliar Biostimulant under Irrigation with Magnetic–Electric-Activated Water

State Key Laboratory of Eco-Hydraulics in Northwest Arid Region of China, Xi’an University of Technology, Xi’an 710048, China
*
Authors to whom correspondence should be addressed.
Agronomy 2024, 14(9), 2117; https://doi.org/10.3390/agronomy14092117
Submission received: 25 August 2024 / Revised: 10 September 2024 / Accepted: 16 September 2024 / Published: 17 September 2024
(This article belongs to the Section Plant-Crop Biology and Biochemistry)

Abstract

The foliar application of biostimulants at specific concentrations under magnetic–electric water irrigation has a positive effect on water and fertilizer use efficiency and yield of cotton, which is crucial for green and sustainable agricultural development. As a new type of fertilizer, biostimulants have demonstrated remarkable effects in improving crop yield and quality by enhancing nutrient uptake, promoting plant growth, and increasing resilience to environmental stress. In this study, the effects of magnetic–electric-activated water irrigation and foliar biostimulant application on cotton growth and yield were investigated, with the aim of understanding the underlying mechanisms. The field experiment included various irrigation treatments (brackish water, fresh water, magnetic–electric brackish water, and magnetic–electric fresh water) and biostimulant concentrations (1600, 1200, 800, 400 times dilution, and no spraying). SEM analysis indicated that under magnetoelectric water irrigation, the foliar application of biostimulants enhances physiological growth of cotton, improving the water and nutrient uptake efficiency, and thereby increasing yield. Specifically, the effective boll number and single boll weight under magnetic–electric fresh water irrigation with an 800 times biostimulant concentration increased by 21.84–48.78% and 5.50–18.91%, respectively, compared to the no-spraying treatment. The seed cotton yield rose by 16.61–38.63%, water-use efficiency improved by 24.35%, the harvest index reached 0.33, and nitrogen absorption increased by 76.21%. Thus, integrating magnetic–electric water irrigation with foliar biostimulants offers a theoretical and technical foundation for advancing green, high-quality agriculture and sustainable production.

1. Introduction

There is a shortage of water resources in the northwest arid regions of China; therefore, improving irrigation water efficiency is important for realizing efficient agricultural water use. Advances in the treatment of agricultural irrigation water, such as magnetization and ionization, can change the activity of the water, forming activated water, and thereby increasing its solubility and reaction rate. As an efficient and environmentally friendly irrigation method, activated water technology provides a green and sustainable method for improving the quality of irrigation water and has been extensively studied and observed in agricultural production [1,2,3].
The existing studies have identified that the magnetic field affects the hydrophilicity/hydrophobicity of water to materials, the degree of infiltration, electrical conductivity, and many other properties [4]. The liquid water passes vertically through the magnetic field at a certain flow rate, and the hydrogen bond between the water molecules is weakened with the effect of the magnetic field force [5]. As the surface tension coefficient increases, the degree of polymerization decreases [6], and there is a concomitant increase in the hydration ability between ions and the electrical conductivity [7], thereby converting ordinary water into magnetized water [8,9]. The ionized water occurs when water flows through an ionizing device installed in the water inlet pipe of the irrigation system. Through the improvements in soil water retention and enhancements of the salt leaching effect, magnetization or ionization treatment is helpful in improving the soil water holding capacity, reducing salt concentrations, and has a better growth promotion effect on different crops. For example, Sun Yan et al. [10] showed that brackish water irrigation with activation treatment could more effectively improve the bacterial community structure in rhizosphere soil than traditional brackish water irrigation, and significantly reduce the salt accumulation in rhizosphere soil during cotton maturation. Zhao’s research [11] showed that ionized water irrigation is conducive to the absorption of soil water by crops, which, in turn, optimizes both crop growth and growth parameters. Under saline soil conditions, ionized water irrigation can increase the root length density of wheat by 67.6% and effectively reduce the accumulation of salt in the soil. Ionized water can also alleviate the adverse effects of salt and alkaline conditions on crop growth; in the study of Guo et al. [12], it was proved that magnetized brackish water could improve the effect of soil salt leaching and promote the growth of the salt-growing crop, haloxel seedlings, in arid areas. The fresh weight (156.3 g) and dry weight (42.1 g) of tomato crops were both significantly increased, and the fruit yield of the plants irrigated with magnetically treated water (989 g/plant) was significantly higher than that of plants irrigated with untreated water (710 g/plant) [13].
However, the activity efficiency of irrigation water under a single magnetization or ionization is short, and the effect is limited. The application of magnetic–electric activation technology provides a new idea for the development of irrigation water activation technology. When a body of water is simultaneously magnetized and ionized to improve its activity, it is termed magnetically and electrically activated water. Jiang et al. [14] found that magnetic–electric-activated water irrigation increased the soil moisture content, reduced salt accumulation in the 0–40 cm soil layer, and improved soil conditions for cotton growth. Compared with untreated irrigation water, the plant height, leaf area index, dry matter accumulation, and chlorophyll content of cotton were significantly improved using the magnetic–electric-activated water irrigation treatment, and the yield and water-use efficiency of seed cotton were also significantly improved. Lin Shudong [15] experimentally found that magnetic–electric brackish water irrigation significantly promoted the growth of Chinese cabbage, and the results were superior to traditional brackish water irrigation. In addition, combined with the use of organic fertilizers, the magnetic–electric brackish water can significantly increase the content of alkali-hydrolyzed nitrogen and organic matter in the soil and improve soil quality.
The excessive application of chemical fertilizers also leads to a series of negative effects, such as environmental pollution, water eutrophication, and soil compaction [16]. In this context, crop biostimulants are considered a potential new method for stimulating plant growth and improving crop productivity under abiotic stress, owing to their advantages such as environmental friendliness, rapid effects, low cost, and as a result have been rapidly adopted in agricultural production [17,18]. The development and application of biostimulants have opened a new path for improving the safety and sustainability of agricultural products and have been widely employed in agricultural production. Biostimulants can improve plant nutrient use efficiency, enhance the adaptability to environmental stress, improve crop quality, and enhance the availability of restricted nutrients in the soil and rhizosphere, emphasizing the role of materials containing specific substances or microorganisms in promoting the natural growth of plants [19,20]. The study results of Shi [21] showed that the biostimulants Ascomax and InnoAg could significantly increase the yield of maize, exert a positive influence on soil quality, and enhance the vitality of the rhizosphere microbial community. Biostimulants can also promote plant growth by stimulating root development and improving the water and nutrient absorption. In a study by Niu et al. [22], two biostimulants based on seaweed extract and one biostimulant derived from animal collagen were selected; the results showed that the different biostimulants could alleviate the temperature stress response of tomatoes to different degrees, promote the growth of stems and roots, improve photosynthetic efficiency, and increase the biomass accumulation in the underground parts of tomatoes. The study of Deolu-Ajayi [23] showed that seaweed extract has the potential to enhance crop yield as a plant biostimulant, which can enhance the nutrient absorption capacity of crops under drought, salinization, and other stress conditions, promoting crop growth and protein accumulation. The new leaf surface biostimulant developed by Wang Quanjiu et al. has shown positive effects on soil improvement, crop growth, and quality improvement in cash crops (cotton), vegetables (Bok choy), forest fruits (apple, red date), grain crops (wheat), and forage (Gaodan grass, silage corn).
In summary, magnetic–electric-activated water irrigation and biostimulants are effective methods for promoting crop growth and improving agricultural production efficiency; however, the mechanisms of promoting growth and improving efficiency remain unclear. As a natural fiber crop, cotton has strong salt and drought tolerance. Cotton is not only an important economic pillar in Xinjiang, but also occupies an important position in the global economy. Therefore, in this study, cotton in the northwest arid region was used as the research object to explore the effects of magnetic–electric-activated water and biostimulants on the cotton growth characteristics, water and fertilizer utilization efficiency, and yield, with the aim of clarifying the ability of this coupling treatment to promote the efficient use of water and fertilizer, identifying the action pathway for promoting crop growth, and finally, providing theoretical and practical guidance for improving agricultural productivity and realizing green and high-quality agricultural development in arid regions.

2. Materials and Methods

2.1. Experimental Area Description

The Datian test area is located at the key irrigation test station of the National Ministry of Water Resources in Bazhou, Xinjiang. The test area is located at the northern edge of the Tarim Basin at an elevation of 988~991 m. The terrain is relatively gentle. This area is dry, with little rain and more wind and sand, which is typical of a continental climate. The groundwater buried depth in the test area is 5.1~6.2 m, and the average salinity of groundwater is 2.74 g·L−1, which is the main source of the brackish irrigation water. The irrigation freshwater is mainly obtained from the Kongqi River, and the average salinity of the irrigation water is 0.71 g·L−1. During the field trial period, the total precipitation was 33.28 mm and the average temperature was 24.73 °C (Figure 1). A soil profile was manually excavated at a depth of 1 m from the test area. The ring tool method was used for stratified sampling to determine the soil bulk density, and a laser particle size analyzer was used to determine the soil mechanical composition and analyze the soil texture (Table 1).
Cotton was planted year-round in the experimental area, and the irrigation method was drip irrigation under a film. Spring irrigation pressurized salt was applied before the cotton sowing. Soil samples were collected one day before sowing, the volume water content of the 0–60 cm layer in the experimental area was 0.098~0.110 cm3·cm−3, and the field water capacity was 0.201~0.253 cm3·cm−3. The soil salt content was 0.40~0.49 g·kg−1, soil alkali-hydrolytic nitrogen content was 26.51~28.02 mg·kg−1, soil available phosphorus content was 55.64~64.53 mg·kg−1, and soil available potassium content was 53.71~55.87 mg·kg−1. The cotton planting method used one membrane, two tubes, and four rows (15 cm + 20 cm + 40 cm + 20 cm + 15 cm) with a membrane spacing of 30 cm (Figure 2). Irrigation water flowed from the main pipeline into the branch pipes on the ground of each test plot and the magnetic−electric treatment equipment was installed on the branch pipes. After the magnetic–electric treatment, brackish and fresh water flowed into the test plot. The area of the test plot was 6 m × 8 m. The test plot was drip irrigated with a drip head flow rate of 2.2 L·h−1, and drip head spacing of 300 mm (Figure 3). Every 10 to 15 days during the whole growth period, weeds were removed, and pesticides were sprayed to prevent pests and diseases. The cotton was topped on 10 July to prevent excessive growth and ensure cotton yield.

2.2. Experimental Design and Treatments

The cotton variety planted in the test area was Xinluzhong No. 67 (machine-picked Jiug King), a new variety from Hubei Huimin Agricultural Technology Co., Ltd. (Hubei, China). The magnetic–electric water used in the experiment was prepared as follows: regular water was pumped through a permanent magnet with a magnetic field strength of 3000 Gs (Baotou Xinda Magnetic Materials Factory, Baotou, China), the voltage of the electric field was 5–8 mv, and the flow rate of irrigation water in the magnetized de-equipment was 0.35–0.53 m s−1. The magnetized water was then passed through an electron removal device, where an external grounding resistor extracted the electrons, completing the preparation process. In total, four types of irrigation water treatments, five foliar biostimulant spray concentrations, twenty experimental treatment plots, and three replicates were used. The four irrigation treatments were brackish water (B), fresh water (F), magnetic–electric brackish water (MIB), and magnetic–electric fresh water (MIF). The spraying concentration of biostimulants on five leaf surfaces: The original biostimulant solution was diluted to concentrations of 1600, 1200, 800, and 400 times, and the treatment without spraying was used as a control (Table 2). The biostimulant liquid was independently developed by the Xi’an University of Technology, and was prepared according to the combination of various single biostimulants with different growth-promoting abilities and effects on crops, the results of which had been studied in China and abroad. The main components were glycine, proline, Bacillus subtilis, fulvic humic acid, and sodium alginate oligosaccharides. A chelating agent was added to the preparation.
The total amount of 100 times irrigation was 4875 m3·hm−2, the amount of nitrogen was 300 kg·hm−2, the amount of phosphorus was 100 kg·hm−2, and the amount of potassium was 126 kg·hm−2. Urea with a nitrogen content of 46.7% was selected as the nitrogen fertilizer. Potassium dihydrogen phosphate (P2O5 ≥ 52%, K2O ≥ 34%) was selected for the phosphate and potassium fertilizer, and a terammonium compound fertilizer (N ≥ 19%, P2O5 ≥ 19%, K2O ≥ 19%) was applied. Nitrogen, phosphorus, and potassium fertilizers were applied 15 times during the cotton growth period. Table 3 shows each growth stage, and Table 4 shows the details of the cotton irrigation and fertilization system.
Foliar biostimulants were sprayed five times during the entire growth period of the cotton, including once at the seedling stage (4 June), once at the bud stage (1 July), twice at the flowering and bolling stage (20 July and 10 August), and once at the batting stage (31 August). The biostimulant solution was sprayed on the cotton leaves (on both sides) using a knap-type sprayer. The spraying time was after 16:00 on either sunny or cloudy days. In the event of rain after spraying, the cotton was resprayed within 4 h. The amount of fertilizer applied was determined by the degree to which the fertilizer was dropped onto the back of the cotton leaf.

2.3. Measurement Content and Method

The soil moisture content was determined using the drying method. The soil sample placed in the aluminum box was dried in the oven at 105 °C to a constant weight. The soil salt content was determined using the conductivity method, and 18.0 g of the air-dried soil sample was accurately weighed and mixed in 90 mL pure water at a 1:5 soil/water ratio to prepare the extract, and the conductivity of the extract was determined using a conductivity meter. The cotton dry matter accumulation and seed cotton yield were measured using a weighing method. The representative sample points were selected during the cotton-batting period; that is, a strip field with a uniform growth area of 6.67 m2 was selected in each test plot for the yield measurement. The numbers of cotton plants and bolls in this area were recorded, and 40 cotton (unseeded) plants were randomly selected from the test plot and weighed. The cottonseed yield was calculated for each experimental treatment. The key indexes of cotton growth were evaluated via measurement of the cotton harvest index, water consumption, water-use efficiency, irrigation water-use efficiency, the leaf absorption rate of nitrogen, phosphorus, potassium, and fertilizer productivity.
Structural equation modeling (SEM) is a powerful tool used to analyze the complex causal relationships between variables, incorporating both observed and latent factors, and enables the examination of direct and indirect effects within a unified model. In this study, SEM was used to explore the interaction between the magnetoelectric water and foliar biostimulants in promoting cotton growth. Additionally, standard statistical methods like regression analysis and significance testing were employed for reliable data interpretation.
The harvest index, cotton water consumption, water-use efficiency, irrigation water-use efficiency, absorption rates of nitrogen, phosphorus, and potassium by cotton leaves, as well as the partial productivity of nitrogen, phosphorus, and potassium (using nitrogen as an example), and the water consumption calculation formula are as follows:
H I = Y D
In the formula above, HI represents the harvest index; Y is the cotton yield (kg·hm−2); and D is the accumulated dry matter of cotton (kg·hm−2).
E T a = P + I + G + W D S R 0
In the formula above, ETa represents the crop’s water consumption during the growing period (mm); P is the rainfall (mm); I is the actual irrigation amount (mm); G is the groundwater recharge (mm); ΔW calculates the change in soil water storage within the soil layer (mm) DS is the deep percolation (mm); and R0 is the surface runoff (mm).
W U E = Y E T a
In the formula above, WUE represents the water-use efficiency of cotton (kg·m−3) and ETa is the crop’s water consumption (mm).
I W U E = Y I
In the formula above, IWUE represents the irrigation water-use efficiency (kg·m−3) and I refers to the amount of irrigation water (mm).
N S = N a × D M A
N p = Y N 0 × 100
N U E = N s N b + N c × 100
In the formula above, Ns represents nitrogen uptake (g); Na refers to the total nitrogen concentration in the cotton plant (g·kg−1); Np represents nitrogen partial productivity (%); N0 indicates the amount of nitrogen applied (kg·hm−2); NUE refers to the nitrogen absorption efficiency by cotton (%); Nb represents the alkali-hydrolyzed nitrogen content in the soil (g); and Nc refers to the amount of nitrogen applied before soil sampling (g).
E T a = P + I + Δ W
In the formula above, ETa represents the water consumption during the crop growth period (mm); P is the precipitation (mm); I is the irrigation volume (mm); and ΔW is the change in soil water storage within the calculated soil layer (mm).

3. Results

3.1. Dynamic Characteristics of Soil Moisture Content

Most of the water and nutrients required for crop growth depend on the absorption of the crop roots in the soil. Under drip irrigation under the film, the main roots of cotton were distributed in the 0–40 cm soil layer, and the lateral roots extended to the 40–60 cm soil layer. These layers are collectively referred to as the root layers [24]. When cotton is subjected to salt stress, the root layer is the key region for the absorption of water and nutrients [25]. In this study, the cotton growth process was divided into the following five growth stages: seedling stage, bud stage, flowering stage, boll stage, and batting stage. Using the 0–60 cm soil layer as the research scope, the change characteristics of the average soil volumetric water content at different growth stages of cotton in the 0–60 cm soil layer were calculated and analyzed.
With the advances in the cotton growth period, the average volumetric water content of the 0–60 cm soil layer first increased and then decreased. The average volumetric water content of soil at the cotton flowering and bolling stages was higher, with respective increases of 17.21% to 78.98% compared to the seedling stage, 3.13% to 28.53% compared to the bud stage, and 49.46% to 134.01% compared to the boll opening stage. There was no significant difference in the average volumetric water content of the soil under each test treatment at the cotton seedling stage (Figure 4). This may be due to the cotton planting method of “drip seedling emergence” and the application of irrigation before sowing to reduce soil salinity through leaching, so the average moisture content of the soil is higher; after sowing, the water demand of cotton at the seedling stage was low, and the difference between the various treatments did not show. After the bud and flowering stages, the soil moisture content increased with irrigation frequency. The boll stage is crucial for cotton, and requires the most water. In this study, four irrigation sessions were conducted, each with 375 kg·hm−2 of water, alongside significant rainfall (12.28 mm on 1 August), maintaining high soil moisture levels. At the batting stage, the cotton had reached maturity, reducing the water demand and irrigation volume. Aging leaves and reduced transpiration, combined with higher temperatures and decreased root activity, led to significant drops in soil moisture levels.
Under brackish water irrigation during the entire growth period of cotton, with an increase in the foliar biostimulating hormone spraying concentration, the average soil water content in the 0–60 cm soil layer showed a constant decrease. Compared with the treatments of no spraying and the concentrations of 1600, 1200, and 800 times, the average volumetric water content of the soil in the 400 times spraying treatment decreased by 0.25% to 10.87% during the bolling stage, when water demand of cotton was higher (Figure 4). This may be due to the fact that biostimulants can enhance the physiological activities of cotton, and the improvement of its water absorption ability significantly promotes the process of efficient water uptake in soil matrix. Secondly, the biostimulants can improve the water utilization efficiency of crops so that the water in the soil can be used faster by cotton, leading to a corresponding reduction in the water content of the soil. Because there were few irrigation cycles at the seedling and batting stages, the soil surface evaporation law of the field experiment plot was complicated, resulting in different degrees of cotton defoliation during the batting stage. Therefore, the average water content of soil treated with the individual spraying of leaf surface biostimulating hormones was higher than that without spraying. Therefore, the average volumetric water content of the soil was reduced by spraying the biostimulant under brackish water irrigation, and the effect was most evident when spraying at 400 times the concentration.
In the bolling period of cotton with high water demand, the average volume water content of soil under magnetic–electric brackish water and magnetic–electric fresh water irrigation with an 800 times concentration decreased by 2.96–7.27% and 0.31–13.74%, respectively, compared with the treatments of no spraying and the concentrations of 1600, 1200, and 400 times. This may be due to the fact that after being sprayed on cotton leaves as a foliar fertilizer, biostimulants can diffuse into the mesophyll cells to promote cotton growth. Within the appropriate concentration range, an increase in biostimulant concentration increases the diffusion rate of biostimulants into the mesophyll cells [26]. However, when the concentration is too high, it damages the leaf tissue [27]. The spray concentration can affect the absorption of water and nutrients by cotton plants to a certain extent, and a suitable spray concentration can improve the metabolic activity and growth rate of cotton, resulting in the cotton plants demonstrating an increased demand for soil water, accelerated water consumption, and there being a decreased soil water content [28]. This process explains the effect of biostimulants on the growth of cotton and the difference in the volumetric water content of the surrounding soil at different dilution concentrations.
To investigate the effects of magnetic–electric water irrigation on the soil moisture conditions in cotton fields, we analyzed the soil volumetric water content under various irrigation treatments without the application of biostimulants. In this study, significant differences were revealed in the average soil water content among the different irrigation treatments in the absence of biostimulants. The observed pattern of average soil volumetric water content in the 0–60 cm soil layer across the various growth stages of cotton showed the following trend: magnetic–electric fresh water > fresh water > magnetic–electric brackish water > brackish water. Notably, during the boll-setting stage, the average soil water content in the 0–60 cm soil layer was 21.36% higher under the magnetic–electric brackish water irrigation than under brackish water irrigation.
When the soil nutrient supply in a cotton field meets demands of cotton, the main factor affecting cotton yield is control of the soil moisture. In this study, the average field water capacity of cotton fields in the 0–60 cm soil layer range was 0.206 cm3·cm−3, and the lower thresholds of the soil water content at the bud stage and flowering stage for ensuring normal cotton growth and high yield were 0.113 cm3·cm−3 and 0.134 cm3·cm−3 and above, respectively (Figure 5). Under the conditions of fresh water and brackish water irrigation, the soil moisture contents at the bud and boll stages of cotton were lower than the threshold value; meanwhile, under magnetic–electric fresh water and magnetic–electric brackish water irrigation, the water requirements of cotton for achieving a high yield could be met, and the magnetic–electric fresh water treatment was shown to have the best effect. This may be due to the fact that the magnetic–electric treatment can change the physical properties of water [15,29], increase the distance between water molecules, weaken or even break some hydrogen bonds, and make water molecules smaller and easier to penetrate into the tiny pores of the soil. The magnetic–electric treatment improves the convection and diffusion capacity of water, thus enhancing the salt-washing effect of the soil, and thereby not only improving the water retention capacity, permeability, and irrigation efficiency of soil, but also reducing the accumulation of salt in the soil, which is conducive to the growth of cotton [30].

3.2. Dynamic Characteristics of Soil Salt Content

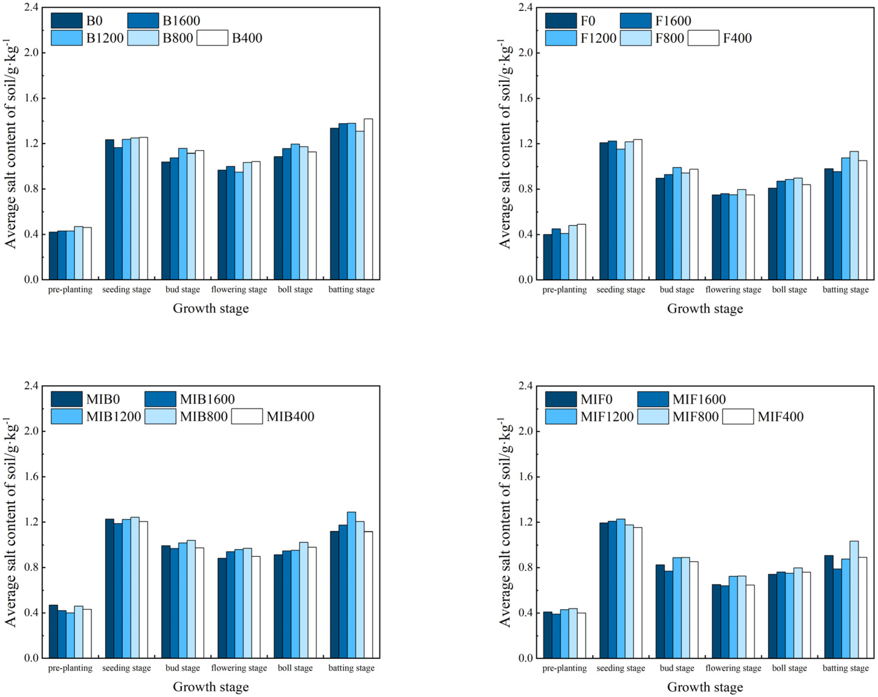
As the cotton growth period advanced, the average salt content of the soil in the 0–60 cm soil layer first increased and then decreased (Figure 6). Due to the planting method of “drip seedling emergence” of cotton, the cotton field was extensively irrigated to depress the salt content before sowing, and the soil salt content was at its lowest. During the early stages of cotton growth, with the growth of the cotton roots and the absorption of water and nutrients, cotton absorbs a large amount of water from the soil, which is then lost from the leaves through transpiration [12]. At the same time, soil surface evaporation and cotton water demands are high, irrigation is frequent and significant, and part of the salt is absorbed by the roots and either accumulates in the plant body or is transferred to the upper soil [30], so the average soil salt content in the 0–60 cm soil layer increases significantly. At the growth and flowering stages of cotton, the soil salt gradually decreases due to the strong water absorption of the crop. The deeper salt begins to be washed into the deeper soil layer, the roots expand into this layer, and the soil salt gradually transfers to the lower layer [31]. At the boll stage, the cotton grows vigorously, and the roots develop rapidly. Under the condition of the gradually increasing atmospheric temperature, the soil transpiration was the strongest, and the water absorption of the cotton roots and the capillary force of the soil were enhanced, which led to the possible migration and accumulation of salt on the soil surface and the phenomenon of salt return in the cotton fields. During the batting period, to ensure the normal batting of cotton, the irrigation amount and natural rainfall were low, the temperature was continuously high, and the soil sample collection time was at a greater distance from the last irrigation, resulting in an obvious salting phenomenon and increased soil salt content.
With an increase in the foliar biostimulant spraying concentration, the average soil salt content in the 0–60 cm soil layer increased under brackish water irrigation during the entire cotton growth period. Under the irrigation conditions of fresh water, magnetic–electric brackish water, and magnetic–electric fresh water, the average soil salt content of the 0–60 cm soil layer first increased and then decreased (Figure 6). Because most cotton roots are distributed in the 0–60 cm soil layer, the foliar biostimulating hormone spraying on the cotton may affect the growth of the cotton roots and the absorption of water in the root layer. The soil salt migrates with water into the root layer. When more soil water is absorbed and utilized by the cotton, the volumetric water content of the soil decreases, and the concentration of retained salt in the soil increases. As a result, the soil salinity increases. In addition, the salt content of the soil treated with the 1600× and 1200× concentrations of the biological stimulating hormone treatment under magnetic–electric fresh water irrigation during the flocculation period was lower than that treated without spraying. This may be due to the fact that there are many influencing factors in the field experiment; some test areas have greater evaporation and are subject to different meteorological factors such as sunshine duration, resulting in different variation rules of salt content.
The average salt content of the soil treated with different irrigation water treatments was clearly different when the biostimulants were not sprayed. The average salt content of the soil in the 0–60 cm soil layer across the various growth stages of cotton showed the following trend: brackish water > magnetic–electric brackish water > fresh water > magnetic–electric fresh water. The variation rule of magnetic–electric fresh water (Figure 7) illustrated that the average salt content of the magnetic–electric brackish water and magnetic–electric fresh water in the 0–60 cm soil layer decreased by 0.66~16.34% and 1.23~12.73%, respectively, compared with that of the brackish water and fresh water. Compared with the brackish water and freshwater irrigation, the magnetic–electric fresh water irrigation can effectively promote soil desalination and reduce salt accumulation, and magnetic–electric fresh water treatment has the best effect.
This may be because the combined effects of the magnetic field and electric field can promote the migration and redistribution of ions in water, change the deposition and diffusion mode of salt ions in water in soil, significantly improve the exchange capacity of the calcium ions and reduce the exchange capacity of sodium ions, improve the migration rate of sodium ions, making the salt more easily leached, and thus reduce the accumulation of salt in the soil [32]. On the other hand, the magnetic–electric water treatment may alter the solubility of certain salts, making them more likely to dissolve in water rather than deposit in soil, or make certain insoluble salts more difficult to dissolve [33,34]. In addition, the magnetic–electric water treatment can inhibit the crystallization of salt in the soil, making it less prone to form deposits on the soil surface and in pores, and thus reducing the soluble salt content in the soil. The treatment also enhances water mobility, allowing dissolved salts to be flushed out of the soil more efficiently through irrigation, thereby reducing overall salt content. This dynamic prevents accumulation while promoting the removal of salts from the soil system [30]. Cotton is a medium salt-tolerant crop with a salt tolerance threshold of 7.70 dS/m. In this study, the soil salt content in the cotton-growing area was lower than the critical value affecting cotton growth; therefore, the salt stress had little effect on cotton growth. Magnetic–electric water irrigation can further reduce the salt content in the root zone layer of cotton, providing a good soil environment for high-quality and high-yield cotton. This method effectively alleviated salt stress, thus promoting the healthy growth of cotton and improving agricultural production.

3.3. Cotton Dry Matter Accumulation

Dry matter accumulation is closely aligned with crop yield, originating from all cotton organs, including the roots, stems, leaves, buds, flowers, and bolls. The total dry matter is the sum of the biomass from these organs, and its distribution shifts throughout the growth stages. In the early stages of growth, the vegetative organs (roots, stems, and leaves) dominate accumulation, while the reproductive organs (buds, flowers, and bolls) become the focus after flowering. As the cotton matures, dry matter accumulation accelerates, particularly in the reproductive organs. Different treatments effectively promote the shift from vegetative to reproductive growth, with the boll weight becoming the primary contributor to total dry matter accumulation.
Under the same irrigation conditions with different foliar biostimulant spray concentrations, dry matter accumulation in cotton was significantly different. The dry matter accumulation under brackish water, fresh water, magnetic–electric brackish water and fresh water irrigation treatment increased by 30.95~63.78%, 5.81~57.78%, 29.40~66.71% and 12.66~52.19%, respectively. There was a significant difference between the groups (p < 0.05). Under the conditions of brackish water, fresh water, magnetic–electric brackish water, and magnetic–electric fresh water irrigation, the accumulation of dry matter in each organ of cotton on the ground was significantly increased by the different dilution ratios of biostimulants, among which the accumulation of dry matter under 800 times of magnetic–electric fresh water irrigation coupled with the spraying of biostimulants on the leaf surface was as high as 129.43 g, and the accumulation of dry matter was the lowest under brackish water irrigation without the application of biostimulants, at 68.03 g (Figure 8). Therefore, the leaf surface spraying with biostimulants can promote the accumulation of dry matter in various organs of the cotton plant, laying a foundation for ensuring cotton yield. This is consistent with the results of Caruso [35], indicating that biostimulants can improve plant growth and productivity, and increase the dry matter content of leaves.
In addition, there were significant differences in the dry matter accumulation between the different irrigation treatments at different growth stages without the foliar bio-irritant concentration treatment. The dry matter accumulation under the magnetic electric brackish water treatment at the batting stage was 73.98 g·plant−1, which was 8.74% higher than that under the brackish water treatment. The dry matter accumulation of cotton under magnetic–electric fresh water irrigation was 98.68 g·plant−1, which increased by 5.60% compared with that under fresh water irrigation, and the difference was significant (p < 0.05). This indicates that compared with the non-magnetic–electric-activated water irrigation, the magnetic–electric-activated water irrigation can promote the growth and development of cotton and the accumulation of biomass. This may be because the magnetic–electric-activated water irrigation can enter smaller pores in the soil, increase the cumulative infiltration of soil, promote water infiltration, improve the soil water-holding capacity, and change the physiological and biochemical reactions related to cotton. In addition, it can promote cell division and differentiation of the cotton root system, enhance its activity, promote the biomass distribution of the cotton reproductive and vegetative organs, and increase the accumulation of dry matter, which provides a favorable basis for improving cotton yield.

3.4. Cotton Yield and the Harvest Index

3.4.1. Seed Cotton Yield and Yield Components

The yield components of cotton mainly include the cotton boll weight and effective boll number per plant. Different irrigation water qualities and methods, crop varieties, and planting management measures all have an important impact on the yield components and final seed cotton yield. The yield of seed cotton represents the final comprehensive performance of soil water, salt, fertilizer regulation, physiological growth, and nutrient absorption during the entire growth process of the cotton plants. Therefore, it is of great significance to study cotton seed and yield under the coupled treatments of magnetic–electric-activated water and foliar biostimulants. The cotton seed and yield components can be determined during the batting stage of the cotton field tests.
Under the brackish water irrigation treatment, the effective boll number and boll weight of leaves sprayed with 400 times the concentration of biostimulating hormone increased by 33.00% and 20.17%, respectively, compared with the no-spraying treatment, and the seed cotton yield increased by 18.78%, with significant differences (p < 0.05). Under the conditions of fresh water, brackish water, magnetic–electric brackish water, and magnetic–electric fresh water irrigation, the effective cotton boll number and single boll weight treated with 800 times the concentration of foliar biostimulant increased by 21.84~48.78% and 5.50~18.91%, respectively, compared with the treatment without spraying, and the seed cotton yield increased by 16.61~38.63%. Significant differences were observed (p < 0.05) (Table 5). Arif [36] showed that the application of biostimulants had a positive impact on photosynthesis and enzyme activities and improved the utilization efficiency of nutrients, thus promoting the growth of cotton and improving the yield and quality of seed cotton. These results are consistent with those in the present study; however, the increase in cotton yield in this study was slightly larger, which indicates that the leaf spraying with different biostimulants can also effectively improve the seed cotton yield and its component factors, and has a certain effect on cotton. In addition, the effect of different biostimulants with different growth-promoting functions may be better.
In addition, under the condition of a certain concentration of foliar-applied biostimulant, the effective boll number and boll weight of the magnetic–electric brackish water irrigation increased by 3.06~45.01% and 5.12~21.40% compared with brackish water irrigation, and the seed cotton yield increased by 15.91~45.22%, with significant differences (p < 0.05). Compared to the freshwater treatment, the effective boll number and boll weight increased by 0.41~32.45% and 2.17~46.93%, respectively, and the seed cotton yield increased by 1.93~7.28%. Compared with brackish water, fresh water, and magnetic–electric brackish water, the yield of seed cotton under magnetic–electric freshwater irrigation increased by 29.64%, 6.92%, and 16.89%, respectively. These differences were statistically significant (p < 0.05). The results showed that the magnetic–electric-activated water irrigation significantly increased the weight of the cotton bolls and the number of effective bolls per plant.

3.4.2. The Cotton Harvest Index

The cotton harvest index represents the ability of the photosynthetic products to be converted into economic products. The index is the ratio of seed cotton yield to total aboveground dry matter and is important for evaluating the yield level of cotton and the effects of habitat control. The value of this index is generally restricted by environmental conditions; for example, the photosynthetic characteristics and nutrient levels can impact the distribution ratio of the assimilated products in grain and vegetative organs, thus affecting the harvest index.
Under the condition of brackish water irrigation, the cotton treated with 400 times the concentration of biostimulants increased by 30.00% in the harvest index compared with the harvest index of the cotton not treated with biostimulants. Under the condition of magnetic–electric brackish water irrigation, the harvest index of cotton first increased and then decreased with an increase in the biostimulant concentration, and the harvest index reached its highest under the treatment with the 800 times biostimulant concentration. The effective boll number and seed cotton yield were significantly higher with biostimulants than without. The cotton harvest index reached its maximum of 0.33 under the coupled treatment of magnetic–electric freshwater irrigation and foliar spraying of biostimulants at an 800 times concentration (Table 5). This indicates that the application of biostimulants to cotton leaf surfaces can effectively improve the conversion of cotton photosynthetic products to economic products, promote the cotton yield, and increase the harvest index of cotton. However, the application of excessively high concentrations of biostimulants on cotton leaf surfaces may actually disrupt the metabolic processes, inhibit chlorophyll synthesis in cotton leaves, and affect the efficiency of light energy use, thus affecting the progress of cotton photosynthesis and reducing the photosynthetic products. Under these conditions, the yield index also decreased.
Under the conditions of foliar biostimulants at concentrations of 400, 800, 1200, and 1600 times, the fundamental trends in the cotton harvest index under various irrigation water treatments were as follows: magnetic–electric fresh water > fresh water > magnetic–electric brackish water > brackish water. Under the condition of no foliar biostimulant, the harvest index of the magnetic–electric brackish water irrigation treatment increased by 20.00% compared with that of the brackish water irrigation treatment, the magnetic–electric freshwater irrigation treatment increased by 13.64% compared with that of the freshwater irrigation treatment, and by 4.17% compared with that of the magnetic–electric brackish water irrigation treatment; the differences were significant (p < 0.05). Compared with the non-magnetic–electric-activated water irrigation, magnetic–electric-activated water irrigation can effectively increase the harvest index of cotton, and the magnetic–electric fresh water has the best effect. This may be because the magnetic–electric-treated water has altered physical properties, so it can more easily penetrate the cell membrane. The magnetic–electric-activated water can create a better growth environment for cotton, which is conducive to the absorption of water and nutrients by cotton roots and transport to various organs in the aboveground parts, thus meeting the water and nutrient requirements of cotton in time. This promoted the growth and development of the cotton, the dry matter accumulation, and the seed cotton yield, and the harvest index of the cotton increased correspondingly.

3.5. Water Consumption and Water and Fertilizer Utilization Efficiency of Cotton

3.5.1. Water Consumption of Cotton

In this study, due to the minimal moisture content in the cotton plants, the underground water depth was 5.1~6.2 m, and the cotton planting mode was drip irrigation under film. The field topography was gentle; therefore, it was not easy to form runoff, so it was not necessary to consider the groundwater recharge and surface runoff. However, previous studies have shown that the water consumption of cotton is mainly concentrated in the main root zone of 0~40 cm, 40~60 cm is the effective water recharge zone for cotton water consumption, and there is lower water consumption below 60~100 cm, but there is also root distribution in this soil layer [37]. The deep seepage of water below the 100 cm soil layer was negligible.
The water consumption of cotton in the 0–100 cm soil layer was higher than that of the actual field irrigation water (487.5 mm) (Table 6); that is, the cotton absorbed part of the water stored in the soil in addition to the irrigation water during the entire growth period. The water consumption in the 0–100 cm soil layer first increased and then decreased as the growth stages progressed. The change characteristics of the water consumption in each growth stage of cotton showed that the water consumption was the lowest at the seedling stage because the cotton had just emerged and required low amounts of water consumption, which was mainly dominated by soil evaporation. The cotton reached its maximum growth at the bolling stage, when cotton grows and develops vigorously and consequently needs to absorb more water. The water used during irrigation is primarily absorbed and utilized by cotton plants for growth and metabolic processes. Simultaneously, the average daily water consumption of cotton also increased significantly due to an obvious increase in the weather temperature, strong evaporation, and irrigation. After the batting stage, the cotton goes through the batting process of the boll, the water absorption capacity decreases, the irrigation amount decreases correspondingly, and the water consumption decreases. Therefore, the cotton boll stage represents the key period of water demands of cotton and of cotton yield formation. The effective water supply at this stage is very important for cotton reproductive growth and the formation of the later yield.
Under the same irrigation water treatment conditions, the water consumption in the 0~100 cm soil layer was greater in the plots where the biostimulants were applied to the leaves compared to the plots without biostimulant application, and the total water consumption of cotton reached the maximum value (549.45 mm) under the magnetic–electric freshwater irrigation coupled with the foliar application of an 800 times concentration of biostimulant. The total water consumption under brackish water irrigation during the entire growth period increased by 2.61% compared with that under no spraying at a 400 times biostimulant concentration. The total water consumption under the magnetic–electric brackish water, fresh water, and magnetic–electric fresh water irrigation with 800 times the concentration of the biostimulant increased by 1.93%, 3.01%, and 2.16%, respectively. This may be because, after spraying biological stimulants onto the cotton leaf surface, the aboveground part of the cotton grows vigorously, and more water needs to be consumed to ensure the growth of cotton; therefore, the consumption of water in the soil increases.
Under the same foliar biostimulant spray concentration treatment, compared with the brackish water irrigation treatment, the water consumption of the magnetic–electric brackish water at each growth stage of cotton increased from 0.19% to 14.26%. Compared with the freshwater irrigation treatment, the water consumption of the magnetic–electric fresh water increased by 0.09~16.34%, indicating that the magnetic–electric-activated water increased the water consumption of cotton compared with the non-magnetic–electric-activated water irrigation. This may be due to the decreased surface tension and increased substrate potential of the irrigation water after the magnetic–electric activation treatment [38,39], which increased the available water supplied by the soil to the cotton. At the same time, the magnetic–electric-activated water irrigation can increase the dissolved oxygen in the soil water environment, thus promoting the respiration and metabolism of the cotton roots. Water molecules are conducive to absorption and utilization by cotton roots; thus, the water absorption capacity of the cotton roots in the soil was enhanced.

3.5.2. Water-Use Efficiency of Cotton

Cotton water-use efficiency is the ratio of cotton economic yield to cotton water consumption during the entire growth period and reflects the yield formed per unit of water consumption. The utilization efficiency of irrigation water refers to the ratio of the economic yield of cotton to the actual amount of irrigation water during the entire growth period, reflecting the yield per unit of irrigation water. Cotton and irrigation water-use efficiencies can be used to characterize the effective water use of cotton and cotton fields under different habitat control measures.
Under the brackish water irrigation treatment, the water-use efficiency of cotton treated with 400 times the concentration of biostimulant increased by 1.80~18.95%, and the water-use efficiency of irrigation water increased by 0.95~16.48% compared with that treated with no spraying, and concentrations of 1600, 1200, and 800 times (Table 7). The irrigation water-use efficiency and the water-use efficiency of fresh water, magnetic–electric brackish water, and magnetic–electric fresh water irrigation treatments first increased and then decreased with an increase in foliar biostimulant spraying concentration. The water-use efficiency increased by 36.52%, 39.05%, and 30.89%, respectively, and the irrigation water-use efficiency increased by 30.00%, 33.66%, and 24.35%, respectively, when the concentration of the biostimulant was 800 times. In addition, without the foliar biostimulant treatment, different irrigation water treatments had significant effects on cotton and irrigation water-use efficiencies. Compared with the brackish water irrigation treatment, the water-use efficiency of the magnetic–electric brackish water increased by 10.53%, and the water-use efficiency of the irrigation water increased by 10.99%. When compared to freshwater irrigation, the water-use efficiency of the magnetic–electric fresh water increased by 6.96%, and the water-use efficiency of irrigation increased by 4.55%. At 400 times the concentration of the biostimulant spray, the water-use efficiency of the magnetic–electric brackish water was the same as that of the magnetic–electric fresh water, and the irrigation water-use efficiency of the magnetic–electric fresh water was slightly higher than that of magnetic–electric brackish water (Table 7). In general, magnetic–electric activation technology can improve the water-use efficiency of cotton irrigation.

3.5.3. Nutrient Absorption Rate and Partial Fertilizer Productivity

The absorption rates of nitrogen, phosphorus, and potassium nutrients in cotton and the yield of cotton per unit of fertilizer amount (partial fertilizer productivity) are important indicators for comprehensively measuring the economic benefits of cotton, which are also based on the premise of promoting the absorption of the main nutrients and the rational application of key fertilizers. The improvement in these two aspects is important for the effective utilization of nutrients and rational fertilizer input. In this study, the changes in the nitrogen, phosphorus, and potassium nutrient absorption rates and partial fertilizer productivity of cotton plants were examined under the influence of magnetic–electric-activated water and foliar biostimulants (Table 7). Under conditions of brackish water irrigation, the nitrogen absorption rate of cotton plants treated with 400 times the concentration of leaf biostimulant spray increased by 62.07% compared with that of the plants treated without spray, and the difference was significant (p < 0.05). Under conditions of fresh water, magnetic–electric brachial water, or magnetic–electric fresh water irrigation, the absorption rates of nitrogen, phosphorus, and potassium in cotton plants first increased and then decreased with an increase in the bionin spray concentration. The absorption rate of nitrogen in cotton plants under the 800 spray concentration increased by 72.06%, 92.86%, and 76.21%, respectively, compared with that under the no-spray treatment. There was a significant difference between the groups (p < 0.05). The results showed that the use of foliar biostimulant spraying on cotton could effectively improve the absorption rate of soil nutrients and promote the effective use of cotton fertilizer. The effect of magnetic–electric freshwater irrigation coupled with foliar biostimulant was 800 times better.
Under the conditions of a certain concentration of foliar biostimulant, the overall changes in nitrogen (N), phosphorus (P), and potassium (K) absorption rates and the partial fertilizer productivity of cotton plants treated with different irrigation levels were as follows: magnetic–electric fresh water > fresh water > magnetic–electric brackish water > brackish water. Compared with the brackish water irrigation treatment (without foliar biostimulant application), the absorption rates of N, P, and K under the magnetoelectric brackish water irrigation treatments increased by 25.42%, 30.75%, and 26.07%, respectively, and the partial productivities of N, P, and K increased by 10.89%, 10.88%, and 10.93%, respectively. These differences were statistically significant (p < 0.05). The absorption rate of N, P and K increased by 21.70%, 15.87% and 18.61%, respectively, and the partial productivity of N, P and K increased by 6.96%, 6.94% and 6.92%, respectively. These differences were statistically significant (p < 0.05). The results indicated that the magnetic–electric-activated water irrigation promoted the growth of cotton roots and the absorption of soil nutrients by improving the water and salt status of the soil, thus improving the efficiency of the fertilizer application. In addition, this irrigation method enhanced the nitrate reductase activity of cotton, further promoting nitrogen absorption and metabolism [40].

4. Discussion

In this study, the dry matter accumulation in cotton increased significantly under the combined effects of magnetic–electric-activated water and leaf biostimulants. At the batting stage, the dry matter accumulation under brackish water, fresh water, magnetic–electric brackish water, and magnetic–electric fresh water irrigation treatments had increased by 30.95–63.78%, 5.81–57.78%, 29.40–66.71%, and 12.66–52.19%, respectively, compared to that under the no-spray treatment. These results are consistent with those of Younes [41], who confirmed that biostimulants contributed to the accumulation of crop dry matter. Soppelsa [42] showed that the use of biostimulants can significantly promote biomass accumulation in plants, increase root biomass by 4–7 times, increase fruit yield by 20%, and increase total leaf area by 15–30%. Water-use efficiency is an important index for measuring plant growth and yield under specific water conditions [43]. The coupled treatment of magnetic–electric-activated water and the foliar spraying of biological stimulants has a significant effect on the water and fertilizer utilization efficiency of cotton. The water-use efficiency of cotton treated with biostimulants increased by 13.91–36.52%, 24.76–39.05%, and 8.94–30.89% under the conditions of fresh water, magnetic–electric brackish water, and magnetic–electric fresh water irrigation, respectively, compared with the no-spray condition. The results of Jimenez-Arias [44] were also consistent with those in the present study, indicating that biostimulants can regulate the water metabolism of plants under different irrigation conditions and improve the water-use efficiency of crops. Without the application of biostimulants, cotton irrigated with magnetic–electric brackish water exhibited a 25.43% increase in nitrogen absorption compared to the brackish water treatment, while nitrogen partial productivity improved by 10.89%. Magnetic–electric-activated water for irrigation can optimize water resource utilization and improve water-use efficiency and nutrient absorption by crops, which is similar to the results of Lin et al. [15].
Crop yield is the core index used to measure the effectiveness of planting and fertilization methods [45,46]. Biostimulants are a sustainable way of increasing productivity and enhancing innate stress resistance and metabolism in crops [47]. The coupled treatment of magnetic–electric-activated water and foliar spraying of biostimulants had significant effects on the cottonseed cotton yield and yield components. Under brackish water, magnetic–electric brackish water, fresh water, and magnetic–electric fresh water irrigation, the seed cotton yield with the foliar biostimulant treatments (at concentrations of 400, 800, 1200, and 1600 times) increased by 2.23% to 18.79%, 14.31% to 36.30%, 24.37% to 38.63%, and 8.97% to 30.83%, respectively, compared to the yield without biostimulant spraying. In the absence of biostimulant spraying, the harvest index of the cotton under magnetic–electric brackish water and magnetic–electric fresh water irrigation increased by 20.00% and 13.54%, respectively, compared with the brackish water and fresh water irrigation. Magnetic–electric-activated water irrigation can significantly increase cotton yield, and spraying 800 times the concentration of the biostimulant on the leaf surface can promote cotton yield. Studies on cotton water demand have mainly focused on improving crop water-use efficiency and soil aeration by optimizing irrigation water under brackish water, magnetic–electric brackish water, fresh water, and magnetic–electric freshwater irrigation conditions and comparing the improvement in cotton yield under magnetic–electric freshwater irrigation conditions [48].
This study used structural equation modeling (SEM) to analyze the coupling mechanism of magnetic–electric water and foliar biostimulants in promoting cotton growth. Structural equation modeling (SEM) is a statistical technique that helps represent complex causal relationships between variables using model equations and allows for the estimation of data models with latent variables that cannot be directly measured. SEM is closely related to path analysis but stands out through its transformation of multiple variables into a single factor, simplifying complex data relationships. The following potential variables were selected for this study: “magnetic–electric water and foliar biostimulants”, “soil water and salt status”, “cotton physiological growth status”, “cotton water and fertilizer utilization efficiency”, and “cotton yield”.
The structural equation model (SEM) analysis results showed (Figure 9) that the influence coefficient of the magnetic–electric water combined with foliar biostimulants on soil water and salt status was −0.794, and the influence coefficient of cotton physiological growth was 0.982, both of which reached a significant level, and the absolute value of the latter was greater than that of the former. These results indicate that the magnetic–electric water combined with foliar biostimulants had significant direct effects on the soil water, salt status, and physiological growth status of cotton, and that the effects of the magnetic–electric water and foliar biostimulants on the physiological growth status of cotton were greater than their effects on the soil water and salt status. Compared with the no-spray treatment, the average volume water content of the soil was reduced by the spraying treatment, and the average salt content of the soil was reduced by the magnetic–electric water treatment. These results indicate that the magnetic–electric water and leaf biostimulants had significant positive and direct effects on the physiological growth of cotton, so the direct effect value was generally positive. In addition, the direct effect of the soil water and salt status on the physiological growth of cotton was negative and very significant, and the direct effect on the water-use level of cotton was negative but not significant. This may be because the magnetic–electric water treatment helps the soil store water, resulting in an increase in the volumetric water content of the soil in the cotton root layer and a decrease in the average salt content [49].
In general, under the coupled treatment of the magnetic–electric water and leaf biostimulants, the water and salt content in the soil showed a decreasing trend, whereas the water and fertilizer utilization efficiency of cotton showed an increasing trend. The direct effect value of cotton physiological growth on the water and fertilizer utilization efficiency of cotton and cotton yield was positive; the effect on the water and fertilizer utilization efficiency of cotton was extremely significant; and the direct effect value of water and fertilizer utilization efficiency of cotton was positive and significant. This indicates that under the conditions of this study, the physiological growth status of cotton and the water and fertilizer utilization efficiency make a significant contribution to cotton yield, which is a key factor in significantly improving cotton yield. These results are similar to those reported by El-Hendawy [50]. Under the conditions of this study, the treatment of leaf surface biostimulants with magnetic–electric water coupling significantly improved the physiological growth status of cotton, improved the water and fertilizer utilization efficiency of cotton, and thus promoted the formation and improvement of the final yield of cotton.

5. Conclusions

The results demonstrated that magnetic–electric-activated water irrigation significantly improved the physical and chemical properties of the soil, enhancing soil water retention and permeability while reducing salt accumulation.
In terms of cotton development, foliar biostimulants significantly promoted the dry matter accumulation, particularly in reproductive organs. The foliar application of biostimulants under magnetic–electric-activated water irrigation further improved water and fertilizer utilization efficiency, significantly enhancing the cotton yield. Among the treatments, the 800 times dilution of the magnetic–electric fresh water combined with the foliar biostimulants was the most effective. This treatment increased the dry matter accumulation by 12.66–52.19%, the seed cotton yield by 30.83–38.63%, and the harvest index to 0.33.
In summary, the integration of biostimulants with magnetic–electric-activated water technology substantially improved soil properties, boosted cotton growth, and enhanced water and fertilizer use efficiency, providing a promising approach for sustainable and high-quality agricultural development in the arid regions of northwest China.

Author Contributions

Conceptualization, Y.S. and Q.W.; Methodology, Y.S. and C.Z.; Software, C.W.; Formal analysis, Y.S., C.Z. and C.W.; Writing—original draft, Y.S., C.Z. and C.W.; Writing—review & editing, Y.S. and Q.W.; Supervision, Y.L. and J.W. All authors have read and agreed to the published version of the manuscript.

Funding

This study was supported by the Major Science and Technology Project of Xinjiang Uygur Autonomous Region (2023A02002-3).

Data Availability Statement

The original contributions presented in the study are included in the article, further inquiries can be directed to the corresponding authors.

Conflicts of Interest

The authors declare no conflicts of interests.

References

  1. Shi, K.; Kong, J.; Yue, H.; Huang, Y.; Wei, X.; Zhangzhong, L. Magnetized Water Irrigation Alleviates Emitter Clogging of a Drip Fertigation System. Agronomy 2022, 13, 108. [Google Scholar] [CrossRef]
  2. Wang, H.; Fan, J.; Fu, W. Effect of Activated Water Irrigation on the Yield and Water Use Efficiency of Winter Wheat under Irrigation Deficit. Agronomy 2022, 12, 1315. [Google Scholar] [CrossRef]
  3. Dobránszki, J. From Mystery to Reality: Magnetized Water to Tackle the Challenges of Climate Change and for Cleaner Agricultural Production. J. Clean. Prod. 2023, 425, 139077. [Google Scholar] [CrossRef]
  4. Talat Rashad, R. Soil Magnetism and Magnetically Treated Water and Possible Role for Sustainable Agriculture: A Review. Egypt. J. Soil Sci. 2022, 62, 73–83. [Google Scholar] [CrossRef]
  5. Abbaspour, M.; Akbarzadeh, H.; Salemi, S.; Bahmanipour, L. Structure, Dynamics, and Morphology of Nanostructured Water Confined between Parallel Graphene Surfaces and in Carbon Nanotubes by Applying Magnetic and Electric Fields. Soft Matter 2021, 17, 3085–3095. [Google Scholar] [CrossRef]
  6. Cai, R.; Yang, H.; He, J.; Zhu, W. The Effects of Magnetic Fields on Water Molecular Hydrogen Bonds. J. Mol. Struct. 2009, 938, 15–19. [Google Scholar] [CrossRef]
  7. Mghaiouini, R.; Elmalouky, A.; Benzbiria, N.; El Moznine, R.; Monkade, M.; El Bouari, A. The Influence of the Electromagnetic Field on the Electric Properties of Water. Mediterr. J. Chem. 2020, 10, 507. [Google Scholar] [CrossRef]
  8. Chang, K.-T.; Weng, C.-I. The Effect of an External Magnetic Field on the Structure of Liquid Water Using Molecular Dynamics Simulation. J. Appl. Phys. 2006, 100, 043917. [Google Scholar] [CrossRef]
  9. Zhao, L.; Ma, K.; Yang, Z. Changes of Water Hydrogen Bond Network with Different Externalities. Int. J. Mol. Sci. 2015, 16, 8454–8489. [Google Scholar] [CrossRef]
  10. Sun, Y.; Wang, C.; Mi, W.; Qu, Z.; Mu, W.; Wang, J.; Zhang, J.; Wang, Q. Effects of Irrigation Using Activated Brackish Water on the Bacterial Community Structure of Rhizosphere Soil. J. Soil Sci. Plant Nutr. 2022, 22, 4008–4023. [Google Scholar] [CrossRef]
  11. Zhao, G.; Mu, Y.; Wang, Y.; Wang, L. Response of Winter-Wheat Grain Yield and Water-Use Efficiency to Irrigation with Activated Water on Guanzhong Plain in China. Irrig. Sci. 2021, 39, 263–276. [Google Scholar] [CrossRef]
  12. Guo, Y.; Wang, Q.; Zhao, X.; Li, Z.; Li, M.; Zhang, J.; Wei, K. Field Irrigation Using Magnetized Brackish Water Affects the Growth and Water Consumption of Haloxylon ammodendron Seedlings in an Arid Area. Front. Plant Sci. 2022, 13, 929021. [Google Scholar] [CrossRef] [PubMed]
  13. Samarah, N.H.; Bany Hani, M.M.I.; Makhadmeh, I.M. Effect of Magnetic Treatment of Water or Seeds on Germination and Productivity of Tomato Plants under Salinity Stress. Horticulturae 2021, 7, 220. [Google Scholar] [CrossRef]
  14. Jiang, Z.; Wang, Q.; Ning, S.; Hu, X.; Yuan, S. Growth and Yield Response and Water Use Efficiency of Cotton under Film-Mulched Drip Irrigation to Magnetized Ionized Water and Bacillus subtilis in Saline Soil in Xinjiang. Agronomy 2023, 13, 1644. [Google Scholar] [CrossRef]
  15. Lin, S.; Wang, Q.; Wei, K.; Sun, Y.; Shao, F.; Lei, Q.; Deng, M. Enhancing Pakchoi (Brassica chinensis L.) Agriculture with Magnetized-Ionized Brackish Water and Organic Fertilizers: A Sustainable Approach to Soil Quality and Crop Yield Optimization. J. Clean. Prod. 2024, 450, 141935. [Google Scholar] [CrossRef]
  16. Ma, Y.; Freitas, H.; Dias, M.C. Strategies and Prospects for Biostimulants to Alleviate Abiotic Stress in Plants. Front. Plant Sci. 2022, 13, 1024243. [Google Scholar] [CrossRef]
  17. Mannino, G. A New Era of Sustainability: Plant Biostimulants. Int. J. Mol. Sci. 2023, 24, 16329. [Google Scholar] [CrossRef]
  18. Rai, N.; Rai, S.P.; Sarma, B.K. Prospects for Abiotic Stress Tolerance in Crops Utilizing Phyto- and Bio-Stimulants. Front. Sustain. Food Syst. 2021, 5, 754853. [Google Scholar] [CrossRef]
  19. Ricci, M.; Tilbury, L.; Daridon, B.; Sukalac, K. General Principles to Justify Plant Biostimulant Claims. Front. Plant Sci. 2019, 10, 494. [Google Scholar] [CrossRef]
  20. Du Jardin, P. Plant Biostimulants: Definition, Concept, Main Categories and Regulation. Sci. Hortic. 2015, 196, 3–14. [Google Scholar] [CrossRef]
  21. Shi, J.; Zhao, B.; Zhao, L.; Zha, Y.; Yu, X.; Yu, B.; Luo, L.; Wu, J.; Yue, E. Facilitating Growth of Maize (Zea mays L.) by Biostimulants: A Perspective from the Interaction between Root Transcriptome and Rhizosphere Microbiome. J. Agric. Food Chem. 2024, 72, 3415–3426. [Google Scholar] [CrossRef] [PubMed]
  22. Niu, C.; Wang, G.; Sui, J.; Liu, G.; Ma, F.; Bao, Z. Biostimulants Alleviate Temperature Stress in Tomato Seedlings. Sci. Hortic. 2022, 293, 110712. [Google Scholar] [CrossRef]
  23. Deolu-Ajayi, A.O.; Van Der Meer, I.M.; Van Der Werf, A.; Karlova, R. The Power of Seaweeds as Plant Biostimulants to Boost Crop Production under Abiotic Stress. Plant Cell Environ. 2022, 45, 2537–2553. [Google Scholar] [CrossRef]
  24. Chen, W. Spatial Distribution and Dynamics of Cotton Fine Root under Film-Mulched Drip Irrigation. Ind. Crops Prod. 2022, 179, 114693. [Google Scholar] [CrossRef]
  25. Liu, Q.; Liang, Z.; Feng, D.; Jiang, S.; Wang, Y.; Du, Z.; Li, R.; Hu, G.; Zhang, P.; Ma, Y.; et al. Transcriptional Landscape of Rice Roots at the Single-Cell Resolution. Mol. Plant 2021, 14, 384–394. [Google Scholar] [CrossRef]
  26. Al-Khayri, J.M.; Arif, M.; Kareem, S.H.S.; Anwar, A.; Dehghanisanij, H.; Emami, S.; Yasmeen, A.; Komal, A.; Mohamed, N. Exogenous Application of Bio-Stimulants and Growth Retardants Improve Nutrient Absorption and Fiber Quality in Upland Cotton. J. Cotton Res. 2024, 7, 15. [Google Scholar] [CrossRef]
  27. Franzoni, G.; Cocetta, G.; Prinsi, B.; Ferrante, A.; Espen, L. Biostimulants on Crops: Their Impact under Abiotic Stress Conditions. Horticulturae 2022, 8, 189. [Google Scholar] [CrossRef]
  28. Melo, G.B.; Da Silva, A.G.; Da Costa, A.C.; Alves Da Silva, A.; Rosa, M.; Bessa, L.A.; Rodrigues, C.R.; Castoldi, G.; Vitorino, L.C. Foliar Application of Biostimulant Mitigates Water Stress Effects on Soybean. Agronomy 2024, 14, 414. [Google Scholar] [CrossRef]
  29. Nasser, A.M.; El-Shafey, M.M.; Ali, A.I.; Motawea, M.A.; Abdeen, E. Magnetic Field Effects on Brackish Water Parameters in Batch and Continuous Flow Systems. Bull. Natl. Res. Cent. 2021, 45, 182. [Google Scholar]
  30. Zhang, J.; Wang, Q.; Wei, K.; Guo, Y.; Mu, W.; Sun, Y. Magnetic Water Treatment: An Eco-Friendly Irrigation Alternative to Alleviate Salt Stress of Brackish Water in Seed Germination and Early Seedling Growth of Cotton (Gossypium hirsutum L.). Plants 2022, 11, 1397. [Google Scholar] [CrossRef]
  31. Toumi, I.; Ghrab, M.; Zarrouk, O.; Nagaz, K. Impact of Deficit Irrigation Strategies Using Saline Water on Soil and Peach Tree Yield in an Arid Region of Tunisia. Agriculture 2024, 14, 377. [Google Scholar] [CrossRef]
  32. Abdelghany, A.E.; Abdo, A.I.; Alashram, M.G.; Eltohamy, K.M.; Li, J.; Xiang, Y.; Zhang, F. Magnetized Saline Water Irrigation Enhances Soil Chemical and Physical Properties. Water 2022, 14, 4048. [Google Scholar] [CrossRef]
  33. Niaz, N.N.; Tang, C.; Zhang, R.; Chu, G. Application of Magnetic Treated Water Irrigation Increased Soil Salt Leachate by Altering Water Property. Eurasian Soil Sci. 2021, 54, S26–S32. [Google Scholar] [CrossRef]
  34. Al-Douri, Y.; Hassan, S.M.; Batoo, K.M.; Raslan, E.H. Surface Tension under Magnetic Field Effect for Nanoscaled Water. Eur. Phys. J. Plus 2021, 136, 295. [Google Scholar] [CrossRef]
  35. Caruso, G.; De Pascale, S.; Cozzolino, E.; Giordano, M.; El-Nakhel, C.; Cuciniello, A.; Cenvinzo, V.; Colla, G.; Rouphael, Y. Protein Hydrolysate or Plant Extract-Based Biostimulants Enhanced Yield and Quality Performances of Greenhouse Perennial Wall Rocket Grown in Different Seasons. Plants 2019, 8, 208. [Google Scholar] [CrossRef]
  36. Arif, M.; Kareem, S.H.S.; Ahmad, N.S.; Hussain, N.; Yasmeen, A.; Anwar, A.; Naz, S.; Iqbal, J.; Shah, G.A.; Ansar, M. Exogenously Applied Bio-Stimulant and Synthetic Fertilizers to Improve the Growth, Yield and Fiber Quality of Cotton. Sustainability 2019, 11, 2171. [Google Scholar] [CrossRef]
  37. Han, M.; Zhao, C.; Feng, G.; Yan, Y.; Sheng, Y. Evaluating the Effects of Mulch and Irrigation Amount on Soil Water Distribution and Root Zone Water Balance Using HYDRUS-2D. Water 2015, 7, 2622–2640. [Google Scholar] [CrossRef]
  38. Peng, Q.; Li, W.; Zhou, X.; Sun, C.; Hou, Y.; Hu, M.; Fu, S.; Zhang, J.; Kundu, J.K.; Lei, L.; et al. Genetic Diversity Analysis of Brassica Yellows Virus Causing Aberrant Color Symptoms in Oilseed Rape. Plants 2023, 12, 1008. [Google Scholar] [CrossRef]
  39. Tao, W.; Shao, F.; Yan, H.; Wang, Q. Microbial Organic Fertilizer Combined with Magnetically Treated Water Drip Irrigation Promoted the Stability of Desert Soil Aggregates and Improved the Yield and Quality of Jujubes. Plants 2024, 13, 1930. [Google Scholar] [CrossRef]
  40. Zhou, B.; Liang, C.; Chen, X.; Ye, S.; Peng, Y.; Yang, L.; Duan, M.; Wang, X. Magnetically-Treated Brackish Water Affects Soil Water-Salt Distribution and the Growth of Cotton with Film Mulch Drip Irrigation in Xinjiang, China. Agric. Water Manag. 2022, 263, 107487. [Google Scholar] [CrossRef]
  41. Younes, N.A.; Anik, T.R.; Rahman, M.M.; Wardany, A.A.; Dawood, M.F.A.; Tran, L.S.P.; Latef, A.A.H.A.; Mostofa, M.G. Effects of Microbial Biostimulants (Trichoderma album and Bacillus megaterium) on Growth, Quality Attributes, and Yield of Onion under Field Conditions. Heliyon 2023, 9, e14203. [Google Scholar] [CrossRef] [PubMed]
  42. Soppelsa, S.; Kelderer, M.; Casera, C.; Bassi, M.; Robatscher, P.; Matteazzi, A.; Andreotti, C. Foliar Applications of Biostimulants Promote Growth, Yield and Fruit Quality of Strawberry Plants Grown under Nutrient Limitation. Agronomy 2019, 9, 483. [Google Scholar] [CrossRef]
  43. Wang, T.; Sun, S.; Yin, Y.; Zhao, J.; Tang, Y.; Wang, Y.; Gao, F.; Luan, X. Status of Crop Water Use Efficiency Evaluation Methods: A Review. Agric. For. Meteorol. 2024, 349, 109961. [Google Scholar] [CrossRef]
  44. Jiménez-Arias, D.; Hernándiz, A.E.; Morales-Sierra, S.; García-García, A.L.; García-Machado, F.J.; Luis, J.C.; Borges, A.A. Applying Biostimulants to Combat Water Deficit in Crop Plants: Research and Debate. Agronomy 2022, 12, 571. [Google Scholar] [CrossRef]
  45. Li, H.; Zhang, Y.; Sun, Y.; Liu, P.; Zhang, Q.; Wang, X.; Wang, R.; Li, J. Long-Term Effects of Optimized Fertilization, Tillage, and Crop Rotation on Soil Fertility, Crop Yield and Economic Profit on the Loess Plateau. Eur. J. Agron. 2023, 143, 126731. [Google Scholar] [CrossRef]
  46. Luo, Z.; Hu, Q.; Tang, W.; Wang, X.; Lu, H.; Zhang, Z.; Liu, T.; Kong, X. Effects of N Fertilizer Rate and Planting Density on Short-Season Cotton Yield, N Agronomic Efficiency and Soil N Using 15N Tracing Technique. Eur. J. Agron. 2022, 138, 126546. [Google Scholar] [CrossRef]
  47. Shukla, P.S.; Yadav, N.S.; Critchley, A.T.; Prithiviraj, B. Editorial: Biostimulants as an Avenue of Abiotic Stress Tolerance Improvement in Crops. Front. Sustain. Food Syst. 2022, 6, 908555. [Google Scholar] [CrossRef]
  48. Lin, S.; Wang, Q.; Deng, M.; Wei, K.; Sun, Y.; Tao, W. The Mechanism of Using Magnetized-Ionized Water in Combination with Organic Fertilizer to Enhance Soil Health and Cotton Yield. Sci. Total Environ. 2024, 941, 173781. [Google Scholar] [CrossRef]
  49. Suvendran, S.; Johnson, D.; Acevedo, M.; Smithers, B.; Xu, P. Electromagnetic Water Treatment and Soil Compost Incorporation to Alleviate the Impact of Soil Salinization. Water 2024, 16, 1577. [Google Scholar] [CrossRef]
  50. El-Hendawy, S.; Mohammed, N.; Al-Suhaibani, N. Enhancing Wheat Growth, Physiology, Yield, and Water Use Efficiency under Deficit Irrigation by Integrating Foliar Application of Salicylic Acid and Nutrients at Critical Growth Stages. Plants 2024, 13, 1490. [Google Scholar] [CrossRef]
Figure 1. Changes in precipitation and temperature during the field trial period.
Figure 1. Changes in precipitation and temperature during the field trial period.
Agronomy 14 02117 g001
Figure 2. Schematic diagram of cotton planting layout under film drip irrigation.
Figure 2. Schematic diagram of cotton planting layout under film drip irrigation.
Agronomy 14 02117 g002
Figure 3. Schematic diagram of the layout of the experimental area.
Figure 3. Schematic diagram of the layout of the experimental area.
Agronomy 14 02117 g003
Figure 4. Characteristics of mean volume water content of 0–60 cm soil under different concentrations of foliar biostimulants. Note: In the legend, “B”, “F”, “MIB” and “MIF” stand for brackish water, fresh water, magnetic-electric brackish water, and magnetic-electric fresh water, respectively. “0” indicates that no biological stimulant is sprayed; “1600”, “1200”, “800”, and “400”, respectively, indicate the dilution of the biological stimulant solution.
Figure 4. Characteristics of mean volume water content of 0–60 cm soil under different concentrations of foliar biostimulants. Note: In the legend, “B”, “F”, “MIB” and “MIF” stand for brackish water, fresh water, magnetic-electric brackish water, and magnetic-electric fresh water, respectively. “0” indicates that no biological stimulant is sprayed; “1600”, “1200”, “800”, and “400”, respectively, indicate the dilution of the biological stimulant solution.
Agronomy 14 02117 g004aAgronomy 14 02117 g004b
Figure 5. Characteristics of average volume water content of 0–60 cm soil with different irrigation water treatment under the condition of no foliar biostimulant hormone application. Note: In the legend, “B”, “F”, “MIB” and “MIF” stand for brackish water, fresh water, magnetic−electric brackish water, and magnetic−electric fresh water, respectively. “0” indicates that no biostimulant is applied.
Figure 5. Characteristics of average volume water content of 0–60 cm soil with different irrigation water treatment under the condition of no foliar biostimulant hormone application. Note: In the legend, “B”, “F”, “MIB” and “MIF” stand for brackish water, fresh water, magnetic−electric brackish water, and magnetic−electric fresh water, respectively. “0” indicates that no biostimulant is applied.
Agronomy 14 02117 g005
Figure 6. Characteristics of average salt content in 0–60 cm soil under different concentrations of foliar biostimulants. Note: In the legend, “B”, “F”, “MIB” and “MIF” stand for brackish water, fresh water, magnetic–electric brackish water, and magnetic−electric fresh water, respectively. “0” indicates that no biological stimulant is sprayed; “1600”, “1200”, “800”, and “400”, respectively, indicate the dilution of the biological stimulant solution.
Figure 6. Characteristics of average salt content in 0–60 cm soil under different concentrations of foliar biostimulants. Note: In the legend, “B”, “F”, “MIB” and “MIF” stand for brackish water, fresh water, magnetic–electric brackish water, and magnetic−electric fresh water, respectively. “0” indicates that no biological stimulant is sprayed; “1600”, “1200”, “800”, and “400”, respectively, indicate the dilution of the biological stimulant solution.
Agronomy 14 02117 g006
Figure 7. Characteristics of average salt content in 0–60 cm soil with different irrigation water treatment under the condition of no foliar biostimulant hormone application. Note: In the legend, “B”, “F”, “MIB” and “MIF” stand for brackish water, fresh water, magnetic–electric brackish water, and magnetic–electric fresh water, respectively. “0” indicates that no biostimulant is applied.
Figure 7. Characteristics of average salt content in 0–60 cm soil with different irrigation water treatment under the condition of no foliar biostimulant hormone application. Note: In the legend, “B”, “F”, “MIB” and “MIF” stand for brackish water, fresh water, magnetic–electric brackish water, and magnetic–electric fresh water, respectively. “0” indicates that no biostimulant is applied.
Agronomy 14 02117 g007
Figure 8. Characteristics of dry matter accumulation of cotton under different irrigation water and concentrations of foliar biostimulants. Note: In the legend, “B”, “F”, “MIB” and “MIF” stand for brackish water, fresh water, magnetic–electric brackish water, and magnetic–electric fresh water, respectively. “0” indicates that no biological stimulant is sprayed; “1600”, “1200”, “800”, and “400”, respectively, indicate the dilution of biological stimulant solution. Different lowercase letters indicate significant differences between different treatments at the same growth stage (p < 0.05).
Figure 8. Characteristics of dry matter accumulation of cotton under different irrigation water and concentrations of foliar biostimulants. Note: In the legend, “B”, “F”, “MIB” and “MIF” stand for brackish water, fresh water, magnetic–electric brackish water, and magnetic–electric fresh water, respectively. “0” indicates that no biological stimulant is sprayed; “1600”, “1200”, “800”, and “400”, respectively, indicate the dilution of biological stimulant solution. Different lowercase letters indicate significant differences between different treatments at the same growth stage (p < 0.05).
Agronomy 14 02117 g008
Figure 9. Structural equation model analysis results. Note: The “+” indicates a positive correlation, and “−” indicates a negative correlation. * represents p < 0.05, ** represents p < 0.01, and *** represents p < 0.001. GFI = 0.359 and RMSEA = 0.299 represent the model’s goodness-of-fit.
Figure 9. Structural equation model analysis results. Note: The “+” indicates a positive correlation, and “−” indicates a negative correlation. * represents p < 0.05, ** represents p < 0.01, and *** represents p < 0.001. GFI = 0.359 and RMSEA = 0.299 represent the model’s goodness-of-fit.
Agronomy 14 02117 g009
Table 1. Soil physical properties in the experimental area.
Table 1. Soil physical properties in the experimental area.
Soil Depth
(cm)
Soil Bulk Density
(g·cm−3)
Clay (%)Silt (%)Sand (%)Soil Texture
0~201.431.5815.2885.34Sandy loam
20~401.560.729.8489.44Sandy
40~601.570.9010.5088.60Sandy
60~801.541.7011.8086.50Sandy loam
80~1001.551.8014.8083.40Sandy loam
Table 2. Treatment of experimental design.
Table 2. Treatment of experimental design.
Irrigation Water TreatmentBrackish
Water (B)
Fresh
Water (F)
Magnetic–Electric Brackish Water (MIB)Magnetic–Electric Fresh Water (MIF)
The leaves were treated with biostimulantNo sprayNo sprayNo sprayNo spray
1600 times1600 times1600 times1600 times
1200 times1200 times1200 times1200 times
800 times800 times800 times800 times
400 times400 times400 times400 times
Table 3. Time periods of cotton growth stages.
Table 3. Time periods of cotton growth stages.
Growth PeriodTimeDays/d
Seedling Stage21 April 2022~14 June 202254
Budding Stage15 June 2022~5 July 202220
Flowering Stage6 July 2022~25 July 202219
Boll Stage26 July 2022~15 August 202221
Boll Opening Stage16 August 2022~8 September 202222
Table 4. Fertilization and irrigation scheme in the cotton growth period.
Table 4. Fertilization and irrigation scheme in the cotton growth period.
Fertilization
Frequency
Fertilization
Date
Nitrogen Amount (kg·hm−2)Phosphorus Amount
(kg·hm−2)
Potassium Amount
(kg·hm−2)
Water
Amount (mm)
110 June00030
215 June100030
320 June1556.330
426 June206.678.430
51 July301012.630
66 July301012.630
711 July301012.630
816 July301012.630
921 July301012.630
1026 July301012.637.5
111 July301012.637.5
127 August206.678.437.5
1311 August1556.337.5
1416 August103.334.237.5
1521 August03.334.230
Total/300100126487.5
Table 5. The seed cotton yield, yield components and the harvest index.
Table 5. The seed cotton yield, yield components and the harvest index.
Process NameNumber of Effective Bolls (pcs)Single Boll Weight (g)Seed Cotton Yield (kg·hm−2)Harvest Index
B04.03 ± 0.01 Cc4.76 ± 0.09 Cc4624.77 ± 166.33 Bd0.2 ± 0.01 Dc
B16004.90 ± 0.02 Bc5.26 ± 0.10 Bb4728.13 ± 178.83 Bb0.22 ± 0.01 Cb
B12005.22 ± 0.02 Ac5.14 ± 0.07 Bb4859.84 ± 131.29 Bc0.24 ± 0.01 Ba
B8004.91 ± 0.01 Bb5.66 ± 0.08 Aa5392.95 ± 138.03 Aa0.24 ± 0.01 Ba
B4005.36 ± 0.02 Ac5.72 ± 0.09 Ac5493.54 ± 152.90 Ab0.26 ± 0.01 Ab
F04.92 ± 0.01 Dab5.54 ± 0.08 Cab5607.39 ± 137.96 Da0.22 ± 0.01 Da
F16005.95 ± 0.01 Ca5.99 ± 0.08 ABa6409.67 ± 142.44 Ca0.26 ± 0.01 Ca
F12006.01 ± 0.02 Cb5.91 ± 0.08 Bb7070.86 ± 182.76 Ba0.3 ± 0.02 Ba
F8007.32 ± 0.02 Aa6.10 ± 0.08 Ac7643.01 ± 137.95 Ac0.35 ± 0.01 Ac
F4006.67 ± 0.02 Ba5.95 ± 0.10 ABb6771.27 ± 184.27 Bb0.28 ± 0.01 BCa
MIB04.79 ± 0.01 Db5.64 ± 0.06 Ca5129.30 ± 107.27 Cb0.24 ± 0.01 Db
MIB16005.24 ± 0.01 Cb6.15 ± 0.09 Aa6379.06 ± 161.68 Ba0.25 ± 0.01 CDb
MIB12005.06 ± 0.02 Cc6.24 ± 0.09 Ac7057.24 ± 162.66 Ac0.27 ± 0.01 BCc
MIB8007.12 ± 0.02 Aa5.95 ± 0.10 Bb7110.66 ± 184.78 Aa0.32 ± 0.01 Aa
MIB4006.76 ± 0.03 Ba6.16 ± 0.08 Ab6811.14 ± 147.47 Ab0.29 ± 0.01 Bb
MIF05.04 ± 0.02 Da5.80 ± 0.08 Ba5995.57 ± 140.47 Da0.25 ± 0.01 Cab
MIF16005.88 ± 0.03 Ca5.86 ± 0.08 Bc6533.58 ± 147.41 Cb0.25 ± 0.01 Cb
MIF12007.96 ± 0.02 Aa6.22 ± 0.08 Ab7585.71 ± 196.65 Aa0.27 ± 0.01 BCab
MIF8007.29 ± 0.02 Ba6.35 ± 0.10 Aa7843.99 ± 174.84 Aa0.33 ± 0.01 Aa
MIF4005.99 ± 0.02 Cb5.56 ± 0.10 Cc6979.20 ± 171.12 Ba0.29 ± 0.01 Ba
Note: The “B”, “F”, “MIB”, and “MIF” in the processing name stand for brackish water, fresh water, magnetic–electric brackish water, and magnetic–electric fresh water, respectively. “0” indicates that no biological stimulant is sprayed; “1600”, “1200”, “800”, and “400” indicates the dilution of the biological stimulant solution. Different uppercase letters in the same column indicate that there was a significant difference between different foliar biostimulant spray concentrations under the same irrigation water (p < 0.05), and different lowercase letters indicate that there was a significant difference between different irrigation water treatments under the same foliar biostimulant spray concentrations (p < 0.05).
Table 6. Water consumption from 0 to 100 cm during the whole growth period of cotton.
Table 6. Water consumption from 0 to 100 cm during the whole growth period of cotton.
Process
Name
Seedling
(mm)
Bud
(mm)
Flowering
(mm)
Boll
(mm)
Boll Opening
(mm)
Total Water Consumption
(mm)
B040.4582.81106.87187.4089.25506.78
B160039.4384.66108.50193.0783.91509.57
B120042.3392.55103.10188.8585.65512.48
B80044.2590.75105.14197.1678.55515.85
B40044.2292.56113.16192.0078.09520.03
F040.3292.64114.50194.9169.66512.03
F160040.5293.61114.64201.3870.54520.69
F120036.03101.29113.86192.2781.56525.02
F80037.07102.15113.13197.7583.93534.02
F40041.0593.50116.21199.4077.30527.45
MIB041.6288.52117.48180.8181.57510.00
MIB160042.6890.53115.45187.2181.36517.23
MIB120043.7389.94117.80197.9870.92520.37
MIB80044.7396.39115.21193.4276.41526.16
MIB40044.7585.53119.81193.7777.15521.00
MIF042.5897.79108.63191.3981.04521.43
MIF160038.02105.35106.41203.3173.64526.73
MIF120037.68105.08113.76195.9777.42529.91
MIF80041.18101.59111.37202.9992.31549.45
MIF40044.7299.94104.09199.5083.25531.50
Note: The “B”, “F”, “MIB”, and “MIF” in the processing name stand for brackish water, fresh water, magnetic–electric brackish water, and magnetic–electric fresh water, respectively. “0” indicates that no biological stimulant is sprayed; “1600”, “1200”, “800”, and “400”, respectively, indicate the dilution of the biological stimulant solution.
Table 7. Utilization efficiency of water and fertilizer and partial fertilizer productivity of cotton.
Table 7. Utilization efficiency of water and fertilizer and partial fertilizer productivity of cotton.
Process
Name
Nitrogen
Uptake Rate (%)
Phosphorus
Uptake Rate (%)
Potassium
Uptake Rate (%)
Nitrogen Fertilizer Productivity (%)
B022.46 ± 1.52 Dc5.17 ± 0.91 Bc17.22 ± 2.25 Cc15.42 ± 0.43 Bd
B160023.50 ± 2.75 Cb6.89 ± 1.28 Bb23.54 ± 3.11 BCb15.76 ± 0.47 Bb
B120029.25 ± 2.92 Bb9.67 ± 1.60 Ab27.96 ± 4.05 Bb16.20 ± 0.34 Bc
B80036.05 ± 3.07 Ac10.94 ± 1.43 Ab37.34 ± 3.10 Ab17.98 ± 0.36 Ac
B40036.40 ± 3.41 Ab11.39 ± 1.58 Ab38.10 ± 4.20 Ab18.31 ± 0.40 Ab
F026.04 ± 2.15 Bb7.56 ± 0.97 Bab25.88 ± 2.99 Cab18.69 ± 0.36 Db
F160027.73 ± 4.10 Bab10.02 ± 1.91 Bab31.53 ± 4.14 Cab21.37 ± 0.87 Ca
F120044.61 ± 4.95 Aa16.23 ± 1.32 Aa51.24 ± 3.17 Ba23.57 ± 0.68 Ab
F80050.22 ± 3.07 Aab18.92 ± 1.43 Aa58.54 ± 3.70 Aa25.48 ± 0.36 Ba
F40043.18 ± 4.11 Aab16.98 ± 1.91 Aa52.64 ± 3.94 ABa22.57 ± 0.48 Ba
MIB028.17 ± 2.39 Dbc6.76 ± 1.05 Cbc21.71 ± 2.71 Dbc17.10 ± 0.28 Dc
MIB160032.68 ± 3.60 Ca11.94 ± 1.68 Ba35.67 ± 4.34 Ca21.26 ± 0.42 Ca
MIB120041.02 ± 3.62 Ba15.75 ± 1.69 Aa45.52 ± 4.36 Ba23.52 ± 0.43 ABb
MIB80048.47 ± 4.12 Ab18.13 ± 1.91 Aa56.48 ± 4.96 Aa23.70 ± 0.48 Ab
MIB40043.83 ± 3.29 ABab16.44 ± 1.80 Aa50.52 ± 4.66 ABa22.70 ± 0.69 Ba
MIF031.69 ± 1.59 Da8.76 ± 0.74 Ca30.58 ± 1.41 Ca19.99 ± 0.37 Da
MIF160033.8 ± 3.28 Ca12.61 ± 1.74 Ba36.52 ± 4.50 Ca21.78 ± 0.39 Ca
MIF120046.29 ± 4.38 Ba17.65 ± 2.04 Aa50.77 ± 3.28 Ba25.29 ± 0.51 Aa
MIF80055.84 ± 3.89 Aa19.39 ± 1.81 Aa61.79 ± 4.69 Aa26.15 ± 0.46 Aa
MIF40045.94 ± 3.81 Ba17.79 ± 1.77 Aa54.15 ± 4.59 ABa23.26 ± 0.45 Ba
B046.25 ± 3.10 Cc36.70 ± 2.76 Bc0.95 ± 0.04 Bd0.91 ± 0.04 Bc
B160047.28 ± 3.33 Cb37.52 ± 2.97 Bb0.97 ± 0.04 Bb0.93 ± 0.04 Bb
B120048.60 ± 2.44 BCb38.57 ± 2.18 Abb1.00 ± 0.03 Bc0.95 ± 0.03 Bb
B80053.93 ± 2.57 ABc42.80 ± 2.29 Ac1.11 ± 0.03 Ac1.05 ± 0.03 Ac
B40054.94 ± 2.85 Ab43.60 ± 2.54 Ab1.13 ± 0.04 Ab1.06 ± 0.04 Ab
F056.07 ± 2.57 Cab44.50 ± 2.29 Cab1.15 ± 0.03 Db1.1 ± 0.03 Da
F160064.10 ± 6.21 BCa50.87 ± 5.55 BCa1.31 ± 0.08 Ca1.23 ± 0.08 Ca
F120070.71 ± 4.83 ABa56.12 ± 4.31 Aba1.45 ± 0.06 Bb1.35 ± 0.06 Ba
F80076.43 ± 2.57 Aab60.66 ± 2.29 Aab1.57 ± 0.03 Aa1.43 ± 0.03 Aa
F40067.71 ± 3.43 Ba53.74 ± 3.06 Aba1.39 ± 0.04 BCa1.28 ± 0.04 BCa
MIB051.29 ± 2.00 Cbc40.71 ± 1.78 Bbc1.05 ± 0.03 Cc1.01 ± 0.03 Cb
MIB160063.79 ± 3.01 Ba50.63 ± 2.69 Aa1.31 ± 0.04 Ba1.23 ± 0.04 Ba
MIB120070.57 ± 3.03 Aa56.01 ± 2.70 Aa1.45 ± 0.04 Ab1.36 ± 0.04 Aa
MIB80071.11 ± 3.44 Ab56.43 ± 3.07 Ab1.46 ± 0.04 Ab1.35 ± 0.05 Ab
MIB40068.11 ± 4.88 ABa54.06 ± 4.36 Aa1.40 ± 0.06 Ab1.31 ± 0.06 ABa
MIF059.96 ± 2.61 Da47.58 ± 2.33 Da1.23 ± 0.03 Da1.15 ± 0.03 Ca
MIF160065.34 ± 2.74 CDa51.85 ± 2.45 CDa1.34 ± 0.04 Ca1.24 ± 0.04 Ba
MIF120075.86 ± 3.66 ABa60.20 ± 3.27 Aba1.56 ± 0.05 Aa1.43 ± 0.05 Aa
MIF80078.44 ± 3.25 Aa62.25 ± 2.91 Aa1.61 ± 0.04 Aa1.43 ± 0.04 Aa
MIF40069.79 ± 3.19 BCa55.39 ± 2.84 BCa1.43 ± 0.04 Ba1.31 ± 0.04 Ba
Note: In the processing name, “B”, “F”, “MIB”, and “MIF” stand for brackish water, fresh water, magnetic–electric brackish water, and magnetic–electric fresh water, respectively. Different capital letters in the same column of the table indicate that there are significant differences in the spraying concentration of biostimulant in different leaf surfaces under the same irrigation water (p < 0.05), different lowercase letters indicate that there is significant difference between different irrigation water treatments under the same foliar biostimulant spray concentration (p < 0.05).
Disclaimer/Publisher’s Note: The statements, opinions and data contained in all publications are solely those of the individual author(s) and contributor(s) and not of MDPI and/or the editor(s). MDPI and/or the editor(s) disclaim responsibility for any injury to people or property resulting from any ideas, methods, instructions or products referred to in the content.

Share and Cite

MDPI and ACS Style

Sun, Y.; Zhou, C.; Wang, C.; Wang, Q.; Liu, Y.; Wang, J. Responses of Water and Fertilizer Utilization Efficiency and Yield of Cotton to Foliar Biostimulant under Irrigation with Magnetic–Electric-Activated Water. Agronomy 2024, 14, 2117. https://doi.org/10.3390/agronomy14092117

AMA Style

Sun Y, Zhou C, Wang C, Wang Q, Liu Y, Wang J. Responses of Water and Fertilizer Utilization Efficiency and Yield of Cotton to Foliar Biostimulant under Irrigation with Magnetic–Electric-Activated Water. Agronomy. 2024; 14(9):2117. https://doi.org/10.3390/agronomy14092117

Chicago/Turabian Style

Sun, Yan, Chen Zhou, Chunhong Wang, Quanjiu Wang, Yun Liu, and Jian Wang. 2024. "Responses of Water and Fertilizer Utilization Efficiency and Yield of Cotton to Foliar Biostimulant under Irrigation with Magnetic–Electric-Activated Water" Agronomy 14, no. 9: 2117. https://doi.org/10.3390/agronomy14092117

APA Style

Sun, Y., Zhou, C., Wang, C., Wang, Q., Liu, Y., & Wang, J. (2024). Responses of Water and Fertilizer Utilization Efficiency and Yield of Cotton to Foliar Biostimulant under Irrigation with Magnetic–Electric-Activated Water. Agronomy, 14(9), 2117. https://doi.org/10.3390/agronomy14092117

Note that from the first issue of 2016, this journal uses article numbers instead of page numbers. See further details here.

Article Metrics

Back to TopTop