The Response of the Mycobiome to the Biofumigation of Replanted Soil in a Fruit Tree Nursery
Abstract
1. Introduction
2. Materials and Methods
2.1. Experimental Design
2.2. Soil Analyses
2.2.1. Physicochemical Analyses of Soil
2.2.2. Metagenomic Analysis of Fungi in Soil
2.3. Statistical Analysis
3. Results and Discussion
3.1. Soil Physicochemical Properties
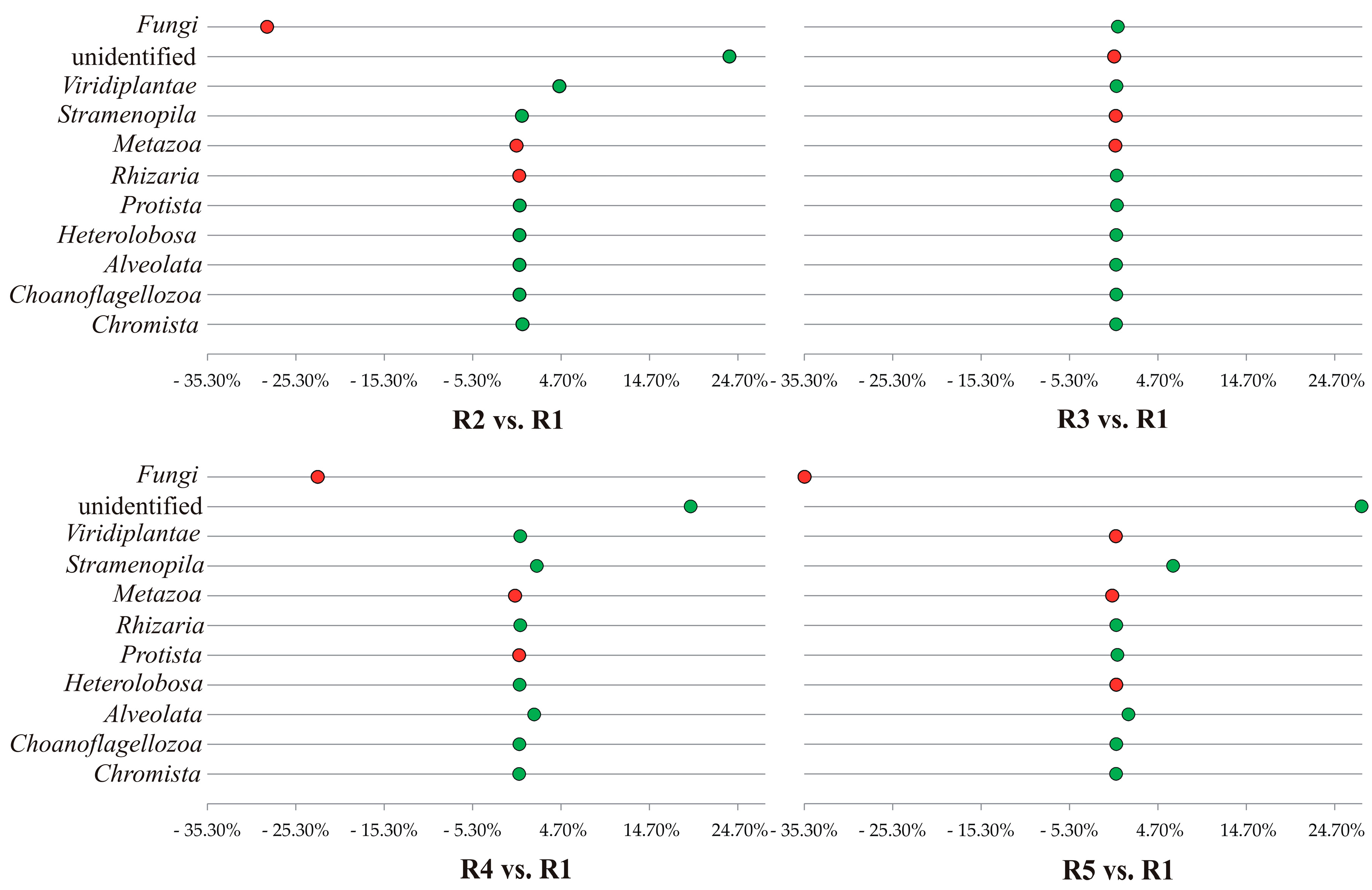
3.2. Mycobiome Structure after Application of Phytosanitary Plants
4. Conclusions
Author Contributions
Funding
Data Availability Statement
Conflicts of Interest
References
- Walker, B.A.; Powell, S.M.; Tegg, R.S.; Doyle, R.B.; Hunt, I.G.; Wilson, C.R. Ten years of green manuring and biofumigation alters soil characteristics and microbiota. Appl. Soil Ecol. 2023, 187, 104836. [Google Scholar] [CrossRef]
- Geisen, S. The future of (soil) microbiome studies: Current limitations, integration, and perspectives. mSystems 2021, 6, e00613–e00621. [Google Scholar] [CrossRef] [PubMed]
- Yadav, A.N.; Kour, D.; Kaur, T.; Devi, R.; Yadav, A.; Dikilitas, M.; Abdel-Azeem, A.M.; Ahluwalia, A.S.; Saxena, A.K. Biodiversity, and biotechnological contribution of beneficial soil microbiomes for nutrient cycling, plant growth improvement and nutrient uptake. Biocatal. Agric. Biotechnol. 2021, 33, 102009. [Google Scholar] [CrossRef]
- Fernandes, M.L.P.; Bastida, F.; Jehmlich, N.; Martinović, T.; Větrovský, T.; Baldrian, P.; Delgado-Baquerizo, M.; Starke, R. Functional soil mycobiome across ecosystems. J. Proteom. 2022, 252, 104428. [Google Scholar] [CrossRef]
- Vétrovský, T.; Kohout, P.; Kopecký, M.; Machac, A.; Man, M.; Bahnmann, B.D.; Brabcová, V.; Choi, J.; Meszárošová, L.; Human, Z.R.; et al. A meta-analysis of global fungal distribution reveals climate-driven patterns. Nat. Commun. 2019, 10, 5142. [Google Scholar] [CrossRef]
- Polme, S.; Abarenkov, K.; Nilsson, R.H.; Lindahl, B.D.; Clemmensen, K.E.; Kauserud, H.; Nguyen, N.; Kjøller, R.; Bates, S.T.; Baldrian, P.; et al. Fungal Traits: A user-friendly traits database of fungi and fungus-like stramenopiles. Fungal Divers. 2020, 105, 1–16. [Google Scholar] [CrossRef]
- Gosnell, H. Regenerating Soil, Regenerating Soul: An Integral Approach to Understanding Agricultural Transformation. Sustain. Sci. 2022, 17, 603–620. [Google Scholar] [CrossRef]
- Winkelmann, T.; Smalla, K.; Amelung, W.; Baab, G.; Grunewaldt-Stöcker, G.; Kanfra, X.; Meyhöfer, R.; Reim, S.; Schmitz, M.; Vetterlein, D.; et al. Apple replant disease: Causes and Mitigation Strategies. Curr. Issues Mol. Biol. 2019, 30, 89–106. [Google Scholar] [CrossRef]
- Nicola, L.; Insam, H.; Pertot, I.; Stres, B. Reanalysis of microbiomes in soils affected by apple replant disease (ARD): Old foes and novel suspects lead to the proposal of extended model of disease development. Appl. Soil Ecol. 2018, 129, 24–33. [Google Scholar] [CrossRef]
- Balbin-Suarez, A.; Lucas, M.; Vetterlein, D.; Sørensen, S.; Winkelmann, S.; Smalla, K.; Jacquiod, S. Exploring prokaryotic determinants of apple replant disease (ARD): A microhabitat approach under split-root design. FEMS Microbiol. Ecol. 2020, 96, fiaa211. [Google Scholar] [CrossRef]
- Manici, L.M.; Ciavatta, C.; Kelderer, M.; Erschbaumer, G. Replant problems in South Tyrol: Role of fungal pathogens and microbial population in conventional and organic apple orchards. J. Plant Soil 2003, 256, 315–324. [Google Scholar] [CrossRef]
- Mazzola, M.; Manici, L.M. Apple replant disease: Role of microbial ecology in cause and control. Annu. Rev. Phytopathol. 2012, 50, 45–65. [Google Scholar] [CrossRef]
- Zhao, L.; Jiang, W.; Chen, R.; Wang, H.; Duan, Y.; Chen, X.; Shen, X.; Yin, C.; Mao, Z. Quicklime and Superphosphate Alleviating Apple Replant Disease by Improving Acidified Soil. ACS Omega 2022, 7, 7920–7930. [Google Scholar] [CrossRef]
- Spath, M.; Insam, H.; Peintner, U.; Kelderer, M.; Kuhnert, R.; Franke-Whittle, I.H. Linking soil biotic and abiotic factors to apple replant disease: A greenhouse approach. J. Phytopathol. 2015, 163, 287–299. [Google Scholar] [CrossRef]
- Tilston, E.L.; Deakin, G.; Bennett, J.; Passey, T.; Harrison, N.B.; O’Brien, F.; Fernandez, F.; Xu, X.M. Candidate causal organisms for apple replant disease in the UK. Phytobiomes J. 2018, 2, 261–274. [Google Scholar] [CrossRef]
- Yin, C.; Duan, Y.N.; Xiang, L.; Wang, G.; Zhang, X.; Shen, X.; Chen, X.; Zhang, M.; Mao, Z. Effects of phloridzin, phloretin and benzoic acid at the concentrations measured in soil on the root proteome of Malus hupehensis Rehd Seedlings. Sci. Hortic. 2018, 228, 10–17. [Google Scholar] [CrossRef]
- Liu, E.T.; Wang, G.S.; Li, Y.Y.; Shen, X.; Chen, X.S.; Song, F.H.; Wu, S.J.; Che, Q.; Mao, Z.Q. Replanting affects the tree growth and fruit quality of Gala apple. J. Integr. Agric. 2014, 13, 1699–1706. [Google Scholar] [CrossRef]
- Henfrey, J.L.; Baab, G.; Schmitz, M. Physiological stress responses in apple under replant conditions. Sci. Hortic. 2015, 194, 111–117. [Google Scholar] [CrossRef]
- Nicola, L.; Turco, E.; Albanese, D.; Donati, C.; Thalheimer, M.; Pindo, M.; Insam, H.; Cavalieri, D.; Pertot, I. Fumigation with dazomet modifies soil microbiota in apple orchards affected by replant disease. Appl. Soil Ecol. 2017, 113, 71–79. [Google Scholar] [CrossRef]
- Nyoni, M.; Mazzola, M.; Wessels, J.P.B.; McLeod, A. The efficacy of semiselective chemicals and chloropicrin/1,3-dichloropropene–containing fumigants in managing apple replant disease in South Africa. Plant Dis. 2019, 103, 1363–1373. [Google Scholar] [CrossRef]
- Rudolph, R.E.; Zasada, I.A.; Hesse, C.; DeVetter, L.W. Brassicaceous seed meal, root removal, and chemical fumigation vary in their effects on soil quality parameters and Pratylenchus penetrans in a replanted floricane raspberry production system. Appl. Soil Ecol. 2019, 133, 44–51. [Google Scholar] [CrossRef]
- Hewavitharana, S.S.; Mazzola, M. Carbon source-dependent efects of aaerobic soil disinfestation on soil microbiome and suppression of Rhizoctonia solani AG-5 and Pratylenchus penetrans. Phytopathology 2016, 106, 1015–1028. [Google Scholar] [CrossRef] [PubMed]
- Cabos, R.Y.M.; Hara, A.H.; Tsang, M.M.C. Hot water drench treatment for control of reniform nematodes in potted dracaena. Nematropica 2012, 42, 72–79. [Google Scholar]
- Yim, B.; Winkelmann, T.; Ding, G.C.; Smalla, K. Different bacterial communities in heat and gamma irradiation treated replant disease soils revealed by 16S rRNA gene analysis—Contribution to improved aboveground apple plant growth? Front. Microbiol. 2015, 6, 1224. [Google Scholar] [CrossRef]
- Franke-Whittle, I.H.; Juárez, M.F.D.; Insam, H.; Schweizer, S.; Naef, A.; Topp, A.R.; Kelderer, M.; Rühmer, T.; Baab, G.; Henfrey, J.; et al. Performance evaluation of locally available composts to reduce replant disease in apple orchards of central Europe. Renew. Agric. Food Syst. 2018, 34, 543–557. [Google Scholar] [CrossRef]
- De Corato, U. Disease-suppressive compost enhances natural soil suppressiveness against soil-borne plant pathogens: A critical review. Rhizosphere 2020, 13, 100192. [Google Scholar] [CrossRef]
- Newton, P.; Civita, N.; Frankel-Goldwater, L.; Bartel, K.; Johns, C. What Is Regenerative Agriculture? A Review of Scholar and Practitioner Definitions Based on Processes and Outcomes. Front. Sustain. Food Syst. 2020, 4, 577723. [Google Scholar] [CrossRef]
- Wieczorek, R.; Zydlik, Z.; Wolna-Maruwka, A.; Niewiadomska, A.; Kayzer, D. The Effect of Biofumigation on the Microbiome Composition in Replanted Soil in a Fruit Tree Nursery. Agronomy 2023, 13, 2507. [Google Scholar] [CrossRef]
- Ko, D.Y.; Seo, S.M.; Lee, Y.H.; Gil, C.S.; Lee, H.; Ku, K.M. Turning glucosinolate into allelopathic fate: Investigating allyl isothiocyanate variability and nitrile formation in eco-friendly Brassica juncea from South Korea. Sci. Rep. 2024, 14, 15423. [Google Scholar] [CrossRef]
- Hamaguchi, T.; Sato, K.; Vicente, C.S.L.; Hasegawa, K. Nematicidal actions of the marigold exudate α-terthienyl: Oxidative stress-inducing compound penetrates nematode hypodermis. Biol. Open 2019, 8, bio038646. [Google Scholar] [CrossRef]
- Kumar, G.N.K.; Jayasudha, S.M.; Kirankumar, K.C. Disease management by Biofumigation in organic farming system. J. Pharmacogn. Phytochem. 2018, 7, 676–679. [Google Scholar]
- Kozak, M.; Bocianowski, J.; Sawkojć, S.; Wnuk, A. Call for more graphical elements in statistical teaching and consultancy. Biom. Lett. 2010, 47, 57–68. [Google Scholar]
- VSN International Genstat for Windows, 23rd ed.; VSN International: Hemel Hempstead, UK, 2023.
- Zhang, D.; Yan, D.; Cheng, H.; Fang, W.; Huang, B.; Wang, X.; Wang, X.; Yan, Y.; Ouyang, C.; Li, Y.; et al. Effects of multi-year biofumigation on soil bacterial and fungal communities and strawberry yield. Environ. Pollut. 2020, 256, 113415. [Google Scholar] [CrossRef]
- Sennett, L.; Burton, D.L.; Goyer, C.; Zebarth, B.J. Influence of chemical fumigation and biofumigation on soil nitrogen cycling processes and nitrifier and denitrifier abundance. Soil Biol. Biochem. 2021, 162, 108421. [Google Scholar] [CrossRef]
- Rawat, N.; Joshi, G.K. Bacterial community structure analysis of a hot spring soil by next generation sequencing of ribosomal RNA. Genomics 2019, 111, 1053–1058. [Google Scholar] [CrossRef] [PubMed]
- Finley, S.J.; Benbow, M.E.; Javan, G.T. Potential applications of soil microbial ecology and next-generation sequencing in criminal investigations. Appl. Soil Ecol. 2015, 88, 69–78. [Google Scholar] [CrossRef]
- Furtak, K.; Grządziel, J.; Gałązka, A.; Niedźwiecki, J. Prevalence of unclassified bacteria in the soil bacterial community from floodplain meadows (fluvisols) under simulated flood conditions revealed by a metataxonomic approachss. Catena 2020, 188, 104448. [Google Scholar] [CrossRef]
- Frąc, M.; Hannula, E.S.; Bełka, M.; Salles, J.F.; Jedryczka, M. Soil mycobiome in sustainable agriculture. Front. Microbiol. 2022, 13, 1033824. [Google Scholar] [CrossRef]
- Leebens-Mack, J.H.; Barker, M.S.; Carpenter, E.J.; Deyholos, M.K.; Gitzendanner, M.A.; Graham, S.W.; Grosse, I.; Li, Z.; Melkonian, M.; Mirarab, S.; et al. One Thousand Plant Transcriptomes and the Phylogenomics of Green Plants. Nature 2019, 574, 679–685. [Google Scholar]
- Becker, B. Function and evolution of the vacuolar compartment in green algae and land plants (Viridiplantae). Int. Rev. Cytol. 2007, 264, 1–24. [Google Scholar]
- Cocquyt, E.; Verbruggen, H.; Leliaert, F.; Zechman, F.W.; Sabbe, K.; De Clerck, O. Gain and loss of elongation factor genes in green algae. BMC Evol. Biol. 2009, 9, 39. [Google Scholar] [CrossRef]
- Qiao, J.; Yu, X.; Liang, X.; Liu, Y.; Borriss, R.; Liu, Y. Addition of plant-growth-promoting Bacillus subtilis PTS-394 on tomato rhizosphere has no durable impact on composition of root microbiome. BMC Microbiol. 2017, 17, 131. [Google Scholar] [CrossRef]
- Wolna-Maruwka, A.; Piechota, T.; Niewiadomska, A.; Kamiński, A.; Kayzer, D.; Grzyb, A.; Pilarska, A.A. The Effect of Biochar-Based Organic Amendments on the Structure of Soil Bacterial Community and Yield of Maize (Zea mays L.). Agronomy 2021, 11, 1286. [Google Scholar] [CrossRef]
- Mhuantong, W.; Wongwilaiwalin, S.; Laothanachareon, T.; Eurwilaichitr, L.; Tangphatsornruang, S.; Boonchayaanant, B.; Limpiyakorn, T.; Pattaragulwanit, K.; Punmatharith, T.; McEvoy, J.; et al. Survey of microbial diversity in flood areas during Thailand 2011 Flood Crisis using high-throughput tagged amplicon pyrosequencing. PLoS ONE 2015, 10, e0128043. [Google Scholar] [CrossRef]
- Delgado-Baquerizo, M. Obscure soil microbes and where to find them. ISME J. 2019, 13, 2120–2124. [Google Scholar] [CrossRef] [PubMed]
- Gaiero, J.R.; Tosi, M.; Bent, E.; Boitt, G.; Khosla, K.; Turner, B.L.; Richardson, A.E.; Condron, L.M.; Dunfield, K.E. Soil microbial communities influencing organic phosphorus mineralization in a coastal dune chronosequence in New Zealand. FEMS Microbiol. Ecol. 2021, 97, fiab034. [Google Scholar] [CrossRef] [PubMed]
- Zhang, J.; Feng, L.; Ouyang, Y.; Hu, R.; Xu, H.; Wang, J. Phosphate-solubilizing bacteria and fungi in relation to phosphorus availability under different land uses for some latosols from Guangdong, China. Catena 2020, 195, 104686. [Google Scholar] [CrossRef]
- Li, B.B.; Roley, S.S.; Duncan, D.S.; Guo, J.; Quensen, J.F.; Yu, H.-Q.; Tiedje, J.M. Long-Term Excess Nitrogen Fertilizer Increases Sensitivity of Soil Microbial Community to Seasonal Change Revealed by Ecological Network and Metagenome Analyses. Soil Biol. Biochem. 2021, 160, 108349. [Google Scholar] [CrossRef]
- Gao, W.H.; Gao, K.; Guo, Z.H.; Liu, Y.; Jiang, L.; Liu, C.; Liu, X.Y.; Wang, G.L. Different Responses of Soil Bacterial and Fungal Communities to 3 Years of Biochar Amendment in an Alkaline Soybean Soil. Front. Microbiol. 2021, 12, 630418. [Google Scholar] [CrossRef]
- Hegedüs, N.; Marx, F. Antifungal Proteins: More than Antimicrobials? Fungal Biol. Rev. 2013, 26, 132–145. [Google Scholar] [CrossRef]
- Meyer, V.; Jung, S. Antifungal Peptides of the AFP Family Revisited: Are These Cannibal Toxins? Microorganisms 2018, 6, 50. [Google Scholar] [CrossRef] [PubMed]
- Marx, F. Small, basic antifungal proteins secreted from filamentous ascomycetes: A comparative study regarding expression, structure, function and potential application. Appl. Microbiol. Biotechnol. 2004, 65, 133–142. [Google Scholar] [CrossRef] [PubMed]
- Lee, D.G.; Shin, S.Y.; Maeng, C.Y.; Jin, Z.Z.; Kim, K.L.; Hahm, K.S. Isolation and Characterization of a Novel Antifungal Peptide from Aspergillus niger. Biochem. Biophys. Res. Commun. 1999, 263, 646–651. [Google Scholar]
- Tóth, L.; Kele, Z.; Borics, A.; Nagy, L.G.; Váradi, G.; Virágh, M.; Takó, M.; Vágvölgyi, C.; Galgóczy, L. NFAP2, a novel cysteine-rich anti-yeast protein from Neosartorya fischeri NRRL 181: Isolation and characterization. AMB Express 2016, 6, 75. [Google Scholar] [CrossRef]
- Huber, A.; Hajdu, D.; Bratschun-Khan, D.; Gáspári, Z.; Varbanov, M.; Philippot, S.; Fizil, Á.; Czajlik, A.; Kele, Z.; Sonderegger, C.; et al. New Antimicrobial Potential and Structural Properties of PAFB: A Cationic, Cysteine-Rich Protein from Penicillium chrysogenum Q176. Sci. Rep. 2018, 8, 1751. [Google Scholar] [CrossRef] [PubMed]
- Engalycheva, I.; Kozar, E.; Frolova, S.; Vetrova, S.; Tikhonova, T.; Dzhos, E.; Kostanchuk, Y. Fusarium Species Causing Pepper Wilt in Russia: Molecular Identification and Pathogenicity. Microorganisms 2024, 12, 343. [Google Scholar] [CrossRef]
- Marx, F.; Binder, U.; Leiter, É.; Pócsi, I. The Penicillium chrysogenum antifungal protein PAF, a promising tool for the development of new antifungal therapies and fungal cell biology studies. Cell. Mol. Life Sci. 2008, 65, 445–454. [Google Scholar] [CrossRef]
- Sonderegger, C.; Galgóczy, L.; Garrigues, S.; Fizil, Á.; Borics, A.; Manzanares, P.; Hegedüs, N.; Huber, A.; Marcos, J.F.; Batta, G. A Penicillium Chrysogenum-Based Expression System for the Production of Small, Cysteine-Rich Antifungal Proteins for Structural and Functional Analyses. Microb. Cell Factories 2016, 15, 192. [Google Scholar] [CrossRef]
- Wang, H.Y.; Zhao, L.; Jiang, W.T.; Zhang, R.; Chen, R.; Mao, Y.F.; Chen, X.S.; Shen, H.; Yin, C.M.; Mao, Z.Q. Effects of Allium fistulosum-Brassica juncea-Triticum aestivum rotation a year on the soil microbial environment and the subsequent growth of young apple trees. Sci. Hortic. 2021, 290, 110549. [Google Scholar] [CrossRef]









| Soil Properties | R1 | R2 | R3 | R4 | R5 |
|---|---|---|---|---|---|
| pH (H2O) | 7.6 | 5.8 | 6.9 | 6.7 | 6.8 |
| Bulk density (g dm−3) | 1600 | 1830 | 1610 | 1640 | 1740 |
| Salinity (g Na Cl dm−3) | 0.23 | 0.23 | 0.23 | 0.23 | 0.23 |
| Humus content (%) | 4.88 | 1.70 | 3.10 | 2.80 | 2.95 |
| N-NO3 (mg dm−3) | <3.9 | <3.9 | <3.9 | <3.9 | <3.9 |
| P (mg dm−3) | 127 | 30 | 115 | 105 | 98 |
| K (mg dm−3) | 229 | 89 | 180 | 167 | 156 |
| Ca (mg dm−3) | 1333 | 240 | 1200 | 1180 | 1100 |
| Mg (mg dm−3) | 188 | 38 | 160 | 166 | 140 |
| Cl (mg dm−3) | <21.3 | <21.3 | <21.3 | <21.3 | <21.3 |
Disclaimer/Publisher’s Note: The statements, opinions and data contained in all publications are solely those of the individual author(s) and contributor(s) and not of MDPI and/or the editor(s). MDPI and/or the editor(s) disclaim responsibility for any injury to people or property resulting from any ideas, methods, instructions or products referred to in the content. |
© 2024 by the authors. Licensee MDPI, Basel, Switzerland. This article is an open access article distributed under the terms and conditions of the Creative Commons Attribution (CC BY) license (https://creativecommons.org/licenses/by/4.0/).
Share and Cite
Wieczorek, R.; Zydlik, Z.; Wolna-Maruwka, A.; Kubiak, A.; Bocianowski, J.; Niewiadomska, A. The Response of the Mycobiome to the Biofumigation of Replanted Soil in a Fruit Tree Nursery. Agronomy 2024, 14, 1961. https://doi.org/10.3390/agronomy14091961
Wieczorek R, Zydlik Z, Wolna-Maruwka A, Kubiak A, Bocianowski J, Niewiadomska A. The Response of the Mycobiome to the Biofumigation of Replanted Soil in a Fruit Tree Nursery. Agronomy. 2024; 14(9):1961. https://doi.org/10.3390/agronomy14091961
Chicago/Turabian StyleWieczorek, Robert, Zofia Zydlik, Agnieszka Wolna-Maruwka, Adrianna Kubiak, Jan Bocianowski, and Alicja Niewiadomska. 2024. "The Response of the Mycobiome to the Biofumigation of Replanted Soil in a Fruit Tree Nursery" Agronomy 14, no. 9: 1961. https://doi.org/10.3390/agronomy14091961
APA StyleWieczorek, R., Zydlik, Z., Wolna-Maruwka, A., Kubiak, A., Bocianowski, J., & Niewiadomska, A. (2024). The Response of the Mycobiome to the Biofumigation of Replanted Soil in a Fruit Tree Nursery. Agronomy, 14(9), 1961. https://doi.org/10.3390/agronomy14091961

