Seed- and Foliar-Applied Iron Chelate Improves Performance, Physiological, and Biochemical Aspects of Black Cumin (Nigella sativa) under Semi-Arid Conditions
Abstract
1. Introduction
2. Materials and Methods
2.1. Experimental Location
2.2. Climate and Soil Characteristics of the Region
2.3. Experimental Design and Treatments
2.4. Crop Management
2.5. Measurements
2.5.1. Determination of Photosynthetic Pigments
2.5.2. Determination of Proline Content
2.5.3. Determination of Relative Water Content (RWC)
- FW = leaf fresh weight immediately after collection;
- DW = leaf dry weight after oven drying;
- SW = leaf-saturated weight following exposure to distilled water.
2.5.4. Determination of Membrane Lipid Peroxidation
- A = absorption rate;
- Ɛ = extinction coefficient of malondialdehyde at 532 nm (155 m/M/cm);
- V = sample volume (L);
- FW = weight of fresh leaf tissue in the sample (0.1 g);
- d = width of cut (cm).
2.5.5. Membrane Electrolyte Leakage (EL)
- C1 = primary electrical conductivity;
- C2 = final electrical conductivity.
2.5.6. Morphological Parameters
2.6. Data Analysis
3. Results
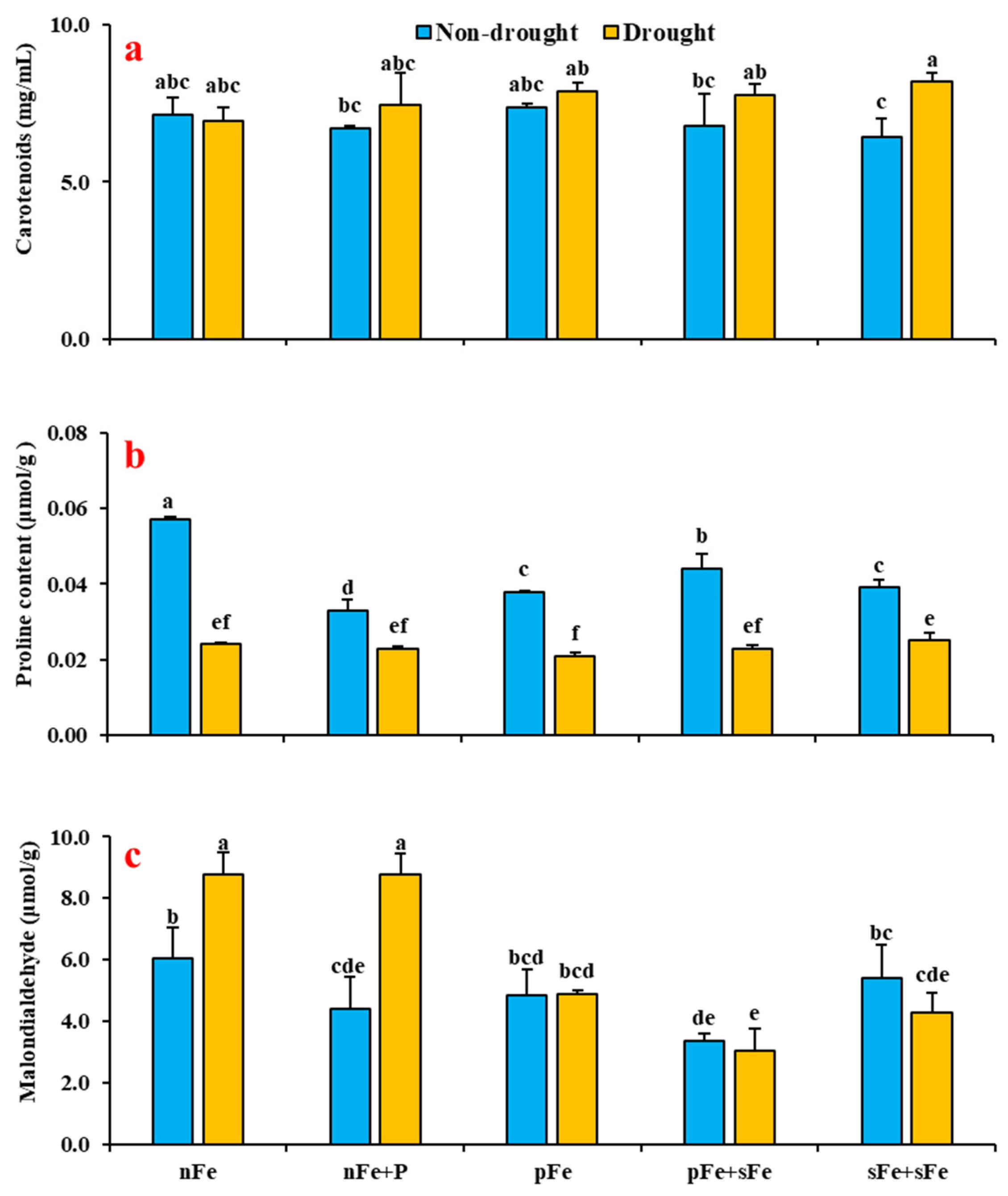
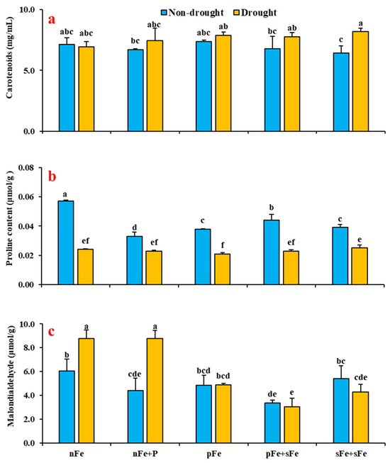
3.1. Photosynthetic Pigments
3.2. Proline Content
3.3. Relative Water Content (RWC)
3.4. Membrane Lipid Peroxidation
3.5. Membrane Electrolyte Leakage
3.6. Plant Height
3.7. Branch Number
3.8. Follicle Number
3.9. Seed Number
3.10. Thousand-Seed Weight
3.11. Seed Yield
4. Discussion
5. Conclusions
Author Contributions
Funding
Data Availability Statement
Acknowledgments
Conflicts of Interest
References
- Salehi, A.; Fallah, S.; Abbasi Sourki, A. Organic and inorganic fertilizer effect on soil CO2 flux, microbial biomass, and growth of Nigella sativa L. Int. Agrophys. 2017, 31, 103–116. [Google Scholar] [CrossRef]
- Rostaei, M.; Fallah, S.; Lorigooini, Z.; Abbasi Surki, A. Crop productivity and chemical compositions of black cumin essential oil in sole crop and intercropped with soybean under contrasting fertilization. Ind. Crops Prod. 2018, 125, 622–629. [Google Scholar] [CrossRef]
- Albakry, Z.; Karrar, E.; Ahmed, I.A.M.; Oz, E.; Proestos, C.; El Sheikha, A.F.; Oz, F.; Wu, G.; Wang, X. Nutritional Composition and Volatile Compounds of Black Cumin (Nigella sativa L.) Seed, Fatty Acid Composition and Tocopherols, Polyphenols, and Antioxidant Activity of Its Essential Oil. Horticulturae 2022, 8, 575. [Google Scholar] [CrossRef]
- Espanany, A.; Fallah, S.; Tadayyon, A. Seed priming improves seed germination and reduces oxidative stress in black cumin (Nigella sativa) in presence of cadmium. Ind. Crops Prod. 2016, 79, 195–204. [Google Scholar] [CrossRef]
- Rashwan, H.K.; Mahgoub, S.; Abuelezz, N.Z.; Amin, H.K. Black Cumin Seed (Nigella sativa) in Inflammatory Disorders: Therapeutic Potential and Promising Molecular Mechanisms. Drugs Drug Candidates 2023, 2, 516–537. [Google Scholar] [CrossRef]
- Fallah, S.; Malekzadeh, S.; Pessarakli, M. Seed priming improves seedling emergence and reduces oxidative stress in Nigella sativa under soil moisture stress. J. Plant Nutr. 2018, 41, 29–40. [Google Scholar] [CrossRef]
- Higazy, A.E.; El-Mahrouk, M.E.; El-Banna, A.N.; Maamoun, M.K.; El-Ramady, H.; Abdalla, N.; Dobránszki, J. Production of Black Cumin via Somatic Embryogenesis, Chemical Profile of Active Compounds in Callus Cultures and Somatic Embryos at Different Auxin Supplementations. Agronomy 2023, 13, 2633. [Google Scholar] [CrossRef]
- Fallah, S.; Mirzaei, A.A.; Pessarakli, M. Reducing nitrogen and deficit irrigation is a practical solution for optimal forage barley production in semi-arid cropping systems. J. Plant Nutr. 2024, 47, 2419–2429. [Google Scholar] [CrossRef]
- Seleiman, M.F.; Al-Suhaibani, N.; Ali, N.; Akmal, M.; Alotaibi, M.; Refay, Y.; Dindaroglu, T.; Abdul-Wajid, H.H.; Battaglia, M.L. Drought Stress Impacts on Plants and Different Approaches to Alleviate Its Adverse Effects. Plants 2021, 10, 259. [Google Scholar] [CrossRef]
- Nguyen, T.C.; Jo, H.; Tran, H.A.; Lee, J.; Lee, J.-D.; Kim, J.H.; Seo, H.S.; Song, J.T. Assessment of Drought Responses of Wild Soybean Accessions at Different Growth Stages. Agronomy 2024, 14, 471. [Google Scholar] [CrossRef]
- Wu, J.; Cheng, G.; Wang, N.; Shen, H.; Ma, X. Spatiotemporal Patterns of Multiscale Drought and Its Impact on Winter Wheat Yield over North China Plain. Agronomy 2022, 12, 1209. [Google Scholar] [CrossRef]
- Chen, M.; Zhang, T.-L.; Hu, C.-G.; Zhang, J.-Z. The Role of Drought and Temperature Stress in the Regulation of Flowering Time in Annuals and Perennials. Agronomy 2023, 13, 3034. [Google Scholar] [CrossRef]
- Jalil Sheshbahreh, M.; Movahhedi Dehnavi, M.; Salehi, A.; Bahreininejad, B. Effect of irrigation regimes and nitrogen sources on biomass production, water and nitrogen use efficiency and nutrients uptake in coneflower (Echinacea purpurea L.). Agric. Water Manag. 2019, 213, 358–367. [Google Scholar] [CrossRef]
- Soltanieh, M.; Talei, D.; Nejatkhah, P. Performance reaction and biochemical properties of black cumin under the influence of different regimes of nitrogen, menthol and drought stress. Acta Univ. Agric. Silvic. Mendel. Brun. 2023, 71, 15–33. [Google Scholar] [CrossRef]
- Kayacetin, F. Selection of some important species in genus Brassica against drought and salt tolerance by morphological observations on germination and seedling growth parameters. Fresenius Environ. Bull. 2021, 30, 9228–9236. [Google Scholar] [CrossRef]
- Abdelaal, K.; Alsubeie, M.S.; Hafez, Y.; Emeran, A.; Moghanm, F.; Okasha, S.; Omara, R.; Basahi, M.A.; Darwish, D.B.E.; Ibrahim, M.F.M.; et al. Physiological and Biochemical Changes in Vegetable and Field Crops under Drought, Salinity and Weeds Stresses: Control Strategies and Management. Agriculture 2022, 12, 2084. [Google Scholar] [CrossRef]
- Barker, A.V.; Pilbeam, D.J. Handbook of Plant Nutrition, 2nd ed.; CRC Press: Boca Raton, FL, USA, 2015; 773p. [Google Scholar] [CrossRef]
- Nekoukhou, M.; Fallah, S.; Abbasi-Surki, A.; Pokhrel, L.R.; Rostamnejadi, A. Improved efficacy of foliar application of zinc oxide nanoparticles on zinc biofortification, primary productivity and secondary metabolite production in dragonhead. J. Clean. Prod. 2022, 379, 134803. [Google Scholar] [CrossRef]
- Yusefi-Tanha, E.; Fallah, S.; Rostamnejadi, A.; Pokhrel, L.R. Zinc oxide nanoparticles (ZnONPs) as a novel nanofertilizer: Influence on seed yield and antioxidant defense system in soil grown soybean (Glycine max cv. Kowsar). Sci. Total Environ. 2020, 738, 140240. [Google Scholar] [CrossRef]
- Ding, W.-L.; Clode, P.-L.; Lambers, H. Effects of pH and bicarbonate on the nutrient status and growth of three Lupinus species. Plant Soil 2020, 447, 9–28. [Google Scholar] [CrossRef]
- Waqas Mazhar, M.; Ishtiaq, M.; Maqbool, M.; Akram, R.; Shahid, A.; Shokralla, S.; Al-Ghobari, H.; Alataway, A.; Dewidar, A.Z.; El-Sabrout, A.M.; et al. Seed Priming with Iron Oxide Nanoparticles Raises Biomass Production and Agronomic Profile of Water-Stressed Flax Plants. Agronomy 2022, 12, 982. [Google Scholar] [CrossRef]
- Ali, Q.; Shahid, S.; Ali, S.; El-Esawi, M.A.; Hussain, A.I.; Perveen, R.; Iqbal, N.; Rizwan, M.; Nasser Alyemeni, M.; El-Serehy, H.A.; et al. Fertigation of Ajwain (Trachyspermum ammi L.) with Fe-Glutamate ConFers Better Plant Performance and Drought Tolerance in Comparison with FeSO4. Sustainability 2020, 12, 7119. [Google Scholar] [CrossRef]
- Ali, Q.; Ali, S.; El-Esawi, M.A.; Rizwan, M.; Azeem, M.; Hussain, A.I.; Perveen, R.; El-Sheikh, M.A.; Alyemeni, M.N.; Wijaya, L. Foliar Spray of Fe-Asp ConFers Better Drought Tolerance in Sunflower as Compared with FeSO4: Yield Traits, Osmotic Adjustment, and Antioxidative Defense Mechanisms. Biomolecules 2020, 10, 1217. [Google Scholar] [CrossRef] [PubMed]
- Rhoades, J.D. Electrical conductivity and total dissolved soilds. In Methods of Soil Analysis; Sparks, D.L., Ed.; Part 3. Chemical Methods; SSSA: Madison, WI, USA, 1996; pp. 417–435. [Google Scholar]
- Bremner, J.M. Nitrogen-total. In Methods of Soil Analysis; Sparks, D.L., Ed.; Part 3. SSSA Book Ser. 5; SSSA: Madison, WI, USA, 1996; pp. 1085–1121. [Google Scholar]
- Olsen, S.R.; Sommers, L.E. Phosphorus. In Methods of Soil Analysis; Page, A.L., Miller, R.H., Keeney, D.R., Eds.; Part 2. Chemical and Microbiological Properties; American Society of Agronomy Madison: SSSA: Madison, WI, USA, 1982; pp. 403–430. [Google Scholar]
- Simard, R.R. Ammonium acetate-extractable elements. In Soil Sampling and Methods of Analysis; Carter, M.R., Ed.; Lewis Publishers: Boca Raton, FL, USA, 1993; pp. 39–42. [Google Scholar]
- Soltanpour, P.N.; Schwab, A. A new soil test for simultaneous extraction of macro and micronutrients in alkaline soil. Commun. Soil Sci. Plant Anal. 1977, 8, 195–207. [Google Scholar] [CrossRef]
- Lichtenthaler, H.K.; Buschman, C. Chlorophylls and carotenoids: Measurement and characterization by UV-VIS spectroscopy. In Current Protocols in Food Analytical Chemistry; Wrolstad, R.E., Ed.; John Wiley and Sons, Inc.: New York, NY, USA, 2001; pp. F4.3.1–F4.3.8. [Google Scholar] [CrossRef]
- Bates, L.S.; Waldern, R.P.; Tear, I.D. Rapid determination of free proline for water stress studies. Plant Soil 1973, 39, 205–207. [Google Scholar] [CrossRef]
- Martinez, J.P.; Silva, H.; Ledent, J.F.; Pinto, M. Effect of drought stress on the osmotic adjustment, cell wall elasticity and cell volume of six cultivars of common beans (Phaseolus vulgaris L.). Eur. J. Agron. 2007, 26, 30–38. [Google Scholar] [CrossRef]
- Heath, R.L.; Packer, L. Photoperoxidation in isolated chloroplast. Kinetics and stoichionetry of fatty acid peroxidation. Arch. Biochem. Biophys. 1968, 125, 189–198. [Google Scholar] [CrossRef] [PubMed]
- Narwal, S.S.; Bogatek, R.; Zagdanska, B.M.; Sampietro, D.A.; Vattuone, M.A. Plant Biochemistry; Studium Press LLC: Houston, TX, USA, 2009. [Google Scholar]
- Dionisio-Sese, M.L.; Tobita, S. Antioxidant responses of rice seedlings to salinity stress. Plant Sci. 1998, 135, 1–9. [Google Scholar] [CrossRef]
- Chaves, M.M.; Flexas, J.; Pinheiro, C. Photosynthesis under drought and salt stress: Regulation mechanisms from whole plant to cell. Ann. Bot. 2009, 103, 551–560. [Google Scholar] [CrossRef]
- Kakulvand, R.; Fallah, S.; Abassi Sourki, A. Effects of species competition on photosynthetic pigments, proline, relative water content, and essence fenugreek (Trigonella foenum-graceum) and black cumin (Nigella sativa L.) under drought stress conditions in intercropping system. Plant Process Funct. 2018, 6, 255–270. Available online: http://jispp.iut.ac.ir/article-1-821-fa.html (accessed on 12 March 2017).
- Dumanović, J.; Nepovimova, E.; Natić, M.; Kuča, K.; Jaćević, V. The Significance of Reactive Oxygen Species and Antioxidant Defense System in Plants: A Concise Overview. Front. Plant Sci. 2021, 11, 552969. [Google Scholar] [CrossRef]
- Mirjahanmardi, H.; Ehsanzadeh, P. Iron supplement ameliorates drought-induced alterations in physiological attributes of fennel (Foeniculum vulgare). Nutr. Cycl. Agroecosyst. 2016, 106, 61–76. [Google Scholar] [CrossRef]
- Saeidi Aboueshaghi, R.; Yadavi, A.; Movahhedi Dehnavi, M.; Baluchi, H. Effect of irrigation intervals and foliar application of iron and zinc on some physiological and morphological characteristics of red bean (Phaseolous vulgaris L.). Plant Process Funct. 2014, 3, 27–42. Available online: http://jispp.iut.ac.ir/article-1-77-fa.html (accessed on 8 September 2014).
- Mishra, D. Hero or sidekick? Organellar reactive oxygen species during abscisic acid-induced stomatal closure. Plant Physiol. 2023, 192, 10–11. [Google Scholar] [CrossRef]
- Kumari, V.V.; Banerjee, P.; Verma, V.C.; Sukumaran, S.; Chandran, M.A.S.; Gopinath, K.A.; Venkatesh, G.; Yadav, S.K.; Singh, V.K.; Awasthi, N.K. Plant Nutrition: An Effective Way to Alleviate Abiotic Stress in Agricultural Crops. Int. J. Mol. Sci. 2022, 23, 8519. [Google Scholar] [CrossRef] [PubMed]
- Mahmoud, A.W.M.; Ayad, A.A.; Abdel-Aziz, H.S.M.; Williams, L.L.; El-Shazoly, R.M.; Abdel-Wahab, A.; Abdeldaym, E.A. Foliar Application of Different Iron Sources Improves Morpho-Physiological Traits and Nutritional Quality of Broad Bean Grown in Sandy Soil. Plants 2022, 11, 2599. [Google Scholar] [CrossRef]
- Hansen, N.C.; Schmitt, M.A.; Anderson, J.E.; Strok, J.S. Iron deficiency of soybean in the upper midwest and associated soil properties. Agron. J. 2003, 95, 1595–1601. [Google Scholar] [CrossRef]
- Wang, W.; Cui, K.; Hu, Q.; Wu, C.; Li, G.; Huang, J.; Peng, S. Response of spikelet water status to high temperature and its relationship with heat tolerance in rice. Crop J. 2021, 9, 1344–1356. [Google Scholar] [CrossRef]
- Jalil Sheshbahreh, M.; Movahhedi Dehnavi, M.; Salehi, A.; Bahreininejad, B. Physiological and yield responses of purple coneflower (Echinacea purpurea (L.) Moench) to nitrogen sources at different levels of irrigation. Physiol. Mol. Biol. Plants 2019, 25, 177–187. [Google Scholar] [CrossRef]
- Akbarimehr, S.; Sayfzadeh, S.; Shahsavari, N.; Valad Abadi, S.A.; Masouleh, E.H. Cycocel, iron and zinc effects on yield and physiological characteristics of wheat under drought stress conditions. J. Plant Nutr. 2022, 45, 664–673. [Google Scholar] [CrossRef]







| Texture | pH | Electrical Conductivity | Organic Carbon | Field Capacity | Total Nitrogen | Available Phosphorus | Available Potassium | Copper | Iron | Manganese | Zinc |
|---|---|---|---|---|---|---|---|---|---|---|---|
| (dS/m) | (%) | (%) | (%) | (mg/kg) | (mg/kg) | (mg/kg) | (mg/kg) | (mg/kg) | (mg/kg) | ||
| Clay loam | 8.0 | 1.5 | 0.76 | 23.1 | 0.01 | 11.6 | 83 | 0.77 | 1.9 | 6.2 | 0.63 |
| S.o.V a | Df | Chlorophyll a | Chlorophyll b | Chlorophyll a + b | Carotenoids | Proline Content | Relative Water Content | Malondialdehyde | Electrolyte Leakage |
|---|---|---|---|---|---|---|---|---|---|
| R | 2 | 2.07 ns | 0.38 ns | 3.31 ns | 0.07 ns | 0.05 ns | 21.6 ns | 0.34 ns | 0.001 ns |
| W | 1 | 60.7 ** | 2.72 ns | 89.1 ** | 0.16 ns | 3352 | 316 ** | 9.8 ** | 0.40 ** |
| Fe | 4 | 1.0 ns | 0.54 ns | 2.2 ns | 0.31 ns | 283 ** | 31.2 ns | 16.2 ** | 0.22 ** |
| W × Fe | 4 | 3.65 ns | 0.42 ns | 5.4 ns | 1.8 * | 261 ** | 35.1 ns | 7.9 ** | 0.61 ns |
| Error | 18 | 3.3 | 0.69 | 6.2 | 0.49 | 3.5 | 33.4 | 0.78 | 0.01 |
| C.V (%) | 10.4 | 11.7 | 10.1 | 9.7 | 9.7 | 7.3 | 16.4 | 4.3 |
| S.o.V a | Df | Plant Height | Branch/Plant | Follicle/Plant | Seed/Follicle | 1000-Seed Weight | Seed Yield |
|---|---|---|---|---|---|---|---|
| R | 2 | 0.01 ns | 0.05 ns | 4.34 ns | 0.83 ns | 0.04 ns | 12,883 ns |
| W | 1 | 44.7 ** | 0.02 ns | 90.8 ** | 52.7 ** | 0.07 * | 143,558 ** |
| Fe | 4 | 11.6 ** | 0.92 * | 47.9 ** | 49.7 ** | 0.12 ** | 87,822 ** |
| W × Fe | 4 | 4.61 ** | 0.40 ns | 3.44 ** | 12.2 ** | 0.02 ns | 5394 ns |
| Error | 18 | 0.10 | 0.24 | 0.49 | 0.82 | 0.01 | 2204 |
| C.V (%) | 0.67 | 0.55 | 3.1 | 0.79 | 3.6 | 7.0 |
Disclaimer/Publisher’s Note: The statements, opinions and data contained in all publications are solely those of the individual author(s) and contributor(s) and not of MDPI and/or the editor(s). MDPI and/or the editor(s) disclaim responsibility for any injury to people or property resulting from any ideas, methods, instructions or products referred to in the content. |
© 2024 by the authors. Licensee MDPI, Basel, Switzerland. This article is an open access article distributed under the terms and conditions of the Creative Commons Attribution (CC BY) license (https://creativecommons.org/licenses/by/4.0/).
Share and Cite
Nurozi-Boldaji, Z.; Fallah, S.; Yusefi-Tanha, E.; Gollner, G.; Salehi, A. Seed- and Foliar-Applied Iron Chelate Improves Performance, Physiological, and Biochemical Aspects of Black Cumin (Nigella sativa) under Semi-Arid Conditions. Agronomy 2024, 14, 1788. https://doi.org/10.3390/agronomy14081788
Nurozi-Boldaji Z, Fallah S, Yusefi-Tanha E, Gollner G, Salehi A. Seed- and Foliar-Applied Iron Chelate Improves Performance, Physiological, and Biochemical Aspects of Black Cumin (Nigella sativa) under Semi-Arid Conditions. Agronomy. 2024; 14(8):1788. https://doi.org/10.3390/agronomy14081788
Chicago/Turabian StyleNurozi-Boldaji, Zeynab, Sina Fallah, Elham Yusefi-Tanha, Gabriele Gollner, and Aliyeh Salehi. 2024. "Seed- and Foliar-Applied Iron Chelate Improves Performance, Physiological, and Biochemical Aspects of Black Cumin (Nigella sativa) under Semi-Arid Conditions" Agronomy 14, no. 8: 1788. https://doi.org/10.3390/agronomy14081788
APA StyleNurozi-Boldaji, Z., Fallah, S., Yusefi-Tanha, E., Gollner, G., & Salehi, A. (2024). Seed- and Foliar-Applied Iron Chelate Improves Performance, Physiological, and Biochemical Aspects of Black Cumin (Nigella sativa) under Semi-Arid Conditions. Agronomy, 14(8), 1788. https://doi.org/10.3390/agronomy14081788

