Next Article in Journal
Photosynthetic Limitations and Growth Traits of Four Arabica Coffee (Coffea arabica L.) Genotypes under Water Deficit
Previous Article in Journal
Mechanized No-Tillage Planting with Maize Straw Mulching Improves Potato Yield and Water Use Efficiency in Arid Regions of Northwest China
 
 
Font Type:
Arial Georgia Verdana
Font Size:
Aa Aa Aa
Line Spacing:
Column Width:
Background:
Article

Nitrogen Fertilization Alleviates Barley (Hordeum vulgare L.) Waterlogging

Tasmanian Institute of Agriculture, University of Tasmania, Launceston, TAS 7250, Australia
*
Author to whom correspondence should be addressed.
Agronomy 2024, 14(8), 1712; https://doi.org/10.3390/agronomy14081712
Submission received: 8 July 2024 / Revised: 26 July 2024 / Accepted: 1 August 2024 / Published: 4 August 2024
(This article belongs to the Section Crop Breeding and Genetics)

Abstract

Waterlogging increasingly challenges crop production, affecting 10% of global arable land, necessitating the development of pragmatic strategies for mitigating the downside risk of yield penalty. Here, we conducted experiments under controlled (tank) and field conditions to evaluate the efficacy of nitrogenous fertiliser in alleviating waterlogging stress. Without intervention, we found that waterlogging reduced grain yields, spike numbers and shoot biomass, but had a de minimus impact on grain number per spike and increased grain weight. Soil fertiliser mitigated waterlogging damage, enhancing yields via increased spike numbers, with crop recovery post-waterlogging catalysed via improved tiller numbers, plant height and canopy greenness. Foliar nitrogen spray has little impact on crop recovery, possibly due to stomatal closure, while modest urea application during and after waterlogging yielded similar results to greater N application at the end of waterlogging. Waterlogging-tolerant genotypes (P-17 and P-52) showed superior growth and recovery during and after waterlogging compared to the waterlogging-sensitive genotypes (Planet and P-79). A comparison of fertiliser timing revealed that field fertilizer treatment two (F2: 90 kg·ha−1 at 28 DWL, 45 kg·ha−1 at sowing and 45 kg·ha−1 at 30 DR) yielded the highest and fertilizer treatment three (F3: 45 kg·ha−1 at sowing and 45 kg·ha−1 at 30 DR) recovered the lowest yield and spike number, while fertilizer treatment one (F1: 45 kg·ha−1 at 28 DWL, 45 kg·ha−1 at 0 DR, 45 kg·ha−1 at sowing and 45 kg·ha−1 at 30 DR) and four (F4: 90 kg·ha−1 at 0 DR, 45 kg·ha−1 at sowing and 45 kg·ha−1 at 30 DR) had the highest shoot biomass in the field. Treatment five (T5: 180 kg·ha−1 at 0 DR, 30 kg·ha−1 at sowing and 90 kg·ha−1 at 30 DR) presented the most favourable results in the tank. Our results provide rigorous evidence that long periods of waterlogging caused significant yield penalty, mainly due to decreased spike numbers. We contend that increasing fertiliser rates during waterlogging up to 90 kg·ha−1 can provoke crop growth and mitigate waterlogging-induced grain yield losses, and is more beneficial than applying nitrogen post-waterlogging.

1. Introduction

Implications of crop waterlogging for food production and security are poorly understood, even though waterlogging impacts more than 10% of global arable land each year [1,2]. Waterlogging can arise due to extreme precipitation events, poor soil drainage, improper crop type or genotype, lateral surface or subsurface flows, perched or rising water tables, excessive irrigation, lack of crop nutrient availability, or a combination thereof [3,4]. Notably, AUD 300 million of Australian crop production is impacted by waterlogging annually [5,6], with western regions being most severely affected [7].
Barley, harvested across 50–80 million ha [8], has historically played a crucial role in sustaining global food production, particularly in Asia and North America [9]. However, barley production has notably declined in recent decades due to increased incidences of waterlogging [4]. A comprehensive literature review underscored the substantial impact of waterlogging on barley yields, revealing a decrease of 20–25 percent [10]. Waterlogging inhibits crop photosynthesis [11] and negatively impacts seed production [12]. Excessive water in the soil has deleterious effects on plant growth due to the diminished exchange of oxygen between the rhizosphere and the atmosphere, which inhibits root development, and nutrient and water uptake [13]. In some soil types, waterlogging expedites the loss of nitrogen [14], and leads to ion toxicity in soil [15], which can impact cell permeability [16], root respiration and activity [5]. Decreased available soil nutrients and suppressed plant respiration negatively affect the stomatal state [17], chlorophyll content and photosynthetic rate (Pn) [18,19,20].
Numerous agronomic and plant genetic strategies were proposed to mitigate the detrimental effects of waterlogging [11]. Soil management techniques, such as tillage and drainage systems, are often purveyed to remove excess water from the soil, ensuring an adequate oxygen supply [21]. An example is the use of raised beds, which mitigate waterlogging damage by elevating the soil above a specific level, enhancing drainage, regulating water infiltration, and improving root aeration [22]. In addition to soil management, crop management encompasses various approaches, including nutrient application, sowing perturbation, genetic manipulations and combinations thereof.
The application of fertilisers in alleviating waterlogging has received little attention in the past. Crop fertilization post-waterlogging would conceivably be a practical and cost-effective method to alleviate waterlogging damage, as fertiliser application is considered rapidly effective, and easy to apply when compared with alternative methods, and could be applied during the crop growing season [23,24]. For waterlogged wheat crops, granular nitrogen application during tillering increases the number of tillers, ears, and seed production [25,26], while a foliar spray of nitrogen at the post-flowering stage increases grain number per spike and grain weight, improving yields by up to 12% post-waterlogging [27]. Higher fertiliser application also improves plant recovery, with applications of 50 kg ha−1, 100 kg ha−1, and 150 kg ha−1 of nitrogen reducing waterlogging damage by 16%, 21% and 21%, respectively [28]. In maize, soil nitrogen application improved post-waterlogging recovery by enhancing nitrogen use efficiency and shoot biomass [29]. Additionally, foliar spray of nitrogen in maize also improves chlorophyll concentration and plant growth [30]. In barley, anecdotal evidence suggests that nitrogen application post-waterlogging mitigated superfluous water damage [31].
Despite considerable progress in the development of practices for waterlogging alleviation, few studies have explored how nitrogen fertiliser quantum and timing influence plant growth and yield [32,33]. To address these knowledge gaps, several fertiliser treatments were conducted in this research by applying either a foliar spray or granular application at alternative plant growth stages. These treatments allowed us to discern their relative influence on crop recovery, grain yield and yield components. The objective of this study was to dissect the interplay between waterlogging and nitrogen fertiliser application (quantity and timing), and the ensuing effects on crop growth and the development of differing genotypes and their waterlogging tolerance.

2. Materials and Methods

2.1. Plant Materials and Fertiliser Treatments

In this research, four barley genotypes were used. These four barley genotypes include two waterlogging susceptible ones (Planet and P-79) and two waterlogging tolerant ones (P-17 and P-52). Both the tank and field trials were conducted at Mt Pleasant Laboratories in Launceston, Tasmania, Australia (41°28′ S and 147°08′ E) in 2022. During the growing season, the average minimum and maximum temperatures were 5.1 °C and 14.5 °C, respectively, and the total precipitation was 220.6 mm.
For the tank trials, all tanks are placed outdoor with natural light and growth conditions. Seeds were sown in five rows in stainless steel tanks (200 cm × 100 cm × 45 cm) filled with sandy loam soil from waterlogged sited in Tasmania, Australia, with the bottom of each tank containing 50 mm coarse gravel overlaid with drainage matting [4]. Each row was sown with 30 seeds with a row spacing of 20 cm on 21 April 2022. Waterlogging treatment initiated at the three-leaf stage on 24 May and terminated (water drainage) on 25 July. The trial included two genotypes (Planet and P-52) × two waterlogging treatments × 5 fertiliser treatments × 4 replications. The five fertiliser treatments (T1 to T5), as shown in Table 1, were applied to both the waterlogged and the control.
To precisely maintain the waterlogging level, a float valve was employed as a switch to adjust water input or output. During normal growth stages, the float valve was calibrated to maintain an initial water depth of precisely 75 mm. Any water loss from the tanks due to evapotranspiration was replenished from a reservoir to ensure the designated water level. Vice versa, excessive rainfall runoff was directed back to the reservoir through an overflow and drained out, which can be referred to Liu et al. [4]. When conducting waterlogging treatment, the float valve was adjusted to sustain a water level at soil surface.
The field trial included four genotypes (Planet, P-17, P-79, and P-52) × two waterlogging treatment × four fertiliser treatment × three replications, which was 48 plots with each plot size 6.25 m2 (4.5 m × 1.5 m). Soil type is also sandy loam top dressed in compound fertilizer (N, P, K) and normal chemical protection following local farmers’ guidelines. Seeds were sown manually in each plot with a row spacing of 0.22 m and 40 seeds per row. The trial was sown on 9 May 2022. Waterlogging was initiated at the two-leaf stage on 14 June 2022, stopped on 18 August 2022. Controls were sown in beds under well-drained conditions. The four fertiliser treatments (F1 to F4) as shown in Table 2 were applied to both the waterlogged and the control. Waterlogging treatment was controlled by an automatic irrigation system [34] to maintain the water to surface level.

2.2. Plant Recovery Indicators

Tiller number and plant height were measured to reflect the recovery after waterlogging. In the tank, the second line was used for the measurement, and in the field 10 consecutive plants with similar growth were sampled for the measurement of these indices. Tiller number and plant height were recorded at the end of waterlogging 0 day after recovery (0 DR), 30 days recovery (30 DR), and 60 days recovery (60 DR).
Normalised Difference Vegetation Index (NDVI) reflects vegetation coverage and ranges between −1 and 1, with higher values suggesting more green plants. Healthy vegetation has a high Near InfraRed (NIR) value and a low red value; regions with high coverage of healthy plants have higher NDVI values. According to [35], NDVI can be calculated as:
NDVI = (NIR − Red)/(NIR + Red),
where NDVI = Normalised Difference Vegetation Index; NIR = Near InfraRed, with the waveband of 780 nm red; Red = the waveband 670 nm red.
NDVI was measured with active sensor Crop Circle model ACS-430 (Holland Scientific, Lincoln, NE, USA). In the tank, NDVI readings were recorded by scanning the whole plot while NDVI was recorded by walking between any two lines in the field. The sensor was held in the hand at a height of 0.5 m above crops. In each plot, around 200 samples were recorded, and the average value of this plot was calculated to stand for the NDVI value for this plot. NDVI was also recorded at the end of waterlogging (0 DR), 30 days recovery (30 DR), and 60 days recovery (60 DR).

2.3. Shoot Biomass

For each subplot in the field and tank, three plants with the similar growth were chosen to measure the shoot biomass at 28 DWL; collected plants were dried under 65 °C for 120 h. At maturity, 10 selected plants were harvested in the field, and all 30 plants in the second line were harvested in the tank to determine shoot biomass, oven dried at 65 °C for 120 h, after which spikes and shoots were separated. Shoot biomass of a bulk of 10 plants in the field and of all plants in the second row in the tank was recorded.

2.4. Grain Yield and Yield Components

At maturity, selected plants in the field and tank were gathered and subjected to air-drying for four weeks. Dried spikes were threshed and manually counted to 1000 grains using the Seed Count SC5000 (Next Instruments in Condell Park, NSW, Australia). The weight of these seeds was also recorded for the determination of grain number per spike (Gn), which can be calculated with the equation:
Gn = [(Y`/Y1000) × 1000]/Sn,
where Y` is the weight of the designated plants, Y1000 is 1000-grain weight and Sn is spike number.
The remaining plants in the tank and field were harvested and threshed using the Agri-culex Lbt-2 (Agriculex Inc., Guelph, CA). The threshed seeds were weighed to record grain yield. Area of harvested plots was 6.75 m2 (4.5 m × 1.5 m) in the field and 1 m2 in the tank (1 m × 1 m).

2.5. Data Analysis

Data were analysed with a three-way (genotype and fertiliser) analysis of variance with RStudio version 4.2.2 [36]. Means of each treatment, each fertiliser treatment and each genotype were compared with a least significant difference (LSD) at a probability level of 0.05.

3. Results

3.1. Yield

In the field trial, waterlogging significantly reduced grain yield for waterlogging-sensitive (Planet and P-79) genotypes in the field, with reductions of 49–64% across fertiliser treatments. Conversely, waterlogging-tolerant genotypes (P-17 and P-52) also exhibited lower yield but with penalties of only 16–27%. Both P-17 and P-52 achieved higher yields than Planet and P-79 under waterlogging treatments, regardless of fertiliser treatment (Table S1). There were no significant interactions between genotype and different treatments (Table S1). Apart from P-79 under control conditions, fertiliser treatment 2 (F2) was the most effective treatment for improving seed production under both waterlogging and control conditions, while F3 (no fertiliser applied on 28 DWL and 0 DR) had the lowest yields (Figure 1).
In the tank, the average seed production under each waterlogging condition exhibited a significant decrease across treatments T1, T2, T3, T4, and T5, with reductions of 65%, 80%, 75%, 77%, and 74% observed in Planet, and 45%, 57%, 46%, 63%, and 45% observed in P-52, compared with the control. When comparing the same fertilization and treatments, the yield of P-52 was twice that of Planet. The comparisons between T1 and T3, and between T2 and T4 revealed that foliar application had little effect on alleviating waterlogging impact. In contrast, the application of nitrogen at the recovery stage (0 DR and 30 DR) was effective in increasing the yield of barley suffering waterlogging stress (Figure 2). Interestingly, extra nitrogen at the end of waterlogging did not lead to increased yield when comparing T3 with T5 (Figure 2).

3.2. Yield Components

Even though waterlogging caused a significant reduction in grain yield in both the field and the tank trials, there was a 1000-grain weight increase of 20% after waterlogging across all fertiliser treatments and genotypes. Fertiliser treatments in the field trial did not result in significant changes in 1000-grain weight with only F2 (90 kg·ha−1 during waterlogging and no N application at 0 DR) slightly increasing 1000-grain weight, particularly in waterlogging tolerant genotypes. Similar results were found in the tank trial with the no N application at 0 DR showing a higher 1000-grain weight (Figure 3).
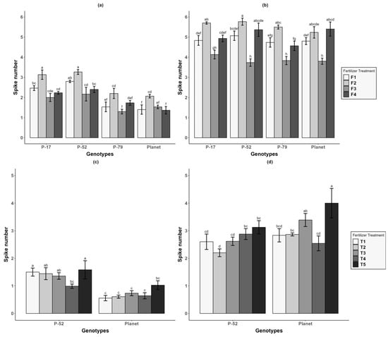
Both experiments demonstrated a significant decrease in spike numbers under waterlogging. Waterlogging-tolerant genotypes exhibited a higher number of spikes within the same treatment compared with waterlogging-sensitive genotypes. In the field experiment, N application during waterlogging (F2) displayed the highest spike number among all fertiliser treatments. In the tank experiment, T5 had the highest spike number in both treatments, followed by T3 and T1 (Figure 4).
Different treatments showed no significant impact on grain number per spike in the field trial (Table S1), with P-17 having a higher number than F1 under waterlogged condition and both P-79 having higher numbers than F3 in both treatments (Figure 5a,b). In the tank trial, both the waterlogging treatment and the fertilizer application showed significant effects on grain number and the interaction between fertilizer and genotype was also significant (Table S2), with T1 showing generally higher values while T5 showed lower values (Figure 5c,d).

3.3. Shoot Biomass

In the field trial, the shoot biomass decreased by 30% under waterlogging conditions. Within the waterlogging treatment, F2 had the highest shoot biomass across genotypes, followed by F1, where no significant difference was spotted between F3 and F4. A greater reduction in biomass was found in the tank trial, reaching 65%. Comparing the two genotypes, P-52 grew slightly better than Planet. P-52 sustained more growth with a 4-week waterlogging treatment, while in Planet, T1, T2 and T3 displayed a lower value (Figure 6).
Different N fertiliser applications also impacted shoot biomass production. In the field trial, the impact of fertiliser use was not significant (Table S1). The F3 treatment had the lowest shoot biomass with major reductions in P-17 and Planet under control conditions (Figure 7a,b). In the tank experiment, fertiliser use showed significant impacts on biomass production, with the T2 and the T4 treatments resulting in lower shoot biomass compared with the T1, T3, and T5 treatments, which was more pronounced under waterlogged conditions (Figure 7c,d).

3.4. Fertiliser at Different Crop Growth Stages Influences Plant Recovery

In the field, NDVI, plant height and tiller numbers were higher in the control compared to the waterlogged (Figures S1–S3). When comparing genotypes, P-52 and P-17 consistently demonstrated higher values under waterlogging, while no significant differences among genotypes were observed for the controls. These three indicators exhibited low values at early stages. Between September and October, the value of NDVI, plant height and tiller numbers showed a greater increase. Under waterlogging, however, a decrease was observed in tiller number in September, but plant height remained similar. NDVI was the only indicator that increased over time.
Differences were also found among different fertiliser treatments. Plants in the F1, F2, and F4 treatments had greater height, tiller numbers and NDVI compared with the F3 treatment, but over time, F1, F2, and F4 remain converged, while F3 fell behind.
In tank experiment, NDVI, plant height and tiller number decreased significantly in both genotypes under waterlogging, while P-52 had a better recovery after waterlogging compared with Planet (Figures S4–S6). Lower NDVI were found in T2 and T4 for the controls in September, while T5 had the highest NDVI in both genotypes. A slight decrease was also observed for waterlogged treatments in September due to plant death. In October, NDVI value kept increasing in waterlogged plots while displayed a decrease in control. This is due to that waterlogging had postponed barley maturity and thereby, plants in the control group entered maturity stage in October while they were still under growth stage in the waterlogged group. Trajectories in plant height were similar: for the control, plant height among all fertiliser designs increased with time, and T5 had the greatest plant height compared with other groups; under waterlogging, plants recovered slowly in September, with increased plant height occurring only in October. There was a decrease in tiller number in September and October for plots under waterlogging treatment.

4. Discussion

4.1. Crop Genotype Dictates Relative Waterlogging Impacts

We demonstrated that waterlogging significantly influenced yield. Compared with previous studies which reported an average penalty of 20–30% [37,38], the reduction in seed production measured here was higher. In the present experiment, the average yield loss caused by waterlogging was 45–80% in the tank and 16–64% in the field. The impact of waterlogging on grain yield was primarily determined by the timing, duration, and intensity of the waterlogging events [2]. In this experiment, the extended duration of waterlogging was 8 weeks, contrasted with previous studies where waterlogging typically lasted for 10 to 15 days [2,39], which might be the main contributor to the larger yield penalty. However, this prolonged duration allowed for better insight into differentiation across genotypes [40]. Indeed, genotype was the primary factor determining plant productivity in both of our experiments. Waterlogging-tolerant genotypes (P-17 and P-52) exhibited superior growth and recovery during and after waterlogging compared with waterlogging-sensitive genotypes (Planet and P-79), leading to improved sustainability indicators in both experiments.

4.2. Yield Penalty under Waterlogging Primarily Governed by Spike Number

Seed production is dependent on spike number and grain number per spike [41], which are also major contributors to yield penalties under waterlogging. However, crops respond differently to waterlogging depending on the context, management, genotype, climate and interactions thereto. Associated studies by de San Celedonio, Abeledo and Miralles [38] and de San Celedonio et al. [42] observed that while yield decreased by up to 70% in wheat and 60% in barley, the key reasons underpinning these reductions varied. Reductions in grain number were attributed to reduced grain number per spike in wheat; in barley, yield penalty was mainly associated with reduced spike numbers. Other studies report similar results: in wheat, the main determinant of yield losses is grain number per spike [26,43], while in barley, yield variability is primarily linked with changes in spike numbers [34]. The observation for barley aligns with our research, where a significant decrease in spike number was observed in those groups with a lower grain yield, while no significant difference was found in grain numbers per spike. For instance, F3 witnessed lower spike numbers (−19%) and decreased seed production (30.3%) in the waterlogging and control groups (Figure 1 and Figure 4), respectively. Decreases in spike numbers were attributed to tiller numbers: the lowest spike number was often accompanied by lower tiller numbers across growth periods (Figures S3 and S6). In barley, waterlogging treatment during initial growth stages was shown to negatively affect tiller appearance due to nutrient deficiency and water stress [44], causing tiller death. The capacity for barley tiller recovery and compensation depends on genetic and nutritional factors [45], and thus, tillers may be reproduced after waterlogging. We found that the fertiliser impacts were varied across treatments, with the highest yield gains associated with the highest spike number (e.g., F2, +17% associated with fertiliser design) and T5 (+33%, associated with the design of the waterlogging treatment) (Figure 4). Other studies have shown that N application increases tiller numbers and heads per m2, contributing to yield improvement [46]. Minimal effects of waterlogging on grain number per spike may have occurred because grain numbers were already set by the time waterlogging was imposed [42].

4.3. Effects of Waterlogging on Grain Weight

Greater soil moisture associated with waterlogging resulted in a higher grain weight, with no significant differences across treatments. This suggests that both water deficit and water surplus impact crop growth, and in some cases, transient waterlogging (e.g., due to excessive irrigation) may benefit crop growth during times of drought stress. We suggest that the impacts of seasonal conditions on the presence and impacts of waterlogging, drought stress, and interactions over time deserve further consideration via systems approaches.
Reduced spike numbers per plant due to waterlogging may lead to increased allocation of photosynthate and stored assimilates towards grain growth and kernel weight, potentially mitigating adverse effects of waterlogging on other yield components, provided levels of canopy photosynthesis do not diminish significantly. Previous studies [47,48] imply that while fertiliser may enhance grain weight, fertilization did not significantly influence grain weight. Our study corroborates these findings; compared with the F3 design, other field treatments exhibited higher grain weights, though no significant differences between treatments were observed (Figure 3). Notably, in the tank experiment, foliar spray application improved 1000-grain weight (Figure 3). Both T2 and T4, which involved foliar nitrogen application during waterlogging and no fertiliser application at 0 DR, demonstrated higher 1000-grain weights compared with other designs (Figure 3). However, fertiliser application at 0 DR resulted in reduced 1000-grain weight, even when foliar nitrogen was applied at 7 DWL. We conclude that the presence or absence of waterlogging is the primary determinant of grain yield, and soil fertiliser is preferable compared with foliar application. The absence of fertiliser resulted in the lowest grain yield, regardless of the design or fertiliser rate, suggesting that fertiliser is indeed a key tactical pillar in farm management options for alleviating crop waterlogging stress.

4.4. Impacts of Different Fertiliser Application Methods on Alleviating Waterlogging Damage

The foliar spray did not yield significant differences in terms of final yields, yield components, or shoot biomass; instead, these variables were primarily influenced by soil fertilization. A similar finding was reported by Pushman and Bingham [49], where grain yield and spike number were assessed under three fertiliser designs (N1 to N3), with N1 applying 57 kg·ha−1 of nitrogen, N2 applying 147 kg·ha−1 of nitrogen, and N3 applying 147 kg·ha−1 of nitrogen plus 45 kg·ha−1 of urea spray. The results indicated slight increases between N1 and N2 within the same genotype, but no differences were observed between N2 and N3, suggesting that additional foliar urea application did not enhance yield or spike number. Furthermore, aside from yields and spike numbers, another study also demonstrated that extra foliar spray had no discernible effect on shoot biomass [50]. The lack of foliar spray impact observed here may be attributed to our experimental design. Unlike other experiments where the soil was covered with plastic foil after foliar spray to prevent nutrients from leaching into the soil [51], our experiment lacked such a post-application strategy, resulting in a significant dilution of effective nutrient concentrations.
Our study underscores the strategic advantage of N fertiliser application, particularly in regions prone to intermittent waterlogging. Simpson, Brennan and Anderson [33] recommended splitting N fertiliser applications rather than applying all at sowing, but under waterlogged conditions, fertiliser should be applied at post-waterlogging to alleviate damage, provided machinery can traverse fields without becoming bogged. Similarly, Kaur, Nelson and Motavalli [32] recommended N fertiliser immediately after waterlogging, citing improvement in plant nitrogen absorption by 33–40%, thereby promoting post-waterlogging recovery. Our findings demonstrate that greater yield can be achieved with 90 kg·ha−1 of N during waterlogging. Moderate urea application during and after waterlogging yielded similar results to greater N application solely at the end of waterlogging. Differences between our results and those of previous studies can be explained by changes in root anatomy. Although a short period of waterlogging influences stomatal conductance, root function will not be significantly affected [2]. However, a longer time of reduced oxygen exchange and availability in the soil caused by waterlogging reduces root transpiration and function [52], decreasing absorption of critical nutrients, such as N, P, K, Ca2+ [53]. It is also possible that waterlogging impacted soil nitrogen availability via mineralisation and leaching, affecting available N that could be used by plants. We surmise that 7 days of waterlogging would not make a significant impact on root anatomy, while 8 weeks of waterlogging severely impairs root function. For example, the rate of adventitious root decreased by 38% after 60 days of waterlogging [21]. In this scenario, fertiliser at the end of waterlogging has negligible effects, resulting in the F2 treatment having preferable results. Although F1 applied some fertiliser during waterlogging, its application rate in the present experiment was only 50% of that of F2 during waterlogging. Despite substantial fertiliser application associated with F4 at the end of waterlogging, the efficacy of this treatment was limited.

4.5. Future Directions

We found that NDVI, plant height, and tiller number were key indicators reflecting the degree of plant recovery. We revealed that higher NDVI corresponds with increased plant height and greater tiller numbers. These findings suggest that NDVI values, plant height and tiller numbers are influenced by the fertiliser time, treatment conditions (control vs. waterlogging), and genotype. The observed trajectories provide insights into temporal changes in vegetation health and can be used to assess treatment influence on plant growth and development, facilitating insight into more effective management approaches. In commercial and research contexts, measuring tiller number and plant height is very labour intensive and may not be feasible, whereas NDVI can be easily assessed on a large scale [35], serving as a convenient indicator to gauge plant growth and recovery post-waterlogging.

5. Conclusions

We conclude that nitrogenous fertilization during and after waterlogging alleviates waterlogging damage and improves grain yields. This is important because practitioners can directly manipulate fertilization—or lack thereof—in response to seasonal conditions, unlike other purported innovations that may reduce waterlogging stress (e.g., crop genotype, use of soil drains, selection of crop type or rotation, etc.) but cannot be manipulated once the crop is sown. Our work demonstrates that yield penalty under waterlogging is primarily derived from reduced spike/tiller numbers, while grain numbers per spike and grain weight suffered little effect from waterlogging. Overall, P-17 and P-52 exhibited superior growth and recovery during and after waterlogging, compared to Planet and P-79. Fertilization reduced the adverse effects of waterlogging by increasing spike numbers, with the most effective strategy being 90 kg·ha−1 of N during waterlogging. We underscore the versatility and practicality of the Normalized Difference Vegetation Index (NDVI) as a proxy for monitoring plant health at scale; the metric facilitates assessment of the efficacy of fertiliser and potentially other management approaches, such as pesticide and herbicide application. We demonstrated that foliar nitrogen spray application had little effect, possibly due to stomatal closure. We conclude that nitrogenous fertiliser application comprises a key management intervention for alleviating adverse implications associated with crop waterlogging. While we recommend a dose of 90 kg·ha−1 of urea fertilization application during waterlogging when crops face waterlogging stress, our future studies will compare different agronomic practices, including drainage systems, the interaction between these practices with crop species/varieties, and their economic benefits.

Supplementary Materials

The following supporting information can be downloaded at: https://www.mdpi.com/article/10.3390/agronomy14081712/s1, Table S1: ANOVA result in the field; Table S2: ANOVA result in the tank; Figure S1: NDVI of (a) Planet (b) P-17 (c) P-52 and (d) P-79 in the field from August to October; Figure S2: Plant height of (a) Planet (b) P-17 (c) P-52 and (d) P-79 in the field from August to October; Figure S3: Tiller number of (a) Planet (b) P-17 (c) P-52 and (d) P-79 in the field from August to October; Figure S4: NDVI of (a) Planet (b) P-52 in the tank from August to October; Figure S5: Plant height of (a) Planet (b) P-52 in the tank from August to October; Figure S6: Tiller number of (a) Planet (b) P-52 in the tank from August to October.

Author Contributions

Conceptualization, J.C. and C.Z.; methodology, J.C.; software, J.C.; formal analysis, J.C.; data curation, M.Z.; writing—original draft preparation, J.C. and M.T.H.; writing—review and editing, M.T.H.; visualization, C.Z.; supervision, M.Z.; funding acquisition, M.Z. All authors have read and agreed to the published version of the manuscript.

Funding

This research was funded by the Grains Research and Development Corporation (GRDC) of Australia.

Data Availability Statement

Enquiries can be directed to the corresponding author.

Acknowledgments

Thanks to Peter Johnson for technical support.

Conflicts of Interest

The authors declare no conflicts of interest.

References

  1. Jackson, M.; Colmer, T. Response and adaptation by plants to flooding stress. Ann. Bot. 2005, 96, 501–505. [Google Scholar] [CrossRef] [PubMed]
  2. Setter, T.; Waters, I. Review of prospects for germplasm improvement for waterlogging tolerance in wheat, barley and oats. Plant Soil 2003, 253, 1–34. [Google Scholar] [CrossRef]
  3. Hidalgo, F.D.; Naidu, S.; Nichter, S.; Richardson, N. Economic determinants of land invasions. Rev. Econ. Stat. 2010, 92, 505–523. [Google Scholar] [CrossRef]
  4. Liu, K.; Harrison, M.T.; Ibrahim, A.; Manik, S.N.; Johnson, P.; Tian, X.; Meinke, H.; Zhou, M. Genetic factors increasing barley grain yields under soil waterlogging. Food Energy Secur. 2020, 9, e238. [Google Scholar] [CrossRef]
  5. Malik, A.I.; Colmer, T.D.; Lambers, H.; Schortemeyer, M. Changes in physiological and morphological traits of roots and shoots of wheat in response to different depths of waterlogging. Funct. Plant Biol. 2001, 28, 1121–1131. [Google Scholar] [CrossRef]
  6. Dennis, E.S.; Dolferus, R.; Ellis, M.; Rahman, M.; Wu, Y.; Hoeren, F.; Grover, A.; Ismond, K.; Good, A.; Peacock, W. Molecular strategies for improving waterlogging tolerance in plants. J. Exp. Bot. 2000, 51, 89–97. [Google Scholar] [CrossRef]
  7. Zhang, H.; Turner, N.; Poole, M.; Simpson, N. Crop production in the high rainfall zones of southern Australia—Potential, constraints and opportunities. Aust. J. Exp. Agric. 2006, 46, 1035–1049. [Google Scholar] [CrossRef]
  8. Zhou, M. Barley production and consumption. In Genetics and Improvement of Barley Malt Quality. Springer: Berlin/Heidelberg, Germany, 2009; pp. 1–17. [Google Scholar] [CrossRef]
  9. Lukinac, J.; Jukić, M. Barley in the production of cereal-based products. Plants 2022, 11, 3519. [Google Scholar] [CrossRef] [PubMed]
  10. Ahmed, F.; Rafii, M.; Ismail, M.R.; Juraimi, A.S.; Rahim, H.; Asfaliza, R.; Latif, M.A. Waterlogging tolerance of crops: Breeding, mechanism of tolerance, molecular approaches, and future prospects. BioMed Res. Int. 2013, 2013, 963525. [Google Scholar] [CrossRef]
  11. Liu, K.; Harrison, M.T.; Shabala, S.; Meinke, H.; Ahmed, I.; Zhang, Y.; Tian, X.; Zhou, M. The state of the art in modeling waterlogging impacts on plants: What do we know and what do we need to know. Earth’s Future 2020, 8, e2020EF001801. [Google Scholar] [CrossRef]
  12. Liu, K.; Harrison, M.T.; Archontoulis, S.V.; Huth, N.; Yang, R.; Liu, D.L.; Yan, H.; Meinke, H.; Huber, I.; Feng, P. Climate change shifts forward flowering and reduces crop waterlogging stress. Environ. Res. Lett. 2021, 16, 094017. [Google Scholar] [CrossRef]
  13. Singh, B.P.; Tucker, K.A.; Sutton, J.D.; Bhardwaj, H.L. Flooding reduces gas exchange and growth in snap bean. HortScience 1991, 26, 372–373. [Google Scholar] [CrossRef]
  14. Nandy, P.; Das, S.K.; Tarafdar, J.C. Effect of Integrated Nutrient Management and Foliar Spray of Zinc in Nanoform on Rice Crop Nutrition, Productivity and Soil Chemical and Biological Properties in Inceptisols. J. Soil Sci. Plant Nutr. 2022, 23, 540–555. [Google Scholar] [CrossRef]
  15. Marashi, S.K. Evaluation of uptake rate and distribution of nutrient ions in wheat (Triticum aestivum L.) under waterlogging condition. Iran. J. Plant Physiol. 2018, 8, 2539–2547. [Google Scholar]
  16. Yamauchi, T.; Colmer, T.D.; Pedersen, O.; Nakazono, M. Regulation of root traits for internal aeration and tolerance to soil waterlogging-flooding stress. Plant Physiol. 2018, 176, 1118–1130. [Google Scholar] [CrossRef]
  17. Yordanova, R.; Uzunova, A.; Popova, L. Effects of short-term soil flooding on stomata behaviour and leaf gas exchange in barley plants. Biol. Plant. 2005, 49, 317–319. [Google Scholar] [CrossRef]
  18. Ashraf, M.; Arfan, M. Gas exchange characteristics and water relations in two cultivars of Hibiscus esculentus under waterlogging. Biol. Plant. 2005, 49, 459–462. [Google Scholar] [CrossRef]
  19. Zhang, Y.; Song, X.; Yang, G.; Li, Z.; Lu, H.; Kong, X.; Eneji, A.E.; Dong, H. Physiological and molecular adjustment of cotton to waterlogging at peak-flowering in relation to growth and yield. Field Crops Res. 2015, 179, 164–172. [Google Scholar] [CrossRef]
  20. Tian, G.; Qi, D.; Zhu, J.; Xu, Y. Effects of nitrogen fertilizer rates and waterlogging on leaf physiological characteristics and grain yield of maize. Arch. Agron. Soil Sci. 2021, 67, 863–875. [Google Scholar] [CrossRef]
  21. Manik, S.; Pengilley, G.; Dean, G.; Field, B.; Shabala, S.; Zhou, M. Soil and crop management practices to minimize the impact of waterlogging on crop productivity. Front. Plant Sci. 2019, 10, 140. [Google Scholar] [CrossRef]
  22. Sayre, K.D.; Hobbs, P.R. The raised-bed system of cultivation for irrigated production conditions. In Sustainable Agriculture and the International Rice-Wheat System; CRC Press: Boca Raton, FL, USA, 2004; pp. 337–355. [Google Scholar] [CrossRef]
  23. Savci, S. An agricultural pollutant: Chemical fertilizer. Int. J. Environ. Sci. Dev. 2012, 3, 73. [Google Scholar] [CrossRef]
  24. Chae, H.-S.; Noh, H.-J.; Song, W.S.; Cho, H.-H. Efficiency and effectiveness of vitamin C-substrate organo-mineral straight fertilizer in lettuce (Lactuca sativa L.). Chem. Biol. Technol. Agric. 2018, 5, 4. [Google Scholar] [CrossRef]
  25. Kisaakye, E.; Acuña, T.B.; Johnson, P.; Shabala, S. Improving wheat growth and nitrogen-use efficiency under waterlogged conditions. In Proceedings of the 18th Australian Agronomy Conference, Ballarat, VIC, Australia, 24–28 September 2017; pp. 1–4. [Google Scholar]
  26. Robertson, D.; Zhang, H.; Palta, J.A.; Colmer, T.; Turner, N.C. Waterlogging affects the growth, development of tillers, and yield of wheat through a severe, but transient, N deficiency. Crop Pasture Sci. 2009, 60, 578–586. [Google Scholar] [CrossRef]
  27. Wu, J.; Li, J.; Wei, F.; Wang, C.; Zhang, Y.; Sun, G. Effects of nitrogen spraying on the post-anthesis stage of winter wheat under waterlogging stress. Acta Physiol. Plant. 2014, 36, 207–216. [Google Scholar] [CrossRef]
  28. Rasaei, A.; Ghobadi, M.-E.; Jalali-Honarmand, S.; Ghobadi, M.; Saeidi, M. Impacts of waterlogging on shoot apex development and recovery effects of nitrogen on grain yield of wheat. Eur. J. Exp. Biol. 2012, 2, 1000–1007. [Google Scholar]
  29. Qi, D.; Pan, C. Responses of shoot biomass accumulation, distribution, and nitrogen use efficiency of maize to nitrogen application rates under waterlogging. Agric. Water Manag. 2022, 261, 107352. [Google Scholar] [CrossRef]
  30. Rao, R.; Bryan, H.H.; Reed, S.T. Assessment of foliar sprays to alleviate flooding injury in corn (Zea mays L.). Proc. Fla. State Hortic. Soc. 2002, 115, 208–211. [Google Scholar]
  31. Watson, E.; Lapins, P.; Barron, R. Effect of waterlogging on the growth, grain and straw yield of wheat, barley and oats. Aust. J. Exp. Agric. 1976, 16, 114–122. [Google Scholar] [CrossRef]
  32. Kaur, G.; Nelson, K.A.; Motavalli, P.P. Early-season soil waterlogging and N fertilizer sources impacts on corn N uptake and apparent N recovery efficiency. Agronomy 2018, 8, 102. [Google Scholar] [CrossRef]
  33. Simpson, N.L.; Brennan, R.F.; Anderson, W.K. Grain yield increases in wheat and barley to nitrogen applied after transient waterlogging in the high rainfall cropping zone of western Australia. J. Plant Nutr. 2016, 39, 974–992. [Google Scholar] [CrossRef]
  34. Manik, S.N.; Quamruzzaman, M.; Livermore, M.; Zhao, C.; Johnson, P.; Hunt, I.; Shabala, S.; Zhou, M. Impacts of barley root cortical aerenchyma on growth, physiology, yield components, and grain quality under field waterlogging conditions. Field Crops Res. 2022, 279, 108461. [Google Scholar] [CrossRef]
  35. Huang, S.; Tang, L.; Hupy, J.P.; Wang, Y.; Shao, G. A commentary review on the use of normalized difference vegetation index (NDVI) in the era of popular remote sensing. J. For. Res. 2021, 32, 1–6. [Google Scholar] [CrossRef]
  36. Horton, N.J.; Kleinman, K. Using R and RStudio for Data Management, Statistical Analysis, and Graphics; CRC Press: Boca Raton, FL, USA, 2015. [Google Scholar]
  37. Ploschuk, R.A.; Miralles, D.J.; Colmer, T.D.; Ploschuk, E.L.; Striker, G.G. Waterlogging of winter crops at early and late stages: Impacts on leaf physiology, growth and yield. Front. Plant Sci. 2018, 9, 1863. [Google Scholar] [CrossRef]
  38. de San Celedonio, R.P.; Abeledo, L.G.; Miralles, D.J. Identifying the critical period for waterlogging on yield and its components in wheat and barley. Plant Soil 2014, 378, 265–277. [Google Scholar] [CrossRef]
  39. Masoni, A.; Pampana, S.; Arduini, I. Barley response to waterlogging duration at tillering. Crop Sci. 2016, 56, 2722–2730. [Google Scholar] [CrossRef]
  40. Zhou, M. Accurate phenotyping reveals better QTL for waterlogging tolerance in barley. Plant Breed. 2011, 130, 203–208. [Google Scholar] [CrossRef]
  41. Abeledo, L.G.; Calderini, D.F.; Slafer, G.A. Genetic improvement of yield responsiveness to nitrogen fertilization and its physiological determinants in barley. Euphytica 2003, 133, 291–298. [Google Scholar] [CrossRef]
  42. de San Celedonio, R.P.; Abeledo, L.G.; Miralles, D.J. Physiological traits associated with reductions in grain number in wheat and barley under waterlogging. Plant Soil 2018, 429, 469–481. [Google Scholar] [CrossRef]
  43. Marti, J.; Savin, R.; Slafer, G. Wheat yield as affected by length of exposure to waterlogging during stem elongation. J. Agron. Crop Sci. 2015, 201, 473–486. [Google Scholar] [CrossRef]
  44. Alzueta, I.; Abeledo, L.G.; Mignone, C.M.; Miralles, D.J. Differences between wheat and barley in leaf and tillering coordination under contrasting nitrogen and sulfur conditions. Eur. J. Agron. 2012, 41, 92–102. [Google Scholar] [CrossRef]
  45. de San Celedonio, R.P.; Abeledo, L.G.; Brihet, J.M.; Miralles, D.J. Waterlogging affects leaf and tillering dynamics in wheat and barley. J. Agron. Crop Sci. 2016, 202, 409–420. [Google Scholar] [CrossRef]
  46. Anderson, W.; McLean, R. Increased responsiveness of short oat cultivars to early sowing, nitrogen fertilizer and seed rate. Aust. J. Agric. Res. 1989, 40, 729–744. [Google Scholar] [CrossRef]
  47. Bulman, P.; Smith, D.L. Yield and yield component response of spring barley to fertilizer nitrogen. Agron. J. 1993, 85, 226–231. [Google Scholar] [CrossRef]
  48. Babaeian, M.; Esmaeilian, Y.; Tavassoli, A.; Asgharzade, A.; Sadeghi, M. The effects of water stress, manure and chemical fertilizer on grain yield and grain nutrient content in barley. Sci. Res. Essays 2011, 6, 3697–3701. [Google Scholar] [CrossRef]
  49. Pushman, F.M.; Bingham, J. The effects of a granular nitrogen fertilizer and a foliar spray of urea on the yield and bread-making quality of ten winter wheats. J. Agric. Sci. 1976, 87, 281–292. [Google Scholar] [CrossRef]
  50. Souza, S.R.; Stark, E.M.L.; Fernandes, M.S. Foliar spraying of rice with nitrogen: Effect on protein levels, protein fractions, and grain weight. J. Plant Nutr. 1999, 22, 579–588. [Google Scholar] [CrossRef]
  51. Pang, J.; Ross, J.; Zhou, M.; Mendham, N.; Shabala, S. Amelioration of detrimental effects of waterlogging by foliar nutrient sprays in barley. Funct. Plant Biol. 2007, 34, 221–227. [Google Scholar] [CrossRef]
  52. Thongbai, P.; Milroy, S.; Bange, M.; Rapp, G.; Smith, T. Agronomic responses of cotton to low soil oxygen during waterlogging. In Proceedings of the 10th Australian Agronomy Conference, Hobart, TSA, Australia, 29 January–1 February 2001; pp. 1600–1730. [Google Scholar]
  53. Elzenga, J.T.M.; van Veen, H. Waterlogging and plant nutrient uptake. In Waterlogging Signalling and Tolerance in Plants; Springer: Berlin/Heidelberg, Germany, 2010; pp. 23–35. [Google Scholar] [CrossRef]
Figure 1. Effect of waterlogging and fertiliser on grain yield in the field under waterlogging (a) and control conditions (b). Four genotypes, P-17, P-52, P-79 and Planet, were used in field trials with four different fertiliser treatments. The letters indicate significance at p < 0.05, and the lines are error bars at a probability level of 0.05 (same as all the figures below). Different letters indicate significant differences at p < 0.05.
Figure 1. Effect of waterlogging and fertiliser on grain yield in the field under waterlogging (a) and control conditions (b). Four genotypes, P-17, P-52, P-79 and Planet, were used in field trials with four different fertiliser treatments. The letters indicate significance at p < 0.05, and the lines are error bars at a probability level of 0.05 (same as all the figures below). Different letters indicate significant differences at p < 0.05.
Agronomy 14 01712 g001
Figure 2. Effect of waterlogging and fertiliser treatments on grain yield in the tank under waterlogged condition (a) and control (b). Two genotypes were P-52 and Planet. A total of five fertiliser treatments were conducted with four replicates. Different letters indicate significant differences at p < 0.05.
Figure 2. Effect of waterlogging and fertiliser treatments on grain yield in the tank under waterlogged condition (a) and control (b). Two genotypes were P-52 and Planet. A total of five fertiliser treatments were conducted with four replicates. Different letters indicate significant differences at p < 0.05.
Agronomy 14 01712 g002
Figure 3. Effects of waterlogging and fertiliser treatment on 1000-grain weight with (a) and without (b) waterlogging in the field, and with (c) and without (d) waterlogging in the tank. Different letters indicate significant differences at p < 0.05.
Figure 3. Effects of waterlogging and fertiliser treatment on 1000-grain weight with (a) and without (b) waterlogging in the field, and with (c) and without (d) waterlogging in the tank. Different letters indicate significant differences at p < 0.05.
Agronomy 14 01712 g003
Figure 4. Average spike number per plant at maturity across fertiliser treatments in field trial under waterlogging (a) and control (b) treatments, and in the tank trial under waterlogging (c) and control (d) treatments. Different letters indicate significant differences at p < 0.05.
Figure 4. Average spike number per plant at maturity across fertiliser treatments in field trial under waterlogging (a) and control (b) treatments, and in the tank trial under waterlogging (c) and control (d) treatments. Different letters indicate significant differences at p < 0.05.
Agronomy 14 01712 g004
Figure 5. Average grain numbers per spike at maturity across fertiliser treatments in field trial under waterlogging (a) and control (b) treatments, and in the tank trial under waterlogging (c) and control (d) treatments. Different letters indicate significant differences at p < 0.05.
Figure 5. Average grain numbers per spike at maturity across fertiliser treatments in field trial under waterlogging (a) and control (b) treatments, and in the tank trial under waterlogging (c) and control (d) treatments. Different letters indicate significant differences at p < 0.05.
Agronomy 14 01712 g005
Figure 6. Impacts of fertiliser on average shoot biomass in the presence of waterlogging (a) and without waterlogging (b) in the field, and in the presence of waterlogging (c) and without waterlogging (d) in the tank at 28 DWL. Different letters indicate significant differences at p < 0.05.
Figure 6. Impacts of fertiliser on average shoot biomass in the presence of waterlogging (a) and without waterlogging (b) in the field, and in the presence of waterlogging (c) and without waterlogging (d) in the tank at 28 DWL. Different letters indicate significant differences at p < 0.05.
Agronomy 14 01712 g006
Figure 7. Impacts of fertiliser on shoot biomass of 10 plants in the presence of waterlogging (a) and without waterlogging (b) in the field, and in the presence of waterlogging (c) and without waterlogging (d) in the tank at harvest. Different letters indicate significant differences at p < 0.05.
Figure 7. Impacts of fertiliser on shoot biomass of 10 plants in the presence of waterlogging (a) and without waterlogging (b) in the field, and in the presence of waterlogging (c) and without waterlogging (d) in the tank at harvest. Different letters indicate significant differences at p < 0.05.
Agronomy 14 01712 g007
Table 1. Tank trial fertilizer (urea) treatments (WL = waterlogging).
Table 1. Tank trial fertilizer (urea) treatments (WL = waterlogging).
TreatmentsAt Sowing7 d after WL (7 DWL)21 d after WL (21 DWL)0 d after Recovery (0 DR)30 d after Recovery (30 DR)
T130 kg·ha−120 kg·ha−1 foliar spray 90 kg·ha−190 kg·ha−1
T230 kg·ha−120 kg·ha−1 foliar spray 90 kg·ha−1
T330 kg·ha−1 90 kg·ha−190 kg·ha−1
T430 kg·ha-120 kg·ha−1 foliar spray20 kg·ha−1 foliar spray 90 kg·ha−1
T530 kg·ha−1 180 kg·ha−190 kg·ha−1
Table 2. Field trial fertilizer (urea) treatments (WL = waterlogging).
Table 2. Field trial fertilizer (urea) treatments (WL = waterlogging).
TreatmentAt Sowing28 d after WL (28 DWL)0 d after Recovery (0 DR)30 d after Recovery (30 DR)
F145 kg·ha−145 kg·ha−145 kg·ha−145 kg·ha−1
F245 kg·ha−190 kg·ha−1 45 kg·ha−1
F345 kg·ha−1 45 kg·ha−1
F445 kg·ha−1 90 kg·ha−145 kg·ha−1
Disclaimer/Publisher’s Note: The statements, opinions and data contained in all publications are solely those of the individual author(s) and contributor(s) and not of MDPI and/or the editor(s). MDPI and/or the editor(s) disclaim responsibility for any injury to people or property resulting from any ideas, methods, instructions or products referred to in the content.

Share and Cite

MDPI and ACS Style

Chen, J.; Zhao, C.; Harrison, M.T.; Zhou, M. Nitrogen Fertilization Alleviates Barley (Hordeum vulgare L.) Waterlogging. Agronomy 2024, 14, 1712. https://doi.org/10.3390/agronomy14081712

AMA Style

Chen J, Zhao C, Harrison MT, Zhou M. Nitrogen Fertilization Alleviates Barley (Hordeum vulgare L.) Waterlogging. Agronomy. 2024; 14(8):1712. https://doi.org/10.3390/agronomy14081712

Chicago/Turabian Style

Chen, Jianbo, Chenchen Zhao, Matthew Tom Harrison, and Meixue Zhou. 2024. "Nitrogen Fertilization Alleviates Barley (Hordeum vulgare L.) Waterlogging" Agronomy 14, no. 8: 1712. https://doi.org/10.3390/agronomy14081712

APA Style

Chen, J., Zhao, C., Harrison, M. T., & Zhou, M. (2024). Nitrogen Fertilization Alleviates Barley (Hordeum vulgare L.) Waterlogging. Agronomy, 14(8), 1712. https://doi.org/10.3390/agronomy14081712

Note that from the first issue of 2016, this journal uses article numbers instead of page numbers. See further details here.

Article Metrics

Back to TopTop