Assessing the Susceptibility and Tolerance of Oil Palm Cultivars to Leaf-Bending: A Comparative Physiological and Nutritional Balance Study
Abstract
1. Introduction
2. Materials and Methods
2.1. Location
2.2. Plant Material
2.3. Experimental Design
2.4. Leaf Variables Measured
- (1)
- Percentage of leaf-bending in the plant phyllotaxy: ratio between the number of affected leaves and the total number of leaves present in each ring. Corresponds to the severity of the disorder in each leaf ring.
- (2)
- Percentage of leaf-bending for each cultivar: ratio between the number of healthy plants (absence of affected leaves) and the number of affected plants (with at least one affected leaf) in each cultivar. Corresponds to the leaf-bending incidence.
- (3)
- Number of affected leaves per plant: ratio between the total number of affected leaves and the total number of leaves per plant. Corresponds to the leaf-bending severity.
2.5. Physiological Parameters
2.6. Nutritional Balance
2.7. Statistical Analysis
3. Results
3.1. Disorder Description
3.2. Leaf-Bending Affectation Per Cultivar
3.3. Number of Affected Leaves Per Plant
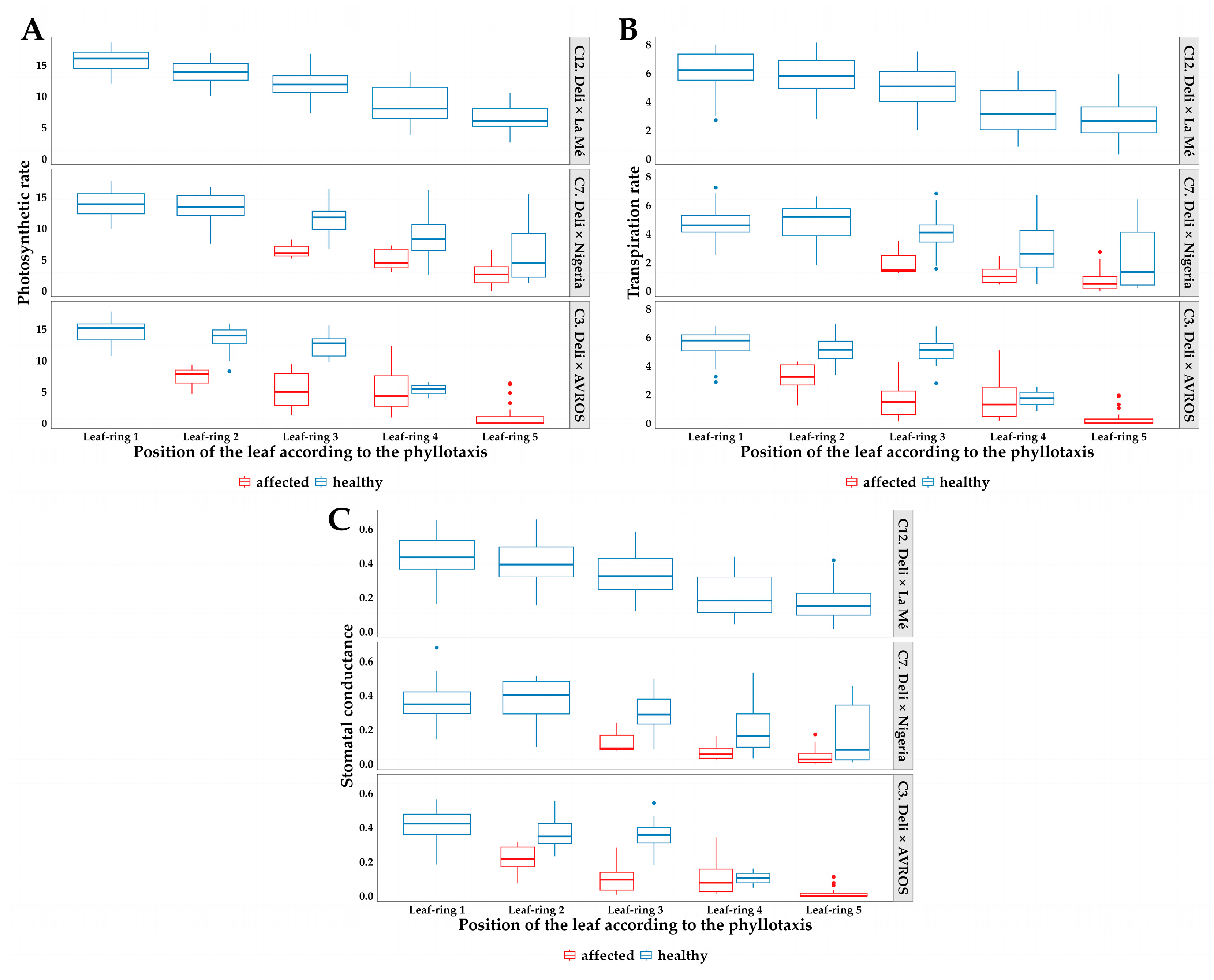
3.4. Effect of Leaf-Bending on the Gas Exchange Parameters
3.5. Nutritional Status and Leaf-Bending
4. Discussion
5. Conclusions
Author Contributions
Funding
Data Availability Statement
Acknowledgments
Conflicts of Interest
References
- Fedepalma. Statistical Yearbook 2023. In The Oil Palm Agroindustry in Colombia and the World 2018–2022; Fedepalma: Bogota, Colombia, 2023; p. 237. [Google Scholar]
- Navia, E.A.; Vila, R.A.; Daza, E.E.; Restrepo, E.F.; Romero, H.M. Assessment of tolerance to bud rot in oil palm under field conditions. Eur. J. Plant Pathol. 2014, 140, 711–720. [Google Scholar] [CrossRef]
- Sunilkumar, K.; Mathur, R.K.; Sparjanbabu, D.S.; Pillai, R.S.N. Evaluation of interspecific oil palm hybrids for dwarfness. J. Plant. Crops 2015, 43, 29–34. [Google Scholar]
- Awal, M.A.; Wan Ishak, W.I.; Bockari-Gevao, S.M. Determination of leaf area index for oil palm plantation using hemispherical photography technique. Pertanika J. Sci. Technol. 2010, 18, 23–32. [Google Scholar]
- Corley, R.H.V.; Tinker, P.B. The Oil Palm, 5th ed.; Wiley Blackwell: Oxford, UK, 2016. [Google Scholar]
- Romero, H.M.; Guataquira, S.; Forero, D.C. Light Interception, Photosynthetic Performance, and Yield of Oil Palm Interspecific OxG Hybrid (Elaeis oleifera (Kunth) Cortés x Elaeis guineensis Jacq.) under Three Planting Densities. Plants 2022, 11, 1166. [Google Scholar] [CrossRef]
- Pelaez, E.; Ramirez, D.; Gerardo, C. Fisiología comparada de palmas africana (Elaeis guineensis Jacq.), americana (Elaeis oleifera hbk Cortes) e híbridos (E. oleifera × E. guineensis) en Hacienda La Cabaña. Palmas 2010, 31, 29–38. [Google Scholar]
- Perez, R.P.A.; Dauzat, J.; Pallas, B.; Lamour, J.; Verley, P.; Caliman, J.P.; Costes, E.; Faivre, R. Designing oil palm architectural ideotypes for optimal light interception and carbon assimilation through a sensitivity analysis of leaf traits. Ann. Bot. 2018, 121, 909–926. [Google Scholar] [CrossRef]
- Beringer, T.; Müller, C.; Chatterton, J.; Kulak, M.; Schaphoff, S.; Jans, Y. CO2 fertilization effect may balance climate change impacts on oil palm cultivation. Environ. Res. Lett. 2023, 18, 054019. [Google Scholar] [CrossRef]
- Bakoumé, C.; Ngando Ebongué, G.; Ajambang, W.; Ataga, C.; Okoye, M.; Enaberue, L.; Konan, J.; Allou, D.; Diabate, S.; Konan, E. Oil palm breeding and seed production in Africa. In Proceedings of the International Seminar on Oil Palm Breeding and Seed Production, Kisana, Sumatra, Indonesia, 29–30 September 2016; p. 30. [Google Scholar]
- Campos, H.; Caligari, P.D.S. Genetic Improvement of Tropical Crops; Springer International: Cham, Switzerland, 2017; pp. 1–320. [Google Scholar]
- Ng, S.K.; Hardter, R.; von Uexkull, H. Botanical Aspects for the Oil Palm Relevant to Crop Management; MPOB: Kuala Lumpur, Malaysia, 2003. [Google Scholar]
- Navia, E.A.; Restrepo, E.F.; Romero, H.M. Response of six sources of oil palm planting materials from Malaysia planted in the eastern plains of Colombia to bud rot. J. Oil Palm Res. 2014, 26, 73–83. [Google Scholar]
- Sunpapao, A.; Chairin, T.; Ito, S.i. The biocontrol by Streptomyces and Trichoderma of leaf spot disease caused by Curvularia oryzae in oil palm seedlings. Biol. Control. 2018, 123, 36–42. [Google Scholar] [CrossRef]
- Woittiez, L.S.; van Wijk, M.T.; Slingerland, M.; van Noordwijk, M.; Giller, K.E. Yield gaps in oil palm: A quantitative review of contributing factors. Eur. J. Agron. 2017, 83, 57–77. [Google Scholar] [CrossRef]
- Bayona-Rodríguez, C.; Romero, H.M. Drought Resilience in Oil Palm Cultivars: A Multidimensional Analysis of Diagnostic Variables. Plants 2024, 13, 1598. [Google Scholar] [CrossRef] [PubMed]
- Silva, P.A.; Cosme, V.S.; Rodrigues, K.C.B.; Detmann, K.S.C.; Leo, F.M.; Cunha, R.L.a. Drought tolerance in two oil palm hybrids as related to adjustments in carbon metabolism and vegetative growth. Acta Physiol. Plant. 2017, 39, 58. [Google Scholar] [CrossRef]
- Tiemann, T.; Donough, C.; Lim, Y.; Härdter, R.; Norton, R.; Tao, H.; Jaramillo, R.; Satyanarayana, T.; Zingore, S.; Oberthür, T. Feeding the palm: A review of oil palm nutrition. Adv. Agron. 2018, 152, 149–243. [Google Scholar]
- González-G, M.Y.; Romero, H.M. Evaluation of Different Sources of Potassium to Reducing Leaf Bending on oil Palm. Palmas 2010, 31, 17–25. [Google Scholar]
- Walworth, J.L.; Sumner, M.E. The Diagnosis and Recommendation Integrated System (DRIS). Adv. Soil Sci. 1987, 6, 149–188. [Google Scholar] [CrossRef]
- Behera, S.K.; Suresh, K.; Rao, B.N.; Manoja, K.; Manorama, K. Soil Nutrient Status and Leaf Nutrient Norms in Oil Palm (Elaeis Guineensis Jacq.) Plantations Grown in the West Coastal Area of India. Commun. Soil Sci. Plant Anal. 2016, 47, 255–262. [Google Scholar] [CrossRef]
- LICOR. Using the LI-6800 Portable Photosynthesis System; LI-COR Inc.: Lincoln, NE, USA, 2024. [Google Scholar]
- Beaufils, B.E.R.; Sumner, M.E. Application of the DRIS Approach for Calibrating Soil and Plant Factors in Their Effects on Yield of Sugarcane. Master’s Thesis, Natal University, Pietermaritzburg, South Africa, 1976; pp. 118–124. [Google Scholar]
- Herrera, G. Obtención del sistema integrado de diagnóstico y recomendación integral (DRIS) en el cultivo de palma de aceite (Elaeis guineensis Jacq.). Master’s Thesis, Universidad Nacional de Colombia, Bogotá, Colombia, 2015; p. 179. [Google Scholar]
- Matos, G.S.B.D.; Fernandes, A.R.; Wadt, P.G.S.; Franzini, V.I.; Souza, E.M.D.C.; Ramos, H.M.N. Dris calculation methods for evaluating the nutritional status of oil palm in the Eastern Amazon. J. Plant Nutr. 2018, 41, 1240–1251. [Google Scholar] [CrossRef]
- Murata, Y.; Mori, I.C.; Munemasa, S. Diverse stomatal signaling and the signal integration mechanism. Annu. Rev. Plant Biol. 2015, 66, 369–392. [Google Scholar] [CrossRef] [PubMed]
- Salgado, F.F.; da Silva, T.L.C.; Vieira, L.R.; Silva, V.N.B.; Leão, A.P.; Costa, M.M.d.C.; Togawa, R.C.; de Sousa, C.A.F.; Grynberg, P.; Souza, M.T. The early response of oil palm (Elaeis guineensis Jacq.) plants to water deprivation: Expression analysis of miRNAs and their putative target genes, and similarities with the response to salinity stress. Front. Plant Sci. 2022, 13, 970113. [Google Scholar] [CrossRef]
- Godin, C.; Costes, E.; Sinoquet, H. A method for describing plant architecture which integrates topology and geometry. Ann. Bot. 1999, 84, 343–357. [Google Scholar] [CrossRef]
- Niinemets, Ü. A review of light interception in plant stands from leaf to canopy in different plant functional types and in species with varying shade tolerance. Ecol. Res. 2010, 25, 693–714. [Google Scholar] [CrossRef]
- Valencia, D.M.; Nuñez, J.G.; Rhenals, A.A. Efecto de la poda en el desempeño fisiológico y productivo de la palma de aceite en la Zona Norte colombiana Effect of pruning over the physiological and productive performance of the oil palm on the colombian Northern Zone. PALMSA 2000, 21, 1–6. [Google Scholar]
- Hermanto, A.; Gan, S.H.; Mustopa, I.R.; Wong, W.C.; Ng, P.H.C.; Tan, N.P.; Chong, C.W. Use of multiseasonal oil palm yield data to assess drought tolerance. Sci. Hort. 2023, 308, 111603. [Google Scholar] [CrossRef]
- Neto, J.C.R.; Vieira, L.R.; de Aquino Ribeiro, J.A.; de Sousa, C.A.F.; Júnior, M.T.S.; Abdelnur, P.V. Metabolic effect of drought stress on the leaves of young oil palm (Elaeis guineensis) plants using UHPLC–MS and multivariate analysis. Sci. Rep. 2021, 11, 18271. [Google Scholar] [CrossRef] [PubMed]
- Lopes Filho, W.R.L.; Rodrigues, F.H.S.; Ferreira, I.V.L.; Correa, L.O.; Cunha, R.L.; Pinheiro, H.A. Physiological responses of young oil palm (Elaeis guineensis Jacq.) plants to repetitive water deficit events. Ind. Crops Prod. 2021, 172, 114052. [Google Scholar] [CrossRef]
- Leão, A.P.; Bittencourt, C.B.; Carvalho da Silva, T.L.; Rodrigues Neto, J.C.; Braga, Í.d.O.; Vieira, L.R.; de Aquino Ribeiro, J.A.; Abdelnur, P.V.; de Sousa, C.A.F.; Souza Júnior, M.T. Insights from a Multi-Omics Integration (MOI) Study in Oil Palm (Elaeis guineensis Jacq.) Response to Abiotic Stresses: Part Two—Drought. Plants 2022, 11, 2786. [Google Scholar] [CrossRef] [PubMed]
- Sarkar, M.S.K.; Begum, R.A.; Pereira, J.J. Impacts of climate change on oil palm production in Malaysia. Environ. Sci. Pollut. Res. 2020, 27, 9760–9770. [Google Scholar] [CrossRef] [PubMed]
- Amo, J.; Martínez-Martínez, A.; Martínez, V.; Nieves-Cordones, M.; Rubio, F. Potassium transport systems at the plasma membrane of plant cells. tools for improving potassium use efficiency of crops. Plant Ionomics Sens. Signal. Regul. 2023, 3, 120–147. [Google Scholar]
- Umaña, C.; Chinchilla, C.H. Sintomatología asociada al déficit hídrico en palma aceitera. Bol. Tec. OPO-UB 1989, 3, 50–54. [Google Scholar]





| Cultivar | Name | Genetic Crossbreeding | Type |
|---|---|---|---|
| C1 | AAR | Deli × AVROS Dumpy | tenera |
| C2 | CORPOICA | Deli × (La Mé, Pobe) Yangambi) | tenera |
| C3 | DAMI 103,101 | Deli × AVROS | tenera |
| C4 | DAMI 104,404 | Deli × AVROS | tenera |
| C5 | DAMI 114,112 | Deli × AVROS | tenera |
| C6 | ASD DXG | Deli × Ghana | tenera |
| C7 | ASD DXN | Deli × Nigeria | tenera |
| C8 | FELDA | Deli × Yangambi | tenera |
| C9 | GOLDEN | Deli × AVROS | tenera |
| C10 | GUTHRIE | Deli × Yangambi | tenera |
| C11 | IOI | Deli × AVROS Dumpy | tenera |
| C12 | IRHO 1001 | Deli × La Mé | tenera |
| C13 | IRHO 1401 | Deli × La Mé | tenera |
| C14 | IRHO 2528 | Deli × La Mé | tenera |
| C15 | OxG 2777 | Coari × La Mé | O×G Hybrid |
| C16 | OxG 2783 | Coari × La Mé | O×G Hybrid |
| C17 | UNIPALM Y22683 | (Dejongo × Ekona) × Yangambi | tenera |
| C18 | UNITED | Deli × (AVROS × Yangambi) | tenera |
| C19 | UNIPALM Y22931 | (Djongo × Ekona) × Yangambi | tenera |
| C20 | OxG 2803 | Coari × La Mé | O×G Hybrid |
| C21 | EKONA COMPACT | Compact × Ekona | tenera |
| C22 | COMPACTA GHANA | Compact × Ghana | tenera |
| Response Variable * | Statistics | Year 1 | Year 2 | Year 3 | Year 4 |
|---|---|---|---|---|---|
| Affected palms per cultivar (%) | GL | 21 | 21 | 21 | 21 |
| F value | 19.03 | 16.36 | 38.83 | 23.58 | |
| P(>F) | *** | *** | *** | *** | |
| Leaves affected per palm per cultivar | GL | 21 | 21 | 21 | 21 |
| F value | 11.22 | 13.08 | 20.48 | 16.9 | |
| P(>F) | *** | *** | *** | *** |
| Contrast | Difference in (%) of Bending | Pr > F | Significance | LL (α = 95%) | UL (α = 95%) |
|---|---|---|---|---|---|
| Deli × La Mé vs. all others | −38.00 | 0.000 | *** | −54.91 | −21.10 |
| Coari × La Mé vs. all others | −40.71 | 0.000 | *** | −60.83 | −20.59 |
| Deli × AVROS vs. all others | 39.04 | 0.000 | *** | 22.13 | 55.94 |
| Deli × La Mé vs. Deli × AVROS | −65.49 | 0.000 | *** | −87.53 | −43.45 |
| Coari × La Mé vs. Deli × AVROS | −69.82 | 0.000 | *** | −94.46 | −45.18 |
| Deli × La Mé vs. Deli × Yangambi | −55.68 | 0.000 | *** | −80.32 | −31.04 |
| Coari × La Mé vs. Deli × Yangambi | −60.01 | 0.000 | *** | −87.01 | −33.02 |
| Deli × AVROS vs. Deli × Yangambi | 9.80 | 0.998 | ns | −14.83 | 34.44 |
| Deli × La Mé vs. Deli × Ghana | −43.61 | 0.000 | *** | −74.78 | −12.44 |
| Deli × La Mé vs. Deli × Nigeria | −30.19 | 0.072 | ns | −61.36 | 0.96 |
| Deli × AVROS vs. Deli × Ghana | 21.87 | 0.635 | ns | −9.29 | 53.04 |
| Deli × AVROS vs. Deli × Nigeria | 35.29 | 0.008 | ** | 4.12 | 66.46 |
| Contrast | Difference in Number of Sheets | Pr > F | Significance | LL (α = 95%) | UL (α = 95%) |
|---|---|---|---|---|---|
| Deli × La Mé vs. other cultivars | −2.49 | 0.00006 | *** | −4.22 | −0.76 |
| Coari × La Me vs. other cultivars | −2.42 | 0.00441 | ** | −4.47 | −0.36 |
| Deli × AVROS vs. other cultivars | 2.66 | 0.00001 | *** | 0.94 | 4.39 |
| Deli × La Mé vs. Deli × AVROS | −4.38 | 0.00000 | *** | −6.63 | −2.13 |
| Coari × La Mé vs. Deli × AVROS | −4.44 | 0.00000 | *** | −6.96 | −1.93 |
| Deli × La Mé vs. Deli × Yangambi | −4.84 | 0.00000 | *** | −7.35 | −2.32 |
| Coari × La Me vs. Deli × Yangambi | −4.91 | 0.00000 | *** | −7.65 | −2.14 |
| Deli × AVROS vs. Deli × Yangambi | −0.45 | 1.00000 | ns | −2.97 | 2.06 |
| Deli × La Mé vs. Deli × Ghana | −1.99 | 0.82710 | ns | −5.17 | 1.18 |
| Deli × La Mé vs. Deli × Nigeria | −1.06 | 0.99993 | ns | −4.24 | 2.12 |
| Deli × AVROS vs. Deli × Ghana | 2.39 | 0.48731 | ns | −0.78 | 5.57 |
| Deli × AVROS vs. Deli × Nigeria | 3.32 | 0.02826 | * | 0.14 | 6.51 |
| Cultivar | N | P | K | Ca | Mg | Cl | S | B | Faith | Cu | Mn | Zn |
|---|---|---|---|---|---|---|---|---|---|---|---|---|
| % | mg kg−1 | |||||||||||
| Sufficiency range | 2.20–2.47 | 0.14–0.17 | 0.74–0.92 | 0.63–0.73 | 0.19–0.26 | 0.56–0.71 | 0.15–0.17 | 20–23 | 60–67 | 5.9–6.9 | 686–833 | 22–26 |
| Deli × AVROS | 2.22 | 0.14 | 0.69 | 0.63 | 0.32 | 0.60 | 0.18 | 21.78 | 75.91 | 6.44 | 984.69 | 26.93 |
| Deli × Nigeria | 2.31 | 0.14 | 0.90 | 0.57 | 0.22 | 0.63 | 0.18 | 22.68 | 78.48 | 5.97 | 846.86 | 22.67 |
| Deli × La Mé | 2.33 | 0.14 | 0.83 | 0.52 | 0.22 | 0.60 | 0.19 | 26.20 | 61.94 | 5.58 | 866.73 | 17.19 |
| Criteria | Nutritional Status |
|---|---|
| DRIS < 0 and |DRIS| > IBNm | Deficient |
| |DRIS| ≤ IBNm | Balancing |
| DRIS > 0 and |DRIS| > IBNm | Excess |
| Crossover | DRIS indices | IBNm | |||||||||||
|---|---|---|---|---|---|---|---|---|---|---|---|---|---|
| N | P | K | Ca | Mg | Cl | S | B | Faith | Cu | Mn | Zn | ||
| Deli × AVROS | −5.6 | −15.5 | −10.6 | −8.2 | 10.5 | −5.6 | 7.1 | 3.2 | 12.4 | −3.2 | 11.4 | 4.1 | 6.7 |
| Deli × Nigeria | −1.7 | −12.3 | 2.3 | −12.7 | −1.4 | −1 | 8.2 | 4.1 | 21.4 | −6.9 | 5 | −4.9 | 6.2 |
| Deli × La Mé | 4.9 | −5.8 | 2.6 | −15.5 | 0.6 | 0.3 | 15.8 | 18 | 2.6 | −10.8 | 8.2 | −20.7 | 4.7 |
| Crossover | Order of Injunction | ||
|---|---|---|---|
| Deficient | Enough | Excess | |
| Deli × AVROS | P > K > Ca | N > Cl > Cu > B > B > Zn | S > Mg > Mn > Fe |
| Deli × Nigeria | Ca > P > Cu > Zn | N > Mg > Cl > K > K > B | Mn > S > Fe |
| Deli × La Mé | Zn > Ca > Cu | P > Cl > Mg > Fe > K > K > N | Mn > S > B |
Disclaimer/Publisher’s Note: The statements, opinions and data contained in all publications are solely those of the individual author(s) and contributor(s) and not of MDPI and/or the editor(s). MDPI and/or the editor(s) disclaim responsibility for any injury to people or property resulting from any ideas, methods, instructions or products referred to in the content. |
© 2024 by the authors. Licensee MDPI, Basel, Switzerland. This article is an open access article distributed under the terms and conditions of the Creative Commons Attribution (CC BY) license (https://creativecommons.org/licenses/by/4.0/).
Share and Cite
Tupaz-Vera, A.; Ayala-Díaz, I.; Caicedo-Zambrano, A.F.; Rincón-Numpaque, A.; Romero, H.M. Assessing the Susceptibility and Tolerance of Oil Palm Cultivars to Leaf-Bending: A Comparative Physiological and Nutritional Balance Study. Agronomy 2024, 14, 1686. https://doi.org/10.3390/agronomy14081686
Tupaz-Vera A, Ayala-Díaz I, Caicedo-Zambrano AF, Rincón-Numpaque A, Romero HM. Assessing the Susceptibility and Tolerance of Oil Palm Cultivars to Leaf-Bending: A Comparative Physiological and Nutritional Balance Study. Agronomy. 2024; 14(8):1686. https://doi.org/10.3390/agronomy14081686
Chicago/Turabian StyleTupaz-Vera, Andrés, Iván Ayala-Díaz, Arley Fernando Caicedo-Zambrano, Alvaro Rincón-Numpaque, and Hernán Mauricio Romero. 2024. "Assessing the Susceptibility and Tolerance of Oil Palm Cultivars to Leaf-Bending: A Comparative Physiological and Nutritional Balance Study" Agronomy 14, no. 8: 1686. https://doi.org/10.3390/agronomy14081686
APA StyleTupaz-Vera, A., Ayala-Díaz, I., Caicedo-Zambrano, A. F., Rincón-Numpaque, A., & Romero, H. M. (2024). Assessing the Susceptibility and Tolerance of Oil Palm Cultivars to Leaf-Bending: A Comparative Physiological and Nutritional Balance Study. Agronomy, 14(8), 1686. https://doi.org/10.3390/agronomy14081686

