Optimizing the Water and Nitrogen Management Scheme to Enhance Potato Yield and Water–Nitrogen Use Efficiency
Abstract
1. Introduction
2. Materials and Methods
2.1. Research Area Profile
2.2. Experimental Materials
2.3. Experimental Design
2.4. Measurement Items and Methods
2.4.1. Dry Matter
2.4.2. Yield and Its Constituent Elements
2.4.3. Water Use Efficiency and Nitrogen Fertilizer Partial Productivity
2.4.4. Water-Nitrogen Regression Model
2.5. Data Analysis
3. Results
3.1. Yield and Constituent Elements
3.2. Water Use Efficiency and Nitrogen Fertilizer Partial Productivity
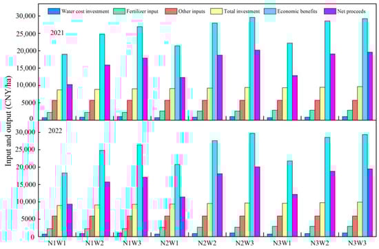
3.3. Economic Benefit Analysis
3.4. Establishment and Optimization of Water–Nitrogen Coupling Model
3.4.1. Equation Construction of Water–Nitrogen Coupling Model
3.4.2. Single-Factor Effect Analysis
3.4.3. Single-Factor Marginal Effect Analysis
3.4.4. Water–Nitrogen Interaction Analysis
3.4.5. Optimization of Water–Nitrogen Combination Scheme
4. Discussion
4.1. Effect of Water–Nitrogen Coupling on Potato Yield and Its Constituent Elements
4.2. The Effect of Water–Nitrogen Coupling on Potato WUE and NFPP
4.3. Potato Water–Nitrogen Coupling Model and Optimization of Combination Schemes
5. Conclusions
Author Contributions
Funding
Data Availability Statement
Conflicts of Interest
References
- Marcinkowski, P.; Piniewski, M. Future changes in crop yield over Poland driven by climate change, increasing atmospheric CO2 and nitrogen stress. Agric. Syst. 2024, 213, 103813. [Google Scholar] [CrossRef]
- Su, B.; Wu, Y.; Yan, B.; Niu, J. Spatiotemporal variations and impacts on cultivated land resources in Huaihe Eco-Economic Belt during 1990–2020. Trans. Chin. Soc. Agric. Eng. 2023, 39, 247–258. [Google Scholar] [CrossRef]
- Zhou, Z.; Sharif, A.; Inglesi-Lotz, R.; Bashir, M.F. Analysing the interplay between energy transition, resource consumption, deforestation, and environmental factors on agricultural productivity: Insights from APEC countries. J. Clean. Prod. 2024, 446, 141408. [Google Scholar] [CrossRef]
- Kabir, K.; Baldos, U.L.C.; Hertel, T.W. The new Malthusian challenge in the Sahel: Prospects for improving food security in Niger. Food Secur. 2023, 15, 455–476. [Google Scholar] [CrossRef]
- Shi, C.; Wu, C.; Zhang, J.; Zhang, C.; Xiao, Q. Impact of urban and rural food consumption on water demand in China—From the perspective of water footprint. Sustain. Prod. Consum. 2022, 34, 148–162. [Google Scholar] [CrossRef]
- Hayden, B.T. Incomplete documentation, social isolation, and culinary estrangement: Factors affecting food security among urban migrant populations in Mexico. Glob. Food Secur. 2024, 42, 100779. [Google Scholar] [CrossRef]
- Qin, R.; Feng, Z.; Yu, C.; Zhang, Q.; Qi, J.; Li, F. Contributions made by rain-fed potato with mulching to food security in China. Eur. J. Agron. 2022, 133, 126435. [Google Scholar] [CrossRef]
- Zhang, T.; Li, C.; Wang, S.; Cheng, Z.; Li, Z.; Xu, T.; Zhou, X.; Chen, W.; Hong, J. Promoting sustainable potato production-Insights from an integrated life cycle environmental-economic assessment. Agric. Syst. 2024, 219, 104029. [Google Scholar] [CrossRef]
- Yimam, A.M.; Andreini, M.; Carnevale, S.; Muscaritoli, M. Perspective: Could Ethiopian potatoes contribute to environmental sustainability, the Ethiopian economy, and human health? Front. Sustain. Food Syst. 2024, 8, 1371741. [Google Scholar] [CrossRef]
- Xu, J.; Zhu, J.; Yang, Y.; Tang, H.; Lv, H.; Fan, M.; Shi, Y.; Dong, D.; Wang, G.; Wang, W.; et al. Status of major diseases and insect pests of potato and pesticide usage in China. Sci. Agric. Sin. 2019, 52, 2800–2808. [Google Scholar] [CrossRef]
- Xu, Y.; He, P.; Qiu, S.; Xu, X.; Ma, J.; Ding, W.; Zhao, S.; Gao, Q.; Zhou, W. Regional variation of yield and fertilizer use efficiency of potato in China. Plant Nutr. Fertil. Sci. 2019, 25, 22–35. [Google Scholar] [CrossRef]
- Su, D.; Zhang, H.; Deng, H.; Zhou, C.; Chen, X. Effect of irrigation and fertilization on yield and water and fertilizer use efficiency of potato in the northwestern China: A Meta-analysis. J. Irrig. Drain. 2024, 43, 19–26. [Google Scholar] [CrossRef]
- Cheng, M.; Wang, H.; Zhang, F.; Wang, X.; Liao, Z.; Zhang, S.; Yang, Q.; Fan, J. Effects of irrigation and fertilization regimes on tuber yield, water-nutrient uptake and productivity of potato under drip fertigation in sandy regions of northern China. Agric. Water Manag. 2023, 287, 108459. [Google Scholar] [CrossRef]
- Zhang, F.; Cai, Y.; Tan, Q.; Wang, X. Spatial water footprint optimization of crop planting: A fuzzy multiobjective optimal approach based on MOD16 evapotranspiration products. Agric. Water Manag. 2021, 256, 107096. [Google Scholar] [CrossRef]
- Liu, J.; Sun, B.; Shen, H.; Ding, P.; Ning, D.; Zhang, J.; Qiu, X. Crop water requirement and utilization efficiency-based planting structure optimization in the Southern Huang-Huai-Hai Plain. Agronomy 2022, 12, 2219. [Google Scholar] [CrossRef]
- Fan, X.; Schütze, N. Assessing crop yield and water balance in crop rotation irrigation systems: Exploring sensitivity to soil hydraulic characteristics and initial moisture conditions in the North China Plain. Agric. Water Manag. 2024, 300, 108897. [Google Scholar] [CrossRef]
- Dari, J.; QuintanaSeguí, P.; BarellaOrtiz, A.; Rahmati, M.; Saltalippi, C.; Flammini, A.; Brocca, L. Quantifying the hydrological impacts of irrigation on a mediterranean agricultural context through explicit satellite-derived irrigation estimates. Water Resour. Res. 2024, 60, WR036510. [Google Scholar] [CrossRef]
- Wu, P.; Wang, Y.; Li, Y.; Yu, H.; Shao, J.; Zhao, Z.; Qiao, Y.; Liu, C.; Liu, S.; Gao, C.; et al. Optimizing irrigation strategies for sustainable crop productivity and reduced groundwater consumption in a winter wheat-maize rotation system. J. Environ. Manag. 2023, 348, 119469. [Google Scholar] [CrossRef]
- Wang, Y.; He, Y.; Li, Z.; Qu, J.; Wang, G. Soil water dynamics and deep percolation in an agricultural experimental area of the North China Plain over the past 50 years: Based on field monitoring and numerical modeling. Sci. Total Environ. 2024, 928, 172367. [Google Scholar] [CrossRef]
- Dang, K.; Ran, C.; Tian, H.; Gao, D.; Mu, J.; Zhang, Z.; Geng, Y.; Zhang, Q.; Shao, X.; Guo, L. Combined effects of straw return with nitrogen fertilizer on leaf ion balance, photosynthetic capacity, and rice yield in saline-sodic paddy fields. Agronomy 2023, 13, 2274. [Google Scholar] [CrossRef]
- Shen, W.; Ni, Y.; Gao, N.; Bian, B.; Zheng, S.; Lin, X.; Chu, H. Bacterial community composition is shaped by soil secondary salinization and acidification brought on by high nitrogen fertilization rates. Appl. Soil Ecol. 2016, 108, 76–83. [Google Scholar] [CrossRef]
- Hu, M.; Xue, H.; Wade, A.J.; Gao, N.; Qiu, Z.; Long, Y.; Shen, W. Biofertilizer supplements allow nitrogen fertilizer reduction, maintain yields, and reduce nitrogen losses to air and water in China paddy fields. Agric. Ecosyst. Environ. 2024, 362, 108850. [Google Scholar] [CrossRef]
- Sun, Y.; Duan, L.; Zhong, H.; Cai, H.; Xu, J.; Li, Z. Effects of irrigation-fertilization-aeration coupling on yield and quality of greenhouse tomatoes. Agric. Water Manag. 2024, 299, 108893. [Google Scholar] [CrossRef]
- Qi, Z.; Gao, Y.; Sun, C.; Ramos, T.B.; Mu, D.; Xun, Y.; Huang, G.; Xu, X. Assessing water-nitrogen use, crop growth and economic benefits for maize in upper Yellow River basin: Feasibility analysis for border and drip irrigation. Agric. Water Manag. 2024, 295, 108771. [Google Scholar] [CrossRef]
- Shen, F.; Fei, L.; Tuo, Y.; Peng, Y.; Yang, Q.; Zheng, R.; Wang, Q.; Liu, N.; Fan, Q. Effects of water and fertilizer regulation on soil physicochemical properties, bacterial diversity and community structure of Panax notoginseng. Sci. Hortic. 2024, 326, 112777. [Google Scholar] [CrossRef]
- Li, P.; Qi, X.; Wu, H.; Fan, X.; Qiao, D.; Fan, T.; Zhao, Z.; Huang, Z.; Zhu, D.; Hu, C. Improving Water and Nitrogen Use Efficiency of Potato by Partial Root-Zone Drying Irrigation in the Semi-Arid Area in China: A Field Experimental Study; Canadian Society for Bioengineering: Québec City, QC, Canada, 2010. [Google Scholar]
- Azeem, B.; KuShaari, K.; Man, Z.B.; Basit, A.; Thanh, T.H. Review on materials & methods to produce controlled release coated urea fertilizer. J. Control. Release 2014, 181, 11–21. [Google Scholar] [CrossRef]
- Jyolsna, T.; Vashisht, B.B.; Yadav, M.; Kaur, R.; Jalota, S.K. Field and simulation studies on yield, water and nitrogen dynamics and use efficiency in rice-wheat crops in sequence. Field Crops Res. 2024, 311, 109366. [Google Scholar] [CrossRef]
- Li, Y.; Wang, J.; Fang, Q.; Hu, Q.; Huang, M.; Chen, R.; Zhang, J.; Huang, B.; Pan, Z.; Pan, X. Optimizing water management practice to increase potato yield and water use efficiency in North China. J. Integr. Agric. 2023, 22, 3182–3192. [Google Scholar] [CrossRef]
- Cassino, M.N.; Giletto, C.M.; Zamuner, E.C.; Sainz Rozas, H.R.; Barbieri, P.A.; Reussi Calvo, N. Nitrogen fertilization effects on boron and chloride concentration, yield and quality in potato. Commun. Soil Sci. Plant Anal. 2023, 55, 828–845. [Google Scholar] [CrossRef]
- Wang, Y.; Zhang, R.; Li, S.; Guo, X.; Li, Q.; Hui, X.; Wang, Z.; Wang, H. An evaluation of potato fertilization and the potential of farmers to reduce the amount of fertilizer used based on yield and nutrient requirements. Agronomy 2024, 14, 612. [Google Scholar] [CrossRef]
- Shrestha, B.; Stringam, B.L.; Darapuneni, M.K.; Lombard, K.A.; Sanogo, S.; Higgins, C.; Djaman, K. Effect of irrigation and nitrogen management on potato growth, yield, and water and nitrogen use efficiencies. Agronomy 2024, 14, 560. [Google Scholar] [CrossRef]
- Tang, J.; Bai, H.; Zhang, S.; Xiao, D.; Tianzhu, Z.; Liu, D.L.; Wang, B.; Feng, P. Adaptations of potato production to future climate change by optimizing planting date, irrigation and fertilizer in the Agro-Pastoral Ecotone of China. Clim. Risk Manag. 2024, 44, 100604. [Google Scholar] [CrossRef]
- Yang, Y.; Yin, J.; Ma, Z.; Wei, X.; Sun, F.; Yang, Z. Water and nitrogen regulation effects and system optimization for potato (Solanum tuberosum L.) under film drip irrigation in the dry zone of Ningxia China. Agronomy 2023, 13, 308. [Google Scholar] [CrossRef]
- Xing, Y.; Zhang, F.; Wu, L.; Fan, J.; Zhang, Y.; Li, J. Determination of optimal amount of irrigation and fertilizer under drip fertigated system based on tomato yield, quality, water and fertilizer use efficiency. Trans. Chin. Soc. Agric. Eng. 2015, 31, 110–121. [Google Scholar] [CrossRef]
- Li, S.; Zhou, D.; Li, J. Effect of different nitrogen application on yield, nitrogen distribution and utilization in winter wheat under soil water stress. Acta Agric. Boreali-Sin. 2001, 16, 86–91. [Google Scholar] [CrossRef]
- Lu, L.; Dong, Z.; Zhang, J.; Zhang, L.; Liang, S.; Jia, X.; Yao, H. Effect of water and nitrogen on yield and nitrogen utilization of winter wheat and summer maize. Sci. Agric. Sin. 2014, 47, 3839–3849. [Google Scholar] [CrossRef]
- Zhao, L.; Jing, H.; Wang, S. Study on the effect of fertilization on winter wheat under rainfed conditions. Agric. Res. Arid Areas 1991, 9, 46–52. [Google Scholar]
- Zhang, L.; Yang, Y.; Yin, J.; Wu, J.; Pan, X. Effects of drip fertigation on accumulation and translocation of dry matter and nitrogen together with yield in wheat. Trans. Chin. Soc. Agric. Mach. 2021, 52, 275–282+319. [Google Scholar] [CrossRef]
- Gao, Y.; Qi, G.; Ma, Y.; Yin, M.; Wang, J.; Wang, C.; Tian, R.; Xiao, F.; Lu, Q.; Wang, J. Regulation effects of water and nitrogen on yield, water, and nitrogen use efficiency of wolfberry. J. Arid Land 2024, 16, 29–45. [Google Scholar] [CrossRef]
- Zhu, Z.; Chen, D. Nitrogen fertilizer use in China–Contributions to food production, impacts on the environment and best management strategies. Nutr. Cycl. Agroecosyst. 2002, 63, 117–127. [Google Scholar] [CrossRef]
- Zhang, N.; Luo, H.; Li, H.; Bao, M.; Liu, E.; Shan, W.; Ren, X.; Jia, Z.; Siddique, K.H.M.; Zhang, P. Maximizing potato tuber yields and nitrogen use efficiency in semi-arid environments by precision fertilizer depth application. Eur. J. Agron. 2024, 156, 127147. [Google Scholar] [CrossRef]
- Cong, X.; Zhang, L.; Xu, Z.; Pang, G.; Feng, Y.; Zhao, D. Effects of irrigation and nitrogen interaction on water and fertilizer use efficiency and economic benefits of winter wheat. Trans. Chin. Soc. Agric. Mach. 2021, 52, 315–324. [Google Scholar] [CrossRef]
- Liu, M.; Zhang, Z.; Zheng, E.; Chen, P.; Chen, S.; Shang, W. Photosynthesis, water and nitrogen use efficiency of maize as impacted by different combinations of water and nitrogen applications. J. Irrig. Drain. 2018, 37, 27–34. [Google Scholar] [CrossRef]





| Treatments | Irrigation Volume (mm) | Code Value (x2) | Nitrogen Application (kg ha−1) | Code Value (x1) | |||||
|---|---|---|---|---|---|---|---|---|---|
| Early Seedling | Seedling | Budding | Flowering | Potato Setting | Maturity | ||||
| N1W1 | 28 | 37 | 47 | 28 | 196 | 0 | −1 | 144 | −1 |
| N1W2 | 34 | 45 | 57 | 34 | 238 | 0 | 0 | 144 | −1 |
| N1W3 | 40 | 53 | 67 | 40 | 280 | 0 | 1 | 144 | −1 |
| N2W1 | 28 | 37 | 47 | 28 | 196 | 0 | −1 | 192 | 0 |
| N2W2 | 34 | 45 | 57 | 34 | 238 | 0 | 0 | 192 | 0 |
| N2W3 | 40 | 53 | 67 | 40 | 280 | 0 | 1 | 192 | 0 |
| N3W1 | 28 | 37 | 47 | 28 | 196 | 0 | −1 | 240 | 1 |
| N3W2 | 34 | 45 | 57 | 34 | 238 | 0 | 0 | 240 | 1 |
| N3W3 | 40 | 53 | 67 | 40 | 280 | 0 | 1 | 240 | 1 |
| Year | Treatment | Yield (kg ha−1) | Longitudinal Diameter (mm) | Horizontal Diameter (mm) | Weight per Plant (g) | Dry Mass (g plant−1) |
|---|---|---|---|---|---|---|
| 2021 | N1W1 | 27,932.65 ± 267.63 e | 77.32 ± 1.82 b | 50.07 ± 0.53 e | 1127.84 ± 17.83 f | 281.05 ± 9.93 d |
| N1W2 | 36,427.81 ± 928.22 c | 81.74 ± 2.36 ab | 54.83 ± 1.17 cd | 1327.95 ± 42.39 de | 308.29 ± 4.83 cd | |
| N1W3 | 39,607.53 ± 1387.99 bc | 83.68 ± 3.14 ab | 57.63 ± 0.65 bc | 1453.08 ± 56.56 cd | 329.73 ± 7.94 bc | |
| N2W1 | 31,468.95 ± 252.74 d | 79.53 ± 0.49 ab | 52.96 ± 2.05 de | 1242.62 ± 45.97 ef | 291.43 ± 10.21 d | |
| N2W2 | 41,168.07 ± 1079.13 ab | 85.72 ± 1.54 a | 60.59 ± 1.56 ab | 1574.21 ± 60.46 bc | 343.87 ± 9.44 ab | |
| N2W3 | 43,493.54 ± 1473.77 a | 87.01 ± 2.98 a | 63.84 ± 1.19 a | 1792.84 ± 38.91 a | 364.01 ± 8.29 a | |
| N3W1 | 32,647.39 ± 1300.91 d | 82.30 ± 3.31 ab | 56.58 ± 1.70 bcd | 1400.73 ± 49.12 d | 310.64 ± 3.55 cd | |
| N3W2 | 42,019.18 ± 1330.58 ab | 86.54 ± 0.87 a | 62.04 ± 1.54 a | 1683.02 ± 53.46 ab | 357.62 ± 15.30 ab | |
| N3W3 | 43,007.62 ± 1444.73 ab | 87.38 ± 3.08 a | 62.85 ± 0.86 a | 1745.07 ± 41.26 a | 375.85 ± 14.15 a | |
| N | 14.32 *** | 2.79 ns | 18.53 *** | 35.40 *** | 13.47 *** | |
| W | 83.07 *** | 5.78 * | 30.34 *** | 59.15 *** | 30.42 *** | |
| N × W | 0.30 ns | 0.09 ns | 0.89 ns | 2.01 ns | 0.55 ns | |
| 2022 | N1W1 | 26,537.83 ± 772.89 e | 76.51 ± 2.52 b | 49.64 ± 1.46 e | 1076.08 ± 38.03 g | 274.97 ± 6.42 e |
| N1W2 | 36,001.81 ± 1475.01 c | 81.18 ± 3.21 ab | 54.21 ± 1.00 cde | 1289.15 ± 39.42 ef | 297.42 ± 8.13 de | |
| N1W3 | 38,237.95 ± 980.89 bc | 82.94 ± 2.99 ab | 58.36 ± 1.53 abc | 1415.29 ± 25.51 de | 324.61 ± 11.35 cd | |
| N2W1 | 30,102.08 ± 1054.02 de | 78.83 ± 2.11 ab | 52.48 ± 2.08 de | 1212.36 ± 37.66 f | 285.29 ± 11.07 e | |
| N2W2 | 40,017.62 ± 1531.39 ab | 85.07 ± 3.18 a | 60.13 ± 1.28 ab | 1498.73 ± 58.76 cd | 337.06 ± 8.49 bc | |
| N2W3 | 43,082.19 ± 1092.45 a | 86.23 ± 1.42 a | 63.09 ± 1.39 a | 1758.04 ± 65.14 a | 359.15 ± 11.29 ab | |
| N3W1 | 31,549.54 ± 1013.13 d | 81.58 ± 2.15 ab | 56.25 ± 1.07 bcd | 1373.52 ± 14.20 de | 304.78 ± 11.36 de | |
| N3W2 | 41,394.66 ± 1621.62 ab | 85.46 ± 2.30 a | 61.58 ± 2.15 a | 1607.61 ± 39.10 bc | 348.63 ± 12.14 bc | |
| N3W3 | 42,576.05 ± 1207.60 a | 86.95 ± 2.39 a | 62.47 ± 1.66 a | 1663.75 ± 57.81 ab | 383.54 ± 6.99 a | |
| N | 13.97 *** | 2.45 ns | 12.12 *** | 35.10 *** | 16.87 *** | |
| W | 80.42 *** | 5.25 *** | 23.42 *** | 59.25 *** | 35.06 *** | |
| N × W | 0.22 ns | 0.07 ns | 0.70 ns | 2.56 ns | 0.87 ns |
| Year | Treatment | ET (mm) | WUE (kg m−3) | IWUE (kg m−3) | PFPN (kg kg−1) |
|---|---|---|---|---|---|
| 2021 | N1W1 | 485.73 ± 8.87 g | 5.75 ± 0.06 f | 8.31 ± 0.08 d | 245.02 ± 2.35 c |
| N1W2 | 559.44 ± 9.32 de | 6.51 ± 0.08 cde | 8.93 ± 0.23 cd | 319.54 ± 8.14 b | |
| N1W3 | 626.33 ± 9.31 ab | 6.32 ± 0.21 de | 8.25 ± 0.29 d | 347.43 ± 12.18 a | |
| N2W1 | 501.15 ± 9.51 fg | 6.28 ± 0.07 de | 9.37 ± 0.08 bc | 163.90 ± 1.31 e | |
| N2W2 | 576.06 ± 6.62 cd | 7.14 ± 0.11 a | 10.09 ± 0.26 ab | 214.42 ± 5.62 d | |
| N2W3 | 632.48 ± 8.72 a | 6.87 ± 0.19 abc | 9.06 ± 0.31 cd | 226.53 ± 7.68 cd | |
| N3W1 | 530.47 ± 10.16 ef | 6.15 ± 0.14 ef | 9.72 ± 0.39 abc | 136.03 ± 5.42 f | |
| N3W2 | 598.50 ± 13.41 bc | 7.02 ± 0.17 ab | 10.30 ± 0.33 a | 175.08 ± 5.54 e | |
| N3W3 | 641.92 ± 13.45 a | 6.70 ± 0.09 bcd | 8.96 ± 0.30 cd | 179.20 ± 6.02 e | |
| N | 8.14 ** | 14.70 *** | 16.31 *** | 349.06 *** | |
| W | 119.67 *** | 30.04 *** | 10.80 ** | 88.37 *** | |
| N × W | 0.61 ns | 0.09 ns | 0.55 ns | 5.09 ** | |
| 2022 | N1W1 | 495.32 ± 7.54 f | 5.36 ± 0.09 e | 7.90 ± 0.23 c | 232.79 ± 6.78 b |
| N1W2 | 571.85 ± 6.27 d | 6.29 ± 0.20 bcd | 8.82 ± 0.36 bc | 315.81 ± 12.94 a | |
| N1W3 | 633.74 ± 7.46 ab | 6.03 ± 0.12 cd | 7.97 ± 0.20 c | 335.42 ± 8.60 a | |
| N2W1 | 516.46 ± 11.22 ef | 5.83 ± 0.23 d | 8.96 ± 0.32 b | 156.78 ± 5.49 d | |
| N2W2 | 593.02 ± 11.92 cd | 6.74 ± 0.13 ab | 9.81 ± 0.38 ab | 208.43 ± 7.98 c | |
| N2W3 | 645.01 ± 4.98 a | 6.68 ± 0.12 ab | 8.98 ± 0.23 b | 224.39 ± 5.69 bc | |
| N3W1 | 537.74 ± 14.88 e | 5.87 ± 0.08 d | 9.39 ± 0.30 ab | 131.46 ± 4.22 e | |
| N3W2 | 605.88 ± 14.61 bc | 6.83 ± 0.11 a | 10.15 ± 0.40 a | 172.48 ± 6.76 d | |
| N3W3 | 655.76 ± 12.00 a | 6.50 ± 0.25 abc | 8.87 ± 0.25 bc | 177.40 ± 5.03 d | |
| N | 7.13 ** | 10.65 ** | 14.16 *** | 259.35 *** | |
| W | 109.47 *** | 28.85 *** | 9.27 ** | 78.87 *** | |
| N × W | 0.25 ns | 0.22 ns | 0.32 ns | 4.04 * |
| Target Economic Benefit Level Codes | Larger than Average Economic Benefit | Lower than Average Economic Benefit | ||||||
|---|---|---|---|---|---|---|---|---|
| x1 | x2 | x1 | x2 | |||||
| Times | Frequency | Times | Frequency | Times | Frequency | Times | Frequency | |
| −1 | 2 | 12.50 | 0 | 0 | 3 | 33.30 | 5 | 55.60 |
| −0.5 | 3 | 18.80 | 2 | 12.50 | 2 | 22.20 | 3 | 33.30 |
| 0 | 3 | 18.80 | 4 | 25.00 | 2 | 22.20 | 1 | 11.10 |
| 0.5 | 4 | 25.00 | 5 | 31.30 | 1 | 11.10 | 0 | 0 |
| 1 | 4 | 25.00 | 5 | 31.30 | 1 | 11.10 | 0 | 0 |
| Total number of times | 16 | 16 | 9 | 9 | ||||
| Standard error | 0.1750 | 0.1309 | 0.2373 | 0.1211 | ||||
| 95% confidence interval | −0.2170 | 0.5295 | 0.1273 | 0.6852 | −0.8251 | 0.2695 | −1.001 | −0.443 |
| Optimization | 123.17–194.83 | 354.33–434.67 | 64.79–169.87 | 191.86–272.21 | ||||
Disclaimer/Publisher’s Note: The statements, opinions and data contained in all publications are solely those of the individual author(s) and contributor(s) and not of MDPI and/or the editor(s). MDPI and/or the editor(s) disclaim responsibility for any injury to people or property resulting from any ideas, methods, instructions or products referred to in the content. |
© 2024 by the authors. Licensee MDPI, Basel, Switzerland. This article is an open access article distributed under the terms and conditions of the Creative Commons Attribution (CC BY) license (https://creativecommons.org/licenses/by/4.0/).
Share and Cite
Ju, Z.; Li, D.; Cui, Y.; Sun, D. Optimizing the Water and Nitrogen Management Scheme to Enhance Potato Yield and Water–Nitrogen Use Efficiency. Agronomy 2024, 14, 1651. https://doi.org/10.3390/agronomy14081651
Ju Z, Li D, Cui Y, Sun D. Optimizing the Water and Nitrogen Management Scheme to Enhance Potato Yield and Water–Nitrogen Use Efficiency. Agronomy. 2024; 14(8):1651. https://doi.org/10.3390/agronomy14081651
Chicago/Turabian StyleJu, Zhiqiang, Dongrong Li, Yanqiang Cui, and Dongyuan Sun. 2024. "Optimizing the Water and Nitrogen Management Scheme to Enhance Potato Yield and Water–Nitrogen Use Efficiency" Agronomy 14, no. 8: 1651. https://doi.org/10.3390/agronomy14081651
APA StyleJu, Z., Li, D., Cui, Y., & Sun, D. (2024). Optimizing the Water and Nitrogen Management Scheme to Enhance Potato Yield and Water–Nitrogen Use Efficiency. Agronomy, 14(8), 1651. https://doi.org/10.3390/agronomy14081651
