Effect of Nitrogen and Phosphorus on Soil Enzyme Activities and Organic Carbon Stability in Qinghai–Tibet Plateau
Abstract
1. Introduction
2. Materials and Methods
2.1. Site Description
2.2. Nutrient Addition Treatments
2.3. Soil Sampling
2.4. Chemical Analyses
2.5. Calculation of Relationships among Parameters
2.6. Data Analysis and Statistical Methods
3. Results
3.1. Response of Soil Oxidizable C Fractions to Long-Term Fertilization in Different Soil Layers
3.2. Response of SOC and C Pool Lability and SI and CPMI after Long-Term Fertilization in Different Soil Layers
3.3. Response of Soil Extracellular Enzyme Activities to Long-Term Fertilization in Different Soil Layers
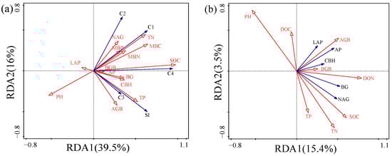
3.4. Factors Influencing Soil Enzyme Activities and Soil Oxidizable C Fractions
4. Discussion
4.1. Effects of Long-Term Fertilization on Soil Oxidizable C Fractions and SOC Stability
4.2. Effects of Long-Term Fertilization on Enzyme Activities
4.3. Relationship of Soil Oxidizable C Fractions with Soil C-Cycle Enzyme Activities
5. Conclusions
Author Contributions
Funding
Data Availability Statement
Acknowledgments
Conflicts of Interest
References
- Du, E.; Fenn, M.E.; De Vries, W.; Ok, Y.S. Atmospheric nitrogen deposition to global forests: Status, impacts and management options. Environ. Pollut. 2019, 250, 1044–1048. [Google Scholar] [CrossRef] [PubMed]
- Deng, J.; Nie, W.; Huang, X.; Ding, A.; Qin, B.; Fu, C. Atmospheric Reactive Nitrogen Deposition from 2010 to 2021 in Lake Taihu and the Effects on Phytoplankton. Environ. Sci. Technol. 2023, 57, 8075–8084. [Google Scholar] [CrossRef] [PubMed]
- Cui, J.; Zheng, M.; Bian, Z.; Pan, N.; Tian, H.; Zhang, X.; Qiu, Z.; Xu, J.; Gu, B. Elevated CO2 levels promote both carbon and nitrogen cycling in global forests. Nat. Clim. Change 2024, 14, 511–517. [Google Scholar] [CrossRef]
- Wang, Q.; Zhang, Y.; Zhang, P.; Li, N.; Wang, R.; Zhang, X.; Yin, H. Nitrogen deposition induces a greater soil C sequestration in the rhizosphere than bulk soil in an alpine forest. Sci. Total Environ. 2023, 875, 162701. [Google Scholar] [CrossRef] [PubMed]
- Singh, P.; Benbi, D.K. Organic carbon in soils’ fine fraction: Thresholds in saturation capacity and its relationship with carbon stabilization. Trop. Ecol. 2023, 64, 635–654. [Google Scholar] [CrossRef]
- Brar, B.S.; Singh, K.; Dheri, G.S.; Kuma, B. Carbon sequestration and soil carbon pools in a rice–wheat cropping system: Effect of long-term use of inorganic fertilizers and organic manure. Soil Tillage Res. 2013, 128, 30–36. [Google Scholar] [CrossRef]
- Zhao, Y.; Zhang, Y.; Zhang, Y.; Xie, J.; Chen, X.; Shi, X. Effects of 22-year fertilisation on the soil organic C, N, and theirs fractions under a rice-wheat cropping system. Arch. Agron. Soil Sci. 2021, 67, 767–777. [Google Scholar] [CrossRef]
- Loginow, W.; Wisniewski, W.; Gonet, S.S.; Ciescinska, B. Fractionation of organic carbon based on susceptibility to oxidation. Pol. J. Soil Sci. 1987, 20, 47–52. [Google Scholar]
- Janzen, H.H. Soil organic matter characteristics after long-term cropping to various spring wheat rotations. Can. J. Soil Sci. 1987, 67, 845–856. [Google Scholar] [CrossRef]
- Majumder, B.; Mandal, B.; Chaudhury, B.J. Soil organic carbon pools and productivity relationships for a 34 year old rice–wheat–jute agroecosystem under different fertilizer treatments. Plant Soil 2007, 297, 53–67. [Google Scholar] [CrossRef]
- Dupont, S.T.; Culman, S.W.; Ferris, H.; Buckley, D.H.; Glover, J.D. No-tillage conversion of harvested perennial grassland to annual cropland reduces root biomass, decreases active carbon stocks, and impacts soil biota. Agric. Ecosyst. Environ. 2010, 137, 25–32. [Google Scholar] [CrossRef]
- Linam, F.; Limmer, M.A.; Ebling, A.M.; Seyfferth, A.L. Rice husk and husk biochar soil amendments store soil carbon while water management controls dissolved organic matter chemistry in well-weathered soil. J. Environ. Manag. 2023, 339, 117936. [Google Scholar] [CrossRef] [PubMed]
- Kiem, R.; Kogel-Knabner, I. Contribution of lignin and polysaccharides to the refractory carbon pool in C-depleted arable soils. Soil Biol. Biochem. 2003, 35, 101–118. [Google Scholar] [CrossRef]
- Sun, C.; Xue, S.; Chai, Z.; Zhang, C.; Liu, G. Effects of land-use types on the vertical distribution of fractions of oxidizable organic carbon on the Loess Plateau, China. J. Arid. Land 2016, 8, 221–231. [Google Scholar] [CrossRef]
- Rudrappa, L.; Purakayastha, T.J.; Singh, D.; Bhadraray, S. Long-term manuring and fertilization effects on soil organic carbon pools in a Typic Haplustept of semi-arid sub-tropical India. Soil Tillage Res. 2006, 88, 180–192. [Google Scholar] [CrossRef]
- Liu, H.; Zhang, J.; Ai, Z.; Wu, Y.; Xu, H.; Li, Q.; Xue, S.; Liu, G. 16-Year fertilization changes the dynamics of soil oxidizable organic carbon fractions and the stability of soil organic carbon in soybean-corn agroecosystem. Agric. Ecosyst. Environ. 2018, 265, 320–330. [Google Scholar] [CrossRef]
- Chaudhary, S.; Dheri, G.S.; Brar, B.S. Long-term effects of NPK fertilizers and organic manures on carbon stabilization and management index under rice-wheat cropping system. Soil Tillage Res. 2017, 166, 59–66. [Google Scholar] [CrossRef]
- Yuan, X.; Qin, W.; Xu, H.; Zhang, Z.; Zhou, H.; Zhu, B. Sensitivity of soil carbon dynamics to nitrogen and phosphorus enrichment in an alpine meadow. Soil Biol. Biochem. 2020, 150, 107984. [Google Scholar] [CrossRef]
- Huang, J.; Liu, L.; Qi, K.; Yang, T.; Yang, B.; Bao, W.; Pang, X. Differential mechanisms drive changes in soil C pools under N and P enrichment in a subalpine spruce plantation. Geoderma 2019, 340, 213–223. [Google Scholar] [CrossRef]
- Liu, L.L.; Greaver, T.L. A global perspective on belowground carbon dynamics under nitrogen enrichment. Ecol. Lett. 2010, 13, 819–828. [Google Scholar] [CrossRef]
- Ye, C.; Chen, D.; Hall, S.J.; Pan, S.; Yan, X.; Bai, T.; Guo, H.; Zhang, Y.; Bai, Y.; Hu, S. Reconciling multiple impacts of nitrogen enrichment on soil carbon: Plant, microbial and geochemical controls. Ecol. Lett. 2018, 21, 1162–1173. [Google Scholar] [CrossRef] [PubMed]
- Fornara, D.A.; Banin, L.; Crawley, M. Multi-nutrient vs. nitrogen-only effects on carbon sequestration in grassland soils. Glob. Change Biol. 2013, 19, 3848–3857. [Google Scholar] [CrossRef]
- Luo, R.; Kuzyakov, Y.; Liu, D.; Fan, J.; Ding, W. Nutrient addition reduces carbon sequestration in a Tibetan grassland soil: Disentangling microbial and physical controls. Soil Biol. Biochem. 2020, 144, 107764. [Google Scholar] [CrossRef]
- Wang, G.; Qian, J.; Cheng, G.; Lai, Y. Soil organic carbon pool of grassland soils on the Qinghai-Tibetan Plateau and its global implication. Sci. Total Environ. 2002, 291, 207–217. [Google Scholar]
- Wu, L.; Yang, Y.; Wang, S.; Yue, H.; Lin, Q.; Hu, Y.; He, Z.; Van Nostrand, J.D.; Hale, L.; Li, X.; et al. Alpine soil carbon is vulnerable to rapid microbial decomposition under climate cooling. ISME J. 2017, 11, 2102–2111. [Google Scholar] [CrossRef] [PubMed]
- Xiang, Q.; Yu, H.; Huang, H.; Yan, D.; Yu, C.; Wang, Y.; Xiong, Z. The impact of grazing activities and environmental conditions on the stability of alpine grassland ecosystems. J. Environ. Manag. 2024, 360, 121176. [Google Scholar] [CrossRef] [PubMed]
- Fayiah, M.; Dong, S.; Khomera, S.W.; Rehman, S.A.U.; Yang, M.; Xiao, J. Status and Challenges of Qinghai-Tibet Plateau’s Grasslands: An Analysis of Causes, Mitigation Measures, and Way Forward. Sustainability 2020, 12, 1099. [Google Scholar] [CrossRef]
- Liu, E.; Yan, C.; Mei, X.; Zhang, Y.; Fan, T. Long-Term Effect of Manure and Fertilizer on Soil Organic Carbon Pools in Dryland Farming in Northwest China. PLoS ONE 2013, 8, e56536. [Google Scholar] [CrossRef] [PubMed]
- Nelson, D.W.; Sommers, L.E.; Sparks, D.L.; Page, A.L.; Helmke, P.A.; Loeppert, R.H.; Soltanpour, P.N.; Tabatabai, M.A.; Johnston, C.T.; Sumner, M.E. Total carbon, organic carbon, and organic matter. Methods Soil Anal. 1996, 9, 961–1010. [Google Scholar]
- Bremner, J.M.; Sparks, D.L.; Page, A.L.; Helmke, P.A.; Loeppert, R.H.; Soltanpour, P.N.; Tabatabai, M.A.; Johnston, C.T.; Sumner, M.E. Nitrogen—Total. Methods Soil Anal. Chem. Methods Part 1996, 72, 532–535. [Google Scholar]
- Murphy, J.; Riley, J.P. A modified single solution method for the determination of phosphate in natural waters. Anal. Chim. Acta 1962, 26, 31–36. [Google Scholar] [CrossRef]
- Brookes, P.C.; Powlson, D.S.; Jenkinson, D.S. Measurement of microbial biomass phosphorus in soil. Soil Biol. Biochem. 1982, 14, 319–329. [Google Scholar] [CrossRef]
- Vance, E.D.; Brookes, P.C.; Jenkinson, D.S. An extraction method for measuring soil microbial biomass C. Soil Biol. Biochem. 1987, 19, 703–707. [Google Scholar] [CrossRef]
- Bell, C.W.; Fricks, B.E.; Rocca, J.D.; Steinweg, J.M.; Mcmahon, S.K.; Wallenstein, M.D. High-throughput Fluorometric Measurement of Potential Soil Extracellular Enzyme Activities. J. Vis. Exp. 2013, 81, e50961. [Google Scholar]
- Steinweg, J.M.; Dukes, J.S.; Wallenstein, M.D. Modeling the effects of temperature and moisture on soil enzyme activity: Linking laboratory assays to continuous field data. Soil Biol. Biochem. 2012, 55, 85–92. [Google Scholar] [CrossRef]
- Blair, G.J.; Lefroy, R.D.B.; Lise, L. Soil carbon fractions based on their degree of oxidation, and the development of a carbon management index for agricultural systems. Aust. J. Agric. Res. 1995, 46, 1459–1466. [Google Scholar] [CrossRef]
- Banger, K.; Toor, G.S.; Biswas, A.; Sidhu, S.S.; Sudhir, K. Soil organic carbon fractions after 16-years of applications of fertilizers and organic manure in a Typic Rhodalfs in semi-arid tropics. Nutr. Cycl. Agroecosyst. 2010, 86, 391–399. [Google Scholar] [CrossRef]
- Wu, T.; Schoenau, J.J.; Li, F.; Qian, P.; Malhi, S.S.; Shi, Y.; Xu, F. Influence of cultivation and fertilization on total organic carbon and carbon fractions in soils from the Loess Plateau of China. Soil Tillage Res. 2004, 77, 59–68. [Google Scholar] [CrossRef]
- Bini, D.; Santos, C.A.D.; Bernal, L.P.T.; Andrade, G.; Nogueira, M.A. Identifying indicators of C and N cycling in a clayey Ultisol under different tillage and uses in winter. Appl. Soil Ecol. 2014, 76, 95–101. [Google Scholar] [CrossRef]
- Bhattacharyya, R.; Kundu, S.; Srivastva, A.K.; Gupta, H.S.; Prakash, V.; Bhatt, J.C. Long term fertilization effects on soil organic carbon pools in a sandy loam soil of the Indian sub-Himalayas. Plant Soil 2001, 341, 109–124. [Google Scholar] [CrossRef]
- Majumder, B.; Mandal, B.; Bandyopadhyay, P.K. Soil organic carbon pools and productivity in relation to nutrient management in a 20-year-old rice-berseem agroecosystem. Biol. Fertil. Soils 2008, 44, 451–461. [Google Scholar] [CrossRef]
- Liu, E.; Yan, C.; Mei, X.; Zhang, Y.; Fan, T. Soil carbon storage and CO2 flux in different vegetation types in Qilian Mountains. Chin. J. Ecol. 2008, 27, 681–688. [Google Scholar]
- Jobbágy, E.; Jackson, R.B. The Vertical Distribution of Soil Organic Carbon and Its Relation to Climate and Vegetation. Ecol. Appl. 2000, 10, 423–436. [Google Scholar] [CrossRef]
- Yang, X.; Ren, W.; Sun, B.; Zhang, S. Effects of contrasting soil management regimes on total and labile soil organic carbon fractions in a loess soil in China. Geoderma 2012, 177–178, 49–56. [Google Scholar] [CrossRef]
- Ferreira Maia, S.M.; Xavier, F.A.S.; Oliveira, T.S.; Mendonca, E.S.; Araujo Filho, J.A. Organic carbon pools in a Luvisol under agroforestry and conventional farming systems in the semi-arid region of Ceara, Brazil. Agrofor. Syst. 2007, 71, 127–138. [Google Scholar] [CrossRef]
- Allison, S.D.; Weintraub, M.N.; Gartner, T.B.; Waldrop, M.P. Evolutionary-Economic Principles as Regulators of Soil Enzyme Production and Ecosystem Function. In Soil Enzymology; Shukla, G., Varma, A., Eds.; Springer: Berlin/Heidelberg, Germany, 2011; pp. 229–243. [Google Scholar]
- Woo, H.L.; Hazen, T.C.; Simmons, B.A.; DeAngelis, K.M. Enzyme activities of aerobic lignocellulolytic bacteria isolated from wet tropical forest soils. Syst. Appl. Microbiol. 2014, 37, 60–67. [Google Scholar] [CrossRef] [PubMed]
- Singhania, R.R.; Patel, A.K.; Sukumaran, R.K.; Larroche, C.; Pandey, A. Role and significance of beta-glucosidases in the hydrolysis of cellulose for bioethanol production. Bioresour. Technol. 2013, 127, 500–507. [Google Scholar] [CrossRef] [PubMed]
- Liu, E.; Yan, C.; Mei, X.; He, W.; Bing, S.H.; Ding, L.; Liu, Q.; Liu, S.; Fan, T. Long-term effect of chemical fertilizer, straw, and manure on soil chemical and biological properties in northwest China. Geoderma 2010, 158, 173–180. [Google Scholar] [CrossRef]
- Hao, C.; Dejun, L.; Jie, Z.; Kongcao, X.; Kelin, W. Effect of nitrogen and phosphorus addition on soil enzyme activities: A meta-analysis. Agric. Ecosyst. Environ. 2018, 252, 126–131. [Google Scholar]
- Saiya-Cork, K.R.; Sinsabaugh, R.L.; Zak, D.R. The effects of long term nitrogen deposition on extracellular enzyme activity in an Acer saccharum forest soil. Soil Biol. Biochem. 2002, 34, 1309–1315. [Google Scholar] [CrossRef]
- Yin, R.; Deng, H.; Wang, H.L.; Zhang, B. Vegetation type affects soil enzyme activities and microbial functional diversity following re-vegetation of a severely eroded red soil in sub-tropical China. Catena 2014, 115, 96–103. [Google Scholar] [CrossRef]
- Pausch, J.; Kuzyakov, Y. Carbon input by roots into the soil: Quantification of rhizodeposition from root to ecosystem scale. Glob. Chang. Biol. 2018, 24, 1–12. [Google Scholar] [CrossRef] [PubMed]
- Shao, X.; Yang, W.; Wu, M.; Hui, D. Seasonal Dynamics of Soil Labile Organic Carbon and Enzyme Activities in Relation to Vegetation Types in Hangzhou Bay Tidal Flat Wetland. PLoS ONE 2015, 10, e0142677. [Google Scholar] [CrossRef] [PubMed]
- Chao, Z.; Liu, G.; Xue, S.; Song, Z. Rhizosphere soil microbial activity under different vegetation types on the Loess Plateau, China. Geoderma 2011, 161, 115–125. [Google Scholar]
- Niemi, R.M.; Vepsäläinen, M.; Wallenius, K.; Simpanen, S.; Alakukku, L.; Pietola, L. Temporal and soil depth-related variation in soil enzyme activities and in root growth of red clover (Trifolium pratense) and timothy (Phleum pratense) in the field. Appl. Soil Ecol. 2005, 30, 113–125. [Google Scholar] [CrossRef]
- Zhang, S.; Li, H.; Yang, X.; Sun, B. Effects of soil management regimes on biochemical properties of a loess soil. J. Soil Sci. Plant Nutr. 2015, 15, 711–725. [Google Scholar] [CrossRef]
- An, S.S.; Huang, Y.M.; Zheng, F.L. Evaluation of soil microbial indices along a revegetation chronosequence in grassland soils on the Loess Plateau, Northwest China. Appl. Soil Ecol. 2009, 41, 286–292. [Google Scholar] [CrossRef]
- Jiao, L.; Tong, X.; Awasthi, M.K.; Wu, F.; Chao, H. Dynamics of soil microbial biomass and enzyme activities along a chronosequence of desertified land revegetation. Ecol. Eng. 2018, 111, 22–30. [Google Scholar]
- Xu, J.M.; Tang, C.; Chen, Z.L. Chemical composition controls residue decomposition in soils differing in initial pH. Soil Biol. Biochem. 2006, 38, 544–552. [Google Scholar] [CrossRef]
- Bowles, T.M.; Acosta-Martínez, V.; Calderón, F.; Jackson, L.E. Soil enzyme activities, microbial communities, and carbon and nitrogen availability in organic agroecosystems across an intensively-managed agricultural landscape. Soil Biol. Biochem. 2014, 68, 252–262. [Google Scholar] [CrossRef]
- Song, Y.; Song, C.; Shi, F.; Wang, M.; Ren, J.; Wang, X.; Jiang, L. Linking plant community composition with the soil C pool, N availability and enzyme activity in boreal peatlands of Northeast China. Appl. Soil Ecol. 2019, 140, 144–154. [Google Scholar] [CrossRef]
- Wang, Q.; Xiao, F.; He, T.; Wang, S. Responses of labile soil organic carbon and enzyme activity in mineral soils to forest conversion in the subtropics. Ann. For. Sci. 2013, 70, 579–587. [Google Scholar] [CrossRef]
- Wang, Q.K.; Wang, S.L.; Liu, Y.X. Responses to N and P fertilization in a young Eucalyptus dunnii plantation: Microbial properties, enzyme activities and dissolved organic matter. Appl. Soil Ecol. 2008, 40, 484–490. [Google Scholar] [CrossRef]
- DeForest, J.L.; Smemo, K.A.; Burke, D.J.; Elliott, H.L.; Becker, J.C. Soil microbial responses to elevated phosphorus and pH in acidic temperate deciduous forests. Biogeochemistry 2012, 109, 189–202. [Google Scholar] [CrossRef]
- Turner, B.L.; Wright, S.J. The response of microbial biomass and hydrolytic enzymes to a decade of nitrogen, phosphorus, and potassium addition in a lowland tropical rain forest. Biogeochemistry 2014, 117, 115–130. [Google Scholar] [CrossRef]
- Olander, L.P.; Vitousek, P.M. Regulation of soil phosphatase and chitinase activity by N and P availability. Biogeochemistry 2000, 49, 175–190. [Google Scholar] [CrossRef]
- Fansler, S.J.; Smith, J.L.; Bolton, H.; Bailey, V.L. Distribution of two C cycle enzymes in soil aggregates of a prairie chronosequence. Biol. Fertil. Soils 2005, 42, 17–23. [Google Scholar] [CrossRef]
- Xu, G.; Liu, Y.; Long, Z.; Hu, S.; Zhang, Y.; Jiang, H. Effects of exotic plantation forests on soil edaphon and organic matter fractions. Sci. Total Environ. 2018, 626, 59–68. [Google Scholar] [CrossRef] [PubMed]
- Li, S.; Zhang, S.; Pu, Y.; Li, T.; Xu, X.; Jia, Y.; Deng, O.; Gong, G. Dynamics of soil labile organic carbon fractions and C-cycle enzyme activities under straw mulch in Chengdu Plain. Soil Tillage Res. 2016, 155, 289–297. [Google Scholar] [CrossRef]
- Kooch, Y.; Ehsani, S.; Akbarinia, M. Stoichiometry of microbial indicators shows clearly more soil responses to land cover changes than absolute microbial activities. Ecol. Eng. 2019, 131, 99–106. [Google Scholar] [CrossRef]
- Bhattacharyya, P.; Chakrabarti, K.; Chakraborty, A. Microbial biomass and enzyme activities in submerged rice soil amended with municipal solid waste compost and decomposed cow manure. Chemosphere 2005, 60, 310–318. [Google Scholar] [CrossRef] [PubMed]
- Wickings, K.; Grandy, A.S.; Reed, S.C.; Cleveland, C.C. The origin of litter chemical complexity during decomposition. Ecol. Lett. 2012, 15, 1180–1188. [Google Scholar] [CrossRef] [PubMed]
- Waldrop, M.P.; Zak, D.R. Response of oxidative enzyme activities to nitrogen deposition affects soil concentrations of dissolved organic carbon. Ecosystems 2006, 9, 921–933. [Google Scholar] [CrossRef]
- Zhang, L.; Chen, X.; Xu, Y.; Jin, M.; Thompson, M.L. Soil labile organic carbon fractions and soil enzyme activities after 10 years of continuous fertilization and wheat residue incorporation. Sci. Rep. 2020, 10, 11318. [Google Scholar] [CrossRef] [PubMed]
- Cleveland, C.C.; Townsend, A.R. Nutrient additions to a tropical rain forest drive substantial soil carbon dioxide losses to the atmosphere. Proc. Natl. Acad. Sci. USA 2006, 103, 10316–10321. [Google Scholar] [CrossRef] [PubMed]
- Liang, B.C.; MacKenzie, A.F.; Schnitzer, M.; Monreal, C.M.; Voroney, P.R.; Beyaert, R.P. Management-induced change in labile soil organic matter under continous corn in eastern Canadian soils. Biol. Fertil. Soils 1998, 26, 88–94. [Google Scholar] [CrossRef]
- Bonnett, S.A.F.; Ostle, N.; Freeman, C. Seasonal variations in decomposition processes in a valley-bottom riparian peatland. Sci. Total Environ. 2006, 370, 561–573. [Google Scholar] [CrossRef] [PubMed]
- Tian, L.; Dell, E.; Shi, W. Chemical composition of dissolved organic matter in agroecosystems: Correlations with soil enzyme activity and carbon and nitrogen mineralization. Appl. Soil Ecol. 2010, 46, 426–435. [Google Scholar] [CrossRef]
- Ritz, K.; Wheatley, R.E.; Griffiths, B.S. Effects of animal manure application and crop plants upon size and activity of soil microbial biomass under organically grown spring barley. Biol. Fertil. Soils 1997, 24, 372–377. [Google Scholar] [CrossRef]
- Kandeler, E.; Eder, G. Effect of cattle slurry in grassland on microbial biomass and on activities of various enzymes. Biol. Fertil. Soils 1993, 16, 249–254. [Google Scholar] [CrossRef]
- Nannipieri, P.L.; Muccini, L.; Ciardi, C. Microbial biomass and enzyme activities: Production and persistence. Soil Biol. Biochem. 1983, 15, 679–685. [Google Scholar] [CrossRef]
- Salazar, S.; Sanchez, L.E.; Alvarez, J.; Valverde, A.; Galindo, P.; Igual, J.M.; Peix, A.; Santa-Regina, I. Correlation among soil enzyme activities under different forest system management practices. Ecol. Eng. 2011, 37, 1123–1131. [Google Scholar] [CrossRef]




| Treatments | Diversity Index | Abundance | Aboveground Biomass | Belowground Biomass |
|---|---|---|---|---|
| CK | 2.5350 a | 17.3333 a | 555.9183 b | 1.6034 bc |
| N | 1.9050 b | 11.1667 b | 577.6633 b | 2.5324 a |
| P | 1.9500 b | 10.0000 b | 561.4983 b | 1.4245 c |
| NP | 1.1233 c | 6.0000 c | 969.8640 a | 2.3114 ab |
| C1 | C2 | C3 | C4 | SOC | DOC | MBC | BG | CBH | NAG | LAP | AP | |
|---|---|---|---|---|---|---|---|---|---|---|---|---|
| C1 | 1 | |||||||||||
| C2 | 0.664 ** | 1 | ||||||||||
| C3 | 0.409 ** | 0.241* | 1 | |||||||||
| C4 | 0.685 ** | 0.395 ** | 0.367 ** | 1 | ||||||||
| SOC | 0.769 ** | 0.513 ** | 0.470 ** | 0.985 ** | 1 | |||||||
| DOC | −0.365 ** | −0.347 ** | −0.376 ** | −0.177 | −0.251 * | 1 | ||||||
| MBC | 0.758 ** | 0.465 ** | 0.351 ** | 0.645 ** | 0.691 ** | −0.119 | 1 | |||||
| BG | 0.403 ** | 0.241 * | 0.182 | 0.524 ** | 0.526 ** | −0.170 | 0.346 ** | 1 | ||||
| CBH | 0.257 * | 0.167 | 0.150 | 0.458 ** | 0.446 ** | −0.018 | 0.231 | 0.786 ** | 1 | |||
| NAG | 0.462 ** | 0.342 ** | 0.169 | 0.434 ** | 0.458 ** | −0.121 | 0.391 ** | 0.593 ** | 0.531 ** | 1 | ||
| LAP | −0.085 | −0.046 | −0.189 | −0.034 | −0.057 | −0.022 | −0.160 | 0.591 ** | 0.546 ** | 0.375 ** | 1 | |
| AP | 0.083 | 0.032 | −0.099 | 0.255 * | 0.221 | −0.021 | −0.025 | 0.608 ** | 0.555 ** | 0.427 ** | 0.602 ** | 1 |
Disclaimer/Publisher’s Note: The statements, opinions and data contained in all publications are solely those of the individual author(s) and contributor(s) and not of MDPI and/or the editor(s). MDPI and/or the editor(s) disclaim responsibility for any injury to people or property resulting from any ideas, methods, instructions or products referred to in the content. |
© 2024 by the authors. Licensee MDPI, Basel, Switzerland. This article is an open access article distributed under the terms and conditions of the Creative Commons Attribution (CC BY) license (https://creativecommons.org/licenses/by/4.0/).
Share and Cite
Zhai, J.; Zhou, H.; Wu, Y.; Wang, G.; Xue, S. Effect of Nitrogen and Phosphorus on Soil Enzyme Activities and Organic Carbon Stability in Qinghai–Tibet Plateau. Agronomy 2024, 14, 1376. https://doi.org/10.3390/agronomy14071376
Zhai J, Zhou H, Wu Y, Wang G, Xue S. Effect of Nitrogen and Phosphorus on Soil Enzyme Activities and Organic Carbon Stability in Qinghai–Tibet Plateau. Agronomy. 2024; 14(7):1376. https://doi.org/10.3390/agronomy14071376
Chicago/Turabian StyleZhai, Jiaying, Huakun Zhou, Yang Wu, Guoliang Wang, and Sha Xue. 2024. "Effect of Nitrogen and Phosphorus on Soil Enzyme Activities and Organic Carbon Stability in Qinghai–Tibet Plateau" Agronomy 14, no. 7: 1376. https://doi.org/10.3390/agronomy14071376
APA StyleZhai, J., Zhou, H., Wu, Y., Wang, G., & Xue, S. (2024). Effect of Nitrogen and Phosphorus on Soil Enzyme Activities and Organic Carbon Stability in Qinghai–Tibet Plateau. Agronomy, 14(7), 1376. https://doi.org/10.3390/agronomy14071376

