Heat Transfer Process of the Tea Plant under the Action of Air Disturbance Frost Protection
Abstract
1. Introduction
2. Materials and Methods
2.1. Governing Equation Construction
2.2. Simulation of Fluid–Solid Heat Coupling in the Cross-Section of Tea Plant Rows
2.2.1. Model Configuration and Mesh Independence
2.2.2. Grid Independence Verification
2.3. Thermal–Fluid–Structure Coupling Analysis of Stem in Tea Plant Rows
3. Results and Discussion
3.1. The Transient Velocity Distribution of Airflow in the Cross-Section of Tea Rows
3.2. Simulation Results of the Thermal–Fluid–Structure Coupling of Tea Stems
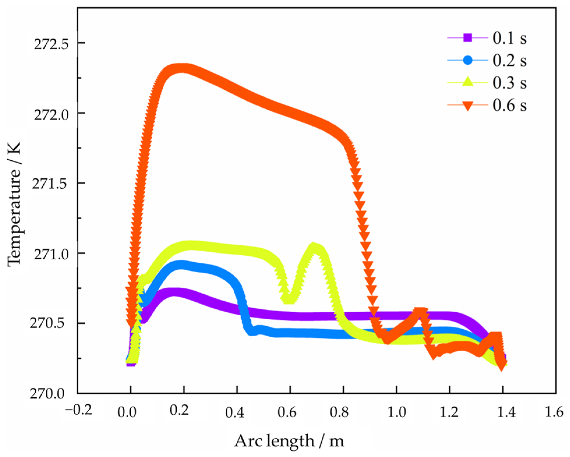
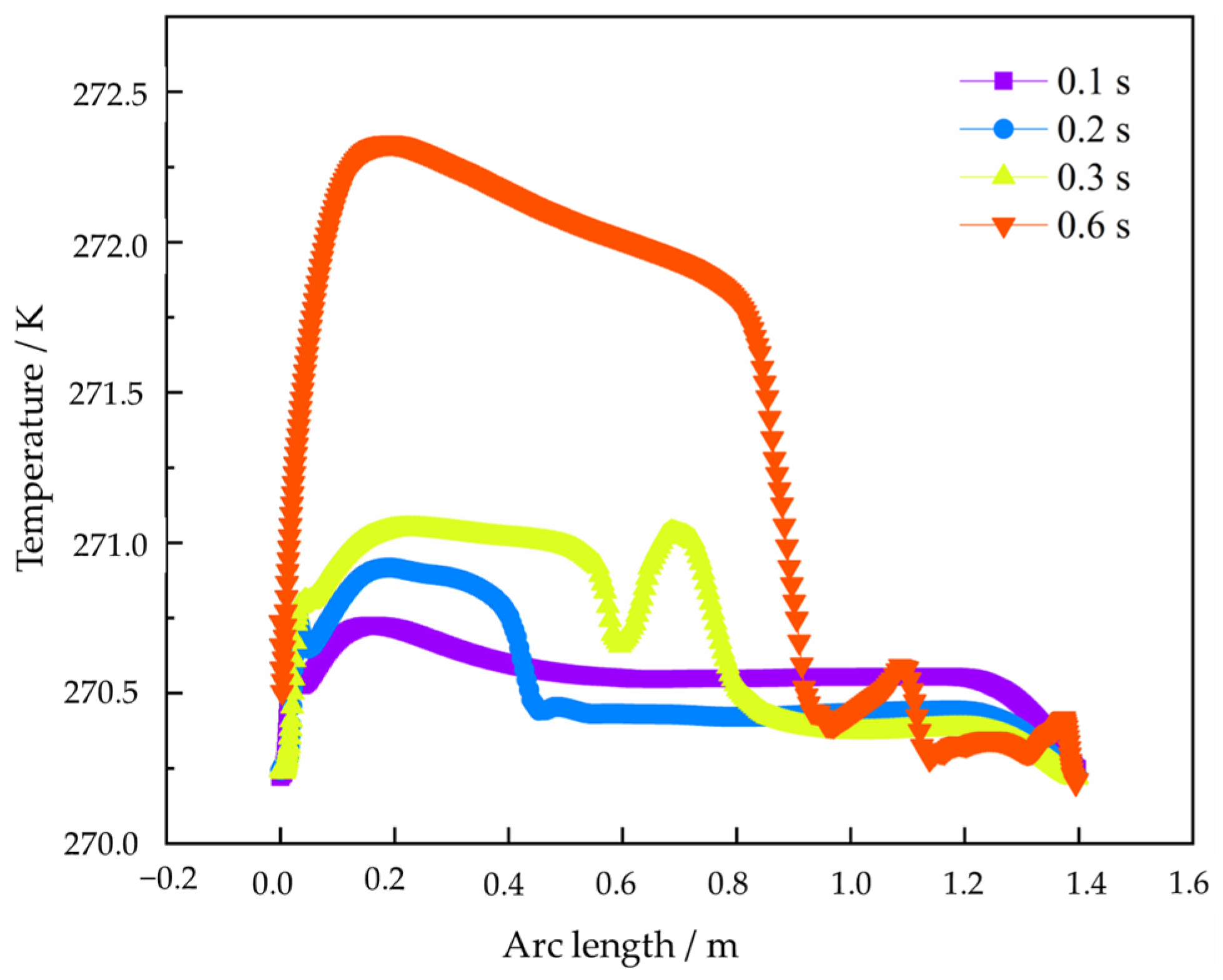
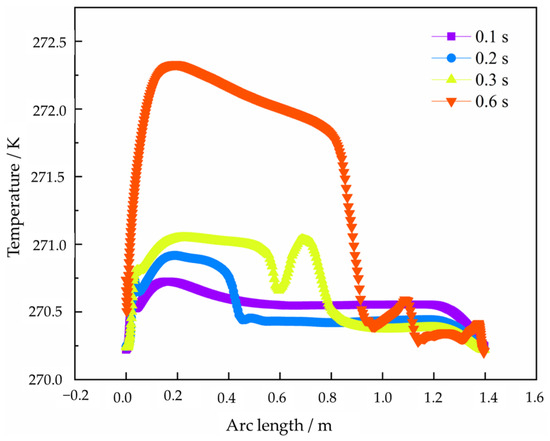
3.3. Transient Analysis of Thermal–Fluid–Structure Coupling with Airflow Disturbance
3.4. The Influence of Airflow Velocity
3.5. The Influence of the Stem Diameter
4. Conclusions
Author Contributions
Funding
Data Availability Statement
Acknowledgments
Conflicts of Interest
References
- Hu, Y.; Asante, E.A.; Lu, Y.; Mahmood, A.; Buttar, N.A.; Yuan, S. Review of Air Disturbance Technology for Plant Frost Protection. Int. J. Agric. Biol. Eng. 2018, 11, 21–28. [Google Scholar] [CrossRef]
- Snyder, R.L.; de Melo-Abreu, J.P. Frost Protection: Fundamentals, Practice and Economics; Environment and Natural Resources Series; Food and Agriculture Organization of the United Nations: Rome, Italy, 2005; ISBN 978-92-5-105328-7. [Google Scholar]
- Kotikot, S.M.; Flores, A.; Griffin, R.E.; Nyaga, J.; Case, J.L.; Mugo, R.; Sedah, A.; Adams, E.; Limaye, A.; Irwin, D.E. Statistical Characterization of Frost Zones: Case of Tea Freeze Damage in the Kenyan Highlands. Int. J. Appl. Earth Obs. Geoinf. 2020, 84, 101971. [Google Scholar] [CrossRef]
- Ru, X.; Zhou, J.; Gong, K.; He, Z.; Dai, Z.; Li, M.; Feng, X.; Yu, Q.; Feng, H.; He, J. Climate Warming May Accelerate Apple Phenology but Lead to Divergent Dynamics in Late-Spring Frost and Poor Pollination Risks in Main Apple Production Regions of China. Eur. J. Agron. 2023, 150, 126945. [Google Scholar] [CrossRef]
- Ru, X.; Jiang, Y.; Luo, Q.; Wang, R.; Feng, X.; Wang, J.; Wang, Z.; Li, M.; Qu, Z.; Su, B.; et al. Evaluating Late Spring Frost Risks of Apple in the Loess Plateau of China under Future Climate Change with Phenological Modeling Approach. Sci. Hortic. 2023, 308, 111604. [Google Scholar] [CrossRef]
- Lu, Y.; Hu, Y.; Li, P. Consistency of Electrical and Physiological Properties of Tea Leaves on Indicating Critical Cold Temperature. Biosyst. Eng. 2017, 159, 89–96. [Google Scholar] [CrossRef]
- Lu, Y.; Hu, Y.; Snyder, R.L.; Kent, E.R. Tea Leaf’s Microstructure and Ultrastructure Response to Low Temperature in Indicating Critical Damage Temperature. Inf. Process. Agric. 2019, 6, 247–254. [Google Scholar] [CrossRef]
- Lu, Y.; Asante, E.A.; Duan, H.; Hu, Y. Quantitative Assessment of Cold Injury in Tea Plants by Terahertz Spectroscopy Method. Agronomy 2023, 13, 1376. [Google Scholar] [CrossRef]
- An-Vo, D.-A.; Mushtaq, S.; Zheng, B.; Christopher, J.T.; Chapman, S.C.; Chenu, K. Direct and Indirect Costs of Frost in the Australian Wheatbelt. Ecol. Econ. 2018, 150, 122–136. [Google Scholar] [CrossRef]
- Lou, W.; Zhao, Y.; Huang, X.; Zhu, T.; Yang, M.; Deng, S.; Zhou, Z.; Zhang, Y.; Sun, Q.; Chen, S. Frost Risk Assessment Based on the Frost-Induced Injury Rate of Tea Buds: A Case Study of the Yuezhou Longjing Tea Production Area, China. Eur. J. Agron. 2023, 147, 126839. [Google Scholar] [CrossRef]
- Tang, J.; Wang, P.; Li, X.; Yang, J.; Wu, D.; Ma, Y.; Li, S.; Jin, Z.; Huo, Z. Disaster Event-Based Spring Frost Damage Identification Indicator for Tea Plants and Its Applications over the Region North of the Yangtze River, China. Ecol. Indic. 2023, 146, 109912. [Google Scholar] [CrossRef]
- Cheng, S.; Hu, Y.; Lu, Y.; Pan, Q.; Jin, K.; Zheng, J. Investigation on Combination of Airflow Disturbance and Sprinkler Irrigation for Horticultural Crop Frost Protection. Agric. Sci. 2023, 5, p8–p15. [Google Scholar] [CrossRef]
- Ghaemi, A.A.; Rafiee, M.R.; Sepaskhah, A.R. Tree-Temperature Monitoring for Frost Protection of Orchards in Semi-Arid Regions Using Sprinkler Irrigation. Agric. Sci. China 2009, 8, 98–107. [Google Scholar] [CrossRef]
- Lu, Y.; Hu, Y.; Zhao, C.; Snyder, R.L. Modification of Water Application Rates and Intermittent Control for Sprinkler Frost Protection. Trans. ASABE 2018, 61, 1277–1285. [Google Scholar] [CrossRef]
- Hamer, P.J.C. Simulation of the Effects of Environmental Variables on the Water Requirements for Frost Protection by Overhead Sprinkler Irrigation. J. Agric. Eng. Res. 1989, 42, 63–75. [Google Scholar] [CrossRef]
- Bascietto, M.; Bajocco, S.; Mazzenga, F.; Matteucci, G. Assessing Spring Frost Effects on Beech Forests in Central Apennines from Remotely-Sensed Data. Agric. For. Meteorol. 2018, 248, 240–250. [Google Scholar] [CrossRef]
- Battany, M.C. Vineyard Frost Protection with Upward-Blowing Wind Machines. Agric. For. Meteorol. 2012, 157, 39–48. [Google Scholar] [CrossRef]
- Beyá-Marshall, V.; Herrera, J.; Santibáñez, F.; Fichet, T. Microclimate Modification under the Effect of Stationary and Portable Wind Machines. Agric. For. Meteorol. 2019, 269–270, 351–363. [Google Scholar] [CrossRef]
- Boekee, J.; Dai, Y.; Schilperoort, B.; Van De Wiel, B.J.H.; Ten Veldhuis, M.-C. Plant–Atmosphere Heat Exchange during Wind Machine Operation for Frost Protection. Agric. For. Meteorol. 2023, 330, 109312. [Google Scholar] [CrossRef]
- Doesken, N.J.; Renquist, A.R. A Climatological Assessment of the Utility of Wind Machines for Freeze Protection in Mountain Valleys. J. Appl. Meteorol. Climatol. 1989, 28, 194–205. [Google Scholar] [CrossRef][Green Version]
- Ribeiro, A.C.; De Melo-Abreu, J.P.; Snyder, R.L. Apple Orchard Frost Protection with Wind Machine Operation. Agric. For. Meteorol. 2006, 141, 71–81. [Google Scholar] [CrossRef]
- Sun, K.; Hu, Y.; Hu, Z.; Chen, Y.; Wei, W. Influence of Frost Protection Windmachine with Continuous Oscillation on Microclimate in Tea Fields. Agric. Sci. 2020, 2, p236–p242. [Google Scholar] [CrossRef]
- Hu, Y.; Liu, P.; Asante, E.; Wu, W.Y.; Li, P.P. Control System of a Performance Test-Bed for Frost Protection Wind Machines. Int. J. Agric. Biol. Eng. 2016, 9, 36–43. [Google Scholar] [CrossRef]
- Yongguang, H.; Chen, Z.; Pengfei, L.; Amoah, A.E.; Pingping, L. Sprinkler Irrigation System for Tea Frost Protection and the Application Effect. Int. J. Agric. Biol. Eng. 2016, 9, 17–23. [Google Scholar] [CrossRef]
- Wenye, W.; Yongguang, H.; Shuo, Y.; Kangqian, M.; Xiaoyong, Z.; Pingping, L. Optimal Design of Wind Machine Impeller for Frost Protection Based on CFD and Its Field Test on Airflow Disturbance. Int. J. Agric. Biol. Eng. 2015, 8, 43–49. [Google Scholar] [CrossRef]
- Wu, W.; Hu, Y.; Lu, H.; Amoah, A.E.; Liu, S. Airfoil Optimization Design for Frost Protection Wind Machines Using Profili Software. Int. Agric. Eng. J. 2015, 24, 43–51. [Google Scholar]
- Wang, J.; Buttar, N.A.; Hu, Y.; Lakhiar, I.A.; Javed, Q.; Shabbir, A. Estimation of Sensible and Latent Heat Fluxes Using Surface Renewal Method: Case Study of a Tea Plantation. Agronomy 2021, 11, 179. [Google Scholar] [CrossRef]
- Buttar, N.A.; Yongguang, H.; Chuan, Z.; Tanny, J.; Ullah, I.; Aleem, M. Height Effect of Air Temperature Measurement on Sensible Heat Flux Estimation Using Flux Variance Method. Pak. J. Agric. Sci. 2019, 56, 793–800. [Google Scholar]
- Hu, Y.; Chen, Y.; Wei, W.; Hu, Z.; Li, P. Optimization Design of Spray Cooling Fan Based on CFD Simulation and Field Experiment for Horticultural Crops. Agriculture 2021, 11, 566. [Google Scholar] [CrossRef]
- Hogg, W.H. Frost Prevention in Dutch Light Frames. Agric. Meteorol. 1964, 1, 121–129. [Google Scholar] [CrossRef]
- Perry, K.B.; Bradley, L. Frost/Freeze Protection for Horticultural Crops; North Carolina A&T State University: Greensboro, NC, USA, 1994. [Google Scholar]
- Yongguang, H.; Shengzhong, L.; Wenye, W.; Jizhang, W.; Jianwen, S. Optimal Flight Parameters of Unmanned Helicopter for Tea Plantation Frost Protection. Int. J. Agric. Biol. Eng. 2015, 8, 50–57. [Google Scholar]
- Yongzong, L.; Yongguang, H.; Xiliang, Z.; Pingping, L. Responses of Electrical Properties of Tea Leaves to Low-Temperature Stress. Biol. Eng. 2015, 8, 6. [Google Scholar]
- Heusinkveld, V.W.J.; Antoon Van Hooft, J.; Schilperoort, B.; Baas, P.; Veldhuis, M.T.; Van De Wiel, B.J.H. Towards a Physics-Based Understanding of Fruit Frost Protection Using Wind Machines. Agric. For. Meteorol. 2020, 282–283, 107868. [Google Scholar] [CrossRef]
- Kimura, K.; Yasutake, D.; Nakazono, K.; Kitano, M. Dynamic Distribution of Thermal Effects of an Oscillating Frost Protective Fan in a Tea Field. Biosyst. Eng. 2017, 164, 98–109. [Google Scholar] [CrossRef]
- Dai, Y.; Boekee, J.; Schilperoort, B.; Ten Veldhuis, M.-C.; Van De Wiel, B.J.H. Wind Machines for Frost Damage Mitigation: A Quantitative 3D Investigation Based on Observations. Agric. For. Meteorol. 2023, 338, 109522. [Google Scholar] [CrossRef]
- Zhao, T.; Qiao, Z.; Zhang, Y.; Huang, B.; Horton, R.; Liu, G. Experiments and COMSOL Simulations: A Comparative Study of the Heat Flux Plate Method and the Gradient Method for Soil Heat Flux Measurements in Barren Sand. Agric. For. Meteorol. 2023, 334, 109436. [Google Scholar] [CrossRef]
- Lim, H.C. Optics Modeling and Visualization with COMSOL Multiphysics: A Step by Step Graphical Instruction Manuscripts (Comsol Multiphysics Modeling with Minimum Text); CreateSpace Independent Publishing Platform: Scotts Valley, CA, USA, 2018; ISBN 978-1-72451-656-5. [Google Scholar]
- Shi, Q.; Liu, D.; Mao, H.; Shen, B.; Li, M. Wind-Induced Response of Rice under the Action of the Downwash Flow Field of a Multi-Rotor UAV. Biosyst. Eng. 2021, 203, 60–69. [Google Scholar] [CrossRef]
- Qin, Z.; Li, Z.; Zou, X.; Guo, Z.; Wang, S.; Chen, Z. Simulation of Starch Gel Printing and Deformation Process Using COMSOL. Foods 2024, 13, 881. [Google Scholar] [CrossRef] [PubMed]
- Crivellini, A.; Ghidoni, A.; Noventa, G. Algebraic Modifications of the K-ῶ and Spalart–Allmaras Turbulence Models to Predict Bypass and Separation-Induced Transition. Comput. Fluids 2023, 253, 105791. [Google Scholar] [CrossRef]
- Blazek, J. Computational Fluid Dynamics: Principles and Applications; Elsevier: Amsterdam, The Netherlands, 2001; ISBN 978-0-08-054554-7. [Google Scholar]
- Wu, J.; Su, X.; Gong, Z.; Cai, J.; Gu, L. Exploration of High-Efficiency Heat Transfer Modes in Lead-Cooled Assemblies: A Structural Optimization Based on the SST k-ω-Kθ-Ɛθ Model. Appl. Therm. Eng. 2024, 247, 123051. [Google Scholar] [CrossRef]
- Uwitonze, H.; Kim, A.; Kim, H.; Brigljević, B.; Vu Ly, H.; Kim, S.-S.; Upadhyay, M.; Lim, H. CFD Simulation of Hydrodynamics and Heat Transfer Characteristics in Gas–Solid Circulating Fluidized Bed Riser under Fast Pyrolysis Flow Condition. Appl. Therm. Eng. 2022, 212, 118555. [Google Scholar] [CrossRef]
- Cicci, L.; Fresca, S.; Guo, M.; Manzoni, A.; Zunino, P. Uncertainty Quantification for Nonlinear Solid Mechanics Using Reduced Order Models with Gaussian Process Regression. Comput. Math. Appl. 2023, 149, 1–23. [Google Scholar] [CrossRef]





















| Distance from the Wind Machine (m) | Velocity (m/s) | Initial Temperature (°C) | Initial Environment Humidity (%) | Initial Wind Speed (m/s) | |
|---|---|---|---|---|---|
| Case 1 | 0 | 0.2 | 0.2 | 90.0 | 0 |
| Case 2 | 2.7 | 2.7 | 0.5 | 90.0 | 0 |
| Case 3 | 3.4 | 3.4 | 0.7 | 90.0 | 0 |
| Case 4 | 1.9 | 1.9 | 0.5 | 90.0 | 0 |
| Case 5 | 0.6 | 0.6 | 1.1 | 90.0 | 0 |
Disclaimer/Publisher’s Note: The statements, opinions and data contained in all publications are solely those of the individual author(s) and contributor(s) and not of MDPI and/or the editor(s). MDPI and/or the editor(s) disclaim responsibility for any injury to people or property resulting from any ideas, methods, instructions or products referred to in the content. |
© 2024 by the authors. Licensee MDPI, Basel, Switzerland. This article is an open access article distributed under the terms and conditions of the Creative Commons Attribution (CC BY) license (https://creativecommons.org/licenses/by/4.0/).
Share and Cite
Xu, T.; Pan, Q.; Lu, Y. Heat Transfer Process of the Tea Plant under the Action of Air Disturbance Frost Protection. Agronomy 2024, 14, 959. https://doi.org/10.3390/agronomy14050959
Xu T, Pan Q, Lu Y. Heat Transfer Process of the Tea Plant under the Action of Air Disturbance Frost Protection. Agronomy. 2024; 14(5):959. https://doi.org/10.3390/agronomy14050959
Chicago/Turabian StyleXu, Taibai, Qingmin Pan, and Yongzong Lu. 2024. "Heat Transfer Process of the Tea Plant under the Action of Air Disturbance Frost Protection" Agronomy 14, no. 5: 959. https://doi.org/10.3390/agronomy14050959
APA StyleXu, T., Pan, Q., & Lu, Y. (2024). Heat Transfer Process of the Tea Plant under the Action of Air Disturbance Frost Protection. Agronomy, 14(5), 959. https://doi.org/10.3390/agronomy14050959

