Optimizing Crop Water Productivity in Greenhouse Pepper
Abstract
1. Introduction
2. Materials and Methods
2.1. Study Sites and Experimental Conditions
2.2. Irrigation Scheduling
2.3. Soil Water Status
2.4. Harvest and Fruit Quality
2.5. Irrigation Water Productivity (WPI)
2.6. Soil Enzymatic Activity
2.7. Statistical Analysis
3. Results
3.1. Irrigation Scheduling
3.2. Soil Water Status
3.3. Root Water Absorption
3.4. Soil Enzymatic Activity
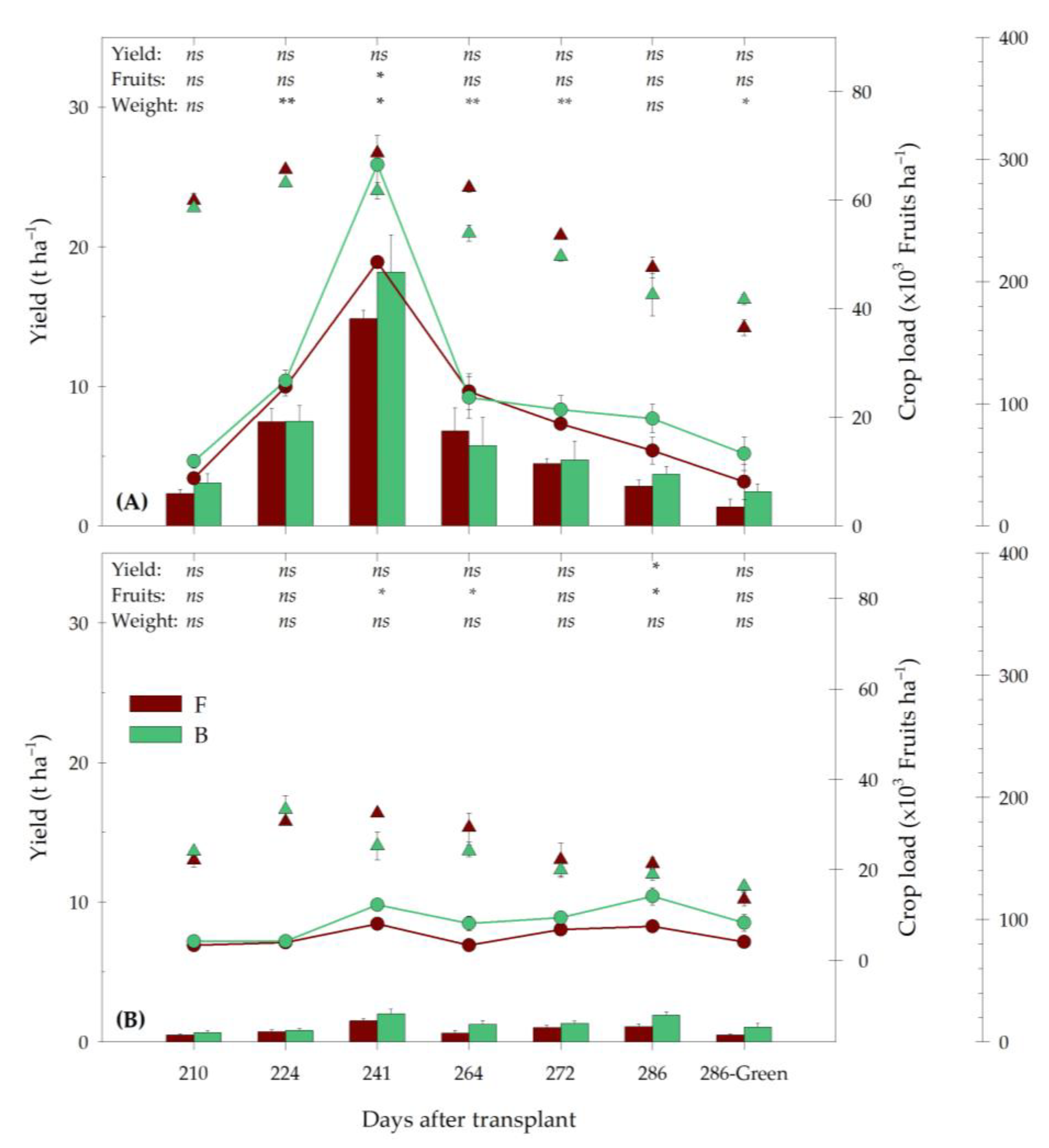
3.5. Harvest, Fruit Quality and Water Productivity
4. Discussion
5. Conclusions
Author Contributions
Funding
Data Availability Statement
Acknowledgments
Conflicts of Interest
References
- FAO. The State of Food and Agriculture 2020. Overcoming Water Challenges in Agriculture; FAO: Rome, Italy, 2020; ISBN 978-92-5-133441-6. [Google Scholar]
- Montanarella, L.; Panagos, P. The Relevance of Sustainable Soil Management within the European Green Deal. Land Use Policy 2021, 100, 104950. [Google Scholar] [CrossRef]
- Calvin, K.; Dasgupta, D.; Krinner, G.; Mukherji, A.; Thorne, P.W.; Trisos, C.; Romero, J.; Aldunce, P.; Barrett, K.; Blanco, G.; et al. IPCC, 2023: Climate Change 2023: Synthesis Report. Contribution of Working Groups I, II and III to the Sixth Assessment Report of the Intergovernmental Panel on Climate Change; Arias, P., Bustamante, M., Elgizouli, I., Flato, G., Howden, M., Méndez-Vallejo, C., Pereira, J.J., Pichs-Madruga, R., Rose, S.K., Saheb, Y., et al., Eds.; IPCC: Geneva, Switzerland, 2023. [Google Scholar]
- Castro, A.J.; López-Rodríguez, M.D.; Giagnocavo, C.; Gimenez, M.; Céspedes, L.; La Calle, A.; Gallardo, M.; Pumares, P.; Cabello, J.; Rodríguez, E.; et al. Six Collective Challenges for Sustainability of Almería Greenhouse Horticulture. Int. J. Environ. Res. Public Health 2019, 16, 4097. [Google Scholar] [CrossRef] [PubMed]
- United Nations. The Sustainable Development Goals Report 2023: Special Edition; UN: New York, NY, USA, 2023; ISBN 978-92-1-101460-0. [Google Scholar]
- Thompson, R.B.; Gallardo, M.; Valdez, L.C.; Fernández, M.D. Using Plant Water Status to Define Threshold Values for Irrigation Management of Vegetable Crops Using Soil Moisture Sensors. Agric. Water Manag. 2007, 88, 147–158. [Google Scholar] [CrossRef]
- Orgaz, F.; Fernández, M.D.; Bonachela, S.; Gallardo, M.; Fereres, E. Evapotranspiration of Horticultural Crops in an Unheated Plastic Greenhouse. Agric. Water Manag. 2005, 72, 81–96. [Google Scholar] [CrossRef]
- Fernández, M.D.; González, A.M.; Carreño, J.; Pérez, C.; Bonachela, S. Analysis of On-Farm Irrigation Performance in Mediterranean Greenhouses. Agric. Water Manag. 2007, 89, 251–260. [Google Scholar] [CrossRef]
- Jägermeyr, J.; Gerten, D.; Heinke, J.; Schaphoff, S.; Kummu, M.; Lucht, W. Water Savings Potentials of Irrigation Systems: Global Simulation of Processes and Linkages. Hydrol. Earth Syst. Sci. 2015, 19, 3073–3091. [Google Scholar] [CrossRef]
- Chalmers, D.J.; Mitchell, P.D.; van Heek, L. Control of Peach Tree Growth and Productivity by Regulated Water Supply, Tree Density, and Summer Pruning. J. Am. Soc. Hortic. Sci. 1981, 106, 307–312. [Google Scholar] [CrossRef]
- Fereres, E.; Goldhamer, D.A.; Parsons, L.R. Irrigation Water Management of Horticultural Crops. HortScience 2003, 38, 1036–1042. [Google Scholar] [CrossRef]
- Schneider, A.D.; Howell, T.A. Scheduling Deficit Wheat Irrigation with Data from an Evapotranspiration Network. Trans. ASAE 2001, 44, 1617. [Google Scholar] [CrossRef]
- Takeno, K. Stress-Induced Flowering: The Third Category of Flowering Response. J. Exp. Bot. 2016, 67, 4925–4934. [Google Scholar] [CrossRef]
- Semida, W.M.; Abdelkhalik, A.; Rady, M.O.A.; Marey, R.A.; Abd El-Mageed, T.A. Exogenously Applied Proline Enhances Growth and Productivity of Drought Stressed Onion by Improving Photosynthetic Efficiency, Water Use Efficiency and up-Regulating Osmoprotectants. Sci. Hortic. 2020, 272, 109580. [Google Scholar] [CrossRef]
- Zapata-García, S.; Temnani, A.; Berríos, P.; Espinosa, P.J.; Monllor, C.; Pérez-Pastor, A. Using Soil Water Status Sensors to Optimize Water and Nutrient Use in Melon under Semi-Arid Conditions. Agronomy 2023, 13, 2652. [Google Scholar] [CrossRef]
- Galindo, A.; Collado-González, J.; Griñán, I.; Corell, M.; Centeno, A.; Martín-Palomo, M.J.; Girón, I.F.; Rodríguez, P.; Cruz, Z.N.; Memmi, H.; et al. Deficit Irrigation and Emerging Fruit Crops as a Strategy to Save Water in Mediterranean Semiarid Agrosystems. Agric. Water Manag. 2018, 202, 311–324. [Google Scholar] [CrossRef]
- Zia, R.; Nawaz, M.S.; Siddique, M.J.; Hakim, S.; Imran, A. Plant Survival under Drought Stress: Implications, Adaptive Responses, and Integrated Rhizosphere Management Strategy for Stress Mitigation. Microbiol. Res. 2021, 242, 126626. [Google Scholar] [CrossRef]
- Pérez-Pastor, A.; Ruiz-Sánchez, M.C.; Conesa, M.R. Drought Stress Effect on Woody Tree Yield. In Water Stress and Crop Plants; Wiley: Hoboken, NJ, USA, 2016; pp. 356–374. [Google Scholar]
- Bruce, R.R.; Chesness, J.L.; Keisling, T.C.; Pallas, J.E.; Smittle, D.A.; Stansell, J.R.; Thomas, A.W. Irrigation of Crops in the Southeastern United-States: Principles and Practice; U. S. Department of Agriculture: Washington, DC, USA, 1980; Volume ARM-S-9.
- MAPA. Agricultural Statistics. Available online: https://www.mapa.gob.es/en/estadistica/temas/estadisticas-agrarias/ (accessed on 8 August 2023).
- FAO. FAOSTAT Online Database. Available online: https://www.fao.org/faostat/en/ (accessed on 8 August 2023).
- Ferrara, A.; Lovelli, S.; Di Tommaso, T.; Perniola, M. Flowering, Growth and Fruit Setting in Greenhouse Bell Pepper under Water Stress. J. Agron. 2010, 10, 12–19. [Google Scholar] [CrossRef]
- Camoglu, G.; Demirel, K.; Kahriman, F.; Akcal, A.; Nar, H. Plant-Based Monitoring Techniques to Detect Yield and Physiological Responses in Water-Stressed Pepper. Agric. Water Manag. 2024, 291, 108628. [Google Scholar] [CrossRef]
- Tedeschi, P.; Zerbi, G. Flowering and Fruiting Courses and Yield of Sweet Pepper (Capsicum annuum L.) Plants Grown in Lysimeters with Relation to Different Water Regimes. Riv. Ortoflorofruttic. Ital. 1984, 68, 323–329. [Google Scholar]
- Yang, H.; Du, T.; Qiu, R.; Chen, J.; Wang, F.; Li, Y.; Wang, C.; Gao, L.; Kang, S. Improved Water Use Efficiency and Fruit Quality of Greenhouse Crops under Regulated Deficit Irrigation in Northwest China. Agric. Water Manag. 2017, 179, 193–204. [Google Scholar] [CrossRef]
- Sezen, S.M.; Yazar, A.; Eker, S. Effect of Drip Irrigation Regimes on Yield and Quality of Field Grown Bell Pepper. Agric. Water Manag. 2006, 81, 115–131. [Google Scholar] [CrossRef]
- Smittle, D.A.; Dickens, W.L.; Stansell, J.R. Irrigation Regimes Affect Yield and Water Use by Bell Pepper. J. Am. Soc. Hortic. Sci. 1994, 119, 936–939. [Google Scholar] [CrossRef]
- Yang, H.; Liu, H.; Zheng, J.; Huang, Q. Effects of Regulated Deficit Irrigation on Yield and Water Productivity of Chili Pepper (Capsicum annuum L.) in the Arid Environment of Northwest China. Irrig. Sci. 2018, 36, 61–74. [Google Scholar] [CrossRef]
- Ćosić, M.; Djurović, N.; Todorović, M.; Maletić, R.; Zečević, B.; Stričević, R. Effect of Irrigation Regime and Application of Kaolin on Yield, Quality and Water Use Efficiency of Sweet Pepper. Agric. Water Manag. 2015, 159, 139–147. [Google Scholar] [CrossRef]
- Bozkurt Çolak, Y.; Yazar, A.; Yıldız, M.; Tekin, S.; Gönen, E.; Alghawry, A. Assessment of Crop Water Stress Index and Net Benefit for Surface- and Subsurface-Drip Irrigated Bell Pepper to Various Deficit Irrigation Strategies. J. Agric. Sci. 2023, 161, 254–271. [Google Scholar] [CrossRef]
- Dorji, K.; Behboudian, M.H.; Zegbe-Domínguez, J.A. Water Relations, Growth, Yield, and Fruit Quality of Hot Pepper under Deficit Irrigation and Partial Rootzone Drying. Sci. Hortic. 2005, 104, 137–149. [Google Scholar] [CrossRef]
- du Jardin, P. The Science of Plant Biostimulants—A Bibliographic Analysis; Final Report to European Commission; 2012. Available online: https://orbi.uliege.be/bitstream/2268/169257/1/ (accessed on 2 February 2024).
- du Jardin, P. Plant Biostimulants: Definition, Concept, Main Categories and Regulation. Sci. Hortic. 2015, 196, 3–14. [Google Scholar] [CrossRef]
- Calvo, P.; Nelson, L.; Kloepper, J.W. Agricultural Uses of Plant Biostimulants. Plant Soil 2014, 383, 3–41. [Google Scholar] [CrossRef]
- European Parliament. Regulation EU 1107/2009; Council of 21 October 2009 Concerning the Placing of Plant Protection Products on the Market and Repealing Council Directives 79/117/EEC and 91/414/EEC. Available online: https://eur-lex.europa.eu/eli/reg/2009/1107/2022-11-21 (accessed on 18 March 2024).
- European Parliament. Regulation EU 2019/1009; Council of 5 June 2019 Laying Down Rules on the Making Available on the Market of EU Fertilising Products and Amending Regulations (EC) No 1069/2009 and (EC) No 1107/2009 and Repealing Regulation (EC) No 2003/2003. Available online: https://eur-lex.europa.eu/eli/reg/2019/1009/oj (accessed on 18 March 2024).
- EBIC–The European Biostimulants Industry Council. Available online: https://biostimulants.eu/ (accessed on 14 September 2023).
- Yakhin, O.I.; Lubyanov, A.A.; Yakhin, I.A.; Brown, P.H. Biostimulants in Plant Science: A Global Perspective. Front. Plant Sci. 2017, 7, 2049. [Google Scholar] [CrossRef]
- Battacharyya, D.; Babgohari, M.Z.; Rathor, P.; Prithiviraj, B. Seaweed Extracts as Biostimulants in Horticulture. Sci. Hortic. 2015, 196, 39–48. [Google Scholar] [CrossRef]
- Craigie, J.S. Seaweed Extract Stimuli in Plant Science and Agriculture. J. Appl. Phycol. 2011, 23, 371–393. [Google Scholar] [CrossRef]
- Khan, W.; Rayirath, U.P.; Subramanian, S.; Jithesh, M.N.; Rayorath, P.; Hodges, D.M.; Critchley, A.T.; Craigie, J.S.; Norrie, J.; Prithiviraj, B. Seaweed Extracts as Biostimulants of Plant Growth and Development. J. Plant Growth Regul. 2009, 28, 386–399. [Google Scholar] [CrossRef]
- Rouphael, Y.; Colla, G. Synergistic Biostimulatory Action: Designing the Next Generation of Plant Biostimulants for Sustainable Agriculture. Front. Plant Sci. 2018, 9. [Google Scholar] [CrossRef]
- Ruzzi, M.; Aroca, R. Plant Growth-Promoting Rhizobacteria Act as Biostimulants in Horticulture. Sci. Hortic. 2015, 196, 124–134. [Google Scholar] [CrossRef]
- Rai, N.; Rai, S.P.; Sarma, B.K. Prospects for Abiotic Stress Tolerance in Crops Utilizing Phyto- and Bio-Stimulants. Front. Sustain. Food Syst. 2021, 5, 754853. [Google Scholar] [CrossRef]
- AEMET—Agencia Estatal de Meteorología del Gobierno de España Valores Climatológicos Normales-Agencia Estatal de Meteorología-AEMET. Gobierno de España. Available online: https://www.aemet.es/es/serviciosclimaticos/datosclimatologicos/valoresclimatologicos?k=mur (accessed on 7 November 2022).
- Instituto de Investigación y Formación Agraria y Pesquera (IFAPA) Red de Información Agroclimática de Andalucía (RIA). Available online: https://www.juntadeandalucia.es/agriculturaypesca/ifapa/riaweb/web/ (accessed on 22 January 2024).
- Castilla, N.; Baeza, E.J.; Papadopoulos, A.P. Greenhouse Technology and Management: Second Edition; CABI: Oxfordshire, UK, 2012; ISBN 978-178064103-4. [Google Scholar]
- Taghavi, S.; Van Der Lelie, D.; Lee, J. Bacillus Licheniformis RTI184 Compositions and Methods of Use for Benefiting Plant Growth. 2015. Patent number: WO2016108974A1, 30 June 2016. [Google Scholar]
- Granados García, M.R.; Thompson, R.B.; Fernández Fernández, M.D.; Gázquez Garrido, J.C.; Gallardo Pino, M.L.; Martínez-Gaitán, C. Reducción de La Lixivación de Nitratos y Manejo Mejorado de Nitrógeno Con Sondas de Succión en Cultivos Hortícolas; Cajamar, F., Ed.; Escobar Impresores: Almería, Spain, 2007. [Google Scholar]
- Reche Mármol, J. Cultivo Del Pimiento Dulce en Invernadero, 1st ed.; Junta de Andalucía, Consejería de Agricultura y Pesca, Ed.; Secretaría General Técnica: Sevilla, Spain, 2010; ISBN 978-84-8474-288-3. [Google Scholar]
- Rodrigues, G.C.; Pereira, L.S. Assessing Economic Impacts of Deficit Irrigation as Related to Water Productivity and Water Costs. Biosyst. Eng. 2009, 103, 536–551. [Google Scholar] [CrossRef]
- Fernández, J.E.; Alcon, F.; Diaz-Espejo, A.; Hernandez-Santana, V.; Cuevas, M.V. Water Use Indicators and Economic Analysis for On-Farm Irrigation Decision: A Case Study of a Super High Density Olive Tree Orchard. Agric. Water Manag. 2020, 237, 106074. [Google Scholar] [CrossRef]
- Nannipieri, P.; Ceccanti, B.; Cervelli, S.; Matarese, E. Extraction of Phosphatase, Urease, Proteases, Organic Carbon, and Nitrogen from Soil. Soil Sci. Soc. Am. J. 1980, 44, 1011–1016. [Google Scholar] [CrossRef]
- Kandeler, E.; Gerber, H. Short-Term Assay of Soil Urease Activity Using Colorimetric Determination of Ammonium. Biol. Fertil. Soils 1988, 6, 68–72. [Google Scholar] [CrossRef]
- Tabatabai, M.A.; Bremner, J.M. Use of P-Nitrophenyl Phosphate for Assay of Soil Phosphatase Activity. Soil Biol. Biochem. 1969, 1, 301–307. [Google Scholar] [CrossRef]
- Tabatabai, M.A. Soil Enzymes. In Methods of Soil Analysis, Part 2: Microbiological and Biochemical Properties; John Wiley & Sons, Ltd.: Hoboken, NJ, USA, 2018; pp. 775–833. [Google Scholar]
- Di Rienzo, J.A.; Casanoves, F.; Balzarini, M.G.; Gonzalez, L.; Tablada, M.; Robledo, C.W. InfoStat 2020. Available online: https://www.infostat.com.ar (accessed on 15 April 2022).
- Dalla Costa, L.; Gianquinto, G. Water Stress and Watertable Depth Influence Yield, Water Use Efficiency, and Nitrogen Recovery in Bell Pepper: Lysimeter Studies. Aust. J. Agric. Res. 2002, 53, 201. [Google Scholar] [CrossRef]
- Myers, B.J. Water Stress Integral—A Link between Short-Term Stress and Long-Term Growth. Tree Physiol. 1988, 4, 315–323. [Google Scholar] [CrossRef]
- Conesa, M.R.; Falagán, N.; de la Rosa, J.M.; Aguayo, E.; Domingo, R.; Pérez-Pastor, A. Post-Veraison Deficit Irrigation Regimes Enhance Berry Coloration and Health-Promoting Bioactive Compounds in ‘Crimson Seedless’ Table Grapes. Agric. Water Manag. 2016, 163, 9–18. [Google Scholar] [CrossRef]
- Doorenbos, J.; Kassam, A.H. Yield Response to Water. Irrig. Drain. Pap. 1979, 33, 257. [Google Scholar]
- Rasul, F.; Gupta, S.; Olas, J.J.; Gechev, T.; Sujeeth, N.; Mueller-Roeber, B. Priming with a Seaweed Extract Strongly Improves Drought Tolerance in Arabidopsis. Int. J. Mol. Sci. 2021, 22, 1469. [Google Scholar] [CrossRef] [PubMed]
- Lin, K.-H.; Lin, F.-W.; Wu, C.-W.; Chang, Y.-S. Biostimulation of Maize (Zea mays) and Irrigation Management Improved Crop Growth and Water Use under Controlled Environment. Agronomy 2019, 9, 559. [Google Scholar] [CrossRef]
- Shao, G.-C.; Zhang, Z.-Y.; Liu, N.; Yu, S.-E.; Xing, W.-G. Comparative Effects of Deficit Irrigation (DI) and Partial Rootzone Drying (PRD) on Soil Water Distribution, Water Use, Growth and Yield in Greenhouse Grown Hot Pepper. Sci. Hortic. 2008, 119, 11–16. [Google Scholar] [CrossRef]
- Shukla, P.S.; Mantin, E.G.; Adil, M.; Bajpai, S.; Critchley, A.T.; Prithiviraj, B. Ascophyllum Nodosum-Based Biostimulants: Sustainable Applications in Agriculture for the Stimulation of Plant Growth, Stress Tolerance, and Disease Management. Front. Plant Sci. 2019, 10, 655. [Google Scholar] [CrossRef] [PubMed]
- Gianfreda, L.; Antonietta Rao, M.; Piotrowska, A.; Palumbo, G.; Colombo, C. Soil Enzyme Activities as Affected by Anthropogenic Alterations: Intensive Agricultural Practices and Organic Pollution. Sci. Total Environ. 2005, 341, 265–279. [Google Scholar] [CrossRef] [PubMed]
- Bastida, F.; Torres, I.F.; Romero-Trigueros, C.; Baldrian, P.; Větrovský, T.; Bayona, J.M.; Alarcón, J.J.; Hernández, T.; García, C.; Nicolás, E. Combined Effects of Reduced Irrigation and Water Quality on the Soil Microbial Community of a Citrus Orchard under Semi-Arid Conditions. Soil Biol. Biochem. 2017, 104, 226–237. [Google Scholar] [CrossRef]
- Zornoza, R.; Rosales, R.M.; Acosta, J.A.; de la Rosa, J.M.; Arcenegui, V.; Faz, Á.; Pérez-Pastor, A. Efficient Irrigation Management Can Contribute to Reduce Soil CO2 Emissions in Agriculture. Geoderma 2016, 263, 70–77. [Google Scholar] [CrossRef]
- Chen, D.; Li, Z.; Yang, J.; Zhou, W.; Wu, Q.; Shen, H.; Ao, J. Seaweed Extract Enhances Drought Resistance in Sugarcane via Modulating Root Configuration and Soil Physicochemical Properties. Ind. Crops Prod. 2023, 194, 116321. [Google Scholar] [CrossRef]
- Zhang, Y.-L.; Wang, Y.-S. Soil Enzyme Activities with Greenhouse Subsurface Irrigation. Pedosphere 2006, 16, 512–518. [Google Scholar] [CrossRef]
- Vasconcellos, R.L.F.; Bonfim, J.A.; Andreote, F.D.; Mendes, L.W.; Baretta, D.; Cardoso, E.J.B.N. Microbiological Indicators of Soil Quality in a Riparian Forest Recovery Gradient. Ecol. Eng. 2013, 53, 313–320. [Google Scholar] [CrossRef]
- FMC. Accudo Booklet. Available online: https://ag.fmc.com/dk/sites/default/files/2023-09/Accudo_xt_lbl_dk.pdf (accessed on 11 April 2024).
- Łangowski, Ł.; Goñi, O.; Ikuyinminu, E.; Feeney, E.; O’Connell, S. Investigation of the Direct Effect of a Precision Ascophyllum Nodosum Biostimulant on Nitrogen Use Efficiency in Wheat Seedlings. Plant Physiol. Biochem. 2022, 179, 44–57. [Google Scholar] [CrossRef] [PubMed]
- McIntyre, B.D.; Riha, S.J.; Flower, D.J. Water Uptake by Pearl Millet in a Semiarid Environment. Field Crops Res. 1995, 43, 67–76. [Google Scholar] [CrossRef][Green Version]
- Antony, E.; Singandhupe, R.B. Impact of Drip and Surface Irrigation on Growth, Yield and WUE of Capsicum (Capsicum annum L.). Agric. Water Manag. 2004, 65, 121–132. [Google Scholar] [CrossRef]
- Pérez-Pastor, A.; Ruiz-Sánchez, M.C.; Domingo, R. Effects of Timing and Intensity of Deficit Irrigation on Vegetative and Fruit Growth of Apricot Trees. Agric. Water Manag. 2014, 134, 110–118. [Google Scholar] [CrossRef]







| Trial 1 | Trial 2 | |
|---|---|---|
| Crop | Pepper | Pepper |
| Italian | California | |
| Variety | Sweet Palermo (Rijk Zwaan) | Masami (Syngenta) |
| Planting date | 26 July 2022 | 3 August 2022 |
| Coordinates | 36.762764, −2.88874 | 36.790612, −2.665999 |
| Location | Balanegra, Almería | Vicar, Almería |
| Nearest climatic station | Adra, AL-10 | La Mojonera, AL-01 |
| Harvesting | 8 harvests | 6 harvests |
| 132–273 days after transplant | 210–286 days after transplant | |
| Soil properties | Clay-loam (38–34–28) | Clay-loam (42–30–28) |
| OM: 1.23% | OM: 1.33% | |
| N-NO3−: 48 Ppm | N-NO3−: 33 Ppm | |
| pH: 8.23 | pH: 7.23 | |
| ECSat: 3.25 mS cm−1 | ECSat: 2.64 mS cm−1 | |
| Irrigation water | pH 7.67 | pH 7.98 |
| EC: 1.04 mS cm−1 | EC: 1.61 mS cm−1 | |
| NO3−: 34.1 mg l−1 | NO3−: 6.0 mg L−1 |
| Trial 1 | Trial 2 | |||||
|---|---|---|---|---|---|---|
| kg ha−1 | F | B | Δ (%) | F | B | Δ (%) |
| N | 240.98 | 213.86 | 11% | 152.31 | 146.57 | 4% |
| P2O5 | 124.99 | 111.32 | 11% | 96.88 | 95.60 | 1% |
| K2O | 242.32 | 214.28 | 12% | 249.50 | 240.37 | 4% |
| Ca | 177.12 | 158.99 | 10% | 122.50 | 116.86 | 5% |
| Mg | 10.94 | 9.98 | 9% | 0 | 0 | 0% |
| Period | Differential Irrigation | Harvest | Final |
|---|---|---|---|
| DAT i–f | 30–131 | 132–241 | 242–273 |
| F | −4.27 | −3.81 | −3.85 |
| B | −3.79 | −3.83 | −4.46 |
| p-value (t-Student) | <0.0001 *** | 0.5268 ns | <0.0001 *** |
| Trial | TRT | β-Glucosidase (mmol pNP g−1 h−1) | Alkaline Phosphatase (mmol pNP g−1 h−1) | Urease (mmol NH4+ g−1 h−1) |
|---|---|---|---|---|
| 1 | F | 0.190 | 0.968 | 0.533 |
| B | 0.293 | 1.950 | 0.673 | |
| p-value (t-Student) | 0.0283 * | 0.0027 ** | 0.2139 ns | |
| 2 | F | 0.098 | 0.390 | 0.408 |
| B | 0.313 | 0.970 | 1.393 | |
| p-value (t-Student) | 0.0010 ** | 0.0001 *** | 0.0037 ** | |
| LMM | F | 0.144 | 0.679 | 0.47 |
| B | 0.300 | 1.477 | 1.033 | |
| p-value | 0.0001 *** | <0.0001 *** | 0.0044 ** | |
| Trial | TRT | Applied Water (m3 ha−1) | Yield (t ha−1) | Fruits (103 Fruits ha−1) | FW (g) | WPI (kg m−3) |
|---|---|---|---|---|---|---|
| Trial 1 | F | 5945.08 | 39.33 | 341.81 | 111.64 | 6.62 |
| B | 5302.74 | 40.91 | 333.27 | 116.58 | 7.72 | |
| t-Student p-value | 0.3217 ns | 0.3732 ns | 0.2960 ns | 0.0163 * | ||
| Trial 2 | F | 4927.39 | 46.07 | 185.52 | 242.53 | 9.35 |
| B | 4348.67 | 54.49 | 243.97 | 222.96 | 12.53 | |
| t-Student p-value | 0.0071 ** | 0.0039 ** | 0.0901 ns | 0.0004 ** | ||
| LMM | F | 5436.24 | 42.70 | 263.67 | 175.83 | 7.98 |
| B | 4825.71 | 47.70 | 288.62 | 170.97 | 10.12 | |
| p-value | 0.0061 ** | 0.0568 ns | 0.3848 ns | 0.0001 *** | ||
| 1st Quality | 2nd Quality | ||||||
|---|---|---|---|---|---|---|---|
| Trial | TRT | Yield (t ha−1) | Fruits (103 Fruits ha−1) | FW (g) | Yield (t ha−1) | Fruits (103 Fruits ha−1) | FW (g) |
| Trial 1 | F | 32.80 | 269.12 | 116.78 | 6.53 | 72.68 | 95.71 |
| B | 35.00 | 273.13 | 123.23 | 5.91 | 60.14 | 96.35 | |
| t-Student p-value | 0.1534 ns | 0.6814 ns | 0.1566 ns | 0.3040 ns | 0.0458 * | 0.9087 ns | |
| Trial 2 | F | 40.19 | 148.56 | 262.80 | 5.88 | 36.97 | 162.80 |
| B | 45.46 | 183.35 | 243.80 | 9.03 | 60.62 | 156.05 | |
| t-Student p-value | 0.0436 * | 0.0179 * | 0.0751 ns | 0.0004 ** | 0.0007 ** | 0.3221 ns | |
| LMM | F | 36.49 | 208.84 | 188.50 | 6.21 | 54.82 | 128.85 |
| B | 40.23 | 228.24 | 184.76 | 7.47 | 60.38 | 126.54 | |
| p-value | 0.0110 * | 0.0316 * | 0.4745 ns | 0.0634 ns | 0.3583 ns | 0.5994 ns | |
Disclaimer/Publisher’s Note: The statements, opinions and data contained in all publications are solely those of the individual author(s) and contributor(s) and not of MDPI and/or the editor(s). MDPI and/or the editor(s) disclaim responsibility for any injury to people or property resulting from any ideas, methods, instructions or products referred to in the content. |
© 2024 by the authors. Licensee MDPI, Basel, Switzerland. This article is an open access article distributed under the terms and conditions of the Creative Commons Attribution (CC BY) license (https://creativecommons.org/licenses/by/4.0/).
Share and Cite
Zapata-García, S.; Temnani, A.; Berríos, P.; Espinosa, P.J.; Monllor, C.; Pérez-Pastor, A. Optimizing Crop Water Productivity in Greenhouse Pepper. Agronomy 2024, 14, 902. https://doi.org/10.3390/agronomy14050902
Zapata-García S, Temnani A, Berríos P, Espinosa PJ, Monllor C, Pérez-Pastor A. Optimizing Crop Water Productivity in Greenhouse Pepper. Agronomy. 2024; 14(5):902. https://doi.org/10.3390/agronomy14050902
Chicago/Turabian StyleZapata-García, Susana, Abdelmalek Temnani, Pablo Berríos, Pedro J. Espinosa, Claudia Monllor, and Alejandro Pérez-Pastor. 2024. "Optimizing Crop Water Productivity in Greenhouse Pepper" Agronomy 14, no. 5: 902. https://doi.org/10.3390/agronomy14050902
APA StyleZapata-García, S., Temnani, A., Berríos, P., Espinosa, P. J., Monllor, C., & Pérez-Pastor, A. (2024). Optimizing Crop Water Productivity in Greenhouse Pepper. Agronomy, 14(5), 902. https://doi.org/10.3390/agronomy14050902

