Effects of Microbial Inoculants Combined with Chemical Fertilizer on Growth and Soil Nutrient Dynamics of Timothy (Phleum pratense L.)
Abstract
1. Introduction
2. Materials and Methods
2.1. Research Site
2.2. Experimental Design
2.3. Plant Measuring
2.4. Soil Sampling
2.5. Soil Physicochemical Properties
2.6. Soil Enzyme Activities
2.7. DNA Extraction, PCR, and Sequencing
2.8. Statistical Analysis
3. Results
3.1. Changes in the Growth of Timothy (Phleum pratense L.) under Different Fertilizer Combinations
3.2. Changes in Soil Physicochemical Properties under Different Fertilizer Combinations
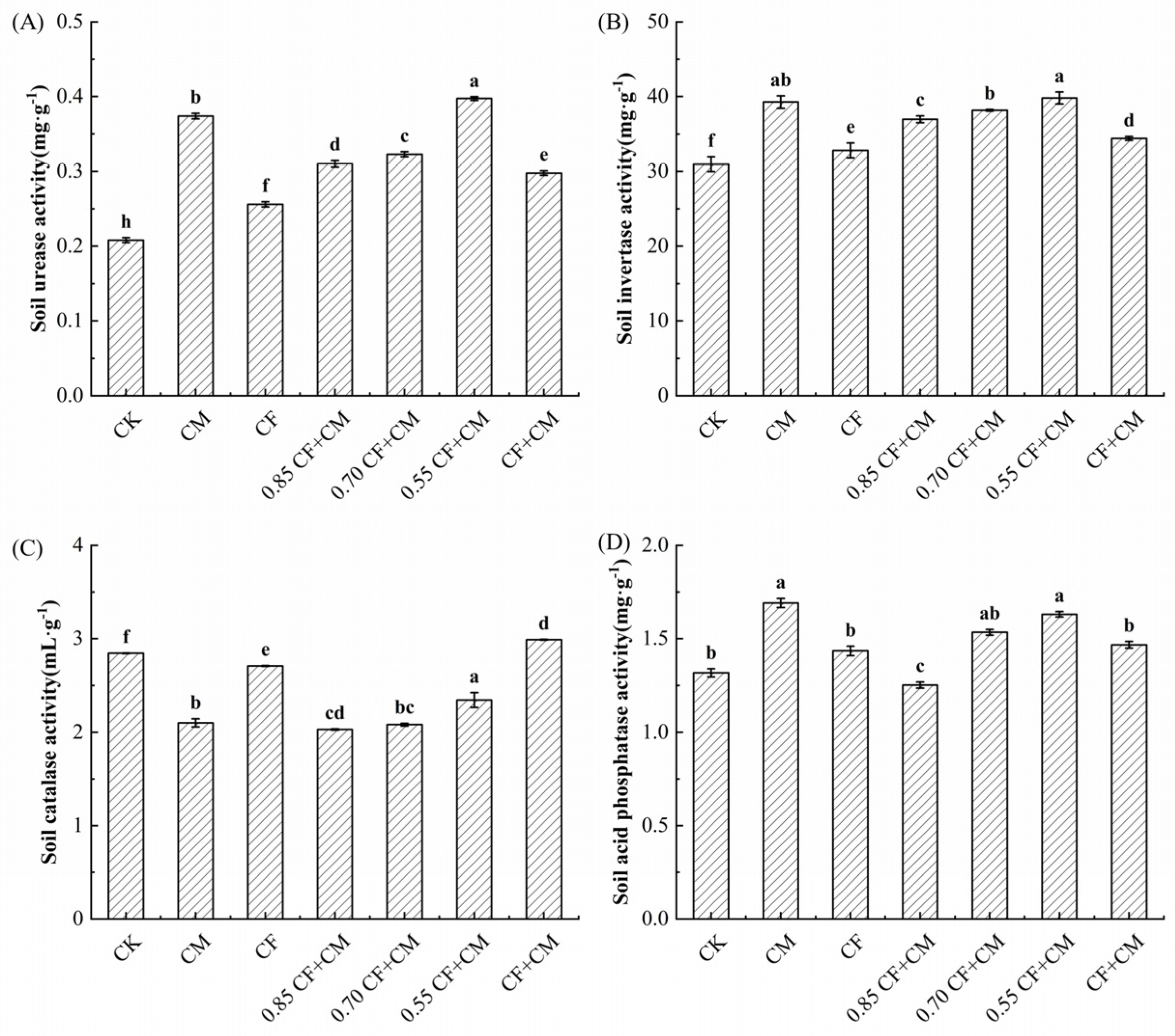
3.3. Changes in Soil Enzyme Activities under Different Fertilizer Combinations
3.4. Economic and Principal Components Analyses of Fertilization and Microbial Inoculant Treatments
3.5. Changes in Soil Microbial Community Structure under Different Fertilizer Combinations
3.5.1. Soil Microbial Community Composition
3.5.2. Effects of Adding Microbial Inoculants on Microbial Diversity
3.5.3. Microbial Community Structure Analysis
3.5.4. Exploring Biomarkers in Microbial Communities
3.6. Correlation of Plant Inter-Root Soil Microbial Community Composition with Soil Environmental Factors
3.7. Functional Prediction of Rhizosphere Soil Bacterial Communities
4. Discussion
4.1. Effects of Different Fertilizer Combinations on Agronomic Traits and Photosynthesis of Timothy (Phleum pratense L.)
4.2. Effects of Different Fertilizer Combinations on Soil Nutrients
4.3. Effects of Different Fertilizer Combinations on Soil Microbial Communities
4.4. Effects of Environmental Factors on Soil Microbial Communities
5. Conclusions
Author Contributions
Funding
Data Availability Statement
Conflicts of Interest
References
- Yang, P.N.; An, X.Z.; Ma, W.X.; Tian, X.H.; Du, W.H. The study on the production performance and nutritional value of a new line of phleum pretense in central Gansu province. Grassl. China 2021, 43, 44–51. [Google Scholar] [CrossRef]
- Zhang, W.X.; Li, R.Z.; Tian, X.H.; Du, W.H. Effects of sowing method on the production performance and nutrient composition of timothy grass genotupes in alpine and shaded areas of Gansu. Grassl. China 2023, 45, 15–22. [Google Scholar] [CrossRef]
- Dobrzyński, J.; Jakubowska, Z.; Dybek, B. Potential of Bacillus pumilus to directly promote plant growth. Front. Microbiol. 2022, 13, 1069053. [Google Scholar] [CrossRef] [PubMed]
- Costantini, M.; Zoli, M.; Ceruti, M.; Crudele, R.; Guarino, M.; Bacenetti, J. Environmental effect of improved forage fertilization practices in the beef production chain. Sci. Total. Environ. 2023, 902, 166166. [Google Scholar] [CrossRef] [PubMed]
- Solaiman, Z. Biochar and fertiliser interactions in crop and pasture production. Crop Pasture Sci. 2022, 74, 1–5. [Google Scholar] [CrossRef]
- Ahsan, T.; Tian, P.-C.; Gao, J.; Wang, C.; Liu, C.; Huang, Y.-Q. Effects of microbial agent and microbial fertilizer input on soil microbial community structure and diversity in a peanut continuous cropping system. J. Adv. Res. 2023, in press. [Google Scholar] [CrossRef]
- Chen, Y.; Li, S.; Liu, N.; He, H.; Cao, X.; Lv, C.; Zhang, K.; Dai, J. Effects of different types of microbial inoculants on available nitrogen and phosphorus, soil microbial community, and wheat growth in high-P soil. Environ. Sci. Pollut. Res. 2021, 28, 23036–23047. [Google Scholar] [CrossRef]
- Li, H.; Qiu, Y.; Yao, T.; Ma, Y.; Zhang, H.; Yang, X. Effects of PGPR microbial inoculants on the growth and soil properties of Avena sativa, Medicago sativa, and Cucumis sativus seedlings. Soil Tillage Res. 2020, 199, 104577. [Google Scholar] [CrossRef]
- Hema, C.; Mukesh, M.; Prashant, S. Plant Growth-Promoting Rhizobacteria as a Green Alternative for Sustainable Agriculture. Sustainability 2021, 13, 10986. [Google Scholar] [CrossRef]
- Mehmood, S.; Khatoon, Z.; Amna; Ahmad, I.; Muneer, M.A.; Kamran, M.A.; Ali, J.; Ali, B.; Chaudhary, H.J.; Munis, M.F.H. Bacillus sp. PM31 harboring various plant growth-promoting activities regulates Fusarium dry rot and wilt tolerance in potato. Arch. Agron. Soil Sci. 2021, 69, 197–211. [Google Scholar] [CrossRef]
- Kálmán, C.D.; Kálmán, L.; Szél, S.; Salamon, K.M.; Nagy, Z.; Kiss, E.; Posta, K. Assessment of the influence of soil inoculation on changes in the adaptability of maize hybrids. Cereal Res. Commun. 2023, 51, 1055–1071. [Google Scholar] [CrossRef]
- Meng, Y.; Wang, L.; Zhou, G.; Wang, Y.; Wang, K.; Zou, R.; Cao, W.; Fan, H. Effects of microbial agents on cadmium uptake in Solanum nigrum L. and rhizosphere microbial communities in cadmium-contaminated soil. Front. Microbiol. 2023, 13, 1106254. [Google Scholar] [CrossRef]
- Lv, B.; Yang, X.; Xue, H.; Nan, M.; Zhang, Y.; Liu, Z.; Bi, Y.; Shang, S. Isolation of Main Pathogens Causing Postharvest Disease in Fresh Codonopsis pilosula during Different Storage Stages and Ozone Control against Disease and Mycotoxin Accumulation. J. Fungi 2023, 9, 146. [Google Scholar] [CrossRef] [PubMed]
- Yang, X.; Li, J.; Tuo, Y.; Li, M.; Qi, L.; Ji, B.; Qing, Z.; Xiao, Z.; Shu, Z. Functional characterization and culture conditions of five plant growth-promoting rhizobacteria strains. Pratac Sci. 2022, 39, 30–38. [Google Scholar] [CrossRef]
- Suriyagoda, L.D.B.; Real, D.; Renton, M.; Lambers, H.; Ryan, M.H. Establishment, survival, and herbage production of novel, summer-active perennial pasture legumes in the low-rainfall cropping zone of Western Australia as affected by plant density and cutting frequency. Crop Pasture Sci. 2013, 64, 71–85. [Google Scholar] [CrossRef]
- Niu, G.; Zhong, B.; Wang, R.; Jin, Y.; Wang, Y.; Lü, X.; Jiang, Y.; Huang, J. Effects of nitrogen and water addition on soil carbon, nitrogen, phosphorus, sulfur, and their stoichiometry along soil profile in a semi-arid steppe. J. Soils Sediments 2023, 23, 3298–3309. [Google Scholar] [CrossRef]
- Bao, S. Soil Agrochemical Analysis; China Agricultural Press: Beijing, China, 2000. [Google Scholar]
- Sparks, D.L.; Page, A.L.; Helmke, P.A.; Loeppert, R.H. Methods of Soil Analysis: Part 3 Chemical Methods; Soil Science Society of America, American Society of Agronomy: Madison, WI, USA, 1996. [Google Scholar] [CrossRef]
- Colvan, S.; Syers, J.; O’Donnell, A. Effect of long-term fertiliser use on acid and alkaline phosphomonoesterase and phosphodiesterase activities in managed grassland. Biol. Fertil. Soils 2001, 34, 258–263. [Google Scholar] [CrossRef]
- Li, Y.; Wang, C.; Gao, S.; Wang, P.; Qiu, J.; Shang, S. Impacts of simulated nitrogen deposition on soil enzyme activity in a northern temperate forest ecosystem depend on the form and level of added nitrogen. Eur. J. Soil Biol. 2021, 103, 103287. [Google Scholar] [CrossRef]
- Parian, M.; Lamberg, P.; Mockel, R.; Rosenkranz, J. Analysis of mineral grades for geometallurgy: Combined element-to-mineral conversion and quantitative X-ray diffraction. Miner. Eng. 2015, 82, 25–35. [Google Scholar] [CrossRef]
- Yang, Y.; Syed, S.; Mao, S.; Li, Q.; Ge, F.; Lian, B.; Lu, C. Bioorganic–Mineral Fertilizer Can Remediate Chemical Fertilizer-Oversupplied Soil: Purslane Planting as an Example. J. Soil Sci. Plant Nutr. 2020, 20, 892–900. [Google Scholar] [CrossRef]
- Yu, Y.-Y.; Xu, J.-D.; Gao, M.-Z.; Huang, T.-X.; Zhang, Y.-Y.; Wang, Y.-P.; Luo, Y.-M.; Zhang, Y.; Hu, Y.-H.; Guo, J.-H.; et al. Exploring plant growth promoting rhizobacteria potential for green agriculture system to optimize sweet potato productivity and soil sustainability in northern Jiangsu, China. Eur. J. Agron. 2023, 142, 126661. [Google Scholar] [CrossRef]
- Kumar, S.; Pandey, P.; Maheshwari, D. Reduction in dose of chemical fertilizers and growth enhancement of sesame (Sesamum indicum L.) with application of rhizospheric competent Pseudomonas aeruginosa LES4. Eur. J. Soil Biol. 2009, 45, 334–340. [Google Scholar] [CrossRef]
- Gong, H.; Li, J.; Ma, J.; Li, F.; Ouyang, Z.; Gu, C. Effects of tillage practices and microbial agent applications on dry matter accumulation, yield and the soil microbial index of winter wheat in North China. Soil Tillage Res. 2018, 184, 235–242. [Google Scholar] [CrossRef]
- Scagliola, M.; Valentinuzzi, F.; Mimmo, T.; Cesco, S.; Crecchio, C.; Pii, Y. Bioinoculants as Promising Complement of Chemical Fertilizers for a More Sustainable Agricultural Practice. Front. Sustain. Food Syst. 2021, 4, 622169. [Google Scholar] [CrossRef]
- Fan, Q.; Xu, C.; Zhang, L.; Xie, J.; Zhou, G.; Liu, J.; Hu, F.; Gao, S.; Cao, W. Application of milk vetch (Astragalus sinicus L.) with reduced chemical fertilizer improves rice yield and nitrogen, phosphorus, and potassium use efficiency in southern China. Eur. J. Agron. 2023, 144, 126762. [Google Scholar] [CrossRef]
- Xiao, X.; Li, J.; Lyu, J.; Feng, Z.; Zhang, G.; Yang, H.; Gao, C.; Jin, L.; Yu, J. Chemical fertilizer reduction combined with bio-organic fertilizers increases cauliflower yield via regulation of soil biochemical properties and bacterial communities in Northwest China. Front. Microbiol. 2022, 13, 922149. [Google Scholar] [CrossRef]
- Wang, Z.; Geng, Y.; Liang, T. Optimization of reduced chemical fertilizer use in tea gardens based on the assessment of related environmental and economic benefits. Sci. Total. Environ. 2020, 713, 136439. [Google Scholar] [CrossRef] [PubMed]
- Han, J.; Gu, L.; Wen, J.; Sun, Y. Inference of photosynthetic capacity parameters from chlorophyll a fluorescence is affected by redox state of PSII reaction centers. Plant Cell Environ. 2022, 45, 1298–1314. [Google Scholar] [CrossRef] [PubMed]
- Attia, M.S.; El-Sayyad, G.S.; Abd Elkodous, M.; El-Batal, A.I. The effective antagonistic potential of plant growth-promoting rhizobacteria against Alternaria solani-causing early blight disease in tomato plant. Sci. Hortic. 2020, 266, 109289. [Google Scholar] [CrossRef]
- Lv, J.; Gui, D.; Zhang, Y.; Li, R.; Chen, X.; Sha, Z. Field application of microbial inoculants improved crop foliar morphology and physiology performance: A global meta-analysis. Sci. Hortic. 2024, 326, 112769. [Google Scholar] [CrossRef]
- Yang, X.; Feng, Q.; Zhu, M.; Yang, L.; Zhang, C.; Zhang, J.; Wang, Z.; Feng, Y. Changes in Nutrient-Regulated Soil Microbial Communities in Soils Concomitant with Grassland Restoration in the Alpine Mining Region of the Qilian Mountains. Agronomy 2023, 13, 3052. [Google Scholar] [CrossRef]
- Olasupo, I.O.; Wang, J.; Wei, X.; Sun, M.; Li, Y.; Yu, X.; Yan, Y.; He, C. Chili residue and Bacillus laterosporus synergy impacts soil bacterial microbiome and agronomic performance of leaf mustard (Brassica juncea L.) in a solar greenhouse. Plant Soil 2022, 479, 185–205. [Google Scholar] [CrossRef]
- Sun, G.; Yao, T.; Feng, C.; Chen, L.; Li, J.; Wang, L. Identification and biocontrol potential of antagonistic bacteria strains against Sclerotinia sclerotiorum and their growth-promoting effects on Brassica napus. Biol. Control 2017, 104, 35–43. [Google Scholar] [CrossRef]
- Lupwayi, N.Z.; Janzen, H.H.; Bremer, E.; Smith, E.G.; Kanashiro, D.A.; Eastman, A.H.; Petri, R.M. The core soil bacterial genera and enzyme activities in incubated soils from century-old wheat rotations. Geoderma 2021, 404, 115275. [Google Scholar] [CrossRef]
- Pérez-Montaño, F.; Alias-Villegas, C.; Bellogín, R.A.; del Cerro, P.; Espuny, M.R.; Jiménez-Guerrero, I.; López-Baena, F.J.; Ollero, F.; Cubo, T. Plant growth promotion in cereal and leguminous agricultural important plants: From microorganism capacities to crop production. Microbiol. Res. 2014, 169, 325–336. [Google Scholar] [CrossRef]
- Bhattacharjya, S.; Ghosh, A.; Sahu, A.; Agnihotri, R.; Pal, N.; Sharma, P.; Manna, M.; Sharma, M.; Singh, A. Utilizing soil metabolomics to investigate the untapped metabolic potential of soil microbial communities and their role in driving soil ecosystem processes: A review. Appl. Soil Ecol. 2024, 195, 105238. [Google Scholar] [CrossRef]
- Shi, Y.; Niu, X.; Chen, B.; Pu, S.; Ma, H.; Li, P.; Feng, G.; Ma, X. Chemical fertilizer reduction combined with organic fertilizer affects the soil microbial community and diversity and yield of cotton. Front. Microbiol. 2023, 14, 1295722. [Google Scholar] [CrossRef]
- Zhang, M.-J.; Jia, J.-Q.; Lu, H.; Feng, M.-C.; Yang, W.-D. Functional diversity of soil microbial communities in response to supplementing 50% of the mineral N fertilizer with organic fertilizer in an oat field. J. Integr. Agric. 2021, 20, 2255–2264. [Google Scholar] [CrossRef]
- Xu, Y.; Peng, Z.; Tu, Y.; Huang, J. Combining organic and inorganic fertilization increases rice yield and soil nitrogen and carbon: Dissolved organic matter chemodiversity and soil microbial communities. Plant Soil 2023, 492, 557–571. [Google Scholar] [CrossRef]
- Shu, X.; He, J.; Zhou, Z.; Xia, L.; Hu, Y.; Zhang, Y.; Zhang, Y.; Luo, Y.; Chu, H.; Liu, W.; et al. Organic amendments enhance soil microbial diversity, microbial functionality and crop yields: A meta-analysis. Sci. Total. Environ. 2022, 829, 154627. [Google Scholar] [CrossRef]
- Thokchom, E.; Thakuria, D.; Kalita, M.C.; Sharma, C.K.; Talukdar, N.C. Root colonization by host-specific rhizobacteria alters indigenous root endophyte and rhizosphere soil bacterial communities and promotes the growth of mandarin orange. Eur. J. Soil Biol. 2017, 79, 48–56. [Google Scholar] [CrossRef]
- Raza, A.; Ejaz, S.; Saleem, M.S.; Hejnak, V.; Ahmad, F.; Ahmed, M.A.A.; Alotaibi, S.S.; El-Shehawi, A.M.; Alsubeie, M.S.; Zuan, A.T.K. Plant growth promoting rhizobacteria improve growth and yield related attributes of chili under low nitrogen availability. PLoS ONE 2021, 16, e0261468. [Google Scholar] [CrossRef] [PubMed]
- Cong, W.-F.; Eriksen, J. Forbs differentially affect soil microbial community composition and functions in unfertilized ryegrass-red clover leys. Soil Biol. Biochem. 2018, 121, 87–94. [Google Scholar] [CrossRef]
- Zhu, R.; Liu, J.; Wang, J.; Han, W.; Shen, Z.; Muraina, T.O.; Chen, J.; Sun, D. Comparison of soil microbial community between reseeding grassland and natural grassland in Songnen Meadow. Sci. Rep. 2020, 10, 16884. [Google Scholar] [CrossRef] [PubMed]
- Alsiary, W.A.; AbdElgawad, H.; Madany, M.M. How could actinobacteria augment the growth and redox homeostasis in barley plants grown in TiO2NPs-contaminated soils? A growth and biochemical study. Plant Physiol. Biochem. 2023, 202, 107943. [Google Scholar] [CrossRef]
- Huang, J.; Li, X.; Zhan, X.; Pan, S.; Pan, C.; Li, J.; Fan, S.; Zhang, L.; Du, K.; Du, Z.; et al. A Streptomyces species from the ginseng rhizosphere exhibits biocontrol potential. Plant Physiol. 2024, 194, 2709–2723. [Google Scholar] [CrossRef] [PubMed]
- Shah, A.A.; Yasin, N.A.; Akram, K.; Ahmad, A.; Khan, W.U.; Akram, W.; Akbar, M. Ameliorative role of FBL-10 and silicon against lead induced stress in Solanum melongena. Plant Physiol. Biochem. 2020, 158, 486–496. [Google Scholar] [CrossRef] [PubMed]
- Peng, X.; Wang, Q.; Lang, D.; Li, Y.; Zhang, W.; Zhang, X. Bacillus cereus G2 Facilitates N Cycle in Soil, Further Improves N Uptake and Assimilation, and Accelerates Proline and Glycine Betaine Metabolisms of Glycyrrhiza uralensis Subjected to Salt Stress. J. Agric. Food Chem. 2023, 71, 15485–15496. [Google Scholar] [CrossRef] [PubMed]
- Qin, S.; Jiao, K.; Lyu, D.; Shi, L.; Liu, L. Effects of Maize Residue and Cellulose-Decomposing Bacteria Inocula on Soil Microbial Community, Functional Diversity, Organic Fractions, and Growth Of Malus HupehensisRehd. Arch. Agron. Soil Sci. 2014, 61, 173–184. [Google Scholar] [CrossRef]
- Cloutier, M.L.; Murrell, E.; Barbercheck, M.; Kaye, J.; Finney, D.; García-González, I.; Bruns, M.A. Fungal community shifts in soils with varied cover crop treatments and edaphic properties. Sci. Rep. 2020, 10, 6198. [Google Scholar] [CrossRef]
- Li, H.; Yu, G.-H.; Hao, L.; Qiu, Y.; Hu, S. Mycorrhizae enhance reactive minerals but reduce mineral-associated carbon. Glob. Chang. Biol. 2023, 29, 5941–5954. [Google Scholar] [CrossRef] [PubMed]
- Chen, Y.; Zang, H.; Bai, L.; Lv, C.; Chen, X.; Li, S.; Dai, J. Repeated inoculations improve wheat yield through modifying the rhizobacterial communities and nitrogen and phosphorus fractions. Appl. Soil Ecol. 2024, 196, 105287. [Google Scholar] [CrossRef]
- Qiu, R.; Li, C.; Li, X.; Zhang, Y.; Liu, C.; Li, C.; Chen, Y.; Bai, J.; Xu, M.; Song, R.; et al. First report of Fusarium sacchari causing root rot of tobacco (Nicotiana tabacum L.) in China. Crop Prot. 2023, 174, 106437. [Google Scholar] [CrossRef]
- Dinango, V.N.; Dhouib, H.; Wakam, L.N.; Kouokap, L.K.; Youmbi, D.Y.; Eke, P.; Driss, F.; Tounsi, S.; Boyom, F.F.; Frikha-Gargouri, O. Bacterial endophytes inhabiting desert plants provide protection against seed rot caused by Fusarium verticillioides and promote growth in maize. Pest Manag. Sci. 2023, 80, 1206–1218. [Google Scholar] [CrossRef] [PubMed]
- Hang, X.; Meng, L.; Ou, Y.; Shao, C.; Xiong, W.; Zhang, N.; Liu, H.; Li, R.; Shen, Q.; Kowalchuk, G.A. Trichoderma-amended biofertilizer stimulates soil resident Aspergillus population for joint plant growth promotion. npj Biofilms Microbiomes 2022, 8, 57. [Google Scholar] [CrossRef]
- Zhang, M.; Liang, G.; Ren, S.; Li, L.; Li, C.; Li, Y.; Yu, X.; Yin, Y.; Liu, T.; Liu, X. Responses of soil microbial community structure, potential ecological functions, and soil physicochemical properties to different cultivation patterns in cucumber. Geoderma 2023, 429, 116237. [Google Scholar] [CrossRef]
- Dan, Y.; Wang, X.; Ji, M.; Sang, W.; Shen, Z.; Zhang, Y. Influence of temperature change on the immobilization of soil Pb and Zn by hydrochar: Roles of soil microbial modulation. Environ. Pollut. 2023, 320, 121109. [Google Scholar] [CrossRef] [PubMed]
- Liu, G.; Zhang, X.; Wang, X.; Shao, H.; Yang, J.; Wang, X. Soil enzymes as indicators of saline soil fertility under various soil amendments. Agric. Ecosyst. Environ. 2017, 237, 274–279. [Google Scholar] [CrossRef]
- Ren, W.; Zhang, L.; Maness, N.; Wang, X.; Tang, M.; Xu, T. Changes in the diversity of pecan (Carya illinoinensis) rhizosphere microbial community with different nitrogen fertilization, a case study in Oklahoma pecan orchard. Sci. Hortic. 2023, 321, 112365. [Google Scholar] [CrossRef]
- Sun, D.; Huang, Y.; Wang, Z.; Tang, X.; Ye, W.; Cao, H.; Shen, H. Soil microbial community structure, function and network along a mangrove forest restoration chronosequence. Sci. Total. Environ. 2023, 913, 169704. [Google Scholar] [CrossRef]
- Li, G.; Niu, W.; Ma, L.; Du, Y.; Zhang, Q.; Gan, H.; Siddique, K.H. Effects of drip irrigation upper limits on rhizosphere soil bacterial communities, soil organic carbon, and wheat yield. Agric. Water Manag. 2024, 293, 108701. [Google Scholar] [CrossRef]
- Hu, W.; Wang, X.; Wang, X.; Xu, Y.; Li, R.; Zhao, L.; Ren, W.; Teng, Y. Enhancement of nitrogen fixation and diazotrophs by long-term polychlorinated biphenyl contamination in paddy soil. J. Hazard. Mater. 2023, 446, 130697. [Google Scholar] [CrossRef] [PubMed]
- Luque-Almagro, V.M.; Manso, I.; Sullivan, M.J.; Rowley, G.; Ferguson, S.J.; Moreno-Vivián, C.; Richardson, D.J.; Gates, A.J.; Roldán, M.D. Transcriptional and translational adaptation to aerobic nitrate anabolism in the denitrifier Paracoccus denitrificans. Biochem. J. 2017, 474, 1769–1787. [Google Scholar] [CrossRef] [PubMed]
- Ni, H.; Jing, X.; Xiao, X.; Zhang, N.; Wang, X.; Sui, Y.; Sun, B.; Liang, Y. Microbial metabolism and necromass mediated fertilization effect on soil organic carbon after long-term community incubation in different climates. ISME J. 2021, 15, 2561–2573. [Google Scholar] [CrossRef]









| Treatment | Processing Method | Chemical Fertilizers | Microbial Inoculants |
|---|---|---|---|
| CK | Unprocessed | 0 kg·ha−1 | 0 L·ha−1 |
| CM | Microbial inoculants | 0 kg·ha−1 | 75 L·ha−1 |
| CF | 100% Diammonium phosphate | 375 kg·ha−1 | 0 L·ha−1 |
| 0.85 CF+CM | 85% Diammonium phosphate + microbial inoculants | 320 kg·ha−1 | 75 L·ha−1 |
| 0.70 CF+CM | 75% Diammonium phosphate + microbial inoculants | 263 kg·ha−1 | 75 L·ha−1 |
| 0.55 CF+CM | 55% Diammonium phosphate + microbial inoculants | 206 kg·ha−1 | 75 L·ha−1 |
| CF+CM | Diammonium phosphate + microbial inoculants | 375 kg·ha−1 | 75 L·ha−1 |
| Treatment | pH | Electrical Conductance (us·cm−1) | Organic Matter (g·kg−1) | Available Nitrogen (mg·kg−1) | Available Phosphorus (mg·kg−1) | Available Potassium (mg·kg−1) | Total Nitrogen (g·kg−1) | Total Phosphorus (g·kg−1) | Total Potassium (g·kg−1) |
|---|---|---|---|---|---|---|---|---|---|
| CK | 7.97 ± 0.009 a | 211.64 ± 1.79 a | 24.26 ± 0.54 f | 94.92 ± 2.00 e | 21.70 ± 0.55 f | 41.22 ± 0.56 e | 1.68 ± 0.006 e | 0.70 ± 0.006 e | 17.16 ± 0.01 e |
| CM | 7.82 ± 0.012 b | 135.83 ± 1.13 d | 27.78 ± 0.17 e | 135.75 ± 2.58 b | 24.23 ± 0.56 e | 55.47 ± 0.41 d | 1.70 ± 0.003 e | 0.72 ± 0.006 e | 17.22 ± 0.01 e |
| CF | 7.93 ± 0.007 b | 185.95 ± 2.77 b | 32.97 ± 0.78 d | 116.23 ± 2.69 d | 27.89 ± 0.13 d | 58.78 ± 1.40 d | 2.42 ± 0.006 a | 1.00 ± 0.009 a | 18.66 ± 0.01 a |
| 0.85 CF+CM | 7.82 ± 0.015 d | 146.31 ± 3.06 c | 38.23 ± 0.19 a | 142.26 ± 1.68 ab | 35.18 ± 0.53 a | 98.31 ± 2.82 a | 2.19 ± 0.006 b | 0.93 ± 0.017 b | 18.51 ± 0.02 b |
| 0.70 CF+CM | 7.80 ± 0.003 c | 131.33 ± 5.25 d | 36.12 ± 0.21b | 140.13 ± 2.39 ab | 32.60 ± 0.69 b | 82.47 ± 0.58 b | 2.09 ± 0.006 c | 0.86 ± 0.006 c | 18.17 ± 0.02 c |
| 0.55 CF+CM | 7.77 ± 0.006 c | 118.84 ± 4.20 e | 34.26 ± 0.75 c | 128.91 ± 2.26 c | 30.28 ± 0.27 c | 75.27 ± 0.64 c | 1.97 ± 0.012 d | 0.81 ± 0.006 d | 17.84 ± 0.02 d |
| CF+CM | 7.87 ± 0.012 c | 187.95 ± 3.58 b | 35.73 ± 0.60 bc | 146.19 ± 2.35 a | 33.6 ± 0.62 bc | 84.25 ± 0.54 b | 2.43 ± 0.023 a | 1.02 ± 0.030 a | 18.63 ± 0.02 a |
| Treatment | Gross Pasture Income | Chemical Fertilizer | Microbial Inoculant | Labor Cost | Cost of Fertilization | Land Rent | Pure Pasture Income | Output Ratios |
|---|---|---|---|---|---|---|---|---|
| CK | 125,896 | 0 | 0 | 2462 | 0 | 15,000 | 108,434 | 6.210 |
| CM | 138,960 | 0 | 1200 | 1812 | 100 | 15,000 | 120,848 | 6.672 |
| CF | 170,326.7 | 1350 | 0 | 2086 | 500 | 15,000 | 151,390.7 | 7.995 |
| 0.85 CF+CM | 187,917.3 | 1152 | 1200 | 1035 | 400 | 15,000 | 169,130.3 | 9.003 |
| 0.70 CF+CM | 180,573.3 | 946.8 | 1200 | 1285 | 350 | 15,000 | 161,791.5 | 8.614 |
| 0.55 CF+CM | 169,422.7 | 741.6 | 1200 | 1581 | 270 | 15,000 | 150,630.1 | 8.015 |
| CF+CM | 159,238.7 | 1350 | 1200 | 2230 | 600 | 15,000 | 138,858.7 | 6.813 |
Disclaimer/Publisher’s Note: The statements, opinions and data contained in all publications are solely those of the individual author(s) and contributor(s) and not of MDPI and/or the editor(s). MDPI and/or the editor(s) disclaim responsibility for any injury to people or property resulting from any ideas, methods, instructions or products referred to in the content. |
© 2024 by the authors. Licensee MDPI, Basel, Switzerland. This article is an open access article distributed under the terms and conditions of the Creative Commons Attribution (CC BY) license (https://creativecommons.org/licenses/by/4.0/).
Share and Cite
He, S.; Zhang, Y.; Yang, X.; Li, Q.; Li, C.; Yao, T. Effects of Microbial Inoculants Combined with Chemical Fertilizer on Growth and Soil Nutrient Dynamics of Timothy (Phleum pratense L.). Agronomy 2024, 14, 1016. https://doi.org/10.3390/agronomy14051016
He S, Zhang Y, Yang X, Li Q, Li C, Yao T. Effects of Microbial Inoculants Combined with Chemical Fertilizer on Growth and Soil Nutrient Dynamics of Timothy (Phleum pratense L.). Agronomy. 2024; 14(5):1016. https://doi.org/10.3390/agronomy14051016
Chicago/Turabian StyleHe, Shanmu, Ying Zhang, Xiaolei Yang, Qi Li, Changning Li, and Tuo Yao. 2024. "Effects of Microbial Inoculants Combined with Chemical Fertilizer on Growth and Soil Nutrient Dynamics of Timothy (Phleum pratense L.)" Agronomy 14, no. 5: 1016. https://doi.org/10.3390/agronomy14051016
APA StyleHe, S., Zhang, Y., Yang, X., Li, Q., Li, C., & Yao, T. (2024). Effects of Microbial Inoculants Combined with Chemical Fertilizer on Growth and Soil Nutrient Dynamics of Timothy (Phleum pratense L.). Agronomy, 14(5), 1016. https://doi.org/10.3390/agronomy14051016
