Response of Triticum Vulgare Growth and Nitrogen Allocation to Irrigation Methods and Regimes under Subsoiling Tillage
Abstract
1. Introduction
2. Materials and Methods
2.1. Experimental Site
2.2. Experimental Design
2.3. Data Collection
2.3.1. Leaf Area Index and SPAD Value
2.3.2. Measurements of Gas Exchange
2.3.3. Shoot Biomass and Its Distribution
2.3.4. Nitrogen Uptake and Its Utilization and Grain Yield
2.3.5. Root Sampling
2.3.6. TOPSIS Comprehensive Evaluation
2.4. Statistical Analysis
3. Results
3.1. The Response of Plant Growth of Winter Wheat Leaves to Irrigation Methods and Regimes
3.1.1. LAI and SPAD Value
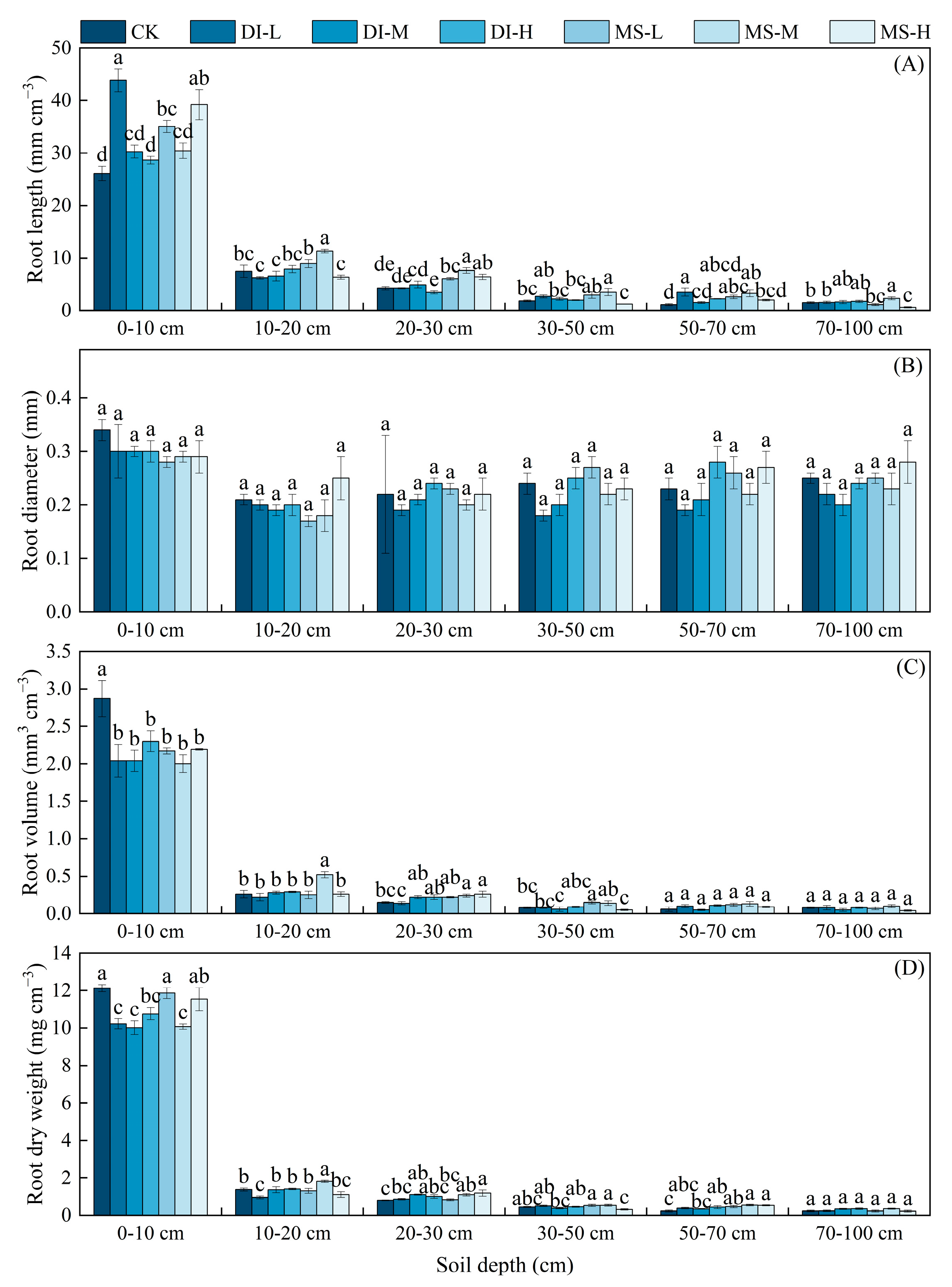
3.1.2. Root Growth and Density
3.2. The Response of Photosynthetic Characteristics of Winter Wheat Leaves to Irrigation Methods and Regimes
3.3. The Response of Shoot Biomass of Winter Wheat to Irrigation Methods and Regimes
3.4. The Response of Shoot Biomass Distribution and Harvest Index Distribution in Winter Wheat to Irrigation Methods and Regimes
3.5. The Response of Shoot Biomass Transfer and Its Contribution Rate to Grain of Winter Wheat to Irrigation Methods and Regimes
3.6. The Response of Nitrogen Uptake and Its Utilization of Winter Wheat to Irrigation Methods and Regimes
3.7. Integrated Assessment of Irrigation Methods and Regime Strategies
4. Discussion
4.1. Response of Plant Growth and Physiological Characteristics in Subsoiling Wheat Fields to Irrigation Methods and Regimes
4.2. Response of Dry Matter Transfer and Nitrogen Allocation to Irrigation Methods and Regimes in Subsoiling Wheat Fields
5. Conclusions
Supplementary Materials
Author Contributions
Funding
Data Availability Statement
Conflicts of Interest
Abbreviations
References
- Keller, T.; Sandin, M.; Colombi, T.; Horn, R.; Or, D. Historical increase in agricultural machinery weights enhanced soil stress levels and adversely affected soil functioning. Soil. Tillage Res. 2019, 194, 104293. [Google Scholar] [CrossRef]
- Sun, Q.; Sun, W.; Zhao, Z.X.; Jiang, W.; Zhang, P.Y.; Sun, X.F.; Xue, Q.W. Soil Compaction and Maize Root Distribution under Subsoiling Tillage in a Wheat–Maize Double Cropping System. Agronomy 2023, 13, 394. [Google Scholar] [CrossRef]
- Liu, X.W.; Zhang, X.Y.; Chen, S.Y.; Sun, H.Y.; Shao, L.W. Subsoil compaction and irrigation regimes affect the root-shoot relationship and grain yield of winter wheat. Agric. Water Manag. 2015, 154, 59–67. [Google Scholar] [CrossRef]
- Zhang, X.Y.; Shao, L.W.; Sun, H.Y.; Chen, S.Y.; Wang, Y.Z. Incorporation of Soil Bulk Density in Simulating Root Distribution of Winter Wheat and Maize in Two Contrasting Soils. Soil. Sci. Soc. Am. J. 2012, 76, 638–647. [Google Scholar] [CrossRef]
- Boomsma, C.R.; Santini, J.B.; West, T.D.; Brewer, J.C.; McIntyre, L.M.; Vyn, T.J. Maize grain yield responses to plant height variability resulting from crop rotation and tillage system in a long-term experiment. Soil. Tillage Res. 2010, 106, 227–240. [Google Scholar] [CrossRef]
- Tolon-Becerra, A.; Tourn, M.; Botta, G.F.; Lastra-Bravo, X. Effects of different tillage regimes on soil compaction, maize (L.) seedling emergence and yields in the eastern Argentinean Pampas region. Soil. Tillage Res. 2011, 117, 184–190. [Google Scholar] [CrossRef]
- Nele, V.; Victoria, N.; Niels, J.; Heleen, H.; Ken, D.S.; Dirk, R.; Seppe, D.; Bram, G. Soil water content, maize yield and its stability as affected by tillage and crop residue management in rainfed semi-aridhighlands. Plant Soil. 2011, 344, 73–85. [Google Scholar] [CrossRef]
- Jennings, T.N.; Smith, J.E.; Cromack, K.; Sulzman, E.W.; McKay, D.; Caldwell, B.A.; Beldin, S.I. Impact of postfire logging on soil bacterial and fungal communities and soil biogeochemistry in a mixed-conifer forest in central Oregon. Plant Soil. 2012, 350, 393–411. [Google Scholar] [CrossRef]
- Massa, D.; Magán, J.J.; Montesano, F.F.; Tzortzakis, N. Review Minimizing water and nutrient losses from soilless cropping in southern Europe. Agric. Water Manag. 2020, 241, 106395. [Google Scholar] [CrossRef]
- Tian, X.M.; Fan, H.; Wang, J.Q.; Ippolito, J.; Li, Y.B.; Feng, S.S.; An, M.J.; Zhang, F.H.; Wang, K.Y. Effect of polymer materials on soil structure and organic carbon under drip irrigation. Geoderma 2019, 340, 94–103. [Google Scholar] [CrossRef]
- Jha, S.K.; Ramatshaba, T.S.; Wang, G.S.; Liang, Y.P.; Liu, H.; Gao, Y.; Duan, A. Response of growth, yield and water use efficiency of winter wheat to different irrigation methods and scheduling in North China Plain. Agric. Water Manag. 2019, 217, 292–302. [Google Scholar] [CrossRef]
- Li, J.P.; Xu, X.X.; Lin, G.; Wang, Y.Q.; Liu, Y.; Zhang, M.; Zhou, J.Y.; Wang, Z.M.; Zhang, Y.H. Micro-irrigation improves grain yield and resource use efficiency by co-locating the roots and N-fertilizer distribution of winter wheat in the North China Plain. Sci. Total Environ. 2018, 643, 367–377. [Google Scholar] [CrossRef]
- Fang, Q.; Zhang, X.Y.; Shao, L.W.; Chen, S.Y.; Sun, H.Y. Assessing the performance of different irrigation systems on winter wheat under limited water supply. Agric. Water Manag. 2018, 196, 133–143. [Google Scholar] [CrossRef]
- Cao, Y.X.; Cai, H.J.; Sun, S.K. Effects of growth-stage-based limited irrigation management on the growth, yields, and radiation utilization efficiency of winter wheat in northwest China. J. Sci. Food Agric. 2021, 101, 5819–5826. [Google Scholar] [CrossRef]
- Li, J.P.; Wang, Z.M.; Yao, C.S.; Zhang, Z.; Liu, Y.; Zhang, Y.H. Micro-sprinkling irrigation simultaneously improves grain yield and protein concentration of winter wheat in the North China Plain. Crop J. 2021, 9, 1397–1407. [Google Scholar] [CrossRef]
- Yan, S.C.; Wu, Y.; Fan, J.L.; Zhang, F.C.; Guo, J.J.; Zheng, J.; Wu, L.F. Quantifying grain yield, protein, nutrient uptake and utilization of winter wheat under various drip fertigation regimes. Agric. Water Manag. 2022, 261, 107380. [Google Scholar] [CrossRef]
- Hao, T.J.; Zhu, Z.X.; Zhang, Y.L.; Liu, S.; Xu, Y.F.; Xu, X.X.; Zhao, C.X. Effects of Drip Irrigation and Fertilization Frequency on Yield, Water and Nitrogen Use Efficiency of Medium and Strong Gluten Wheat in the Huang-Huai-Hai Plain of China. Agronomy 2023, 13, 1564. [Google Scholar] [CrossRef]
- Bai, S.S.; Wan, S.Q.; Kang, Y.H. Winter wheat growth and water use under different micro-sprinkling irrigation regimes in the North China Plain. Paddy Water Environ. 2020, 18, 561–571. [Google Scholar] [CrossRef]
- Zhang, J.M.; Wu, J.C.; Yang, Y.H.; Pan, X.Y.; Wang, Y.; He, F. Effect of different irrigation technology on yield and water use efficiency of wheat. Water Sav. Irrig. 2016, 30–32, 37. [Google Scholar]
- Lv, H.F.; Lin, S.; Wang, Y.F.; Lian, X.J.; Zhao, Y.M.; Li, Y.J.; Du, J.Y.; Wang, Z.X.; Wang, J.G.; Butterbach-Bahl, K. Drip fertigation significantly reduces nitrogen leaching in solar green house vegetable production system. Environ. Pollut. 2019, 245, 694–701. [Google Scholar] [CrossRef]
- Amirahmadi, E.; Ghorbani, M.; Moudrý, J.; Bernas, J.; Mukosha, C.E.; Hoang, T.N. Environmental Assessment of Dryland and Irrigated Winter Wheat Cultivation under Compost Fertilization Strategies. Plants 2024, 13, 509. [Google Scholar] [CrossRef]
- Li, H.R.; Mei, X.R.; Wang, J.D.; Huang, F.; Hao, W.P.; Li, B.G. Drip fertigation significantly increased crop yield, water productivity and nitrogen use efficiency with respect to traditional irrigation and fertilization practices: A meta-analysis in China. Agric. Water Manag. 2021, 244, 106534. [Google Scholar] [CrossRef]
- Sharmasarkar, C.F.; Sharmasarkar, S.; Miller, S.D.; Vance, G.F.; Zhang, R. Assessment of drip and flood irrigation on water and fertilizer use efficiencies for sugarbeets. Agric. Water Manag. 2001, 46, 241–251. [Google Scholar] [CrossRef]
- Dehghanisanij, H.; Kouhi, N. Effects of Nitrogen and Drip Irrigation Rates on Root Development of Corn (Zea mays L.) and Residual Soil Moisture. Gesunde Pflanz. 2020, 72, 335–349. [Google Scholar] [CrossRef]
- GB/T17296-2009; China Soil Classification and Code. National Standards of China (NSC): Beijing, China, 2009.
- Fan, Y.L.; Ma, Y.Z.; Zaman, A.M.; Zhang, M.M.; Li, Q. Delayed irrigation at the jointing stage increased the post-flowering dry matter accumulation and water productivity of winter wheat under wide-precision planting pattern. J. Sci. Food Agric. 2023, 103, 1925–1934. [Google Scholar] [CrossRef]
- Garcia-Servin, M.; Contreras-Medina, L.M.; Torres-Pacheco, I.; Guevara-González, R.G. Estimation of Nitrogen Status in Plants. Nitrate Handb. 2022, 1, 163–181. [Google Scholar] [CrossRef]
- Qi, D.; Pan, C. Responses of shoot biomass accumulation, distribution, and nitrogen use efficiency of maize to nitrogen application rates under waterlogging. Agric. Water Manag. 2022, 261, 107352. [Google Scholar] [CrossRef]
- Liu, X.; Liu, J.; Huang, C.; Liu, H.; Meng, Y.; Chen, H.; Ma, S.; Liu, Z. The impacts of irrigation methods and regimes on the water and nitrogen utilization efficiency in subsoiling wheat fields. Agric. Water Manag. 2024, 295, 108765. [Google Scholar] [CrossRef]
- Chilundo, M.; Joel, A.; Wesstrom, I.; Brito, R.; Messing, I. Response of maize root growth to irrigation and nitrogen management strategies in semi-arid loamy sandy soil. Field Crop Res. 2017, 200, 143–162. [Google Scholar] [CrossRef]
- Mahgoub, N.A.; Ibrahim, A.M.; Ali, O.M. Effect of different irrigation systems on root growth of maize and cowpea plants in sandy soil. Eurasian Soil. Sci. 2017, 6, 374–379. [Google Scholar] [CrossRef]
- Firouzabadi, A.G.; Baghani, J.; Jovzi, M.; Albaji, M. Effects of wheat row spacing layout and drip tape spacing on yield and water productivity in sandy clay loam soil in a semi-arid region. Agric. Water Manag. 2021, 251, 106868. [Google Scholar] [CrossRef]
- Kaur, T.; Sharma, P.K.; Brar, A.S.; Vashisht, B.B.; Choudhary, A.K. Optimizing crop water productivity and delineating root architecture and water balance in cotton–wheat cropping system through sub-surface drip irrigation and foliar fertilization strategy in an alluvial soil. Field Crop Res. 2024, 309, 109337. [Google Scholar] [CrossRef]
- Stone, P.J.; Wilson, D.R.; Jamieson, P.D.; Gillespie, R.N. Water deficit effects on sweet corn. II. Canopy development. Aust. J. Agric. Res. 2001, 52, 115–126. [Google Scholar] [CrossRef]
- Li, H.Q.; Zhang, M.Z.; Xiao, N.; Yang, H.J. Different Deficit Irrigation Lower Limits and Irrigation Quotas Affect the Yield and Water Use Efficiency of Winter Wheat by Regulating Photosynthetic Characteristics. Phyton Int. J. Exp. Bot. 2023, 92, 3211–3236. [Google Scholar] [CrossRef]
- Lawlor, D.W.; Cornic, G. Photosynthetic carbon assimilation and associated metabolism in relation to water deficits in higher plants. Plant Cell Environ. 2002, 25, 275–294. [Google Scholar] [CrossRef] [PubMed]
- Lang, Y.; Wang, M.; Zhang, G.C.; Zhao, Q.K. Experimental and simulated light responses of photosynthesis in leaves of three tree species under different soil water conditions. Photosynthetica 2013, 51, 370–378. [Google Scholar] [CrossRef]
- Yang, J.C.; Zhang, J.H.; Huang, Z.L.; Zhu, Q.S.; Wang, L. Remobilization of carbon reserves is improved by controlled soil-drying during grain filling of wheat. Crop Sci. 2000, 40, 1645–1655. [Google Scholar] [CrossRef]
- Wu, Y.L.; Guo, Q.F.; Luo, Y.; Tian, F.X.; Wang, W. Differences in physiological characteristics between two wheat cultivars exposed to field water deficit conditions. Russ. J. Plant Physl. 2014, 61, 451–459. [Google Scholar] [CrossRef]
- Zong, Y.Z.; Shangguan, Z.P. Nitrogen Deficiency Limited the Improvement of Photosynthesis in Maize by Elevated CO2 under Drought. J. Integr. Agric. 2014, 13, 73–81. [Google Scholar] [CrossRef]
- Perdomo, J.A.; Capó-Bauçà, S.; Carmo-Silva, E.; Galmés, J. Rubisco and Rubisco Activase Play an Important Role in the Biochemical Limitations of Photosynthesis in Rice, Wheat, and Maize under High Temperature and Water Deficit. Front. Plant Sci. 2017, 8, 490. [Google Scholar] [CrossRef]
- Zhang, X.; Pu, P.; Tang, Y.; Zhang, L.X.; Lv, J.Y. C4 photosynthetic enzymes play a key role in wheat spike bracts primary carbon metabolism response under water deficit. Plant Physiol. Bioch. 2019, 142, 163–172. [Google Scholar] [CrossRef] [PubMed]
- Zhu, D.; Zhu, G.R.; Zhang, Z.; Wang, Z.M.; Yan, X.; Yan, Y.M. Effects of Independent and Combined Water-Deficit and High-Nitrogen Treatments on Flag Leaf Proteomes during Wheat Grain Development. Int. J. Mol. Sci. 2020, 21, 2098. [Google Scholar] [CrossRef] [PubMed]
- Guo, X.L.; Zhao, Q.; Li, J.Y.; Wang, Z.M.; Zhang, Y.H.; Xue, X.Z. Daily drip irrigation based on real-time weather improves winter wheat grain yield and water use efficiency. Irrig. Drain. 2022, 71, 589–603. [Google Scholar] [CrossRef]
- Luo, F.; Deng, X.; Liu, Y.; Yan, Y.M. Identification of phosphorylation proteins in response to water deficit during wheat flag leaf and grain development. Bot. Stud. 2018, 59, 28. [Google Scholar] [CrossRef] [PubMed]
- Reddy, A.R.; Chaitanya, K.V.; Vivekanandan, M. Drought-induced responses of photosynthesis and antioxidant metabolism in higher plants. J. Plant Physiol. 2004, 161, 1189–1202. [Google Scholar] [CrossRef] [PubMed]
- Ding, J.F.; Zi, Y.; Li, C.Y.; Peng, Y.X.; Zhu, X.K.; Guo, W.S. Dry Matter Accumulation, Partitioning, and Remobilization in High-Yielding Wheat under Rice-Wheat Rotation in China. Agron. J. 2016, 108, 604–614. [Google Scholar] [CrossRef]
- Masoni, A.; Ercoli, L.; Mariotti, M.; Arduini, I. Post-anthesis accumulation and remobilization of dry matter, nitrogen and phosphorus in durum wheat as affected by soil type. Eur. J. Agron. 2007, 26, 179–186. [Google Scholar] [CrossRef]
- Yang, J.C.; Zhang, J.H. Grain filling of cereals under soil drying. New Phytol. 2006, 169, 223–236. [Google Scholar] [CrossRef]
- Koutroubas, S.D.; Fotiadis, S.; Damalas, C.A. Biomass and nitrogen accumulation and translocation in spelt (Triticum spelta) grown in a Mediterranean area. Field Crop Res. 2012, 127, 1–8. [Google Scholar] [CrossRef]
- Yan, S.C.; Wu, Y.; Fan, J.L.; Zhang, F.C.; Guo, J.J.; Zheng, J.; Wu, L.F. Optimization of drip irrigation and fertilization regimes to enhance winter wheat grain yield by improving post-anthesis dry matter accumulation and translocation in northwest China. Agric. Water Manag. 2022, 271, 107782. [Google Scholar] [CrossRef]
- Fang, Y.; Liang, L.Y.; Liu, S.; Xu, B.C.; Siddique, K.H.; Palta, J.A.; Chen, Y.L. Wheat cultivars with small root length density in the topsoil increased post-anthesis water use and grain yield in the semi-arid region on the Loess Plateau. Eur. J. Agron. 2021, 124, 126243. [Google Scholar] [CrossRef]
- Wu, X.; Zhang, W.J.; Liu, W.; Zuo, Q.; Shi, J.C.; Yan, X.D.; Zhang, H.F.; Xue, X.Z.; Wang, L.C.; Zhang, M.; et al. Root-weighted soil water status for plant water deficit index based irrigation scheduling. Agric. Water Manag. 2017, 189, 137–147. [Google Scholar] [CrossRef]
- Ma, S.T.; Meng, Y.; Han, Q.S.; Ma, S.C. Drip fertilization improve water and nitrogen use efficiency by optimizing root and shoot traits of winter wheat. Front. Plant Sci. 2023, 14, 1201966. [Google Scholar] [CrossRef] [PubMed]
- Lu, J.S.; Geng, C.M.; Cui, X.L.; Li, M.Y.; Chen, S.H.; Hu, T.T. Response of drip fertigated wheat-maize rotation system on grain yield, water productivity and economic benefits using different water and nitrogen amounts. Agric. Water Manag. 2021, 258, 107220. [Google Scholar] [CrossRef]
- Lv, G.H.; Kang, Y.H.; Li, L.; Wan, S.Q. Effect of irrigation methods on root development and profile soil water uptake in winter wheat. Irr. Sci. 2010, 28, 387–398. [Google Scholar] [CrossRef]
- Ehdaie, B.; Merhaunt, D.J.; Ahmadian, S. Root system size influences water-nutrient uptake and nitrate leaching potential in wheat. J. Agron. Crop Sci. 2010, 196, 455–466. [Google Scholar] [CrossRef]
- Surendran, U.; Madhava, C.K. Development and evaluation of drip irrigation and fertigation scheduling to improve water productivity and sustainable crop production using HYDRUS. Agric. Water Manag. 2022, 269, 107668. [Google Scholar] [CrossRef]
- Mehmood, F.; Wang, G.S.; Abubakar, S.A.; Zain, M.; Rahman, S.U.; Gao, Y.; Duan, A.W. Optimizing irrigation management sustained grain yield, crop water productivity, and mitigated greenhouse gas emissions from the winter wheat field in North China Plain. Agric. Water Manag. 2023, 290, 108599. [Google Scholar] [CrossRef]





| Location | Soil Texture | Soil Dry Bulk Density | Soil Field Capacity | Organic Matter | Total Nitrogen | Available Phosphorus | Available Potassium |
|---|---|---|---|---|---|---|---|
| /g·cm−3 | /cm3·cm−3 | /g·kg−1 | /g·kg−1 | /mg·kg−1 | /mg·kg−1 | ||
| Xinxiang | Silt loam soil | 1.51 | 0.31 | 16.1 | 1.05 | 23.4 | 229.5 |
| Year | Month | Air Humidity | Total Radiation | Precipitation | Tmax | Tmin |
|---|---|---|---|---|---|---|
| /% | /W·m−2 | /mm | /°C | /°C | ||
| 2020–2021 | October | 76.44 | 1914.19 | 20.70 | 20.32 | 9.33 |
| November | 79.16 | 2389.85 | 70.50 | 14.36 | 6.03 | |
| December | 22.90 | 2439.16 | 4.00 | 2.60 | 0.00 | |
| January | 55.74 | 2999.73 | 0.00 | 7.88 | −2.90 | |
| February | 68.44 | 3398.56 | 54.10 | 13.69 | 1.87 | |
| March | 80.24 | 4014.15 | 14.40 | 15.45 | 7.22 | |
| April | 74.35 | 5542.67 | 29.60 | 20.27 | 10.11 | |
| May | 66.12 | 7463.01 | 12.10 | 28.09 | 15.44 | |
| June | 66.66 | 591.73 | 0.00 | 31.68 | 20.35 | |
| 2021–2022 | October | 78.49 | 220.55 | 0.00 | 22.90 | 10.40 |
| November | 66.70 | 3700.98 | 18.90 | 16.00 | 5.02 | |
| December | 42.51 | 3486.86 | 3.70 | 2.49 | 0.00 | |
| January | 88.30 | 1894.89 | 12.60 | 4.81 | −1.51 | |
| February | 69.81 | 3353.59 | 0.00 | 8.25 | −1.71 | |
| March | 75.55 | 4124.46 | 10.80 | 15.94 | 6.25 | |
| April | 71.40 | 5677.78 | 9.10 | 23.04 | 10.91 | |
| May | 64.59 | 7508.74 | 35.40 | 27.31 | 14.85 | |
| June | 29.41 | 290.61 | 0.00 | 0.07 | 34.68 |
| Irrigation Method | Treatment | Lower Limit of Soil Moisture Control | Irrigating Quota |
|---|---|---|---|
| /%FC | /mm | ||
| Border irrigation | CK | 70 | 90 |
| Drip irrigation | DI-H | 70 | 30 |
| DI-M | 60 | 30 | |
| DI-L | 50 | 30 | |
| Micro-sprinkler irrigation | MS-H | 70 | 45 |
| MS-M | 60 | 45 | |
| MS-L | 50 | 45 |
| Year | Irrigation Date | Irrigation Amount/mm | ||||||
|---|---|---|---|---|---|---|---|---|
| CK | DI-H | DI-M | DI-L | MS-H | MS-M | MS-L | ||
| 2020–2021 | November | 0 | 30 | 30 | 30 | 45 | 45 | 45 |
| December | 90 | 0 | 0 | 0 | 0 | 0 | 0 | |
| March | 90 | 60 | 30 | 30 | 90 | 45 | 45 | |
| April | 0 | 30 | 30 | 0 | 45 | 45 | 0 | |
| May | 90 | 30 | 30 | 0 | 45 | 45 | 0 | |
| Total | 270 | 150 | 120 | 60 | 225 | 180 | 90 | |
| 2021–2022 | December | 90 | 30 | 30 | 30 | 45 | 45 | 45 |
| February | 90 | 30 | 30 | 30 | 0 | 0 | 0 | |
| March | 90 | 30 | 0 | 0 | 90 | 45 | 45 | |
| April | 0 | 60 | 30 | 30 | 45 | 45 | 45 | |
| May | 90 | 30 | 30 | 0 | 45 | 45 | 0 | |
| Total | 360 | 180 | 120 | 90 | 225 | 180 | 135 | |
| Year | Treatment | Flowering Stage | Maturity Stage | |||||||
|---|---|---|---|---|---|---|---|---|---|---|
| Stem | Leaf | Glume | Total Biomass | Stem | Leaf | Glume | Grain | Total Biomass | ||
| 2020–2021 | CK | 8352 ± 192 b | 2349 ± 49 b | 2572 ± 59 a | 13,273 ± 105 b | 6267 ± 70 b | 1208 ± 14 c | 3972 ± 45 a | 9896 ± 111 cd | 21,344 ± 240 a |
| DI-H | 8156 ± 303 bc | 2406 ± 84 b | 2623 ± 141 a | 13,185 ± 187 b | 6243 ± 481 b | 1325 ± 102 bc | 3073 ± 237 b | 12,786 ± 985 a | 23,426 ± 1805 a | |
| DI-M | 7523 ± 726 cd | 2678 ± 157 a | 2573 ± 205 a | 12,773 ± 508 b | 5981 ± 173 bc | 1522 ± 45 a | 723 ± 21 e | 12,901 ± 374 a | 21,127 ± 613 a | |
| DI-L | 6745 ± 65 e | 2065 ± 212 cd | 2219 ± 151 b | 11,029 ± 212 c | 4936 ± 255 d | 1236 ± 64 bc | 1279 ± 66 d | 9400 ± 486 d | 16,852 ± 871 b | |
| MS-H | 10,456 ± 576 a | 2356 ± 82 b | 2495 ± 26 a | 15,307 ± 479 a | 8353 ± 751 a | 941 ± 85 d | 2518 ± 226 c | 11,947 ± 1074 ab | 23,759 ± 2135 a | |
| MS-M | 8337 ± 283 b | 2193 ± 93 bc | 2547 ± 151 a | 13,078 ± 251 b | 6279 ± 183 b | 1370 ± 40 b | 2623 ± 76 c | 11,008 ± 321 bc | 21,280 ± 619 a | |
| MS-L | 6855 ± 417 de | 1885 ± 82 d | 2128 ± 164 b | 10,869 ± 555 c | 5393 ± 666 cd | 1006 ± 124 d | 1271 ± 157 d | 8975 ± 1109 d | 16,645 ± 2058 b | |
| 2021–2022 | CK | 6102 ± 335 bc | 1525 ± 85 c | 2766 ± 384 bc | 10,393 ± 785 bc | 5693 ± 87 d | 1026 ± 16 cd | 1906 ± 29 b | 9735 ± 148 d | 18,360 ± 279 c |
| DI-H | 6981 ± 803 ab | 1569 ± 161 bc | 2811 ± 270 bc | 11,361 ± 1198 ab | 6456 ± 320 ab | 1159 ± 57 b | 1489 ± 74 c | 12,140 ± 601 ab | 21,243 ± 1052 a | |
| DI-M | 7928 ± 1195 a | 1609 ± 228 bc | 3475 ± 541 a | 13,012 ± 1962 a | 6692 ± 170 a | 1066 ± 27 c | 569 ± 15 f | 12,373 ± 315 a | 20,700 ± 528 ab | |
| DI-L | 5255 ± 521 c | 1379 ± 79 c | 2292 ± 391 c | 8926 ± 948 c | 4482 ± 97 f | 894 ± 19 e | 454 ± 10 g | 8264 ± 179 e | 14,094 ± 306 d | |
| MS-H | 6439 ± 523 bc | 1813 ± 144 ab | 2927 ± 275 abc | 11,179 ± 915 ab | 6188 ± 258 bc | 1287 ± 54 a | 2651 ± 111 a | 10,788 ± 451 c | 20,915 ± 874 ab | |
| MS-M | 7077 ± 201 ab | 1913 ± 125 a | 3031 ± 215 ab | 12,021 ± 493 ab | 6069 ± 263 c | 1168 ± 51 b | 819 ± 35 e | 11,662 ± 506 b | 19,718 ± 855 b | |
| MS-L | 6253 ± 399 bc | 1466 ± 79 c | 2578 ± 230 bc | 10,296 ± 705 bc | 5084 ± 132 e | 959 ± 25 de | 1371 ± 36 d | 9945 ± 258 d | 17,360 ± 450 c | |
| Year | Treatment | Flowering Stage | Maturity Stage | |||||
|---|---|---|---|---|---|---|---|---|
| Stem | Leaf | Glume | Stem | Leaf | Glume | Harvest Index | ||
| 2020–2021 | CK | 62.9 ± 1.0 b | 17.7 ± 0.5 b | 19.4 ± 0.6 a | 29.4 ± 0.5 b | 5.7 ± 0.2 b | 18.6 ± 0.9 a | 46.4 ± 0.7 f |
| DI-H | 61.8 ± 1.6 bc | 18.2 ± 0.9 b | 19.9 ± 1.1 a | 28.0 ± 2.9 b | 5.9 ± 0.3 b | 13.8 ± 2.2 ab | 57.3 ± 0.1 b | |
| DI-M | 58.8 ± 3.8 c | 21.0 ± 1.7 a | 20.2 ± 2.2 a | 28.3 ± 1.6 b | 7.2 ± 0.6 a | 3.4 ± 0.4 c | 61.1 ± 3.4 a | |
| DI-L | 61.2 ± 1.4 bc | 18.7 ± 1.7 b | 20.1 ± 1.2 a | 29.3 ± 1.0 b | 7.4 ± 0.4 a | 7.6 ± 5.5 bc | 55.8 ± 0.8 bc | |
| MS-H | 68.3 ± 1.7 a | 15.4 ± 1.0 c | 16.3 ± 0.6 b | 35.1 ± 2.1 a | 3.9 ± 0.7 c | 10.6 ± 6.4 abc | 50.3 ± 2.8 e | |
| MS-M | 63.8 ± 1.3 b | 16.8 ± 0.4 bc | 19.5 ± 1.4 a | 29.5 ± 1.6 b | 6.4 ± 1.0 ab | 12.3 ± 3.1 ab | 51.7 ± 0.4 de | |
| MS-L | 63.1 ± 1.6 b | 17.4 ± 0.8 bc | 19.6 ± 1.0 a | 32.4 a ± 4.9 b | 6.0 ± 0.6 b | 7.6 ± 7.8 bc | 53.9 ± 0.7 cd | |
| 2021–2022 | CK | 58.8 ± 1.4 b | 14.7 ± 0.4 bc | 26.5 ± 1.7 a | 31.8 ± 1.2 ab | 5.6 ± 0.7 a | 10.4 ± 0.4 b | 53.0 ± 0.8 b |
| DI-H | 61.4 ± 0.9 a | 13.8 ± 0.9 c | 24.8 ± 0.3 a | 32.6 ± 2.4 a | 5.5 ± 0.7 a | 7.0 ± 1.7 c | 57.2 ± 2.9 a | |
| DI-M | 60.9 ± 0.4 a | 12.4 ± 0.2 d | 26.7 ± 0.3 a | 32.8 ± 0.0 a | 5.2 ± 1.0 a | 2.8 ± 0.9 d | 59.8 ± 1.5 a | |
| DI-L | 58.9 ± 1.5 b | 15.5 ± 0.8 ab | 25.6 ± 2.0 a | 31.4 ± 1.6 ab | 6.3 ± 0.6 a | 3.2 ± 0.2 d | 58.7 ± 1.3 a | |
| MS-H | 57.6 ± 0.8 b | 16.2 ± 0.1 a | 26.2 ± 0.8 a | 27.9 ± 3.0 b | 6.1 ± 0.6 a | 12.7 ± 0.7 a | 51.6 ± 2.2 b | |
| MS-M | 58.9 ± 0.8 b | 15.9 ± 0.6 a | 25.2 ± 0.9 a | 29.2 ± 2.7 ab | 5.9 ± 0.4 a | 4.1 ± 1.3 d | 59.2 ± 2.6 a | |
| MS-L | 60.8 ± 0.5 a | 14.3 ± 0.3 c | 25.0 ± 0.5 a | 30.2 ± 1.4 ab | 5.5 ± 0.9 a | 7.9 ± 1.6 c | 57.3 ± 1.5 a | |
| Year | Treatment | BAF | BTA | BTR | GCR |
|---|---|---|---|---|---|
| /kg·ha−1 | /kg·ha−1 | /% | /% | ||
| 2020–2021 | CK | 8069 ± 149 a | 1825 ± 90 d | 13.8 ± 0.8 d | 18.4 ± 1.1 e |
| DI-H | 9052 ± 1016 a | 2538 ± 161 cd | 19.3 ± 1.4 c | 19.9 ± 1.5 de | |
| DI-M | 8342 ± 370 a | 4542 ± 441 a | 35.6 ± 4.0 a | 35.2 ± 3.9 ab | |
| DI-L | 5793 ± 570 b | 3571 ± 110 b | 32.4 ± 1.9 ab | 38.1 ± 2.3 a | |
| MS-H | 8329 ± 1375 a | 3512 ± 694 b | 22.8 ± 3.1 c | 29.3 ± 4.0 bc | |
| MS-M | 8190 ± 381 a | 2801 ± 167 bc | 21.5 ± 1.9 c | 25.5 ± 2.3 cd | |
| MS-L | 6607 ± 1105 b | 3241 ± 898 bc | 29.4 ± 5.1 b | 35.6 ± 6.2 a | |
| 2021–2022 | CK | 7964 ± 158 b | 1771 ± 306 cd | 17.0 ± 2.7 c | 15.2 ± 2.4 d |
| DI-H | 9847 ± 563 a | 2293 ± 1164 cd | 19.9 ± 9.4 bc | 16.7 ± 8.1 cd | |
| DI-M | 7679 ± 332 bc | 4694 ± 647 a | 36.0 ± 4.0 a | 36.2 ± 4.5 a | |
| DI-L | 5164 ± 194 d | 3101 ± 373 b | 34.7 ± 3.4 a | 35.5 ± 3.6 ab | |
| MS-H | 9712 ± 467 a | 1076 ± 918 d | 9.4 ± 7.7 c | 7.9 ± 6.5 d | |
| MS-M | 7673 ± 521 bc | 3989 ± 1027 ab | 33.0 ± 7.0 a | 31.9 ± 7.3 ab | |
| MS-L | 7056 ± 267 c | 2890 ± 525 b | 28.0 ± 4.4 ab | 25.5 ± 4.5 bc |
Disclaimer/Publisher’s Note: The statements, opinions and data contained in all publications are solely those of the individual author(s) and contributor(s) and not of MDPI and/or the editor(s). MDPI and/or the editor(s) disclaim responsibility for any injury to people or property resulting from any ideas, methods, instructions or products referred to in the content. |
© 2024 by the authors. Licensee MDPI, Basel, Switzerland. This article is an open access article distributed under the terms and conditions of the Creative Commons Attribution (CC BY) license (https://creativecommons.org/licenses/by/4.0/).
Share and Cite
Huang, C.; Liu, X.; Gao, Y.; Chen, H.; Ma, S.; Qin, A.; Zhang, Y.; Gao, Z.; Song, Y.; Sun, J.; et al. Response of Triticum Vulgare Growth and Nitrogen Allocation to Irrigation Methods and Regimes under Subsoiling Tillage. Agronomy 2024, 14, 858. https://doi.org/10.3390/agronomy14040858
Huang C, Liu X, Gao Y, Chen H, Ma S, Qin A, Zhang Y, Gao Z, Song Y, Sun J, et al. Response of Triticum Vulgare Growth and Nitrogen Allocation to Irrigation Methods and Regimes under Subsoiling Tillage. Agronomy. 2024; 14(4):858. https://doi.org/10.3390/agronomy14040858
Chicago/Turabian StyleHuang, Chao, Xuchen Liu, Yang Gao, Haiqing Chen, Shoutian Ma, Anzhen Qin, Yingying Zhang, Zile Gao, Yan Song, Jinkai Sun, and et al. 2024. "Response of Triticum Vulgare Growth and Nitrogen Allocation to Irrigation Methods and Regimes under Subsoiling Tillage" Agronomy 14, no. 4: 858. https://doi.org/10.3390/agronomy14040858
APA StyleHuang, C., Liu, X., Gao, Y., Chen, H., Ma, S., Qin, A., Zhang, Y., Gao, Z., Song, Y., Sun, J., & Liu, Z. (2024). Response of Triticum Vulgare Growth and Nitrogen Allocation to Irrigation Methods and Regimes under Subsoiling Tillage. Agronomy, 14(4), 858. https://doi.org/10.3390/agronomy14040858

