The Impact of Magnesium on the Growth, Physiology and Quality of Tea (Camellia sinensis L.) Plants under Acid Stress
Abstract
1. Introduction
2. Materials and Methods
2.1. Plant Culture and Mg Treatments
2.2. Sample Preparation
2.3. Determination of Chlorophyll Concentration and Root Viability
2.4. Antioxidant Enzyme and Malondialdehyde Determination
2.5. Nutrient Content Measurements
2.6. Tea Quality Determination
2.7. Statistical Analysis
3. Results
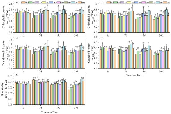
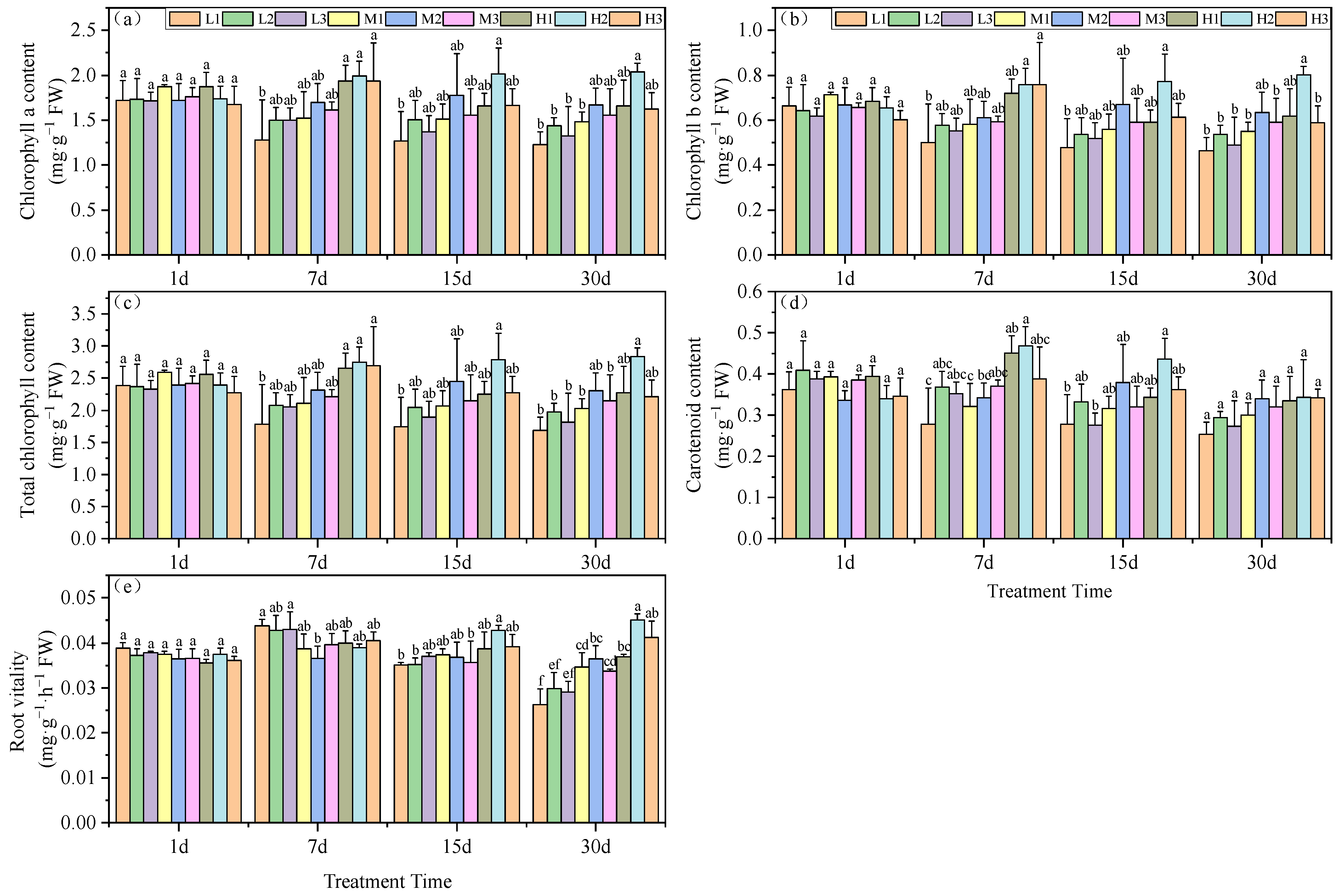
3.1. Effects of Mg Nutrition and pH on Overall Plant Health
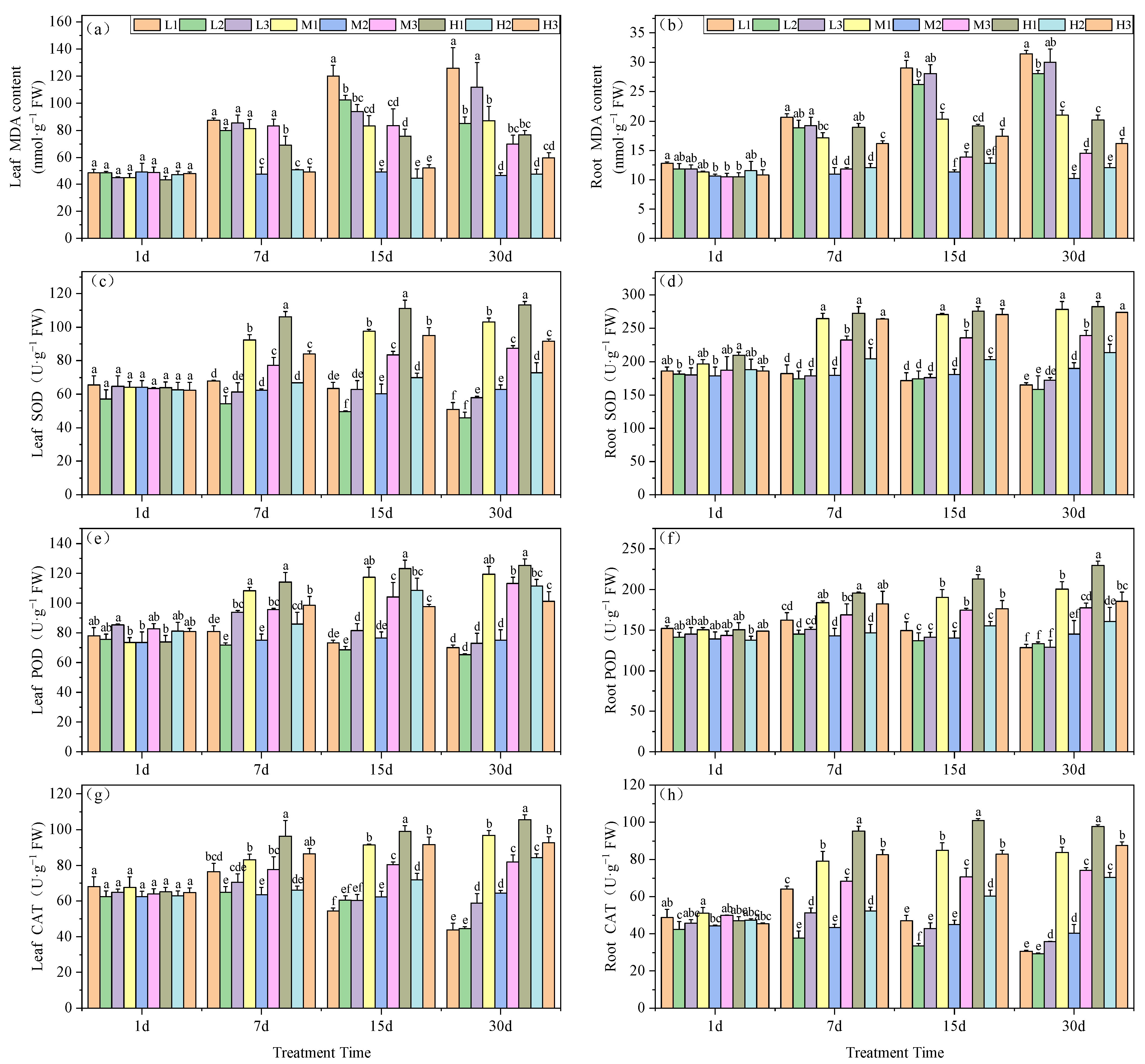
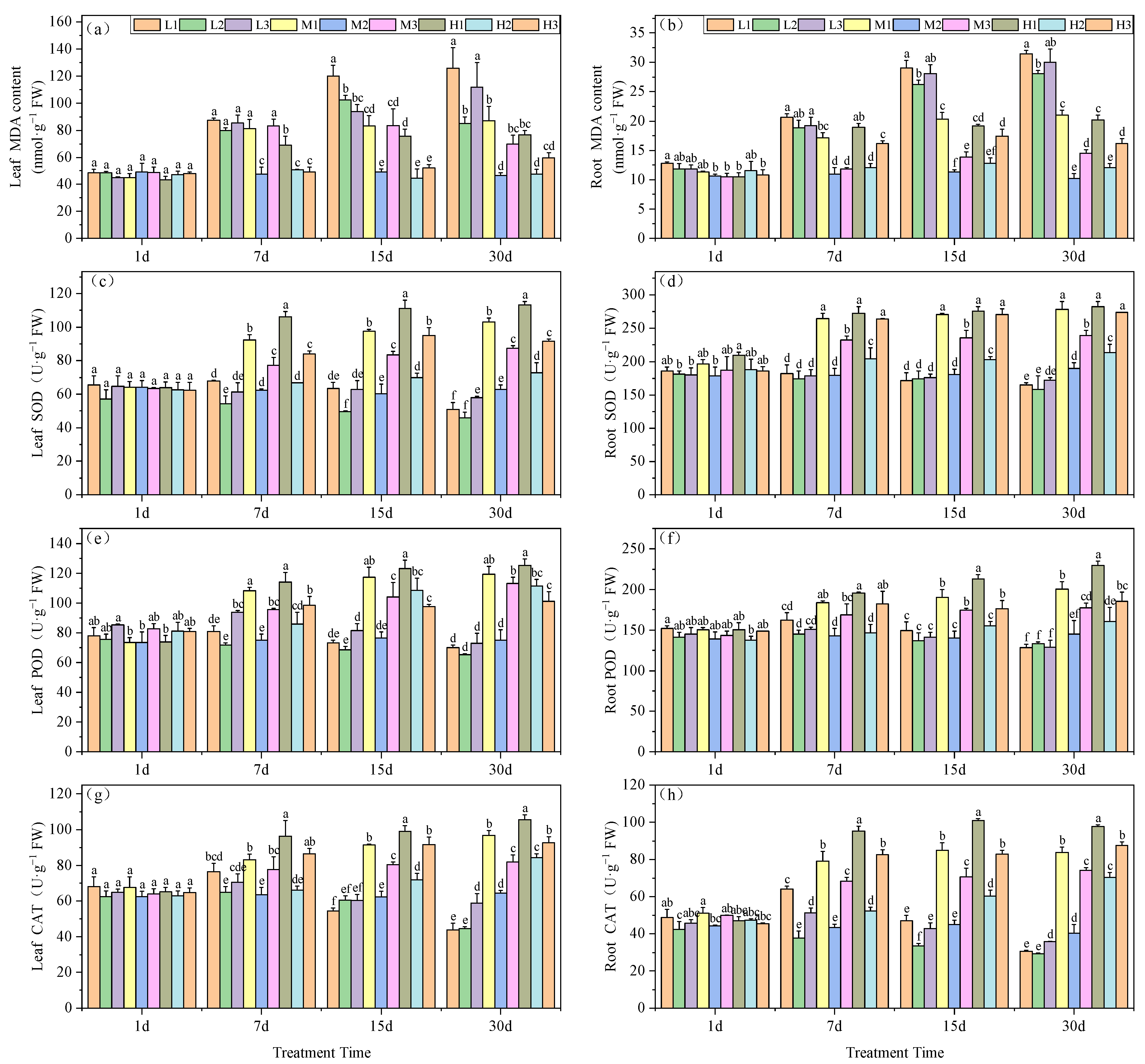
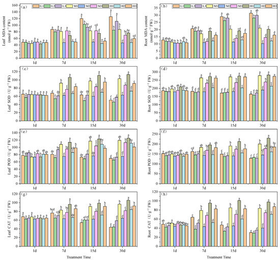
3.2. Mg and pH Effects on Plant Oxidative Stress Indicators
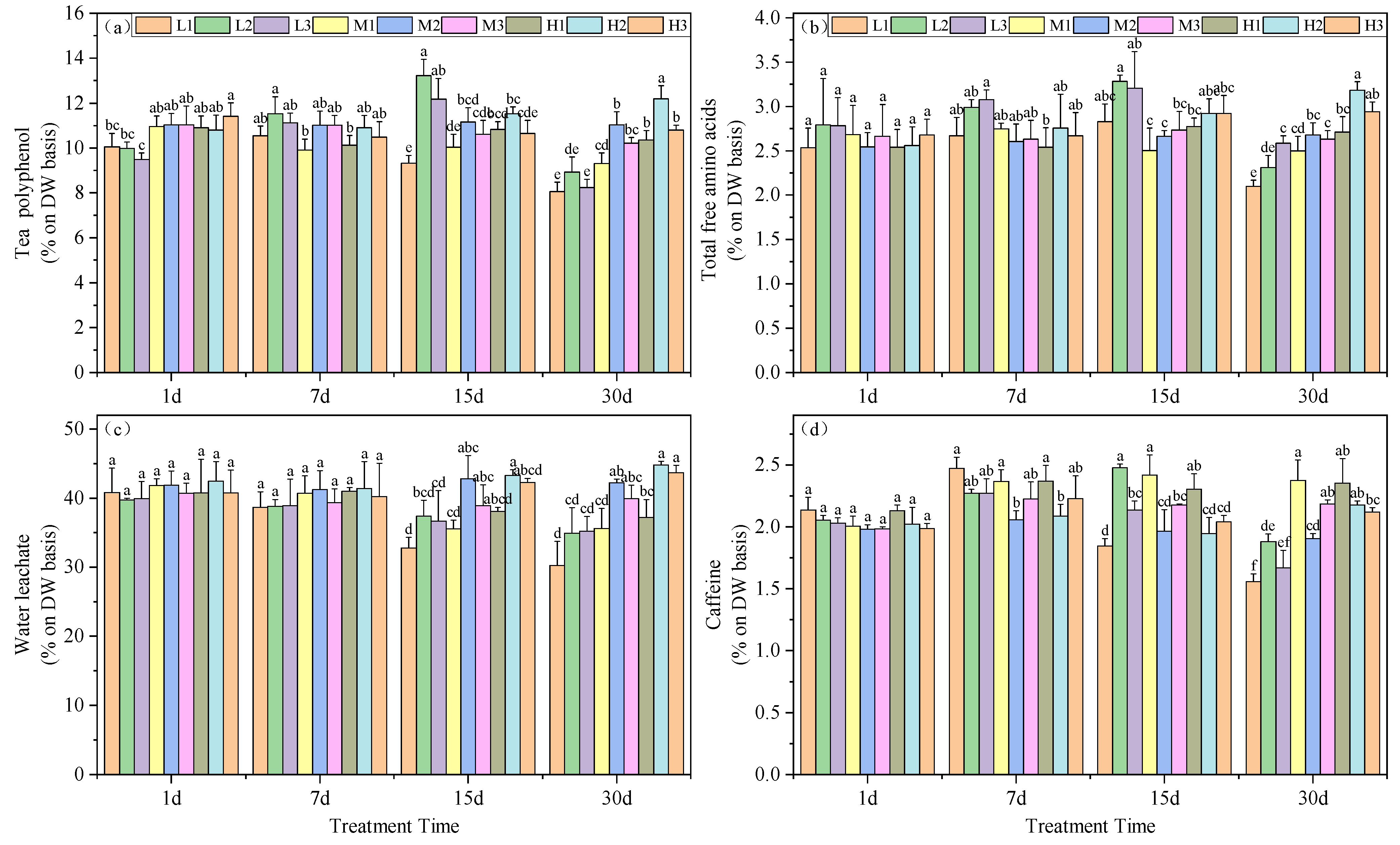
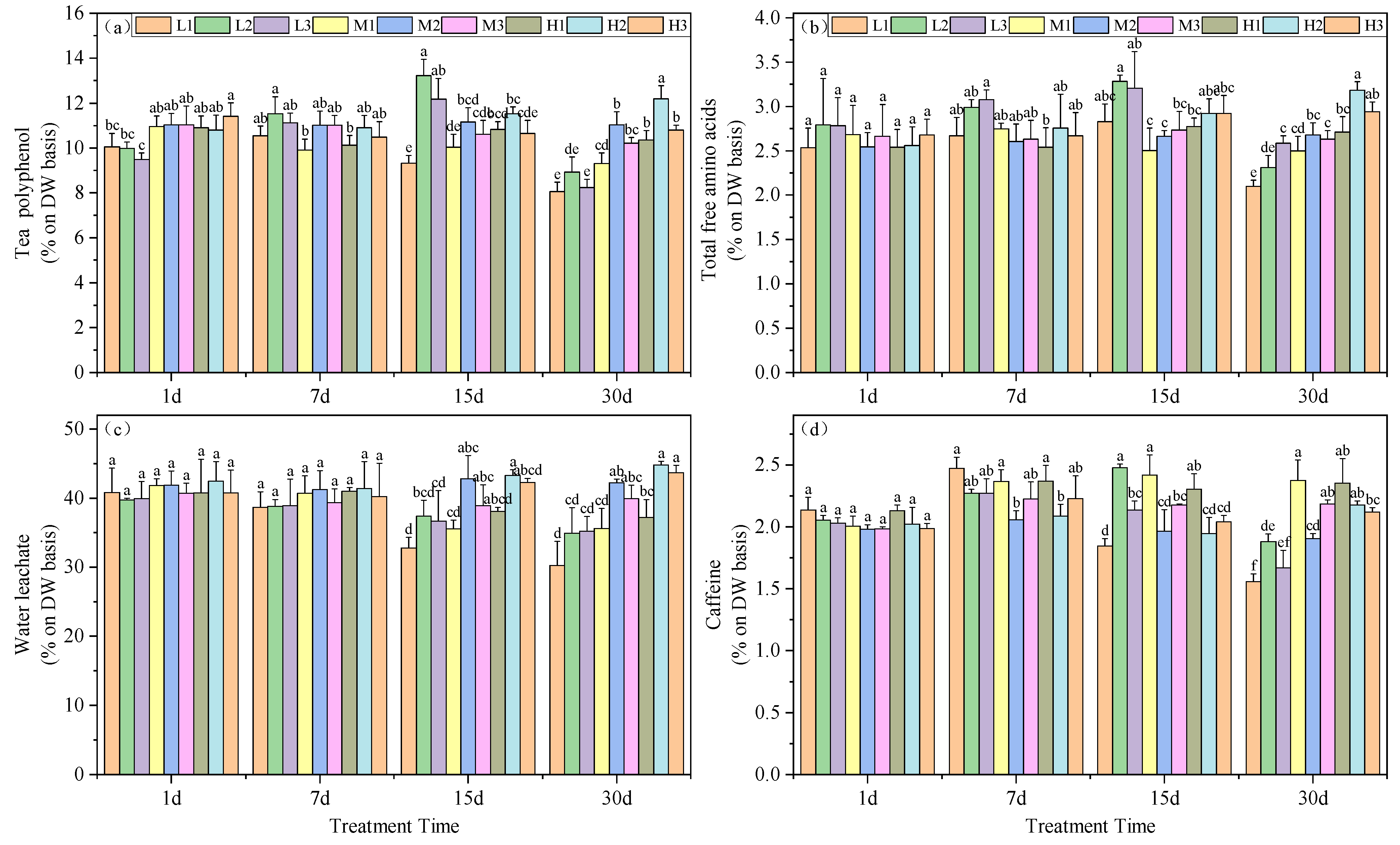
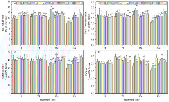
3.3. Effects of Mg Nutrition on Tea Quality under Acid Stress
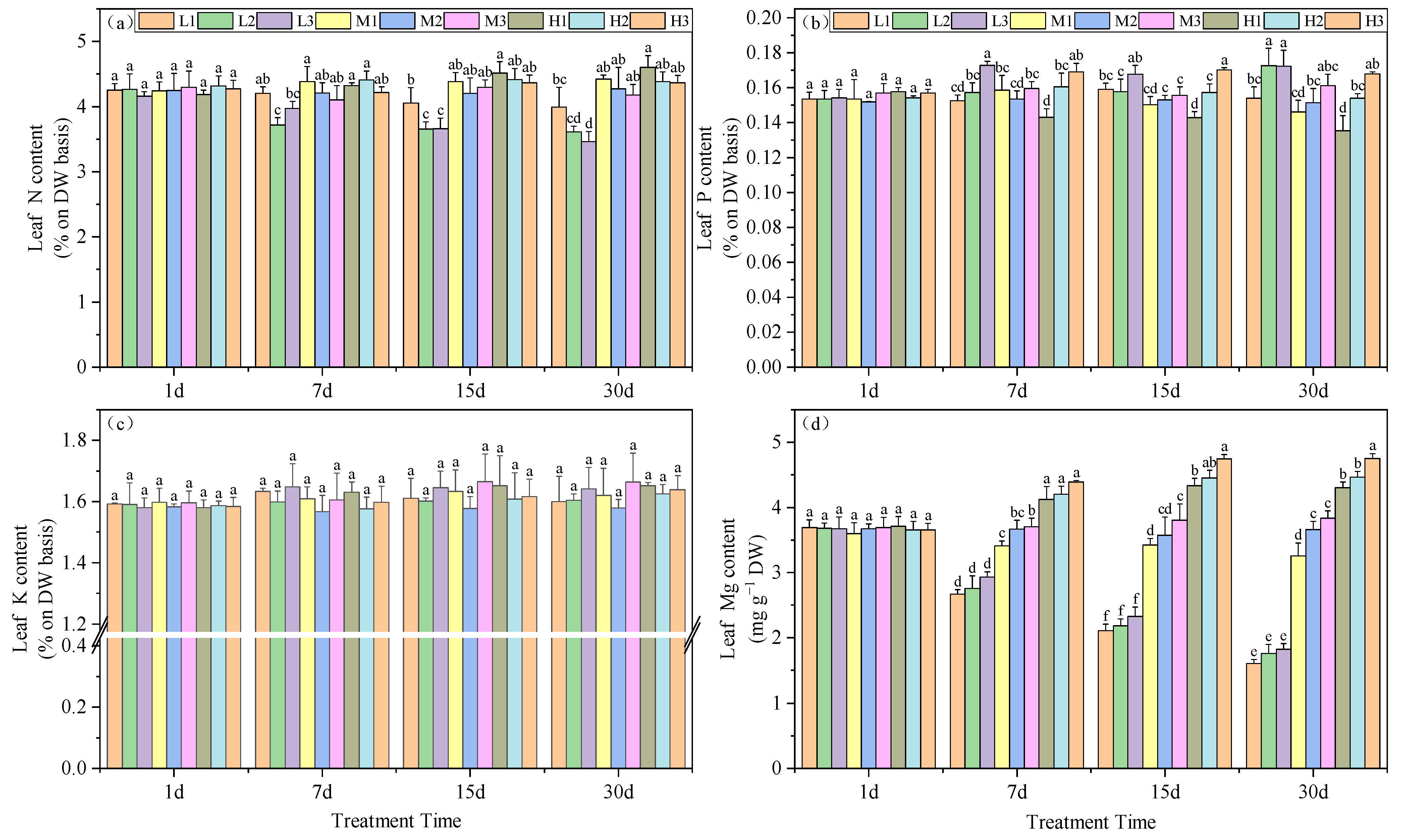
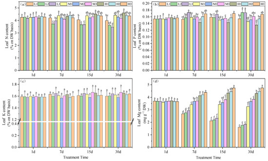
3.4. Nutrient Accumulation in Tea Leaves
4. Discussion
4.1. Chlorophyll and Root Vitality in Tea Seedlings
4.2. Oxidative Stress
4.3. Tea Quality and Nutrient Uptake in Tea Seedlings
5. Conclusions
Author Contributions
Funding
Data Availability Statement
Conflicts of Interest
References
- Li, S.; Li, H.; Yang, C.; Wang, Y.; Xue, H.; Niu, Y. Rates of soil acidification in tea plantations and possible causes. Agric. Ecosyst. Environ. 2016, 233, 60–66. [Google Scholar] [CrossRef]
- Ye, J.-H.; Ye, Y.; Yin, J.-F.; Jin, J.; Liang, Y.-R.; Liu, R.-Y.; Tang, P.; Xu, Y.-Q. Bitterness and astringency of tea leaves and products: Formation mechanism and reducing strategies. Trends Food Sci. Technol. 2022, 123, 130–143. [Google Scholar] [CrossRef]
- Dai, W.; Lou, N.; Xie, D.; Hu, Z.; Song, H.; Lu, M.; Shang, D.; Wu, W.; Peng, J.; Yin, P.; et al. N-Ethyl-2-Pyrrolidinone-Substituted Flavan-3-Ols with Anti-inflammatory Activity in Lipopolysaccharide-Stimulated Macrophages Are Storage-Related Marker Compounds for Green Tea. J. Agric. Food Chem. 2020, 68, 12164–12172. [Google Scholar] [CrossRef] [PubMed]
- Peng, Y.; Wenyan, H.; Xin, L.; Liping, Z.; Lan, Z. Present Situation and Analysis of Soil Acidification in Chinese Tea Garden. Sci. Agric. Sin. 2020, 53, 795–801. (In Chinese) [Google Scholar]
- Ruan, J.; Ma, L.; Yi, X.; Shi, Y.; Ni, K.; Liu, M.; Zhang, Q. Integrated Nutrient Management in Tea Plantation to Reduce Chemical Fertilizer and Increase Nutrient Use Efficiency. J. Tea Sci. 2020, 40, 85–95. (In Chinese) [Google Scholar]
- Ruan, J.; Wong, M.H. Accumulation of Fluoride and Aluminium Related to Different Varieties of Tea Plant. Environ. Geochem. Health 2001, 23, 53–63. [Google Scholar] [CrossRef]
- Wang, H.; Xu, R.-K.; Wang, N.; Li, X.-H. Soil Acidification of Alfisols as Influenced by Tea Cultivation in Eastern China. Pedosphere 2010, 20, 799–806. [Google Scholar] [CrossRef]
- Fung, K.F.; Carr, H.P.; Zhang, J.; Wong, M.H. Growth and nutrient uptake of tea under different aluminium concentrations. J. Sci. Food Agric. 2008, 88, 1582–1591. [Google Scholar] [CrossRef]
- De Vries, W.; Posch, M.; Kämäri, J. Simulation of the long-term soil response to acid deposition in various buffer ranges. Water Air Soil Pollut. 1989, 48, 349–390. [Google Scholar] [CrossRef]
- Yan, P.; Wu, L.; Wang, D.; Fu, J.; Shen, C.; Li, X.; Zhang, L.; Zhang, L.; Fan, L.; Wenyan, H. Soil acidification in Chinese tea plantations. Sci. Total Environ. 2020, 715, 136963. [Google Scholar] [CrossRef] [PubMed]
- Yang, X.-D.; Ni, K.; Shi, Y.-Z.; Yi, X.-Y.; Zhang, Q.-F.; Fang, L.; Ma, L.-F.; Ruan, J. Effects of long-term nitrogen application on soil acidification and solution chemistry of a tea plantation in China. Agric. Ecosyst. Environ. 2018, 252, 74–82. [Google Scholar] [CrossRef]
- Rajonandraina, T.; Ueda, Y.; Wissuwa, M.; Kirk, G.J.D.; Rakotoson, T.; Manwaring, H.; Andriamananjara, A.; Razafimbelo, T. Magnesium supply alleviates iron toxicity-induced leaf bronzing in rice through exclusion and tissue-tolerance mechanisms. Front. Plant Sci. 2023, 14, 1213456. [Google Scholar] [CrossRef] [PubMed]
- Cakmak, I.; Kirkby, E.A. Role of magnesium in carbon partitioning and alleviating photooxidative damage. Physiol. Plant. 2008, 133, 692–704. [Google Scholar] [CrossRef] [PubMed]
- Guo, W.; Nazim, H.; Liang, Z.; Yang, D. Magnesium deficiency in plants: An urgent problem. Crop J. 2016, 4, 83–91. [Google Scholar] [CrossRef]
- Farhat, N.; Khouni, A.; Zorrig, W.; Smaoui, A.; Abdelly, C.; Rabhi, M. Effects of magnesium deficiency on photosynthesis and carbohydrate partitioning. Acta Physiol. Plant. 2016, 38, 145. [Google Scholar] [CrossRef]
- Andersson, I. Catalysis and regulation in Rubisco. J. Exp. Bot. 2008, 59, 1555–1568. [Google Scholar] [CrossRef] [PubMed]
- Fink, S. Microscopic Criteria for the Diagnosis of Abiotic Injuries to Conifer Needles. In Forest Decline in the Atlantic and Pacific Region; Huettl, R.F., Mueller-Dombois, D., Eds.; Springer: Berlin/Heidelberg, Germany, 1993; pp. 175–188. [Google Scholar]
- Puech, L.; Mehne-Jakobs, B. Histology of magnesium-deficient Norway spruce needles influenced by nitrogen source. Tree Physiol. 1997, 17, 301–310. [Google Scholar] [CrossRef] [PubMed]
- Ogura, T.; Kobayashi, N.I.; Hermans, C.; Ichihashi, Y.; Shibata, A.; Shirasu, K.; Aoki, N.; Sugita, R.; Ogawa, T.; Suzuki, H.; et al. Short-Term Magnesium Deficiency Triggers Nutrient Retranslocation in Arabidopsis thaliana. Front. Plant Sci. 2020, 11, 563. [Google Scholar] [CrossRef] [PubMed]
- Hermans, C.; Verbruggen, N. Physiological characterization of Mg deficiency in Arabidopsis thaliana. J. Exp. Bot. 2005, 56, 2153–2161. [Google Scholar] [CrossRef] [PubMed]
- Gill, S.S.; Tuteja, N. Reactive oxygen species and antioxidant machinery in abiotic stress tolerance in crop plants. Plant Physiol. Biochem. 2010, 48, 909–930. [Google Scholar] [CrossRef]
- Marutani, Y.; Yamauchi, Y.; Kimura, Y.; Mizutani, M.; Sugimoto, Y. Damage to photosystem II due to heat stress without light-driven electron flow: Involvement of enhanced introduction of reducing power into thylakoid membranes. Planta 2012, 236, 753–761. [Google Scholar] [CrossRef]
- Queval, G.; Foyer, C.H. Redox regulation of photosynthetic gene expression. Proc. R. Soc. B-Biol. Sci. 2012, 367, 3475–3485. [Google Scholar] [CrossRef] [PubMed]
- Quiles, M.J.C.; López, N.I. Photoinhibition of photosystems I and II induced by exposure to high light intensity during oat plant growth: Effects on the chloroplast NADH dehydrogenase complex. Plant Sci. 2004, 166, 815–823. [Google Scholar] [CrossRef]
- Mittler, R. Oxidative stress, antioxidants and stress tolerance. Trends Plant Sci. 2002, 7, 405–410. [Google Scholar] [CrossRef] [PubMed]
- Schieber, M.; Chandel Navdeep, S. ROS Function in Redox Signaling and Oxidative Stress. Curr. Biol. 2014, 24, 453–462. [Google Scholar] [CrossRef] [PubMed]
- Choudhary, A.; Kumar, A.; Kaur, N. ROS and oxidative burst: Roots in plant development. Plant Divers. 2019, 42, 33–43. [Google Scholar] [CrossRef] [PubMed]
- Candan, N.; Tarhan, L. Relationship among chlorophyll-carotenoid content, antioxidant enzyme activities and lipid peroxidation levels by Mg2+ deficiency in the Mentha pulegium leaves. Plant Physiol. Biochem. 2003, 41, 35–40. [Google Scholar] [CrossRef]
- Li, J.; Li, Q.H.; Zhang, X.Y.; Zhang, L.Y.; Zhao, P.L.; Wen, T.; Zhang, J.Q.; Xu, W.L.; Guo, F.; Zhao, H.; et al. Exploring the Effects of Magnesium Deficiency on the Quality Constituents of Hydroponic-Cultivated Tea (Camellia sinensis L.) Leaves. J. Agri. Food Chem. 2021, 69, 14278–14286. [Google Scholar] [CrossRef] [PubMed]
- Wang, Q.; Liang, X.; Dong, Y.; Xu, L.; Zhang, X.; Kong, J.; Liu, S. Effects of Exogenous Salicylic Acid and Nitric Oxide on Physiological Characteristics of Perennial Ryegrass Under Cadmium Stress. J. Plant Growth Regul. 2013, 32, 721–731. [Google Scholar] [CrossRef]
- Batista dos Santos Espinelli Junior, J.; von Brixen Montzel Duarte da Silva, G.; Branco Bastos, R.; Badiale Furlong, E.; Carapelli, R. Evaluation of the influence of cultivation on the total magnesium concentration and infusion extractability in commercial arabica coffee. Food Chem. 2020, 327, 127012. [Google Scholar] [CrossRef] [PubMed]
- GB/T 8305-2013; Tea-Determination of Water Extracts Content. General Administration of Quality Supervision, Inspection and Quarantine of the People’s Republic of China:: Beijing, China, 2013.
- GB/T 8312-2013; Tea-Determination of Caffeine Content. General Administration of Quality Supervision, Inspection and Quarantine of the People’s Republic of China: Beijing, China, 2013.
- GB/T 8314-2013; Tea-Determination of Free Amino Acids Content. General Administration of Quality Supervision, Inspection and Quarantine of the People’s Republic of China: Beijing, China, 2013.
- Beale, S.I. Enzymes of chlorophyll biosynthesis. Photosynth. Res. 1999, 60, 43–73. [Google Scholar] [CrossRef]
- Tanoi, K.; Kobayashi, N.I. Leaf Senescence by Magnesium Deficiency. Plants 2015, 4, 756–772. [Google Scholar] [CrossRef] [PubMed]
- Wang, H.F.; Zhu, Y.H.; Sun, H.J. Determination of drought tolerance using root activities in Robinia pseudoacacia ‘Idaho’ transformed with mtl-D gene. For. Ecosyst. 2006, 8, 75–81. [Google Scholar]
- Bhadoria, P.S.; El Dessougi, H.; Liebersbach, H.; Claassen, N. Phosphorus uptake kinetics, size of root system and growth of maize and groundnut in solution culture. Plant Soil 2004, 262, 327–333. [Google Scholar] [CrossRef]
- Lv, B.-S.; Li, X.-W.; Ma, H.-Y.; Yang, S.; Wei, L.-X.; Jie, C.-J.; Liang, Z.-W. Differences in Growth and Physiology of Rice in Response to Different Saline-Alkaline Stress Factors. Agron. J. 2013, 105, 1119–1128. [Google Scholar] [CrossRef]
- Dai, J.; Duan, L.; Dong, H. Comparative Effect of Nitrogen Forms on Nitrogen Uptake and Cotton Growth Under Salinity Stress. J. Plant Nutr. 2015, 38, 1530–1543. [Google Scholar] [CrossRef]
- Zhang, Z.X.; Fang, Z. Effects of different pH on the growth and development of Mimosa pudica in hydroponics. J. Cap. Norm. Univ. (Nat. Sci. Ed.) 2008, 29, 43–45. (In Chinese) [Google Scholar]
- Deng, N.; Zhu, H.; Xiong, J.; Gong, S.; Xie, K.; Shang, Q.; Yang, X. Magnesium deficiency stress in rice can be alleviated by partial nitrate nutrition supply. Plant Physiol. Biochem. 2023, 196, 463–471. [Google Scholar] [CrossRef] [PubMed]
- Zhang, M.R. Generation of Reactive Oxygen Species and Their Functions and Deleterious Effects in Plants. Acta Bot. Boreali-Occident. Sin. 2014, 34, 1916–1926. (In Chinese) [Google Scholar]
- Foyer, C.H.; Noctor, G. Oxygen processing in photosynthesis: Regulation and signalling. New Phytol. 2000, 146, 359–388. [Google Scholar] [CrossRef]
- Zhang, F.; Du, P.; Song, C.; Wu, Q.-S. Alleviation of Mycorrhiza to Magnesium Deficiency in Trifoliate Orange: Changes in Physiological Activity. Emir. J. Food Agric. 2015, 27, 763–769. [Google Scholar] [CrossRef]
- Rehman, H.u.; Alharby, H.F.; Alzahrani, Y.; Rady, M.M. Magnesium and organic biostimulant integrative application induces physiological and biochemical changes in sunflower plants and its harvested progeny on sandy soil. Plant Physiol. Biochem. 2018, 126, 97–105. [Google Scholar] [CrossRef] [PubMed]
- Ze, Y.; Yin, S.; Ji, Z.; Luo, L.; Liu, C.; Hong, F. Influences of magnesium deficiency and cerium on antioxidant system of spinach chloroplasts. BioMetals 2009, 22, 941–949. [Google Scholar] [CrossRef] [PubMed]
- Tang, N.; Li, Y.; Chen, L.-S. Magnesium deficiency–induced impairment of photosynthesis in leaves of fruiting Citrus reticulata trees accompanied by up-regulation of antioxidant metabolism to avoid photo-oxidative damage. J. Plant Nutr. Soil Sci. 2012, 175, 784–793. [Google Scholar] [CrossRef]
- Kong, X.; Peng, Z.; Li, D.; Ma, W.; An, R.; Khan, D.; Wang, X.; Liu, Y.; Yang, E.; He, Y.; et al. Magnesium decreases aluminum accumulation and plays a role in protecting maize from aluminum-induced oxidative stress. Plant Soil 2020, 457, 71–81. [Google Scholar] [CrossRef]
- Cakmak, I. Activity of ascorbate-dependent H2O2-scavenging enzymes and leaf chlorosis are enhanced in magnesium- and potassium-deficient leaves, but not in phosphorus-deficient leaves. J. Exp. Bot. 1994, 45, 1259–1266. [Google Scholar] [CrossRef]
- Kumar Tewari, R.; Kumar, P.; Tewari, N.; Srivastava, S.; Sharma, P.N. Macronutrient deficiencies and differential antioxidant responses—Influence on the activity and expression of superoxide dismutase in maize. Plant Sci. 2004, 166, 687–694. [Google Scholar] [CrossRef]
- Ding, Y.-C.; Chang, C.-R.; Luo, W.; Wu, Y.-S.; Ren, X.-L.; Wang, P.; Xu, G.-H. High Potassium Aggravates the Oxidative Stress Inducedy by Magnesium Deflciency in Rice Leaves1 1Project supported by the Dead Sea Works Ltd., Israel. Pedosphere 2008, 18, 316–327. [Google Scholar] [CrossRef]
- Yang, G.-H.; Yang, L.-T.; Jiang, H.-X.; Li, Y.; Wang, P.; Chen, L.-S. Physiological impacts of magnesium-deficiency in Citrus seedlings: Photosynthesis, antioxidant system and carbohydrates. Trees 2012, 26, 1237–1250. [Google Scholar] [CrossRef]
- Jian, R. Status of Mg Availability and the Effects of Mg Application in Tea Fields of Red Soil Area in China. Chin. Agric. Sci. Bull. 2002, 35, 815–820. (In Chinese) [Google Scholar]
- Penna, E.; Zúñiga, M.; Fuenzalida, R.; López-Planes, R. Caracterización sensorial y química de la calidad de TÉS (Thea sinensis) consumidos en Chile. Arch. Latinoam. Nutr. 2005, 55, 93–100. [Google Scholar]
- Chen, P.-A.; Lin, S.-Y.; Liu, C.-F.; Su, Y.-S.; Cheng, H.-Y.; Shiau, J.-H.; Chen, I.-Z. Correlation between nitrogen application to tea flushes and quality of green and black teas. Sci. Hortic. 2015, 181, 102–107. [Google Scholar] [CrossRef]
- Chen, M.; Tang, D.; Gong, S.; Yang, J.; Zhang, Y. Quantitative analysis and correlation evaluation on taste quality of green tea. J. Zhejiang Univ. (Agric. Life Sci.) 2014, 40, 670–678. [Google Scholar]
- Maillard, A.; Etienne, P.; Diquélou, S.; Trouverie, J.; Billard, V.; Yvin, J.-C.; Ourry, A. Nutrient deficiencies modify the ionomic composition of plant tissues: A focus on cross-talk between molybdenum and other nutrients in Brassica napus. J. Exp. Bot. 2016, 67, 5631–5641. [Google Scholar] [CrossRef] [PubMed]
- Hannaway, D.B.; Bush, L.P.; Leggett, J.E. Mineral composition of kenhy tall fescue as affected by nutrient solution concentrations of Mg and K. J. Plant Nutr. 1982, 5, 137–151. [Google Scholar] [CrossRef]
- Kobayashi, Y.; Kobayashi, Y.; Watanabe, T.; Shaff, J.; Ohta, H.; Kochian, L.; Wagatsuma, T.; Kinraide, T.; Koyama, H. Molecular and Physiological Analysis of Al3+ and H+ Rhizotoxicities at Moderately Acidic Conditions. Plant Physiol. 2013, 163, 180–192. [Google Scholar] [CrossRef] [PubMed]




| pH | Mg2+ Concentrations (mM) | ||
|---|---|---|---|
| 0.01 | 0.4 | 0.8 | |
| 3.5 | L1 | M1 | H1 |
| 5.0 | L2 | M2 | H2 |
| 6.5 | L3 | M3 | H3 |
| Treatment | Fresh Weight (g) * | |||
|---|---|---|---|---|
| 1 d | 7 d | 15 d | 30 d | |
| L1 | 4.533 ± 0.571 a | 4.500 ± 0.573 a | 4.477 ± 0.655 a | 4.453 ± 0.118 a |
| L2 | 4.530 ± 0.656 a | 4.527 ± 0.792 a | 4.497 ± 0.865 a | 4.500 ± 0.866 a |
| L3 | 4.533 ± 0.853 a | 4.523 ± 0.591 a | 4.493 ± 0.868 a | 4.513 ± 0.927 a |
| M1 | 4.513 ± 0.637 a | 4.527 ± 0.554 a | 4.517 ± 0.863 a | 4.510 ± 0.857 a |
| M2 | 4.510 ± 0.997 a | 4.537 ± 0.486 a | 4.550 ± 0.631 a | 4.570 ± 1.003 a |
| M3 | 4.520 ± 0.612 a | 4.533 ± 0.693 a | 4.523 ± 0.761 a | 4.553 ± 0.901 a |
| H1 | 4.530 ± 0.530 a | 4.534 ± 0.510 a | 4.543 ± 0.184 a | 4.610 ± 0.799 a |
| H2 | 4.533 ± 0.156 a | 4.573 ± 0.162 a | 4.613 ± 1.073 a | 4.660 ± 0.802 a |
| H3 | 4.527 ± 0.667 a | 4.540 ± 0.932 a | 4.580 ± 0.501 a | 4.617 ± 0.489 a |
| Treatment | Dry Weight (g) * | |||
|---|---|---|---|---|
| 1 d | 7 d | 15 d | 30 d | |
| L1 | 1.832 ± 0.059 a | 1.791 ± 0.070 a | 1.789 ± 0.147 a | 1.770 ± 0.095 a |
| L2 | 1.826 ± 0.003 a | 1.814 ± 0.026 a | 1.805 ± 0.135 a | 1.788 ± 0.089 a |
| L3 | 1.831 ± 0.054 a | 1.800 ± 0.046 a | 1.799 ± 0.226 a | 1.796 ± 0.080 a |
| M1 | 1.820 ± 0.099 a | 1.813 ± 0.176 a | 1.812 ± 0.215 a | 1.800 ± 0.074 a |
| M2 | 1.815 ± 0.106 a | 1.811 ± 0.380 a | 1.834 ± 0.159 a | 1.835 ± 0.199 a |
| M3 | 1.821 ± 0.021 a | 1.809 ± 0.171 a | 1.819 ± 0.092 a | 1.822 ± 0.415 a |
| H1 | 1.825 ± 0.100 a | 1.813 ± 0.242 a | 1.828 ± 0.155 a | 1.846 ± 0.204 a |
| H2 | 1.827 ± 0.138 a | 1.840 ± 0.108 a | 1.848 ± 0.202 a | 1.870 ± 0.074 a |
| H3 | 1.825 ± 0.078 a | 1.818 ± 0.143 a | 1.836 ± 0.124 a | 1.852 ± 0.145 a |
Disclaimer/Publisher’s Note: The statements, opinions and data contained in all publications are solely those of the individual author(s) and contributor(s) and not of MDPI and/or the editor(s). MDPI and/or the editor(s) disclaim responsibility for any injury to people or property resulting from any ideas, methods, instructions or products referred to in the content. |
© 2024 by the authors. Licensee MDPI, Basel, Switzerland. This article is an open access article distributed under the terms and conditions of the Creative Commons Attribution (CC BY) license (https://creativecommons.org/licenses/by/4.0/).
Share and Cite
Lv, X.; Kong, H.; Luo, Y.; Dong, D.; Liu, W.; Wu, D.; Ye, Z.; Ma, J.; Liu, D. The Impact of Magnesium on the Growth, Physiology and Quality of Tea (Camellia sinensis L.) Plants under Acid Stress. Agronomy 2024, 14, 767. https://doi.org/10.3390/agronomy14040767
Lv X, Kong H, Luo Y, Dong D, Liu W, Wu D, Ye Z, Ma J, Liu D. The Impact of Magnesium on the Growth, Physiology and Quality of Tea (Camellia sinensis L.) Plants under Acid Stress. Agronomy. 2024; 14(4):767. https://doi.org/10.3390/agronomy14040767
Chicago/Turabian StyleLv, Xinhang, Haimin Kong, Yubo Luo, Dubin Dong, Wenbin Liu, Dongtao Wu, Zhengqian Ye, Jiawei Ma, and Dan Liu. 2024. "The Impact of Magnesium on the Growth, Physiology and Quality of Tea (Camellia sinensis L.) Plants under Acid Stress" Agronomy 14, no. 4: 767. https://doi.org/10.3390/agronomy14040767
APA StyleLv, X., Kong, H., Luo, Y., Dong, D., Liu, W., Wu, D., Ye, Z., Ma, J., & Liu, D. (2024). The Impact of Magnesium on the Growth, Physiology and Quality of Tea (Camellia sinensis L.) Plants under Acid Stress. Agronomy, 14(4), 767. https://doi.org/10.3390/agronomy14040767
