Impact of Winter Cover Crops on Total and Microbial Carbon and Nitrogen in Black Soil
Abstract
1. Introduction
2. Materials and Methods
2.1. Location of the Field
2.2. Experimental Design and Sample Collection
2.3. Indicator Measurements and Data Processing
3. Results
3.1. The Impact of Cover Crops on SOC and SMBC
3.2. The Impact of Cover Crops on TN and SMBN
3.3. The Impact of Cover Crops on qMBC and qMBN
3.4. The Impact of Cover Crops on SOC/TN and SMBC/SMBN
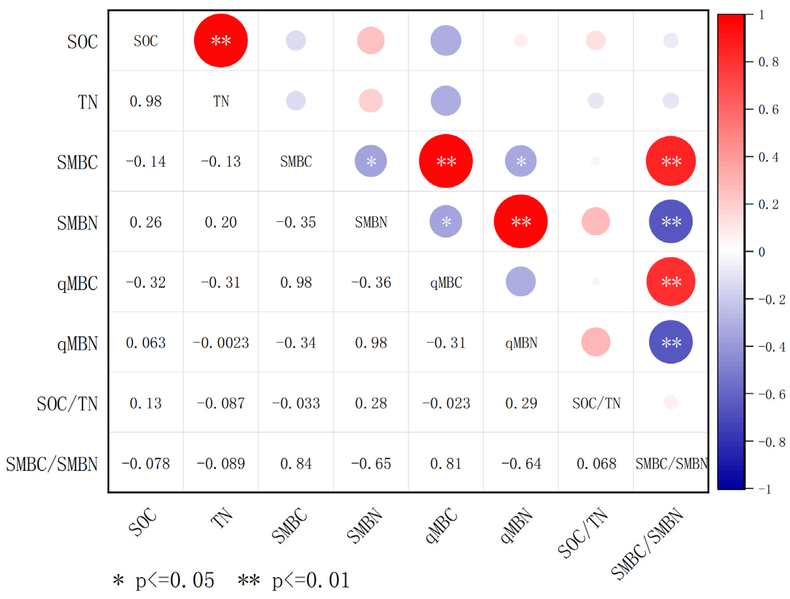
3.5. Correlation Analysis of Carbon and Nitrogen Related Indicators
3.6. RDA between Carbon, Nitrogen, and Influence Factors
4. Discussion
4.1. Responses of Soil Microbial Biomass C and N Content of Winter Cover Crops to Seasonal Freeze-thaw Was Greater Than Total Soil C and N
4.2. The Primary Factors Driving Soil Total and Microbial C and N Change Were Inconsistent
4.3. Triticum aestivum L. Showed the Best Performance
5. Conclusions
Author Contributions
Funding
Data Availability Statement
Conflicts of Interest
Abbreviations
References
- Li, R.; Xie, R.; Luo, Y.; Sui, P.; Zheng, H.; Ming, B.; Wang, H.; Liu, W.; Zheng, J.; Li, S. The effects of different conservation tillage methods on maize growth and yield in the typical black soil region. Chin. J. Eco. Agric. 2024, 32, 71–82. [Google Scholar] [CrossRef]
- Zhang, Z.; Yin, Z.; Yu, P.; Qi, Z.; Wei, Y.; Li, A. Effects of Soil and Water Conservation Measures on Soil Physical and Chemical Properties in Slope Farmland in Black Soil Region. Trans. Chin. Soc. Agric. Mach. 2023, 55, 282–293. (in Chinese) [Google Scholar] [CrossRef]
- Ye, Y.; Fang, X.Q.; Ren, Y.Y.; Zhang, X.Z.; Chen, L. Cropland cover change in Northeast China during the past 300 years. Sci. China Ser. D Earth Sci. 2009, 52, 1172–1182. [Google Scholar] [CrossRef]
- Zhao, Z.H.; Zhang, C.Z.; Wang, H.Y.; Li, F.; Pan, H.; Yang, Q.; Li, J.P.; Zhang, J.B. The Effects of Natural Humus Material Amendment on Soil Organic Matter and Integrated Fertility in the Black Soil of Northeast China: Preliminary Results. Agronomy 2023, 13, 794. [Google Scholar] [CrossRef]
- Wang, S.; Zhao, Y.; Wang, J.; Gao, J.; Zhu, P.; Cui, X.A.; Xu, M.; Zhou, B.; Lu, C. Estimation of soil organic carbon losses and counter approaches from organic materials in black soils of northeastern China. J. Soils Sediments 2020, 20, 1241–1252. [Google Scholar] [CrossRef]
- Ding, F.; Hu, Y.L.; Li, L.J.; Li, A.; Shi, S.W.; Lian, P.Y.; Zeng, D.H. Changes in soil organic carbon and total nitrogen stocks after conversion of meadow to cropland in Northeast China. Plant Soil 2013, 373, 659–672. [Google Scholar] [CrossRef]
- Hu, Q.Y.; Liu, T.Q.; Ding, H.N.; Li, C.F.; Tan, W.F.; Yu, M.; Liu, J.; Cao, C.G. Effects of nitrogen fertilizer on soil microbial residues and their contribution to soil organic carbon and total nitrogen in a rice-wheat system. Appl. Soil Ecol. 2023, 181, 104648. [Google Scholar] [CrossRef]
- Liu, H.; Wu, M.L.; Gao, H.; Gao, J.H.; Wang, S.J. Application of 15N tracing and bioinformatics for estimating microbial-mediated nitrogen cycle processes in oil-contaminated soils. Environ. Res. 2023, 217, 114799. [Google Scholar] [CrossRef]
- Nair, A.; Ngouajio, M. Soil microbial biomass, functional microbial diversity, and nematode community structure as affected by cover crops and compost in an organic vegetable production system. Appl. Soil Ecol. 2012, 58, 45–55. [Google Scholar] [CrossRef]
- Gutiérrez-Girón, A.; Rubio, A.; Gavilán, R. Temporal variation in microbial and plant biomass during summer in a Mediterranean high-mountain dry grassland. Plant Soil 2014, 374, 803–813. [Google Scholar] [CrossRef]
- Jiang, L.Z.; Ushio, M.; Kitayama, K. Changes of soil chemical properties, microbial biomass and enzymatic activities along a gradient of forest degradation in logged over tropical rain forests, Borneo. Plant Soil 2023, 485, 525–536. [Google Scholar] [CrossRef]
- Hua, B.; Li, Z.W.; Gao, W.K.; Feng, H.L.; Chen, N.; Li, J.Y.; Ji, X.M.; Zhang, L.; Wu, Z.Y.; Yan, S.; et al. Soil amendment in plastic greenhouse using modified biochar: Soil bacterial diversity responses and microbial biomass carbon and nitrogen. Biotechnol. Lett. 2021, 43, 655–666. [Google Scholar] [CrossRef] [PubMed]
- Yu, Z.-Y.; Chen, F.-S.; Zeng, D.-H.; Zhao, Q.; Chen, G.-S. Soil Inorganic Nitrogen and Microbial Biomass Carbon and Nitrogen Under Pine Plantations in Zhanggutai Sandy Soil *1 *1 Project supported by the National Key Basic Research Program (973 Program) of China (No. 2007CB106803), the Knowledge Innovation Program of the Chinese Academy of Sciences (No. KZCX1-YW-08-02), and the Key Laboratory of Terrestrial Ecological Process and Regional Ecological Safety in Liaoning Province, China (No. 06ZDS212SS). Pedosphere 2008, 18, 775–784. [Google Scholar] [CrossRef]
- Ji, H.N.; Yuan, G.S.; Liu, Y.; Yu, J.Z.; Li, S.H.; Wu, Q.F.; Qin, H.; Chen, J.H. Short-Term Effects of Bamboo Biochar and Oyster Shell Powder on Soil Organic Carbon Fraction, Microbial Respiration, and Enzymatic Stoichiometry in a Lei Bamboo Plantation. Forests 2023, 14, 853. [Google Scholar] [CrossRef]
- Gajda, A.M.; Czyz, E.A.; Klimkowicz-Pawlas, A. Effects of Different Tillage Intensities on Physicochemical and Microbial Properties of a Eutric Fluvisol Soil. Agronomy 2021, 11, 1497. [Google Scholar] [CrossRef]
- Cao, R.; Yang, W.Q.; Chang, C.H.; Wang, Z.; Wang, Q.; Jiang, Y.R.; Li, H.; Tan, B. Soil Microbial Biomass Carbon and Freeze-Thaw Cycles Drive Seasonal Changes in Soil Microbial Quotient Along a Steep Altitudinal Gradient. J. Geophys. Res. Biogeosci. 2021, 126, e2021JG006325. [Google Scholar] [CrossRef]
- Melero, S.; López-Garrido, R.; Murillo, J.M.; Moreno, F. Conservation tillage: Short- and long-term effects on soil carbon fractions and enzymatic activities under Mediterranean conditions. Soil Tillage Res. 2009, 104, 292–298. [Google Scholar] [CrossRef]
- Gao, D.C.; Bai, E.; Wang, S.Y.; Zong, S.W.; Liu, Z.P.; Fan, X.L.; Zhao, C.H.; Hagedorn, F. Three-dimensional mapping of carbon, nitrogen, and phosphorus in soil microbial biomass and their stoichiometry at the global scale. Glob. Change Biol. 2022, 28, 6728–6740. [Google Scholar] [CrossRef]
- Chen, L.; Zhang, J.B.; Zhao, B.Z.; Yan, P.; Zhou, G.X.; Xin, X.L. Effects of straw amendment and moisture on microbial communities in Chinese fluvo-aquic soil. J. Soils Sediments 2014, 14, 1829–1840. [Google Scholar] [CrossRef]
- Van Eerd, L.L.; Chahal, I.; Peng, Y.J.; Awrey, J.C. Influence of cover crops at the four spheres: A review of ecosystem services, potential barriers, and future directions for North America. Sci. Total Environ. 2023, 858, 159990. [Google Scholar] [CrossRef]
- Ghimire, R.; Ghimire, B.; Mesbah, A.O.; Sainju, U.M.; Idowu, O.J. Soil Health Response of Cover Crops in Winter Wheat-Fallow System. Agron. J. 2019, 111, 2108–2115. [Google Scholar] [CrossRef]
- Fan, Y.; Xin, X.; Zhong, X.; Yang, J.; Zhu, A.; Zou, H. Effects of Intercropping of Maize and Legume Cover Crops on Enzyme Activities and Fungal Community Characteristics in Fluvo-Aquic Soil. Soils 2021, 53, 1236–1243. (in Chinese) [Google Scholar] [CrossRef]
- O’Farrell, C.; Forge, T.; Hart, M.M. Using Brassica Cover Crops as Living Mulch in a Vineyard, Changes over One Growing Season. J. Int. J. Plant Biol. 2023, 14, 1105–1116. [Google Scholar] [CrossRef]
- Muhammad, I.; Wang, J.; Sainju, U.M.; Zhang, S.H.; Zhao, F.Z.; Khan, A. Cover cropping enhances soil microbial biomass and affects microbial community structure: A meta-analysis. Geoderma 2021, 381, 114696. [Google Scholar] [CrossRef]
- Sui, X.; Huo, H.-N.; Bao, X.-L.; He, H.-B.; Zhang, X.-D.; Liang, C.; Xie, H.-T. Research advances on cover crop plantation and its effects on subsequent crop and soil environment. J. Appl. Ecol. 2021, 32, 2666–2674. (in Chinese) [Google Scholar] [CrossRef]
- Jian, S.; Li, S.; Liu, S.; Li, X. Research advances of cover crops and their important roles. Acta Agron. Sin. 2022, 48, 1–14. (in Chinese) [Google Scholar] [CrossRef]
- Zhang, J.; Zhang, Y.; Hou, S.; Li, H.; Zhang, R.; Wang, H.; Wang, X. Research progress on benefits and rational selection of cover crops. Trans. Chin. Soc. Agric. Eng. 2023, 39, 23–34. (in Chinese) [Google Scholar] [CrossRef]
- Hong, Y.H.; Zhao, D.; Zhang, F.Z.; Shen, G.N.; Yuan, Y.; Gao, Y.M.; Yan, L.; Wei, D.; Wang, W.D. Soil water-stable aggregates and microbial community under long-term tillage in black soil of Northern China. Ecotoxicology 2021, 30, 1754–1768. [Google Scholar] [CrossRef]
- Wang, Q.; Ren, Y.; Meng, L. Simultaneous determination of total nitrogen and organic carbon in soil with an elemental analyzer. Chin. J. Anal. Lab. 2013, 32, 41–45. (in Chinese) [Google Scholar] [CrossRef]
- Sun, K.; Liu, J.; Ling, W. A review on Determination of Soil Microbial Biomass. Chin. J. Soil Sci. 2013, 44, 1010–1016. (in Chinese) [Google Scholar] [CrossRef]
- Liang, Y.; Ni, C.; Li, Y.; Xiao, L.; Jian, M. Research of Paddy Soil Dissolved Organic Matter Composition and Its Binding Process with Cd2+. Acta Pedol. Sin. 2024. (in Chinese) [Google Scholar] [CrossRef]
- Cao, M. Effects of Different Sand-Compacting Crops on Soil Quality in the Central Dry Zone of Ningxia. Master’s Thesis, Ningxia University, Xining, China, 2023. [Google Scholar]
- Huo, H.; Yang, J.; Yao, R.; Xie, W.; Wang, X.; Zhang, L. Effect of Composite Interlayer on Soil Water-Salt Transport in Hetao Irrigation District. Soils 2024, 56. (in Chinese) [Google Scholar] [CrossRef]
- Demoling, F.; Figueroa, D.; Bååth, E. Comparison of factors limiting bacterial growth in different soils. Soil Biol. Biochem. 2007, 39, 2485–2495. [Google Scholar] [CrossRef]
- Fang, H.; Yang, X.; Zhang, X.; Liang, A.; Shen, Y. Simulation on Dynamics of Soil Organic Carbon Under the Effect of Tillage and Water Erosion. Acta Pedol. Sin. 2006, 43, 730–735. (in Chinese). [Google Scholar]
- Li, P.; Lang, M.; Xu, X.-H.; Li, Y.-S.; Zhu, S.-X. Study on regularity of greenhouse gas emissions from black soil with different reclamation years. Environ. Sci. 2014, 35, 4321–4328. (in Chinese) [Google Scholar] [CrossRef]
- Novara, A.; Catania, V.; Tolone, M.; Gristina, L.; Laudicina, V.A.; Quatrini, P. Cover Crop Impact on Soil Organic Carbon, Nitrogen Dynamics and Microbial Diversity in a Mediterranean Semiarid Vineyard. Sustainability 2020, 12, 3256. [Google Scholar] [CrossRef]
- Zhang, C.; Nan, Z. Research progress of soil microbial biomass in China. Pratacultural Sci. 2010, 27, 50–57. (in Chinese). [Google Scholar]
- Li, W.T.; Xie, L.L.; Zhao, C.Z.; Hu, X.F.; Yin, C.Y. Nitrogen Fertilization Increases Soil Microbial Biomass and Alters Microbial Composition Especially Under Low Soil Water Availability. Microb. Ecol. 2023, 86, 536–548. [Google Scholar] [CrossRef]
- Chang, L.; Liang, X.; Wang, L.; Li, Z.; Zhan, F.; He, Y. Characteristics and Influencing Factors of Soil Organic Carbon Sink in Paddy Fields in China: A Review. Soils 2023, 55, 487–493. (in Chinese) [Google Scholar] [CrossRef]
- Xie, L.; Wang, S.; Xiao, B.; Wang, Z.; Guo, Z.; Zhang, K.; Zhang, L.; Fan, Y.; Guo, X.; Luo, S.; et al. Responses of soil carbon component accumulation and allocation to tropical forest restoration. Acta Ecol. Sin. 2023, 43, 9877–9890. (in Chinese) [Google Scholar] [CrossRef]
- Xiao, J.J.; Wang, X.; Zhao, Y.F.; Li, J.; Tang, J.K.; Wang, K.C.; Hao, Z.G.; Jiang, S.L.; Zhou, X.H.; Liu, H.Y. Soil organic carbon stability of vegetation restoration during 11-year-old grassland succession. J. Soils Sediments 2023, 23, 2344–2355. [Google Scholar] [CrossRef]
- Bhople, P.; Djukic, I.; Keiblinger, K.; Zehetnere, F.; Liu, D.; Bierbaumer, M.; Zechmeister-Boltenstern, S.; Joergensen, R.G.; Murugan, R. Variations in soil and microbial biomass C, N and fungal biomass ergosterol along elevation and depth gradients in Alpine ecosystems. Geoderma 2019, 345, 93–103. [Google Scholar] [CrossRef]
- Ali, S.; Liu, K.L.; Ahmed, W.; Jing, H.; Qaswar, M.; Anthonio, C.K.; Maitlo, A.A.; Lu, Z.; Liu, L.S.; Zhang, H.M. Nitrogen Mineralization, Soil Microbial Biomass and Extracellular Enzyme Activities Regulated by Long-Term N Fertilizer Inputs: A Comparison Study from Upland and Paddy Soils in a Red Soil Region of China. Agronomy 2021, 11, 2057. [Google Scholar] [CrossRef]
- Jian, J.S.; Du, X.; Reiter, M.S.; Stewart, R.D. A meta-analysis of global cropland soil carbon changes due to cover cropping. Soil Biol. Biochem. 2020, 143, 107735. [Google Scholar] [CrossRef]
- Tosi, M.; Ogilvie, C.M.; Spagnoletti, F.N.; Fournier, S.; Martin, R.C.; Dunfield, K.E. Cover Crops Modulate the Response of Arbuscular Mycorrhizal Fungi to Water Supply: A Field Study in Corn. Plants 2023, 12, 1015. [Google Scholar] [CrossRef] [PubMed]
- Jiménez-González, M.A.; López-Romano, H.; Carral, P.; Alvarez-Gonzalez, A.M.; Herranz-Luque, J.E.; Sastre-Rodríguez, B.E.; García-Díaz, A.; Muñoz-Organero, G.; Marques, M.J. Ten-Year Impact of Cover Crops on Soil Organic Matter Quantity and Quality in Semi-Arid Vineyards. Land 2023, 12, 2143. [Google Scholar] [CrossRef]
- Manral, V.; Bargali, K.; Bargali, S.S.; Karki, H.; Chaturvedi, R.K. Seasonal Dynamics of Soil Microbial Biomass C, N and P along an Altitudinal Gradient in Central Himalaya, India. Sustainability 2023, 15, 1651. [Google Scholar] [CrossRef]
- Ming, Z.; Zhen, B.A.I.; Wei, Z.; Xueli, D.; Douyan, S.; Junfeng, Z.H.U.; Ping, Z.H.U. Seasonal change of the long-term fertilization on microbial biomass C and N of arable Mollisol. Ecol. Environ. 2007, 16, 1498–1503. (in Chinese) [Google Scholar] [CrossRef]
- Purwanto, B.H.; Alam, S. Impact of intensive agricultural management on carbon and nitrogen dynamics in the humid tropics. Soil Sci. Plant Nutr. 2020, 66, 50–59. [Google Scholar] [CrossRef]
- Bai, J.; Deng, W.; Zhu, Y.; Zhai, J.; Zhang, Y. Comparative study on the distribution characteristics of soil organic matter and total nitrogen in wetlands: A case study of Xianghai and Horqin Nature Reserve. Sci. Geogr. Sin. 2002, 22, 233–237. (in Chinese). [Google Scholar]
- Cheng, X.K.; Zhou, T.; Liu, S.H.; Sun, X.B.; Zhou, Y.F.; Xu, L.; Xie, B.L.; Ying, J.P.; Shi, Y.J. Effects of Climate on Variation of Soil Organic Carbon and Alkali-Hydrolyzed Nitrogen in Subtropical Forests: A Case Study of Zhejiang Province, China. Forests 2023, 14, 914. [Google Scholar] [CrossRef]
- Wang, Y.; Guo, M.S.; Li, Y.F.; Yin, X.L.; Guo, J.Y.; Wang, J. Responses of Soil Bacterial Communities and Chemical Properties to Grazing Regulation in Desert Steppe. Agronomy 2023, 13, 2817. [Google Scholar] [CrossRef]
- Ao, L.; Zhao, M.C.; Li, X.; Sun, G.Y. Different Urban Forest Tree Species Affect the Assembly of the Soil Bacterial and Fungal Community. Microb. Ecol. 2022, 83, 447–458. [Google Scholar] [CrossRef] [PubMed]
- Feng, S.; Leung, A.K.; Ng, C.W.W.; Liu, H.W. Theoretical analysis of coupled effects of microbe and root architecture on methane oxidation in vegetated landfill covers. Sci. Total Environ. 2017, 599, 1954–1964. [Google Scholar] [CrossRef]
- Du, X.; Jian, J.S.; Du, C.; Stewart, R.D. Conservation management decreases surface runoff and soil erosion. Int. Soil Water Conserv. Res. 2022, 10, 188–196. [Google Scholar] [CrossRef]
- Abdalla, M.; Hastings, A.; Cheng, K.; Yue, Q.; Chadwick, D.; Espenberg, M.; Truu, J.; Rees, R.M.; Smith, P. A critical review of the impacts of cover crops on nitrogen leaching, net greenhouse gas balance and crop productivity. Glob. Change Biol. 2019, 25, 2530–2543. [Google Scholar] [CrossRef]
- Meisinger, J.J.; Ricigliano, K.A. Nitrate Leaching from Winter Cereal Cover Crops Using Undisturbed Soil-Column Lysimetersle. J. Environ. Qual. 2017, 46, 576–584. [Google Scholar] [CrossRef]











| Treatments | Mass Water Content (%) | Volume Water Content (%) | Soil Total Porosity (%) | Soil Saturation Degree (%) | Soil Bulk Density (g/cm3) | Alkali-Hydrolysable Nitrogen (mg/kg) | pH |
|---|---|---|---|---|---|---|---|
| Ta | 24.98 | 28.38 | 56.01 | 51.23 | 1.13 | 178.50 | 5.97 |
| Ms | 26.36 | 27.49 | 57.84 | 48.10 | 1.04 | 170.92 | 5.90 |
| Vr | 25.76 | 25.64 | 57.80 | 44.33 | 1.01 | 139.33 | 6.00 |
| Ta + Ms | 20.49 | 23.81 | 54.29 | 44.14 | 1.16 | 186.67 | 5.94 |
| Ta + Vr | 21.76 | 23.94 | 57.32 | 41.91 | 1.10 | 177.92 | 6.12 |
| CK | 24.56 | 25.09 | 56.66 | 45.06 | 1.02 | 178.50 | 6.10 |
Disclaimer/Publisher’s Note: The statements, opinions and data contained in all publications are solely those of the individual author(s) and contributor(s) and not of MDPI and/or the editor(s). MDPI and/or the editor(s) disclaim responsibility for any injury to people or property resulting from any ideas, methods, instructions or products referred to in the content. |
© 2024 by the authors. Licensee MDPI, Basel, Switzerland. This article is an open access article distributed under the terms and conditions of the Creative Commons Attribution (CC BY) license (https://creativecommons.org/licenses/by/4.0/).
Share and Cite
Li, Y.; Zhu, Q.; Zhang, Y.; Liu, S.; Wang, X.; Wang, E. Impact of Winter Cover Crops on Total and Microbial Carbon and Nitrogen in Black Soil. Agronomy 2024, 14, 603. https://doi.org/10.3390/agronomy14030603
Li Y, Zhu Q, Zhang Y, Liu S, Wang X, Wang E. Impact of Winter Cover Crops on Total and Microbial Carbon and Nitrogen in Black Soil. Agronomy. 2024; 14(3):603. https://doi.org/10.3390/agronomy14030603
Chicago/Turabian StyleLi, Yubo, Qin Zhu, Yang Zhang, Shuang Liu, Xiaoting Wang, and Enheng Wang. 2024. "Impact of Winter Cover Crops on Total and Microbial Carbon and Nitrogen in Black Soil" Agronomy 14, no. 3: 603. https://doi.org/10.3390/agronomy14030603
APA StyleLi, Y., Zhu, Q., Zhang, Y., Liu, S., Wang, X., & Wang, E. (2024). Impact of Winter Cover Crops on Total and Microbial Carbon and Nitrogen in Black Soil. Agronomy, 14(3), 603. https://doi.org/10.3390/agronomy14030603

