Effect of Ecological Factors on Nutritional Quality of Foxtail Millet (Setaria italica L.)
Abstract
1. Introduction
2. Materials and Methods
2.1. Plant Material
2.2. Growth Conditions
2.3. Experimental Design
2.4. Measurements
2.4.1. Water Content
2.4.2. Crude Fat Content
2.4.3. Amylose and Amylopectin Content
2.4.4. Element Concentration
2.5. Statistical Analysis
3. Results
3.1. Nutrient Components of Foxtail Millet in Different Production Areas
3.2. Element Concentration of Foxtail Millet in Different Production Areas
3.3. The Correlation Analysis of Foxtail Millet Nutritional Quality
3.4. The Principal Component Analysis of Foxtail Millet Nutritional Quality
3.5. The Clustering Analysis of Foxtail Millet Nutritional Quality
3.6. Relationship between Ecological Factors and Foxtail Millet Nutritional Quality
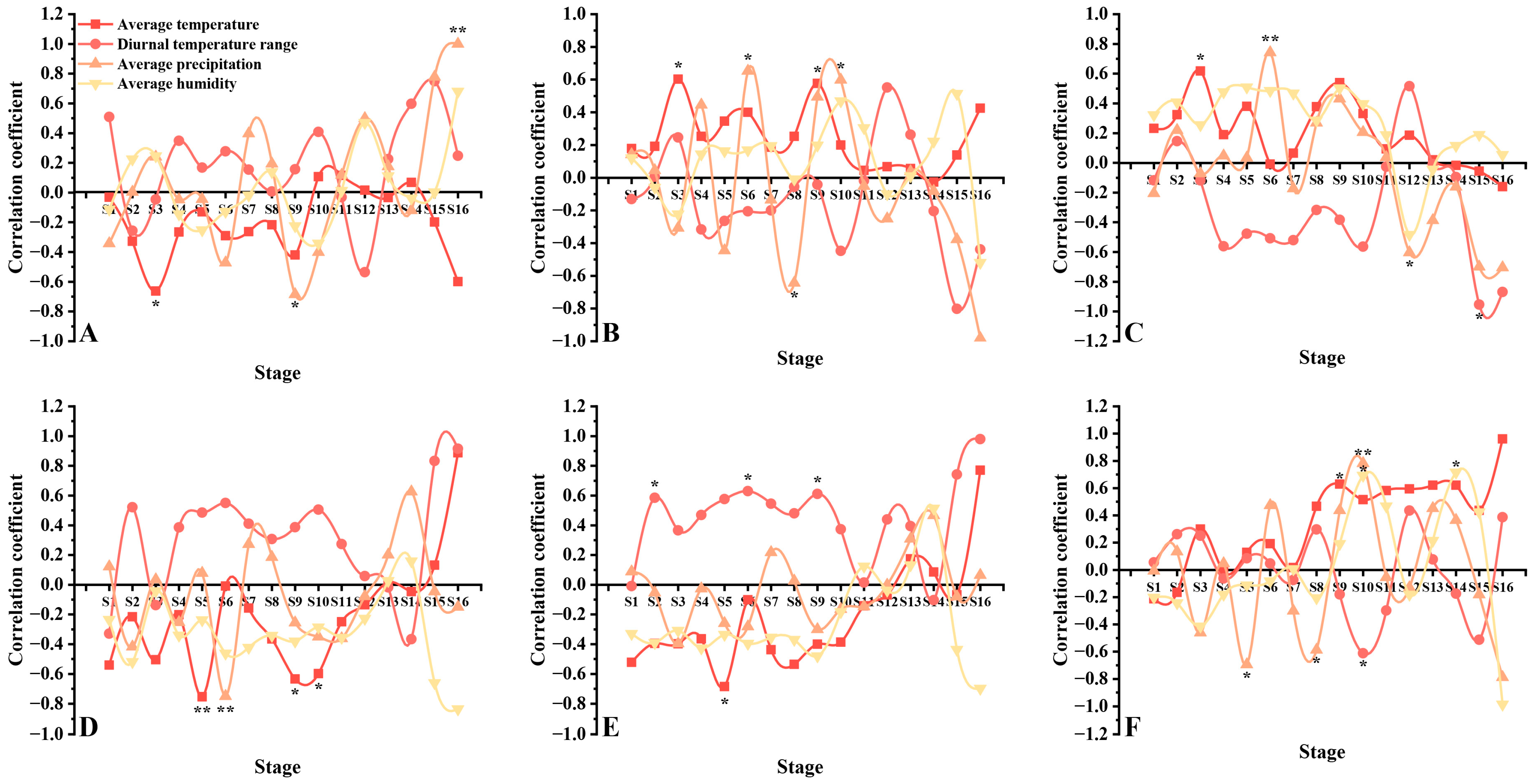
3.7. Dynamic Correlation Analysis of Climate Factors to Foxtail Millet Nutritional Quality
4. Discussion
5. Conclusions
Supplementary Materials
Author Contributions
Funding
Data Availability Statement
Conflicts of Interest
References
- Lesk, C.; Rowhani, P.; Ramankutty, N. Influence of extreme weather disasters on global crop production. Nature 2016, 529, 84–87. [Google Scholar] [CrossRef] [PubMed]
- Weichert, H.; Hogy, P.; Mora-Ramirez, I.; Fuchs, J.; Eggert, K.; Koehler, P.; Weschke, W.; Fangmeier, A.; Weber, H. Grain yield and quality responses of wheat expressing a barley sucrose transporter to combined climate change factors. J. Exp. Bot. 2017, 68, 5511–5525. [Google Scholar] [CrossRef] [PubMed]
- Jones, A.; Stolbovoy, V.; Rusco, E.; Gentile, A.R.; Gardi, C.; Marechal, B.; Montanarella, L. Climate change in Europe. 2. Impact on soil. A review. Agron. Sustain. Dev. 2009, 29, 423–432. [Google Scholar] [CrossRef]
- Rozhkov, V.A. Soils and the soil cover as witnesses and indicators of global climate change. Eurasian Soil Sci. 2009, 42, 118–128. [Google Scholar] [CrossRef]
- Dusenge, M.E.; Duarte, A.G.; Way, D.A. Plant carbon metabolism and climate change: Elevated CO2 and temperature impacts on photosynthesis, photorespiration and respiration. New Phytol. 2019, 221, 32–49. [Google Scholar] [CrossRef] [PubMed]
- Hussain, S.; Ulhassan, Z.; Brestic, M.; Zivcak, M.; Zhou, W.J.; Allakhverdiev, S.I.; Yang, X.H.; Safdar, M.E.; Yang, W.Y.; Liu, W.G. Photosynthesis research under climate change. Photosynth. Res. 2021, 150, 5–19. [Google Scholar] [CrossRef] [PubMed]
- Myers, S.S.; Smith, M.R.; Guth, S.; Golden, C.D.; Vaitla, B.; Mueller, N.D.; Dangour, A.D.; Huybers, P. Climate change and global food systems: Potential impacts on food security and undernutrition. Annu. Rev. Public Health 2017, 38, 259–277. [Google Scholar] [CrossRef]
- Song, C.X.; Huang, X.; Les, O.; Ma, H.Y.; Liu, R.F. The economic impact of climate change on wheat and maize yields in the north china plain. Int. J. Environ. Res. Public Health 2022, 19, 5707. [Google Scholar] [CrossRef]
- Custodio, M.C.; Cuevas, R.P.; Ynion, J.; Laborte, A.G.; Velasco, M.L.; Demont, M. Rice quality: How is it defined by consumers, industry, food scientists, and geneticists? Trends Food Sci. Technol. 2019, 92, 122–137. [Google Scholar] [CrossRef]
- Bhat, S.; Nandini, C.; Tippeswamy, V. Significance of small millets in nutrition and health-A review. Asian J. Dairy Food Res. 2018, 37, 35–40. [Google Scholar] [CrossRef]
- Sun, M.J.; Kang, X.R.; Wang, T.T.; Fan, L.R.; Wang, H.; Pan, H.; Yang, Q.G.; Liu, H.M.; Lou, Y.H.; Zhuge, Y.P. Genotypic diversity of quality traits in Chinese foxtail millet (Setaria italica L.) and the establishment of a quality evaluation system. Food Chem. 2021, 353, 129421. [Google Scholar] [CrossRef]
- Qi, Y.Y.; Wang, N.; Yu, J.L.; Wang, S.; Wang, S.J.; Copeland, L. Insights into structure-function relationships of starch from foxtail millet cultivars grown in China. Int. J. Biol. Macromol. 2020, 155, 1176–1183. [Google Scholar] [CrossRef] [PubMed]
- Yuan, Y.H.; Liu, C.J.; Zhao, G.; Gong, X.W.; Dang, K.; Yang, Q.H.; Feng, B.L. Transcriptome analysis reveals the mechanism associated with dynamic changes in fatty acid and phytosterol content in foxtail millet (Setaria italica) during seed development. Food Res. Int. 2021, 145, 110429. [Google Scholar] [CrossRef] [PubMed]
- Zhang, H.Y.; Wang, J.Y.; Zhao, J.; Sun, C.Q.; Wang, J.; Wang, Q.; Qu, F.; Yun, X.D.; Feng, Z.W. Integrated lipidomic and transcriptomic analysis reveals lipid metabolism in foxtail millet (Setaria italica). Front. Genet. 2021, 12, 758003. [Google Scholar] [CrossRef] [PubMed]
- Li, H.; Han, S.L.; Huo, Y.Q.; Ma, G.F.; Sun, Z.X.; Li, H.Y.; Hou, S.Y.; Han, Y.H. Comparative metabolomic and transcriptomic analysis reveals a coexpression network of the carotenoid metabolism pathway in the panicle of Setaria italica. BMC Plant Biol. 2022, 22, 105. [Google Scholar] [CrossRef] [PubMed]
- Li, W.; Wen, L.C.; Chen, Z.T.; Zhang, Z.L.; Pang, X.L.; Deng, Z.C.; Liu, T.; Guo, Y.F. Study on metabolic variation in whole grains of four proso millet varieties reveals metabolites important for antioxidant properties and quality traits. Food Chem. 2021, 357, 129791. [Google Scholar] [CrossRef] [PubMed]
- Zhang, Y.K.; Gao, J.H.; Qie, Q.R.; Yang, Y.L.; Hou, S.Y.; Wang, X.C.; Li, X.K.; Han, Y.H. Comparative analysis of flavonoid metabolites in foxtail millet (Setaria italica) with different eating quality. Life 2021, 11, 578. [Google Scholar] [CrossRef] [PubMed]
- Shahidi, F.; Chandrasekara, A. Millet grain phenolics and their role in disease risk reduction and health promotion: A review. J. Funct. Foods 2013, 5, 570–581. [Google Scholar] [CrossRef]
- Shi, P.; Zhao, Y.; Qin, F.; Liu, K.; Wang, H. Understanding the multi-scale structure and physicochemical properties of millet starch with varied amylose content. Food Chem. 2023, 410, 135422. [Google Scholar] [CrossRef]
- Kumar, P.C.; Amutha, S.; Oberoi, H.S.; Kanchana, S.; Azeez, S.; Rupa, T.R. Germination induced changes in bioactive compounds and nutritional components of millets. J. Food Sci. Technol. 2022, 59, 4244–4252. [Google Scholar] [CrossRef]
- Black, R.E.; Victora, C.G.; Walker, S.P.; Bhutta, Z.A.; Christian, P.; Onis, M.D.; Ezzati, M.; Grantham-McGregor, S.; Katz, J.; Martorell, R.; et al. Maternal and child undernutrition and overweight in low-income and middle-income countries. Lancet 2013, 382, 427–451. [Google Scholar] [CrossRef] [PubMed]
- Yao, B.M.; Chen, P.; Sun, G.X. Distribution of elements and their correlation in bran, polished rice, and whole grain. Food Sci. Nutr. 2020, 8, 982–992. [Google Scholar] [CrossRef] [PubMed]
- Lowe, N.M. The global challenge of hidden hunger: Perspectives from the field. Proc. Nutr. Soc. 2021, 80, 283–289. [Google Scholar] [CrossRef] [PubMed]
- Liang, K.H.; Liang, S.; Lu, L.G.; Zhu, D.Z.; Cheng, L. Geographical origin traceability of foxtail millet based on the combination of multi-element and chemical composition analysis. Int. J. Food Prop. 2018, 21, 1769–1777. [Google Scholar] [CrossRef]
- Satyavathi, C.T.; Ambawat, S.; Khandelwal, V.; Srivastava, R.K. Pearl Millet: A Climate-Resilient Nutricereal for Mitigating Hidden Hunger and Provide Nutritional Security. Front. Plant Sci. 2021, 12, 659938. [Google Scholar] [CrossRef] [PubMed]
- Wilson, M.L.; VanBuren, R. Leveraging millets for developing climate resilient agriculture. Curr. Opin. Biotechnol. 2022, 75, 102683. [Google Scholar] [CrossRef] [PubMed]
- Zhang, L.G.; Ma, K.; Zhao, X.T.; Li, Z.; Zhang, X.; Li, W.D.; Meng, R.; Lu, B.Y.; Yuan, X.Y. Development of a comprehensive quality evaluation system for foxtail millet from different ecological regions. Foods 2023, 12, 2545. [Google Scholar] [CrossRef]
- Ning, N.; Yang, Y.J.; Hong, J.P.; Yuan, X.Y.; Song, X.E.; Wang, H.F.; Guo, P.Y. Correlation between grain quality of foxtail millet (Setaria italica [L.] P. Beauv.) and environmental factors on multivariate statistical analysis. Chil. J. Agric. Res. 2017, 77, 303–310. [Google Scholar] [CrossRef][Green Version]
- Liang, K.H.; Liang, S.; Lu, L.G.; Zhu, D.Z.; Zhu, H.; Liu, P.; Zhang, M. Metabolic variation and cooking qualities of millet cultivars grown both organically and conventionally. Food Res. Int. 2018, 106, 825–833. [Google Scholar] [CrossRef]
- Mi, J.Z.; Gregorich, E.G.; Xu, S.T.; McLaughlin, N.B.; Liu, J.H. Effect of bentonite as a soil amendment on field water-holding capacity, and millet photosynthesis and grain quality. Sci. Rep. 2020, 10, 18282. [Google Scholar] [CrossRef]
- Ma, K.; Zhao, L.R.; Zhao, X.T.; Li, X.R.; Dong, S.Q.; Zhang, L.G.; Guo, P.Y.; Yuan, X.Y.; Diao, X.M. The relationship between ecological factors and commercial quality of high-quality foxtail millet “Jingu 21”. Food Res. Int. 2023, 163, 112225. [Google Scholar] [CrossRef]
- Standardization Administration of the People’s Republic of China. GB/T 5009.3-2016; Determination of Moisture in Food. Standard Press: Beijing, China, 2016.
- Standardization Administration of the People’s Republic of China. GB/T 5009.6-2016; Determination of Fat in Food. Standard Press: Beijing, China, 2016.
- Li, X. Study on the Correlation between Millet Cooking Quality and Its Components. Master’s Thesis, China Agriculture University, Beijing, China, 2019. (In Chinese). [Google Scholar]
- Li, X.K.; Wu, L.; Geng, X.; Xia, X.H.; Wang, X.H.; Xu, Z.J.; Xu, Q. Deciphering the environmental impacts on rice quality for different rice cultivated areas. Rice 2018, 11, 7. [Google Scholar] [CrossRef] [PubMed]
- Graziano, S.; Marmiroli, N.; Visioli, G.; Gulli, M. Proteins and metabolites as indicators of flours quality and nutritional properties of two durum wheat varieties grown in different italian locations. Foods 2020, 9, 315. [Google Scholar] [CrossRef] [PubMed]
- Zhao, Q.Y.; Xu, S.J.; Zhang, W.S.; Zhang, Z.; Yao, Z.; Chen, X.P.; Zou, C.Q. Identifying key drivers for geospatial variation of grain micronutrient concentrations in major maize production regions of China. Environ. Pollut. 2020, 266, 115114. [Google Scholar] [CrossRef] [PubMed]
- Kopuzlu, S.; Önenç, A.; Bilgin, O.C.; Esenbuga, N. Determination of meat quality through principal components analysis. J. Anim. Plant Sci. 2011, 21, 151–156. [Google Scholar]
- Wodebo, K.Y.; Tolemariam, T.; Demeke, S.; Garedew, W.; Tesfaye, T.; Zeleke, M.; Gemiyu, D.; Bedeke, W.; Wamatu, J.; Sharma, M. AMMI and GGE biplot analyses for mega-environment identification and selection of some high-yielding oat (Avena sativa L.) genotypes for multiple environments. Plants 2023, 112, 3064. [Google Scholar] [CrossRef] [PubMed]
- Chen, J.L.; Tang, L.; Shi, P.H.; Yang, B.H.; Sun, T.; Cao, W.X.; Zhu, Y. Effects of short-term high temperature on grain quality and starch granules of rice (Oryza sativa L.) at post-anthesis stage. Protoplasma 2017, 254, 935–943. [Google Scholar] [CrossRef] [PubMed]
- Li, H.X.; Chen, Z.; Hu, M.X.; Hua, H.; Yin, C.X.; Zeng, H.L. Different effects of night versus day high temperature on rice quality and accumulation profiling of rice grain proteins during grain filling. Plant Cell Rep. 2011, 30, 1641–1659. [Google Scholar] [CrossRef]
- Shahidullah, S.M.; Hanafi, M.M.; Ashrafuzzaman, M.; Ismail, M.R.; Khair, A. Genetic diversity in grain quality and nutrition of aromatic rices. Afr. J. Biotechnol. 2009, 8, 1238–1246. [Google Scholar]
- Ren, Y.; Allenmark, F.; Muller, H.J.; Shi, Z.H. Variation in the “coefficient of variation”: Rethinking the violation of the scalar property in time-duration judgments. Acta Psychol. 2021, 214, 103263. [Google Scholar] [CrossRef]
- Verma, S.; Srivastava, S.; Tiwari, N. Comparative study on nutritional and sensory quality of barnyard and foxtail millet food products with traditional rice products. J. Food Sci. Technol. 2014, 52, 5147–5155. [Google Scholar] [CrossRef] [PubMed]
- Zimmermann, M.B.; Hurrell, R.F. Nutritional iron deficiency. Lancet. 2007, 370, 511–520. [Google Scholar] [CrossRef] [PubMed]
- Hille, R.; Hall, J.; Basu, P. The mononuclear molybdenum enzymes. Chem. Rev. 2014, 114, 3963–4038. [Google Scholar] [CrossRef] [PubMed]





| Area | V | Cr | Mn | Fe | Co | Ni | Cu | Zn | Se | Sr | Mo | Sn |
|---|---|---|---|---|---|---|---|---|---|---|---|---|
| Hunyuan | 0.10 ± 0.00 b | 10.87 ± 0.58 a | 19.75 ± 0.60 e | 153.47 ± 3.24 b | 0.19 ± 0.01 de | 8.40 ± 0.28 a | 7.09 ± 0.40 ab | 27.25 ± 0.71 d | 0.02 ± 0.01 h | 2.17 ± 0.20 d | 0.74 ± 0.04 c | 0.44 ± 0.58 a |
| Shanyin | 0.13 ± 0.04 a | 10.74 ± 0.63 a | 19.60 ± 0.95 e | 162.59 ± 6.64 a | 0.20 ± 0.01 d | 7.93 ± 0.67 bc | 7.37 ± 0.59 a | 28.87 ± 1.14 c | 0.03 ± 0.00 g | 1.50 ± 0.08 f | 1.00 ± 0.18 b | 0.21 ± 0.13 ab |
| Dingxiang | 0.11 ± 0.02 b | 10.77 ± 0.40 a | 19.94 ± 0.57 de | 153.35 ± 3.56 b | 0.20 ± 0.01 d | 7.67 ± 0.15 c | 6.95 ± 0.23 ab | 20.79 ± 0.18 g | 0.05 ± 0.00 de | 1.76 ± 0.15 e | 1.07 ± 0.09 b | 0.19 ± 0.07 ab |
| Xingxian | 0.11 ± 0.01 ab | 10.63 ± 0.42 ab | 22.32 ± 0.87 b | 147.51 ± 3.15 bcd | 0.19 ± 0.01 de | 8.18 ± 0.31 ab | 5.96 ± 0.28 de | 16.63 ± 0.73 h | 0.02 ± 0.00 h | 2.67 ± 0.09 b | 0.43 ± 0.06 e | 0.18 ± 0.06 ab |
| Yangqu | 0.10 ± 0.01 b | 10.48 ± 0.42 abc | 25.55 ± 0.89 a | 155.45 ± 4.78 ab | 0.19 ± 0.01 de | 7.02 ± 0.18 ef | 7.27 ± 0.70 a | 29.9 ± 0.58 bc | 0.31 ± 0.01 b | 1.10 ± 0.12 g | 0.56 ± 0.05 d | 0.16 ± 0.04 ab |
| Yuci | 0.10 ± 0.01 b | 10.59 ± 0.52 abc | 21.53 ± 0.99 bc | 154.84 ± 7.58 ab | 0.18 ± 0.01 ef | 7.21 ± 0.35 de | 7.08 ± 0.38 ab | 30.43 ± 1.47 b | 0.05 ± 0.01 d | 1.03 ± 0.10 g | 0.61 ± 0.03 d | 0.17 ± 0.03 ab |
| Taigu | 0.09 ± 0.01 b | 9.91 ± 0.46 cd | 17.15 ± 0.61 gh | 142.67 ± 5.39 cd | 0.17 ± 0.01 f | 6.28 ± 0.25 g | 6.65 ± 0.34 bc | 38.34 ± 0.41 a | 0.14 ± 0.01 c | 2.38 ± 0.19 c | 1.24 ± 0.03 a | 0.16 ± 0.03 ab |
| Xixian | 0.10 ± 0.01 b | 9.95 ± 0.51 bcd | 18.41 ± 0.66 f | 140.86 ± 4.56 cd | 0.19 ± 0.01 de | 7.79 ± 0.30 bc | 6.13 ± 0.28 e | 20.59 ± 0.83 g | 0.01 ± 0.01 h | 4.54 ± 0.01 a | 0.78 ± 0.03 c | 0.15 ± 0.02 ab |
| Qinxian | 0.09 ± 0.01 b | 9.95 ± 0.25 bcd | 20.95 ± 0.36 cd | 148.99 ± 10.09 bc | 0.19 ± 0.01 de | 6.72 ± 0.21 f | 6.00 ± 0.19 cd | 15.90 ± 0.50 h | 0.73 ± 0.02 a | 0.74 ± 0.21 h | 0.42 ± 0.01 e | 0.15 ± 0.02 ab |
| Yuanqu | 0.09 ± 0.01 b | 10.00 ± 0.39 bcd | 21.89 ± 0.95 bc | 144.34 ± 3.84 cd | 0.29 ± 0.01 a | 7.09 ± 0.28 ef | 5.45 ± 0.25 de | 15.77 ± 0.28 h | 0.01 ± 0.01 h | 1.90 ± 0.09 e | 0.85 ± 0.03 c | 0.14 ± 0.02 b |
| Zezhou | 0.09 ± 0.00 b | 9.67 ± 0.18 d | 17.72 ± 0.36 fg | 140.88 ± 3.35 cd | 0.23 ± 0.00 b | 7.61 ± 0.12 cd | 6.60 ± 0.12 bc | 22.75 ± 0.17 f | 0.04 ± 0.01 ef | 0.95 ± 0.07 g | 0.77 ± 0.02 c | 0.19 ± 0.07 ab |
| Yangcheng | 0.10 ± 0.00 b | 9.50 ± 0.17 d | 16.45 ± 0.21 h | 139.59 ± 3.01 d | 0.22 ± 0.01 c | 6.98 ± 0.12 ef | 5.52 ± 0.09 e | 23.82 ± 0.68 e | 0.04 ± 0.01 f | 0.59 ± 0.04 h | 1.24 ± 0.03 a | 0.15 ± 0.01 ab |
| Mean | 0.10 | 10.25 | 20.10 | 148.71 | 0.20 | 7.40 | 6.50 | 24.25 | 0.12 | 1.78 | 0.81 | 0.19 |
| SD | 0.01 | 0.47 | 2.55 | 7.28 | 0.03 | 0.63 | 0.68 | 6.92 | 0.21 | 1.10 | 0.28 | 0.08 |
| CV (%) | 10.84 | 4.61 | 12.68 | 4.90 | 16.15 | 8.48 | 10.39 | 28.53 | 172.79 | 61.80 | 35.00 | 42.67 |
Disclaimer/Publisher’s Note: The statements, opinions and data contained in all publications are solely those of the individual author(s) and contributor(s) and not of MDPI and/or the editor(s). MDPI and/or the editor(s) disclaim responsibility for any injury to people or property resulting from any ideas, methods, instructions or products referred to in the content. |
© 2024 by the authors. Licensee MDPI, Basel, Switzerland. This article is an open access article distributed under the terms and conditions of the Creative Commons Attribution (CC BY) license (https://creativecommons.org/licenses/by/4.0/).
Share and Cite
Ma, K.; Zhao, X.; Lu, B.; Wang, Y.; Yue, Z.; Zhang, L.; Diao, X.; Yuan, X. Effect of Ecological Factors on Nutritional Quality of Foxtail Millet (Setaria italica L.). Agronomy 2024, 14, 387. https://doi.org/10.3390/agronomy14020387
Ma K, Zhao X, Lu B, Wang Y, Yue Z, Zhang L, Diao X, Yuan X. Effect of Ecological Factors on Nutritional Quality of Foxtail Millet (Setaria italica L.). Agronomy. 2024; 14(2):387. https://doi.org/10.3390/agronomy14020387
Chicago/Turabian StyleMa, Ke, Xiatong Zhao, Boyu Lu, Yiru Wang, Zhongxiao Yue, Liguang Zhang, Xianmin Diao, and Xiangyang Yuan. 2024. "Effect of Ecological Factors on Nutritional Quality of Foxtail Millet (Setaria italica L.)" Agronomy 14, no. 2: 387. https://doi.org/10.3390/agronomy14020387
APA StyleMa, K., Zhao, X., Lu, B., Wang, Y., Yue, Z., Zhang, L., Diao, X., & Yuan, X. (2024). Effect of Ecological Factors on Nutritional Quality of Foxtail Millet (Setaria italica L.). Agronomy, 14(2), 387. https://doi.org/10.3390/agronomy14020387

