Remediation of Cadmium and Lead in Mine Soil by Ameliorants and Its Impact on Maize (Zea mays L.) Cultivation
Abstract
1. Introduction
2. Materials and Methods
2.1. Experimental Materials
2.2. Experimental Design
2.3. Determination of N, P, and K Elements in Soil
2.4. BCR Sequential Extraction of Cd and Pb Content and Available Cd and Pb Content in Soil
2.5. Determination of Cd and Pb Content in Soil Flow
2.6. Various Indicators Were Measured after Maize Growth for 45 Days
3. Results
3.1. The Impact of Applying Biochar and Sepiolite on the Physicochemical Properties of Soil
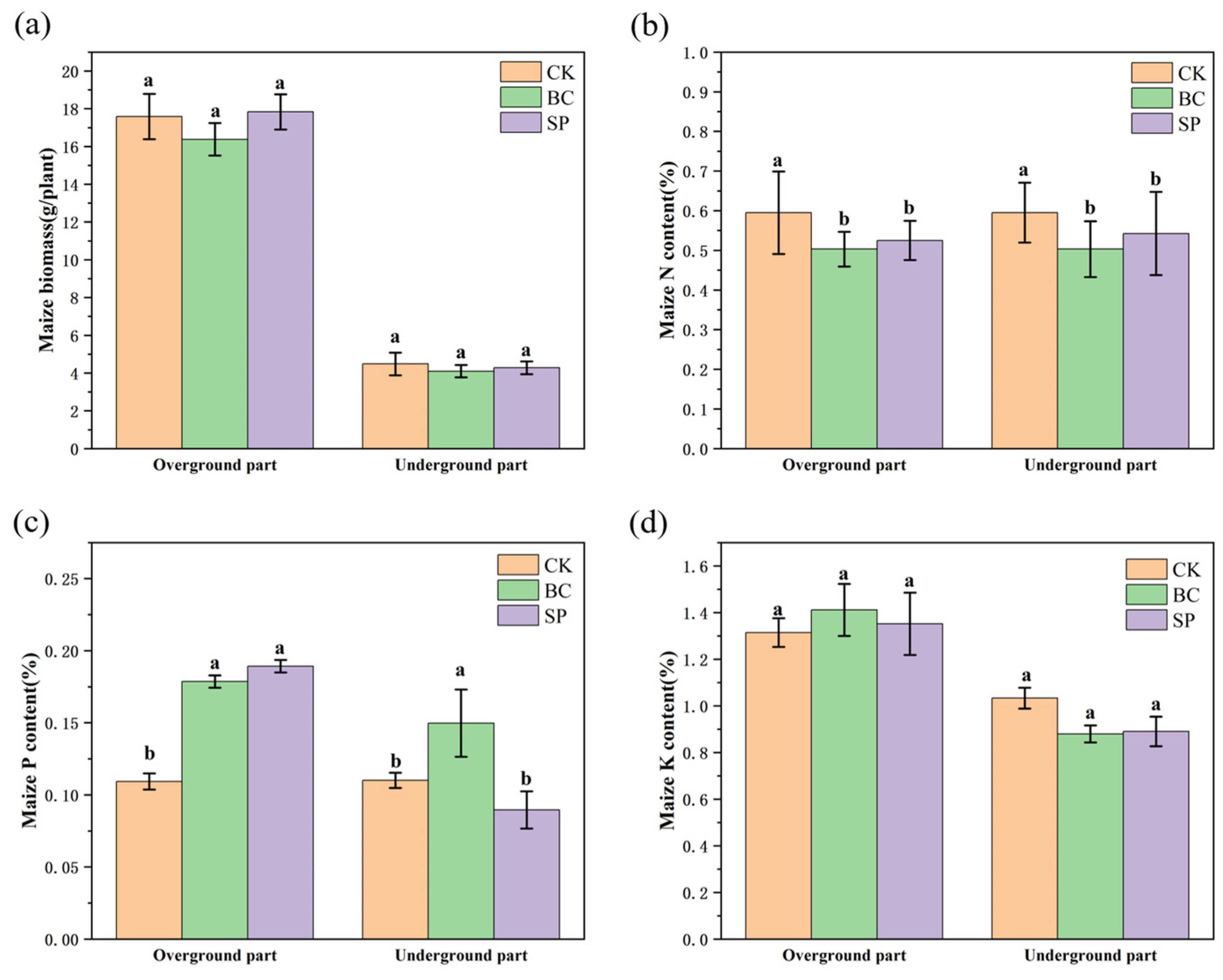
3.2. The Impact of Applying Biochar and Sepiolite on the Growth and Nutrient Uptake of Maize
3.3. The Impact of Applying Biochar and Sepiolite on Different States of Cd and Pb in Soil
3.4. The Impact of Applying Biochar and Sepiolite on the Accumulation of Cd and Pb in Maize
3.5. The Impact of Applying Biochar and Sepiolite on the Concentrations of Cd and Pb in the Leachate at Different Soil Depths
4. Discussion
5. Conclusions
Author Contributions
Funding
Data Availability Statement
Conflicts of Interest
References
- Zhang, X.; Wang, H.; He, L.; Lu, K.; Sarmah, A.; Li, J.; Bolan, N.S.; Pei, J.; Huang, H. Using biochar for remediation of soils contaminated with heavy metals and organic pollutants. Environ. Sci. Pollut. Res. Int. 2013, 20, 8472–8483. [Google Scholar] [CrossRef]
- Abd-Elhakim, Y.M.; Hashem, M.M.; Abo-El-Sooud, K.; Hassan, B.A.; Elbohi, K.M.; Al-Sagheer, A.A. Effects of Co-Exposure of Nanoparticles and Metals on Different Organisms: A Review. Toxics 2021, 9, 284. [Google Scholar] [CrossRef]
- Naveed, M.; Mustafa, A.; Qura-Tul-Ain, A.S.; Kamran, M.; Zahir, Z.A.; Núñez-Delgado, A. Burkholderia phytofirmans PsJN and tree twigs derived biochar together retrieved Pb-induced growth, physiological and biochemical disturbances by minimizing its uptake and translocation in mung bean (Vigna radiata L.). J. Environ. Manag. 2020, 257, 109974. [Google Scholar] [CrossRef]
- Yang, D.; Zhu, H.; Liu, J.; Zhang, Y.; Wu, S.; Xiong, J.; Wang, F. Risk Assessment of Heavy Metals in Soils from Four Different Industrial Plants in a Medium-Sized City in North China. Toxics 2023, 11, 217. [Google Scholar] [CrossRef]
- Zeng, X.; Deng, C.; Liang, Y.; Fu, J.; Zhang, S.; Ni, T. Ecological risk evaluation and sensitivity analysis of heavy metals on soil organisms under human activities in the Tibet Plateau, China. PLoS ONE 2023, 18, e0285116. [Google Scholar] [CrossRef]
- Yusra, M.; Abdullah, Y.; Liu, G.J.; Qamer-Ul, I.; Amtul-Bari-Tabinda, A.; Rizwan, R.; Samina, I.; Urooj, N. Critical risk analysis of metals toxicity in wastewater irrigated soil and crops: A study of a semi-arid developing region. Sci. Rep. 2020, 10, 12845. [Google Scholar] [CrossRef]
- Bai, Z.; He, Y.; Han, Z.; Wu, F. Leaching Mechanism and Health Risk Assessmentof As and Sb in Tailings of Typical Antimony Mines: A Case Study in Yunnan and Guizhou Province, Southwest China. Toxics 2022, 10, 777. [Google Scholar] [CrossRef] [PubMed]
- Liang, M.J.; Jin, C.Z.; Hou, J.W.; Wang, M.Y.; Shi, Y.P.; Dong, Z.C.; Yang, X.Y.; Zhou, J.W.; Cai, J.H. Research and Application of High-Pressure Rotary Jet Method in the Seepage Treatment of Heavy Metal Tailing Ponds of Southwest China. Materials 2023, 16, 3450. [Google Scholar] [CrossRef] [PubMed]
- Xiao, Z.N.; Zhou, X.H.; Yang, P.; Liu, H. Variation and future trends in precipitation over summer and autumn across the Yunnan region. Front. Earth Sci. 2016, 10, 498–512. [Google Scholar] [CrossRef]
- Zhi, Y.; Zhou, Q.; Leng, X.; Zhao, C. Mechanism of Remediation of Cadmium-Contaminated Soil With Low-Energy Plant Snapdragon. Front. Chem. 2020, 8, 222. [Google Scholar] [CrossRef] [PubMed]
- Teng, D.; Mao, K.; Ali, W.; Xu, G.; Huang, G.; Niazi, N.K.; Feng, X.; Zhang, H. Describing the toxicity and sources and the remediation technologies for mercury-contaminated soil. RSC Adv. 2020, 10, 23221–23232. [Google Scholar] [CrossRef]
- Gong, S.; Wang, H.; Lou, F.; Qin, R.; Fu, T. Calcareous Materials Effectively Reduce the Accumulation of Cd in Potatoes in Acidic Cadmium-Contaminated Farmland Soils in Mining Areas. Int. J. Environ. Res. Public Health 2022, 19, 11736. [Google Scholar] [CrossRef] [PubMed]
- Lei, C.; Huang, H.; Ye, H.; Fu, Z.; Peng, P.; Zhang, S.; Long, L. Immobilization of Pb and Zn in Contaminated Soil Using Alumina-Silica Nano-Amendments Synthesized from Coal Fly Ash. Int. J. Environ. Res. Public Health 2022, 19, 16204. [Google Scholar] [CrossRef] [PubMed]
- Xie, Y.; Xiao, K.; Sun, Y.; Gao, Y.; Yang, H.; Xu, H. Effects of amendments on heavy metal immobilization and uptake by Rhizoma chuanxiong on copper and cadmium contaminated soil. R. Soc. Open Sci. 2018, 5, 181138. [Google Scholar] [CrossRef] [PubMed]
- Cui, W.Z.; Liu, Y.Y.; Li, W.G.; Pei, L.; Xu, S.; Sun, Y.H.; Liu, J.B.; Wang, F.Y. Remediation Agents Drive Bacterial Community in a Cd-Contaminated Soil. Toxics 2023, 11, 53. [Google Scholar] [CrossRef] [PubMed]
- Samaraweera, H.; Pittman, C.U., Jr.; Thirumalai, R.V.K.G.; Hassan, E.B.; Perez, F.; Mlsna, T. Characterization of graphene/pine wood biochar hybrids: Potential to remove aqueous Cu2+. Environ. Res. 2021, 192, 110283. [Google Scholar] [CrossRef] [PubMed]
- Samaraweera, H.; Alam, S.S.; Nawalage, S.; Parashar, D.; Khan, A.H.; Chui, I.; Perez, F.; Mlsna, T. Facile synthesis and life cycle assessment of Iron oxide-Douglas fir biochar hybrid for anionic dye removal from water. J. Water Process Eng. 2023, 56, 104377. [Google Scholar] [CrossRef]
- Peng, Y.; Luo, Y.; Li, Y.; Azeem, M.; Li, R.; Feng, C.; Qu, G.; Ali, E.F.; Hamouda, M.A.; Hooda, P.S.; et al. Effect of corn pre-puffing on the efficiency of MgO-engineered biochar for phosphorus recovery from livestock wastewater: Mechanistic investigations and cost benefit analyses. Biochar 2023, 5, 26. [Google Scholar] [CrossRef]
- Zhao, J.; Ye, Z.L.; Pan, X.; Cai, G.; Wang, J. Screening the functions of modified rice straw biochar for adsorbing manganese from drinking water. RSC Adv. 2022, 12, 15222–15230. [Google Scholar] [CrossRef]
- Zhan, F.; Zeng, W.; Yuan, X.; Li, B.; Li, T.; Zu, Y.; Jiang, M.; Li, Y. Field experiment on the effects of sepiolite and biochar on the remediation of Cd- and Pb-polluted farmlands around a Pb-Zn mine in Yunnan Province, China. Environ. Sci. Pollut. Res. Int. 2019, 26, 7743–7751. [Google Scholar] [CrossRef]
- Liang, X.F.; Xu, Y.M.; Wang, L.; Sun, Y.B.; Lin, D.S.; Sun, Y.; Qin, X.; Wan, Q. Sorption of Pb2+ on mercapto functionalized sepiolite. Chemosphere 2013, 90, 548–555. [Google Scholar] [CrossRef]
- Liu, Z.; Zhuang, J.; Zheng, K.; Luo, C. Differential response of the soil nutrients, soil bacterial community structure and metabolic functions to different risk areas in Lead-Zine tailings. Front. Microbiol. 2023, 14, 1131770. [Google Scholar] [CrossRef]
- Wang, P.; Wang, T.; Yao, Y.; Wang, C.; Liu, C.; Yuan, Y. A Diffusive Gradient-in-Thin-Film Technique for Evaluation of the Bioavailability of Cd in Soil Contaminated with Cd and Pb. Int. J. Environ. Res. Public Health 2016, 13, 556. [Google Scholar] [CrossRef] [PubMed]
- Zhang, L.; Liao, Q.; Shao, S.; Zhang, N.; Shen, Q.; Liu, C. Heavy Metal Pollution, Fractionation, and Potential Ecological Risks in Sediments from Lake Chaohu (Eastern China) and the Surrounding Rivers. Int. J. Environ. Res. Public Health 2015, 12, 14115–14131. [Google Scholar] [CrossRef] [PubMed]
- Teban-Man, A.; Szekeres, E.; Fang, P.; Klümper, U.; Hegedus, A.; Baricz, A.; Berendonk, T.U.; Pârvu, M.; Coman, C. Municipal Wastewaters Carry Important Carbapenemase Genes Independent of Hospital Input and Can Mirror Clinical Resistance Patterns. Microbiol. Spectr. 2022, 10, e0271121. [Google Scholar] [CrossRef]
- Birhane, E.; Sterck, F.J.; Fetene, M.; Bongers, F.; Kuyper, T.W. Arbuscular mycorrhizal fungi enhance photosynthesis, water use efficiency, and growth of frankincense seedlings under pulsed water availability conditions. Oecologia 2012, 169, 895–904. [Google Scholar] [CrossRef]
- Jatav, S.S.; Singh, S.K.; Parihar, M.; Alsuhaibani, A.M.; Gaber, A.; Hossain, A. Application of Sewage Sludge in a Rice (Oryza sativa L.)-Wheat (Triticum aestivum L.) System Influences the Growth, Yield, Quality and Heavy Metals Accumulation of Rice and Wheat in the Northern Gangetic Alluvial Plain. Life 2022, 12, 484. [Google Scholar] [CrossRef] [PubMed]
- Wang, F.; Hao, M.; Liang, J.; Gao, P.; Zhu, M.; Fang, B.; Zhang, H.; Shang, Z. A facile fabrication of sepiolite mineral nanofibers with excellent adsorption performance for Cd2+ ions. RSC Adv. 2019, 9, 40184–40189. [Google Scholar] [CrossRef]
- Jiang, S.; Wu, J.; Duan, L.; Cheng, S.; Huang, J.; Chen, T. Investigating the Aging Effects of Biochar on Soil C and Si Dissolution and the Interactive Impact on Copper Immobilization. Molecules 2020, 25, 4319. [Google Scholar] [CrossRef]
- Seang-On, L.; Meeinkuirt, W.; Koedrith, P. Alleviation of Cadmium Toxicity in Thai Rice Cultivar (PSL2) Using Biofertilizer Containing Indigenous Cadmium-Resistant Microbial Consortia. Plants 2023, 12, 3651. [Google Scholar] [CrossRef]
- Chen, W.H.; Yu, Z.G.; Yang, X.; Wang, T.T.; Li, Z.H.; Wen, X.; He, Y.B.; Zhang, C. Unveiling the Role of Dissolved Organic Matter on the Hg Phytoavailability in Biochar-Amended Soils. Int. J. Environ. Res. Public Health 2023, 20, 3761. [Google Scholar] [CrossRef] [PubMed]
- Bilias, F.; Nikoli, T.; Kalderis, D.; Gasparatos, D. Towards a Soil Remediation Strategy Using Biochar: Effects on Soil Chemical Properties and Bioavailability of Potentially Toxic Elements. Toxics 2021, 9, 184. [Google Scholar] [CrossRef] [PubMed]
- Zhong, S.; Geng, H.; Zhang, F.; Liu, Z.; Wang, T.; Song, B. Risk Assessment and Prediction of Heavy Metal Pollution in Groundwater and River Sediment: A Case Study of a Typical Agricultural Irrigation Area in Northeast China. Int. J. Anal. Chem. 2015, 11. [Google Scholar] [CrossRef] [PubMed]
- Li, Y.; Liang, X.; Huang, Q.; Xu, Y.; Yang, F. Inhibition of Cd accumulation in grains of wheat and rice under rotation mode using composite silicate amendment. RSC Adv. 2019, 9, 35539–35548. [Google Scholar] [CrossRef] [PubMed]
- Bravo, D.; Braissant, O. Cadmium-tolerant bacteria: Current trends and applications in agriculture. Lett. Appl. Microbiol. 2022, 74, 311–333. [Google Scholar] [CrossRef]
- Wu, C.H.; Li, L.; Yan, B.; Lei, C.; Chen, T.; Xiao, X.M. Study on the passivation and remediation effect of new silicate passivator on cadmium contaminated soil. J. Agric. Environ. Sci. 2017, 36, 7. [Google Scholar] [CrossRef]
- Luo, Y.H.; Gu, X.Y.; Wu, Y.G.; Liu, Z.M.; Tong, F.; Tan, Y.Y. In situ passivation remediation effects of passivators on cadmium contamination in agricultural soils. J. Agric. Environ. Sci. 2014, 33, 890–897. [Google Scholar] [CrossRef]
- Wang, Z.; Liao, L.; Hursthouse, A.; Song, N.; Ren, B. Sepiolite-Based Adsorbents for the Removal of Potentially Toxic Elements from Water: A Strategic Review for the Case of Environmental Contamination in Hunan, China. Int. J. Environ. Res. Public Health 2018, 15, 1653. [Google Scholar] [CrossRef]
- Yue, Y.; Xu, L.; Li, G.; Gao, X.; Ma, H. Characterization of Dissolved Organic Matter Released from Aged Biochar: A Comparative Study of Two Feedstocks and Multiple Aging Approaches. Molecules 2023, 28, 4558. [Google Scholar] [CrossRef]
- Hama-Aziz, K.H.; Mustafa, F.S.; Omer, K.M.; Hama, S.; Hamarawf, R.F.; Rahman, K.O. Heavy metal pollution in the aquatic environment: Efficient and low-cost removal approaches to eliminate their toxicity: A review. RSC Adv. 2023, 13, 17595–17610. [Google Scholar] [CrossRef]
- Wyszkowska, J.; Borowik, A.; Zaborowska, M.; Kucharski, J. Evaluation of the Usefulness of Sorbents in the Remediation of Soil Exposed to the Pressure of Cadmium and Cobalt. Materials 2022, 15, 5738. [Google Scholar] [CrossRef]
- Wang, F.; Zhang, S.; Cheng, P.; Zhang, S.; Sun, Y. Effects of Soil Amendments on Heavy Metal Immobilization and Accumulation by Maize Grown in a Multiple-Metal-Contaminated Soil and Their Potential for Safe Crop Production. Toxics 2020, 8, 102. [Google Scholar] [CrossRef] [PubMed]
- Lee, M.E.; Park, J.H.; Chung, J.W. Adsorption of Pb(II) and Cu(II) by Ginkgo-Leaf-Derived Biochar Produced under Various Carbonization Temperatures and Times. Int. J. Environ. Res. Public Health 2017, 14, 1528. [Google Scholar] [CrossRef]
- Chen, D.; Ye, X.; Jiang, Y.; Xiao, W.; Zhang, Q.; Zhao, S. Continuously applying compost for three years alleviated soil acidity and heavy metal bioavailability in a soil-asparagus lettuce system. Front. Plant Sci. 2022, 13, 972789. [Google Scholar] [CrossRef] [PubMed]
- Chen, M.H.; Yu, X.Z.; Feng, Y.X. Tracing the pollution and human risks of potentially toxic elements in agricultural area nearby the cyanide baths from an active private gold mine in Hainan Province, China. Environ. Geochem. Health 2022, 44, 3279–3296. [Google Scholar] [CrossRef]
- Yang, J.; Tan, X.; Shaaban, M.; Cai, Y.; Wang, B.; Peng, Q. Remediation of Cr(VI)-Contaminated Soil by Biochar-Supported Nanoscale Zero-Valent Iron and the Consequences for Indigenous Microbial Communities. Nanomaterials 2022, 12, 3541. [Google Scholar] [CrossRef]
- Chang, C.Y.; Yu, H.Y.; Chen, J.J.; Li, F.B.; Zhang, H.H.; Liu, C.P. Accumulation of heavy metals in leaf vegetables from agricultural soils and associated potential health risks in the Pearl River Delta, South China. Environ. Monit. Assess. 2014, 186, 1547–1560. [Google Scholar] [CrossRef]
- Huang, Z.; Wu, P.; Gong, B.; Dai, Y.; Chiang, P.C.; Lai, X.; Yu, G. Efficient Removal of Co2+ from Aqueous Solution by 3-Aminopropyltriethoxysilane Functionalized Montmorillonite with Enhanced Adsorption Capacity. PLoS ONE 2016, 11, e0159802. [Google Scholar] [CrossRef]
- Ravi, S.; Sharratt, B.S.; Li, J.; Olshevski, S.; Meng, Z.; Zhang, J. Particulate matter emissions from biochar-amended soils as a potential tradeoff to the negative emission potential. Sci. Rep. 2016, 6, 35984. [Google Scholar] [CrossRef]
- Run, L.W.; Shu, N.Z.; Tong, S.; Ying, M.X.; Tao, S.; Yuebing, S. Microstructure characteristics of aggregates and Cd immobilization performance under a 3-year sepiolite amendment: A field study. Sci. Total Environ. 2021, 798, 149269. [Google Scholar] [CrossRef]
- Zulfiqar, F.; Moosa, A.; Nazir, M.M.; Ferrante, A.; Ashraf, M.; Nafees, M.; Chen, J.; Darras, A.; Siddique, K.H.M. Biochar: An emerging recipe for designing sustainable horticulture under climate change scenarios. Front. Plant Sci. 2022, 13, 1018646. [Google Scholar] [CrossRef] [PubMed]






Disclaimer/Publisher’s Note: The statements, opinions and data contained in all publications are solely those of the individual author(s) and contributor(s) and not of MDPI and/or the editor(s). MDPI and/or the editor(s) disclaim responsibility for any injury to people or property resulting from any ideas, methods, instructions or products referred to in the content. |
© 2024 by the authors. Licensee MDPI, Basel, Switzerland. This article is an open access article distributed under the terms and conditions of the Creative Commons Attribution (CC BY) license (https://creativecommons.org/licenses/by/4.0/).
Share and Cite
Chen, Q.; Wang, L.; Li, B.; He, S.; Li, Y.; He, Y.; Liang, X.; Zhan, F. Remediation of Cadmium and Lead in Mine Soil by Ameliorants and Its Impact on Maize (Zea mays L.) Cultivation. Agronomy 2024, 14, 372. https://doi.org/10.3390/agronomy14020372
Chen Q, Wang L, Li B, He S, Li Y, He Y, Liang X, Zhan F. Remediation of Cadmium and Lead in Mine Soil by Ameliorants and Its Impact on Maize (Zea mays L.) Cultivation. Agronomy. 2024; 14(2):372. https://doi.org/10.3390/agronomy14020372
Chicago/Turabian StyleChen, Qiyue, Lei Wang, Bo Li, Siteng He, Yang Li, Yongmei He, Xinran Liang, and Fangdong Zhan. 2024. "Remediation of Cadmium and Lead in Mine Soil by Ameliorants and Its Impact on Maize (Zea mays L.) Cultivation" Agronomy 14, no. 2: 372. https://doi.org/10.3390/agronomy14020372
APA StyleChen, Q., Wang, L., Li, B., He, S., Li, Y., He, Y., Liang, X., & Zhan, F. (2024). Remediation of Cadmium and Lead in Mine Soil by Ameliorants and Its Impact on Maize (Zea mays L.) Cultivation. Agronomy, 14(2), 372. https://doi.org/10.3390/agronomy14020372

