Remediation Efficiency and Soil Properties of TCE-Contaminated Soil Treated by Thermal Conduction Heating Coupled with Persulfate Oxidation
Abstract
1. Introduction
2. Material and Methods
2.1. Soil Preparation
2.2. Description of the Experimental Reactor
2.3. Description of Experiments
2.4. Analytical Methods
2.4.1. Analysis Method for TCE in Soil
2.4.2. Soil Properties
2.5. Evaluation of Effectiveness by TCH-Only and TCH + PS Treatments
3. Results and Discussion
3.1. Removal of TCE in the TCH-Only Treatment
3.2. TCE Removal in the TCH + PS Treatment
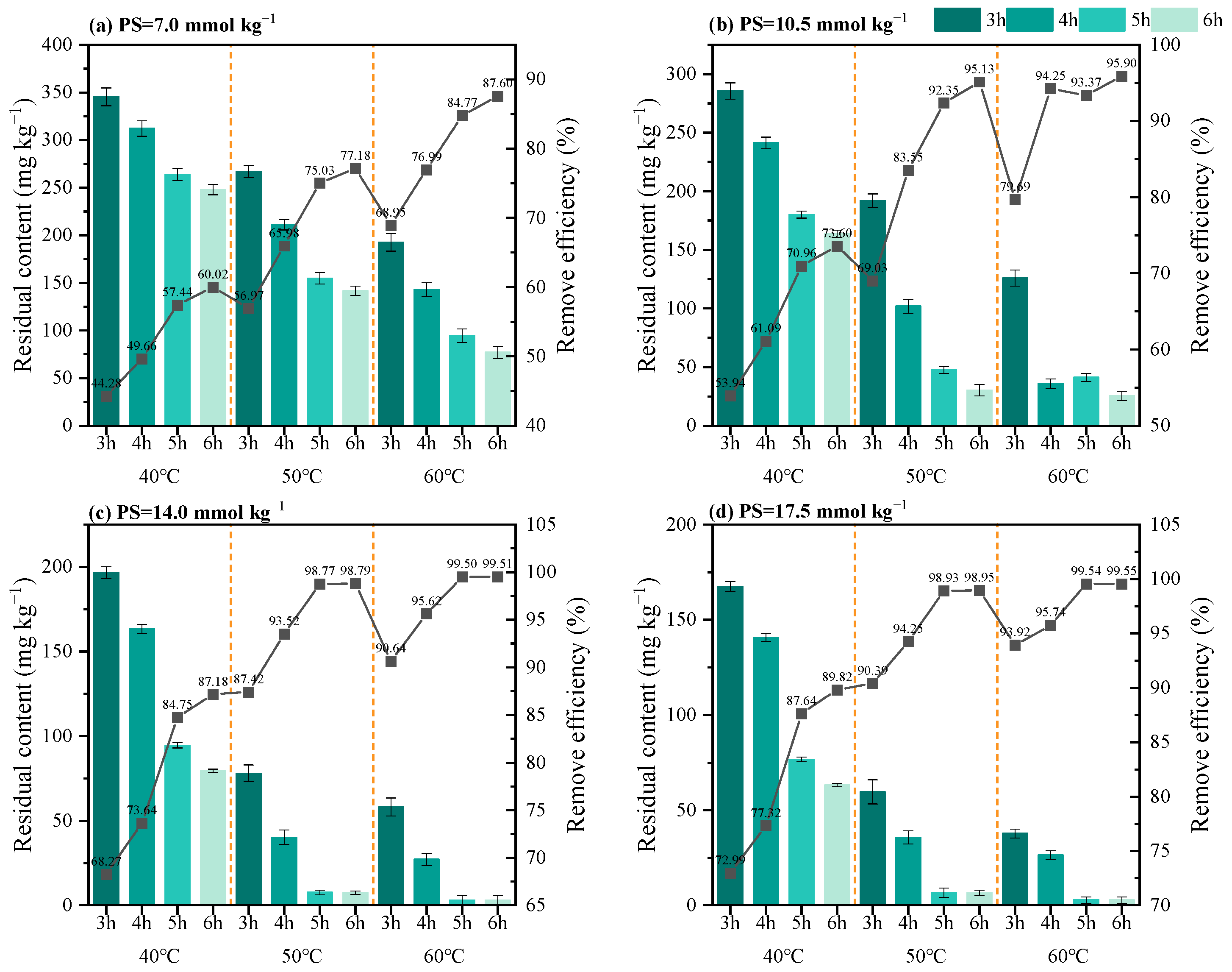
3.2.1. Influence of PS Dosage on TCE Removal Efficiency
3.2.2. PS Usage Efficiency in the TCH + PS Treatment
3.3. TCE Removal Kinetics in TCH-Only and TCH + PS Treatments
3.4. Soil pH and SOM Content Comparisons in TCH-Only and TCH + PS Treatments
4. Conclusions
Supplementary Materials
Author Contributions
Funding
Data Availability Statement
Conflicts of Interest
Abbreviations
References
- Kingston, J.L.T.; Johnson, P.C.; Kueper, B.H.; Mumford, K.G. In situ thermal treatment of chlorinated solvent source zones. In Chlorinated Solvent Source Zone Remediation; Kueper, B.H., Stroo, H.F., Vogel, C.M., Ward, C.H., Eds.; Springer: New York, NY, USA, 2014; pp. 509–557. [Google Scholar]
- Sun, X.; Zhao, L.; Huang, M.; Hai, J.; Liang, X.; Chen, D.; Liu, J. In-situ thermal conductive heating (TCH) for soil remediation: A review. J. Environ. Manag. 2024, 351, 119602. [Google Scholar] [CrossRef] [PubMed]
- Chen, Z.; Chen, Z.; Li, Y.; Zhang, R.; Liu, Y.; Hui, A.; Cao, W.; Liu, J.; Bai, H.; Song, J. A review on remediation of chlorinated organic contaminants in soils by thermal desorption. J. Ind. Eng. Chem. 2023, in press. [Google Scholar] [CrossRef]
- Triplett Kingston, J.L.; Dahlen, P.R.; Johnson, P.C. Assessment of Groundwater Quality Improvements and Mass Discharge Reductions at Five In Situ Electrical Resistance Heating Remediation Sites. Ground Water Monit. Remediat. 2012, 32, 41–51. [Google Scholar] [CrossRef]
- Heron, G.; Zutphen, M.; Christensen, T.; Enfield, C. Soil heating for enhanced remediation of chlorinated solvents: A laboratory study on resistive heating and vapor extraction in a silty, low-permeable soil contaminated with trichloroethylene. Environ. Sci. Technol. 1998, 32, 1474–1481. [Google Scholar] [CrossRef]
- Liang, C.J.; Bruell, C.J.; Marley, M.C.; Sperry, K.L. Thermally activated persulfate oxidation of trichloroethylene (TCE) and 1, 1, 1-trichloroethane (TCA) in aqueous systems and soil slurries. Soil Sediment Contam. Int. J. 2003, 12, 207–228. [Google Scholar] [CrossRef]
- Zhao, D.; Liao, X.; Yan, X.; Huling, S.G.; Chai, T.; Tao, H. Effect and mechanism of persulfate activated by different methods for PAHs removal in soil. J. Hazard. Mater. 2013, 254, 228–235. [Google Scholar] [CrossRef]
- Huang, K.C.; Zhao, Z.; Hoag, G.E.; Dahmani, A.; Block, P.A. Degradation of volatile organic compounds with thermally activated persulfate oxidation. Chemosphere 2005, 61, 551–560. [Google Scholar] [CrossRef]
- Chang, Y.C.; Chen, T.Y.; Tsai, Y.P.; Chen, K.F. Remediation of trichloroethene (TCE)-contaminated groundwater by persulfate oxidation: A field-scale study. RSC Adv. 2018, 8, 2433–2440. [Google Scholar] [CrossRef] [PubMed]
- Li, Y.; Zhang, J.; Li, Y.; Chen, J.; Du, W. Treatment of soil contaminated with petroleum hydrocarbons using activated persulfate oxidation, ultrasound, and heat: A kinetic and thermodynamic study. Chem. Eng. J. 2022, 428, 131336. [Google Scholar] [CrossRef]
- Waldemer, R.H.; Tratnyek, P.G.; Johnson, R.L.; Nurmi, J.T. Oxidation of chlorinated ethenes by heat-activated persulfate: Kinetics and products. Environ. Sci. Technol. 2007, 41, 1010–1015. [Google Scholar] [CrossRef]
- Yang, Z.; Wei, C.; Song, X.; Liu, X.; Tang, Z.; Liu, P.; Wei, Y. Thermal conductive heating coupled with in situ chemical oxidation for soil and groundwater remediation: A quantitative assessment for sustainability. J. Clean. Prod. 2023, 423, 138732. [Google Scholar] [CrossRef]
- Kiersch, K.; Kruse, J.; Regier, T.Z.; Leinweber, P. Temperature resolved alteration of soil organic matter composition during laboratory heating as revealed by C and N XANES spectroscopy and Py-FIMS. Thermochim. Acta 2012, 537, 36–43. [Google Scholar] [CrossRef]
- O’Brien, P.L.; DeSutter, T.M.; Casey, F.X.M.; Khan, E.; Wick, A.F. Thermal remediation alters soil properties—A review. J. Environ. Manag. 2018, 206, 826–835. [Google Scholar] [CrossRef]
- Sierra, M.J.; Millán, R.; López, F.A.; Alguacil, F.J.; Cañadas, I. Sustainable remediation of mercury contaminated soils by thermal desorption. Environ. Sci. Pollut. Res. 2016, 23, 4898–4907. [Google Scholar] [CrossRef]
- Ding, D.; Song, X.; Wei, C.; LaChance, J. A review on the sustainability of thermal treatment for contaminated soils. Environ. Pollut. 2019, 253, 449–463. [Google Scholar] [CrossRef]
- Zhou, Z.; Liu, X.; Sun, K.; Lin, C.; Ma, J.; He, M.; Ouyang, W. Persulfate-based advanced oxidation processes (AOPs) for organic-contaminated soil remediation: A review. Chem. Eng. J. 2019, 372, 836–851. [Google Scholar] [CrossRef]
- Cuypers, C.; Grotenhuis, T.; Rulkens, W.; Nierop, K.G.J.; Franco, E.M.; De Jager, A. Amorphous and condensed organic matter domains: The effect of persulfate oxidation on the composition of soil/sediment organic matter. Chemosphere 2002, 48, 919–931. [Google Scholar] [CrossRef] [PubMed]
- Teel, A.L.; Elloy, F.C.; Watts, R.J. Persulfate activation during exertion of total oxidant demand. Chemosphere 2016, 158, 184–192. [Google Scholar] [CrossRef] [PubMed]
- Cao, Y.; Yuan, X.; Zhao, Y.; Wang, H. In-situ soil remediation via heterogeneous iron-based catalysts activated persulfate process: A review. Chem. Eng. J. 2021, 431, 133833. [Google Scholar] [CrossRef]
- NY/T 1377-2007; Soil pH Determination. Ministry of Agriculture: Beijing, China, 2007.
- NY/T 1121.6-2006; Method for Determination of Soil Organic Matter. Ministry of Agriculture: Beijing, China, 2006.
- Zhao, C.; Dong, Y.; Feng, Y.; Li, Y.; Dong, Y. Thermal desorption for remediation of contaminated soil: A review. Chemosphere 2019, 221, 841–855. [Google Scholar] [CrossRef]
- Mumford, K.G.; Martin, E.J.; Kueper, B.H. Removal of trichloroethene from thin clay lenses by electrical resistance heating: Laboratory experiments and the effects of gas saturation. J. Contam. Hydrol. 2021, 243, 103892. [Google Scholar] [CrossRef]
- Zhang, Y. Study on the migration and oxidative degradation of 1,1,2-TCA in soil driven by heat. Master’s Thesis, East China University of Science And Technology, Shanghai, China, 2021. (In Chinese). [Google Scholar]
- Shih, Y.h. Sorption kinetics and thermodynamics of trichloroethylene in humic acid. Colloids Surf. A 2008, 317, 159–163. [Google Scholar] [CrossRef]
- Gilot, P.; Howard, J.; Peters, W. Evaporation phenomena during thermal decontamination of soils. Environ. Sci. Technol. 1997, 31, 461–466. [Google Scholar] [CrossRef]
- Gao, Y.; Dong, S.; Wang, C.; Chen, Y.; Hu, W. Effect of thermal intensity and initial moisture content on heat and moisture transfer in unsaturated soil. Sustain. Cities Soc. 2020, 55, 102069. [Google Scholar] [CrossRef]
- Han, Z.; Li, S.; Yue, Y.; Tian, Y.; Wang, S.; Qin, Z.; Ji, L.; Han, D.; Jiao, W. Enhancing remediation of PAH-contaminated soil through coupling electrical resistance heating using Na2S2O8. Environ. Res. 2021, 198, 110457. [Google Scholar] [CrossRef] [PubMed]
- Huang, M.; Wang, X.; Zhu, C.; Zhu, F.; Liu, P.; Wang, D.; Fang, G.; Chen, N.; Gao, S.; Zhou, D. Efficient chlorinated alkanes degradation in soil by combining alkali hydrolysis with thermally activated persulfate. J. Hazard. Mater. 2022, 438, 129571. [Google Scholar] [CrossRef] [PubMed]
- Ulucan-Altuntas, K.; Guvenc, S.Y.; Can-Guven, E.; Ilhan, F.; Varank, G. Degradation of oxytetracycline in aqueous solution by heat-activated peroxydisulfate and peroxymonosulfate oxidation. Environ. Sci. Pollut. Res. 2022, 29, 9110–9123. [Google Scholar] [CrossRef] [PubMed]
- Wang, L.; Peng, L.; Xie, L.; Deng, P.; Deng, D. Compatibility of surfactants and thermally activated persulfate for enhanced subsurface remediation. Environ. Sci. Technol. 2017, 51, 7055–7064. [Google Scholar] [CrossRef] [PubMed]
- Zhang, F.; Liu, Z.; Su, X.; Lv, C.; Liu, J. Effects of soil types and composition on oxidative degradation of volatile chlorinated hydrocarbons by thermally activated persulfate. J. Jilin Univ. (Earth Sci. Ed.) 2018, 48, 9. (In Chinese) [Google Scholar]
- Yang, P.; Ji, Y.; Lu, J. Transformation of ammonium to nitrophenolic byproducts by sulfate radical oxidation. Water Res. 2021, 202, 117432. [Google Scholar] [CrossRef] [PubMed]
- Crincoli, K.R.; Green, C.; Huling, S.G. Sulfate Radical Scavenging by Mineral Surfaces in Persulfate-Driven Oxidation Systems: Reaction Rate Constants and Implications. Environ. Sci. Technol. 2020, 54, 1955–1962. [Google Scholar] [CrossRef] [PubMed]
- Huie, R.E.; Clifton, C.L. Temperature dependence of the rate constants for reactions of the sulfate radical, SO4-, with anions. J. Phys. Chem. 1990, 94, 8561–8567. [Google Scholar] [CrossRef]
- Fan, Y.; Ji, Y.; Kong, D.; Lu, J.; Zhou, Q. Kinetic and mechanistic investigations of the degradation of sulfamethazine in heat-activated persulfate oxidation process. J. Hazard. Mater. 2015, 300, 39–47. [Google Scholar] [CrossRef] [PubMed]
- Costanza, J.; Marcet, T.; Capiro, N.L.; Pennell, K.D. Tetrachloroethene Release and Degradation During Combined ERH and Sodium Persulfate Oxidation. Ground Water Monit. Remediat. 2017, 37, 43–50. [Google Scholar] [CrossRef]
- Knauss, K.G.; Dibley, M.J.; Leif, R.N.; Mew, D.A.; Aines, R.D. Aqueous oxidation of trichloroethene (TCE): A kinetic analysis. Appl. Geochem. 1999, 14, 531–541. [Google Scholar] [CrossRef]






| pH | The Content of SOM/% | Total Nitrogen (g/kg) | Total Phosphorus (g/kg) | Total Potassium (g/kg) | Size Distribution | ||
|---|---|---|---|---|---|---|---|
| <0.002 mm | 0.02–0.002 mm | 2.0–0.02 mm | |||||
| 7.53 | 2.399 | 0.787 | 3.557 | 9.530 | 26.32% | 55.13% | 18.55% |
| Type | PS Usage (mmol/kg) | 40 °C | 50 °C | 60 °C | |||
|---|---|---|---|---|---|---|---|
| kobs | R2 | kobs | R2 | kobs | R2 | ||
| Pseudo-first-order ln(Ct/C0) = −kt | 0 | 7.72 × 10−2 | 0.98 | 1.76 × 10−1 | 0.94 | 2.64 × 10−1 | 0.91 |
| 7 | 1.16 × 10−1 | 0.97 | 2.21 × 10−1 | 0.96 | 3.17 × 10−1 | 0.99 | |
| 10.5 | 1.96 × 10−1 | 0.97 | 6.32 × 10−1 | 0.99 | 4.66 × 10−1 | 0.75 | |
| 14 | 3.27 × 10−1 | 0.95 | 8.69 × 10−1 | 0.89 | 1.10 | 0.89 | |
| 17.5 | 3.53 × 10−1 | 0.95 | 8.32 × 10−1 | 0.88 | 1.00 | 0.85 | |
Disclaimer/Publisher’s Note: The statements, opinions and data contained in all publications are solely those of the individual author(s) and contributor(s) and not of MDPI and/or the editor(s). MDPI and/or the editor(s) disclaim responsibility for any injury to people or property resulting from any ideas, methods, instructions or products referred to in the content. |
© 2024 by the authors. Licensee MDPI, Basel, Switzerland. This article is an open access article distributed under the terms and conditions of the Creative Commons Attribution (CC BY) license (https://creativecommons.org/licenses/by/4.0/).
Share and Cite
Fan, T.; Shen, W.; Ding, D.; Wang, X.; Zhao, Y.; Wei, C.; Song, X.; Zhang, S.; Jin, D.; Wan, J. Remediation Efficiency and Soil Properties of TCE-Contaminated Soil Treated by Thermal Conduction Heating Coupled with Persulfate Oxidation. Agronomy 2024, 14, 348. https://doi.org/10.3390/agronomy14020348
Fan T, Shen W, Ding D, Wang X, Zhao Y, Wei C, Song X, Zhang S, Jin D, Wan J. Remediation Efficiency and Soil Properties of TCE-Contaminated Soil Treated by Thermal Conduction Heating Coupled with Persulfate Oxidation. Agronomy. 2024; 14(2):348. https://doi.org/10.3390/agronomy14020348
Chicago/Turabian StyleFan, Tingting, Wenbo Shen, Da Ding, Xiang Wang, Yuanchao Zhao, Changlong Wei, Xin Song, Shengtian Zhang, Decheng Jin, and Jinzhong Wan. 2024. "Remediation Efficiency and Soil Properties of TCE-Contaminated Soil Treated by Thermal Conduction Heating Coupled with Persulfate Oxidation" Agronomy 14, no. 2: 348. https://doi.org/10.3390/agronomy14020348
APA StyleFan, T., Shen, W., Ding, D., Wang, X., Zhao, Y., Wei, C., Song, X., Zhang, S., Jin, D., & Wan, J. (2024). Remediation Efficiency and Soil Properties of TCE-Contaminated Soil Treated by Thermal Conduction Heating Coupled with Persulfate Oxidation. Agronomy, 14(2), 348. https://doi.org/10.3390/agronomy14020348

