Next Article in Journal
Comparison of Visual and Normalized Difference Vegetation Index (NDVI) Assessments to Predict the Yield Tolerance of Wheat Genotypes to Root-Lesion Nematode Pratylenchus thornei
Next Article in Special Issue
Effects of No-Tillage on Field Microclimate and Yield of Winter Wheat
Previous Article in Journal
Soil and Leaf Nutrient Status of Selected Valencia Orange Orchards in the Gharb Plain of Morocco
Previous Article in Special Issue
Impact of No Tillage and Low Emission N Fertilization on Durum Wheat Sustainability, Profitability and Quality
 
 
Font Type:
Arial Georgia Verdana
Font Size:
Aa Aa Aa
Line Spacing:
Column Width:
Background:
Article

Evaluation of the Potential Use of Wild Relatives of Tomato (Solanum pennellii) to Improve Yield and Fruit Quality Under Low-Input and High-Salinity Cultivation Conditions

1
Laboratory of Plant Breeding and Biometry, Agricultural University of Athens, 11855 Athens, Greece
2
Department of Food Science and Technology, School of Agriculture, Forestry and Natural Environment, Aristotle University of Thessaloniki, 54124 Thessaloniki, Greece
3
Laboratory of Enzyme Technology, Department of Biotechnology, School of Applied Biology and Biotechnology, Agricultural University of Athens, 11855 Athens, Greece
4
Laboratory of Vegetable Crop Science, Department of Agriculture, International Hellenic University, Sindos, 57400 Thessaloniki, Greece
*
Authors to whom correspondence should be addressed.
Agronomy 2024, 14(12), 3042; https://doi.org/10.3390/agronomy14123042
Submission received: 3 November 2024 / Revised: 12 December 2024 / Accepted: 17 December 2024 / Published: 20 December 2024

Abstract

Salinity stress is a major abiotic factor limiting tomato (Solanum lycopersicum) production, particularly in arid and semi-arid regions. Utilizing genetic resources from wild tomato relatives, such as Solanum pennellii, through the exploitation of introgression lines (ILs) provides a promising strategy to enhance salt tolerance. This study evaluates the performance of nine tomato genotypes, including one commercial tomato hybrid (Formula F1) and eight ILs under three different soil salinity levels (1.88, 6.44, and 8.63 mS/cm), trying to identify salt-tolerant lines that maintain yield and fruit quality. Morphological characteristics, gas exchange parameters, yield traits, fruit quality characteristics, and antioxidant activity were assessed. High-performance liquid chromatography (HPLC) was employed to quantify the levels of carotenoids, namely lycopene and β-carotene, of fruits in selected genotypes. Additionally, total antioxidant capacity was measured in leaves, using DPPH, FRAP and FOLIN assays. The results indicate that out of all the evaluated characteristics, four plant-related traits, four fruit-related traits, one gas exchange parameter, and three productivity-related traits presented strong correlations to total yield (g/plant). These 12 traits could be considered as potential indexes for genotype salinity tolerance discrimination and could be utilized as an efficient marker tool for distinguishing tolerant genotypes to salinity stress, allowing breeders to reduce the time-consuming process of developing new salinity-tolerant varieties. Regarding genotypes’ ranking based on the relative performance of agronomic traits under a salinity regime of 8.63 mS/cm compared to a salinity regime of 1.88 mS/cm, IL6-6 exhibited significant tolerance to high-salinity conditions compared to the commercial hybrid and other ILs, like IL8-9. This tolerant IL maintained higher plant growth, yield, and fruit quality traits, including elevated levels in its fruits’ carotenoids and leaves’ antioxidant capacity, under severe salinity conditions, highlighting its potential for breeding programs targeting saline environments. ILs can help maintain productivity and fruit quality under salinity stress, making them a promising solution for sustainable tomato cultivation in salinity-affected regions. These findings, combined with previous results, suggest that tomato introgression lines offer a valuable genetic resource for developing tomato varieties suitable for harsh environments.

1. Introduction

Climate change is a result of human activities, especially the combustion of fossil fuels, deforestation, and industrial processes, which cause significant and persistent alterations in global climate patterns. These changes have wide-ranging consequences, affecting areas, such as agriculture, public health, water resources, energy production, and biodiversity [1]. Climate change has aggravated abiotic stressing factors, like increased temperature, drought, atmospheric pollution, and salinity stress, subjecting plants to harsh and extreme climates. These challenging conditions negatively impact the morphological, developmental, cellular, and molecular processes within plants [2].
The detrimental impact of excessive mineral salts, such as Na+ and Cl, on plants is known as salt or salinity stress and composes a significant abiotic stressor that limits plant growth and productivity [3,4]. Soil salinity is a critical issue in modern agriculture, posing significant challenges to crop productivity by disrupting plant water uptake and causing osmotic and ionic stress. This leads to stunted growth, reduced photosynthetic activity, and ultimately lower yields [5,6]. Arid and semi-arid regions, like Greece, characterized by low rainfall, high evapotranspiration rates, elevated temperatures, and limited water availability, are more affected by salinity stress [7]. Soil salinity occurs due to the accumulation of salts, either water-soluble, like sodium chloride (NaCl) and sodium carbonate (Na2CO3), or partially water-soluble salts, such as calcium chloride (CaCl2) [7]. A soil type is classified as saline when its electrical conductivity (EC) reaches 4 mS/cm, which significantly disrupts plant metabolism, leading to symptoms, like chlorosis, necrosis in plants and, consequently, low yield and fruit quality [8]. To mitigate the effects of salinity stress, plants have developed various adaptive mechanisms, including maintaining ionic balance by regulating their Na+ concentration and Na+/K+ ratio [9,10]. They also accumulate osmoprotectants, like proline, to reduce cytoplasmic osmotic potential, as well as ascorbic acid, glycine betaine and signaling molecules, such as ethylene and hydrogen peroxide (H2O2). H2O2 belongs to the family of reactive oxygen species (ROS), and they are usually found to increase at the first stages of exposure to a stressing factor, but after the signal induction from the plants’ metabolism, they are found to demonstrate reduced accumulation in the plants’ tissues [7,11,12]. To this end, plants activate various ROS-scavenging enzymes, including ascorbate peroxidase (APX) and catalase (CAT) [10,13].
Tomato (Solanum lycopersicum L.), one of the most important vegetable crops with high nutritional and economic value [14], is particularly sensitive to salinity stress. High levels of salt in the soil impair fruit yield and quality by altering physiological processes, like ion balance, water use efficiency, and nutrient absorption. These changes result in smaller fruits, reduced sugar and acid content, and overall poor market value. Understanding and improving salt tolerance in tomato varieties is a key area of research to sustain productivity in areas affected by salinization [15,16]. Wild tomato species often exhibit higher tolerance to salt due to their evolution in non-optimum environments. Tomato introgression lines (ILs) can provide a valuable solution to addressing salinity stress by introducing salt-tolerance traits from wild relatives into cultivated varieties. These lines are developed through hybridization between cultivated tomatoes and wild species, followed by backcrossing to transfer specific genomic regions, or “introgressions”, associated with desirable traits [17]. By introducing these genetic regions into cultivated tomatoes, breeders can enhance the crop’s ability to cope with high-salinity without compromising fruit quality or yield [18]. Several research studies examine the impact of soil salinity on root development in tomato ILs of Solanum lycopersicum × Solanum pennellii, identifying salt-tolerant lines and loci involved in root growth under saline conditions through testing different NaCl concentrations and analyzing introgression lines for potential genetic markers of salt stress tolerance [19]. In view of climate change, it is essential to adopt sustainable agricultural practices and breed tomato cultivars to improve crop adaptability to environmental stressors, like soil salinity, while maintaining crop yield and quality. Soil salinity is a major abiotic stress factor in Greece, leading to land degradation and a decrease in quality and yield for tomato cultivation. Moreover, the narrow genetic base and the absence of resistance traits in the currently cultivated varieties and hybrids of tomato creates the demanding issue of how to breed commercial varieties that are well-adapted to the saline soils of the country. Exploiting native germplasm or wild relatives to introduce novel allelic combinations into existing varieties is an efficient strategy used in tomato breeding programs to enhance resistance to biotic and abiotic challenges, with special attention recently given to introgression lines [20,21,22,23,24,25,26]. The present research study contributes to the exploration of agriculturally useful traits among morphological, physiological, and fruit quality characteristics of the ILs studied, related to their tolerance in soils characterized by different levels of salinity content. Thus, this study seeks to address a critical issue for breeders and producers by examining and proposing specific traits that can be utilized as indexes for the selection of salt-tolerant genotypes. Utilizing and exploiting these genetic resources in future breeding programs to create commercial tomato varieties tolerant to abiotic stressors, like salinity, can provide an effective solution to the crop production problems arising due to climate change, helping farmers to maintain tomato yield and quality in low-input farming systems [27].
Towards this end, in the present study, nine tomato genotypes (eight ILs and one commercial variety) were cultivated under three different soil salinity conditions (low, medium, and high salinity). For all the genotypes, phenotypic characterization and descriptive characteristics were measured according to UPOV. Fruit quality was monitored by conducting resistance of the flesh to pressure, total soluble solids (oBrix), and pH measurements. Gas exchange parameters were also determined. Fruit quality characteristics, total carotenoids, lycopene and β-carotene concentrations were determined for four selected genotypes through high-performance liquid chromatography (HPLC). Three out of the four genotypes were selected according to their extreme resistance and susceptibility to salt stress for the determination of their antioxidant capacity, which was determined by the Folin–Ciocalteu reagent method, DPPH radical scavenging activity, and ferric reducing antioxidant power assay (FRAP). Finally, we intended to provide information on whether the ILs previously screened for tolerance to the holoparasitic weed Orobanche sp. [17] are well-adapted to the salinity conditions of Greek soils, and, therefore, whether they can be incorporated in the next phases of tomato breeding programs for biotic/abiotic stress tolerance. Additionally, under saline soils, these ILs can be utilized as rootstocks in grafting experiments.

2. Materials and Methods

2.1. Plant Material and Soil Analysis

In the present work, one commercial tomato (S. lycopersicum) hybrid “Formula F1”, with high adaptability in Greek environmental conditions [28] and eight ILs (S. lycopersicum x S. pennellii) developed by Eshed in 1995 [29], were studied regarding their tolerance to soil salinity stress (Figure 1). These specific genotypes have previously been studied in experiments regarding their tolerance against broomrape parasitism, which consists of a severe biotic stressor [17], in the framework of the scientific project «ZeroParasitic» (project ID: 1485). Since these genotypes exhibited increased tolerance to biotic stresses, they were selected to be tested for their resistance to abiotic stresses and specifically to salinity stress. The nine genotypes were cultivated in an organic (low-input) cultivation system at the following three different soil salinity conditions: A: 1.88 mS/cm, B: 6.44 mS/cm, and C: 8.63 mS/cm. For tomato plants, soil salinity values above 2.5 to 3.0 mS/cm are generally considered stressful, with significant impacts on plant growth, fruit yield, and quality [30]; thus, in this research we considered treatment A: 1.88 mS/cm to be our control treatment [31].
Soil analysis was conducted across the three soil salinity conditions, revealing the following characteristics: the soil was classified as sandy loam, comprising 60% sand, 33% silt, and 7% clay, which was consistent across all experimental plots. Under the different soil salinity levels (electrical conductivity, (EC): A = 1.88 mS/cm, B = 6.44 mS/cm, and C = 8.63 mS/cm), the pH exhibited a slight increase, ranging from 7.88 at soil condition A to 7.90 at condition B and 7.98 at condition C. Calcium carbonate (CaCO3) content was absent in all soil salinity conditions. The organic matter content remained consistent across the soil conditions (approximately 2%). The sodium (Na) concentration, however, increased significantly with higher salinity levels, rising from 200 mg/kg at salinity level A to 497 mg/kg at level B and to 970 mg/kg at level C, indicating substantial salt accumulation in the soil. Regarding the freshwater used in the experiment, it exhibited a pH of 7.86 and an EC of 0.483 mS/cm. Continuous irrigation with freshwater was applied during the experimental procedure across all three soil conditions.

2.2. Methodology

The experiment was conducted under organic farming conditions, during spring–summer 2024, in a non-heated greenhouse at the farm of the Alexandria Campus of International Hellenic University, Sindos-Thessaloniki (40°40′ N lat., 22°47′ E long., 4 m alt.). The experimental plant material was prepared conventionally. Tomato seeds were sown in a peat-based substrate and left at 25 °C for 5 days to germinate. After 20 days, the seedlings were transplanted into individual seedling trays filled with peat substrate and grown for another 20 days without any fertilizer application. Irrigation was carried out every two days. Subsequently, the seedlings were transplanted into the field with a planting distance of 50 cm between plants within rows and 1 m between rows. Drip irrigation was applied every two days to ensure an adequate water supply. In each of the three sub-experiments with different soil salinity levels (A, B, and C), a randomized complete block design (RCBD) was used, with three replications, with each experimental unit consisting of ten plants. Organic cropping practices were followed with no chemical applications. All observations were taken on an individual plant basis, and for each entry, descriptive, qualitative, and yield characteristics were determined. Sampling of leaves and fruits for further experimentation was conducted 72 days after transplantation (72 D.A.T.).

2.3. Traits Evaluated

2.3.1. Descriptive and Gas Exchange Characteristics

Phenotypic characterization and descriptive characteristics were measured according to the UPOV system concerning plants, leaves, flowers, and fruits of all the genotypes studied (https://www.upov.int/test_guidelines/en/list.jsp, code 044, accessed on 18 June 2024). More specifically 32 characteristics were measured: plant growth type, number of inflorescences on the main stem, plant height, height of the 4th inflorescence, length of internodes, anthocyanin coloration of the stem, leaf attitude, leaf length, leaf width, leaf’s intensity of green color, attitude of the petiole of leaflets in relation to the petiole, type of leaf, blistering of leaves, type of inflorescence, flower color, pedicel abscission layer, pubescence of pedicle, presence of green shoulder in fruits, extent of green shoulder, intensity of green color of shoulder, intensity of green color excluding the shoulder, fruit’s shape in the longitudinal section, fruit’s ribbing, fruit’s depression at the pedicel end, fruit’s shape at the blossom end, size of pedicle scar, fruit’s polar diameter, fruit’s equatorial diameter, fruit’s internal color, thickness of pericarp, number of carpels, and peduncle size inside the fruit. Ten out of the thirty-two estimated characteristics were selected to be presented based on their importance and on their response under the three treatments with different soil salinity concentrations.
Gas exchange parameters (net rate of CO2 assimilation or net photosynthesis rate (A); transpiration rate (E); intercellular CO2 (ci); and stomatal conductance (gs)) were measured using a portable open-circuit gas-exchange instrument (LCPro, ADC BioScientific Ltd., Hoddesdon, UK), equipped with a broad leaf chamber enclosing 6.25 cm2 of leaf area. Water use efficiency (WUE) was calculated as the ratio of net photosynthesis rate to transpiration rate (A/E) [32].
Two red ripe stage fruits were harvested (the first and second fruit of the second cluster of each plant) for all nine genotypes and the three salinity treatments applied, and their nutritional value was evaluated. Fully developed tomato leaves from the upper third of each plant were also collected.

2.3.2. Fruit Quality Characteristics

Determination of Total Soluble Solids (TSS), pH, and Resistance of the Flesh to Pressure of the Fruit
The total soluble solids (TSS) were determined with the use of an Atago PR-100 hand refractometer on the juice taken from each fruit sample. The flesh’s resistance to pressure (firmness) (kg) was measured using a Chatillon penetrometer with a plunger of 3.4 mm in diameter and 9.5 mm in length. pH measurements were also conducted to determine the fruit quality.
High-Performance Liquid Chromatography (HPLC)
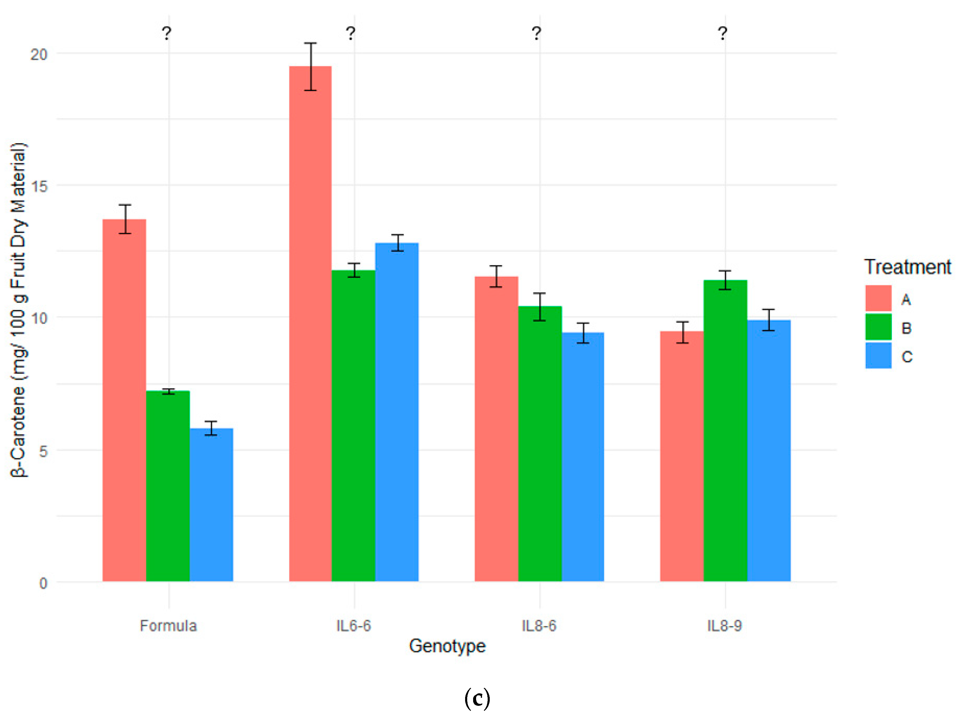
Regarding the nutritional value of the fruits under the three soil salinity conditions, four genotypes were selected for further experimentation: the commercial hybrid, Formula, as well as two potentially tolerant (IL6-6 and IL8-6) ILs and one susceptible (IL8-9) IL, according to the results of the descriptive characteristics. Individual major carotenoids, namely lycopene and β-carotene, were determined using HPLC. The tomato fruit samples were frozen and subsequently lyophilized using a HyperCOOL HC8080 lyophilizer (Gyrozen Co., Ltd., Incheon, Republic of Korea) (−80 °C, 0.1 mbar), so that the dried material could be used for the determination of carotenoids. Specifically, a certain amount of the lyophilized sample (~0.25 g) was used for the analysis. A total of two consecutive extractions were performed to ensure the complete decolorization of the plant material. Carotenoids were extracted using cold acetone at a solid–solvent ratio of 1:40 (w/v). The extraction was carried out using a UltraTurrax homogenizer (IKA, Stanfen, Germany) at 11,000 rpm for 10 min. Then, the mixture was centrifuged (6000 rpm, 10 min), the supernatant was collected, and the solid residue was re-extracted with fresh acetone until it was completely discolored. The carotenoid content of the tomato fruits, expressed in mg per 100 g of fruit dry material, was determined using HPLC. In particular, the HPLC system consisted of a Marathon IV series HPLC pump (Rigas Laboratories, Thessaloniki, Greece), an injection valve with a 20 μL fixed loop (Rheodyne Cotaki, CA, USA), and a UV6000 LP diode array detector (DAD; Thermo Separation Products, San Jose, CA, USA). Separation was carried out isocratically on a Kromasil 100 C18 5 μm (250 × 4.6 mm i.d.) column (MZ Analysentechnik GmbH, Mainz, Germany) as described by Mantzouridou and Tsimidou [33]. Column temperature was set at 30 °C with the aid of a Timberline TL-50 controller and maintained as such in a TL-340 column heater. The elution system consisted of a mixture of acetone–acetonitrile (60:40, v/v). The flow rate was 1.2 mL/min. The injection volume was 20 µL. The analytical sample was prepared after proper dilution (1:2, v/v) with methanol and filtration through 0.45 μm PTFE filters (Frisenette, Knebel, Denmark). The identification of the major components of the examined plant extracts was achieved by comparing their retention times and spectral characteristics with the available literature data and by using standard compounds. The quantitative determination of carotenoids was performed using appropriate calibration curves of lycopene and β-carotene. The results were expressed as mg/100 g of dry plant material.

2.3.3. Determination of Total Leaf Antioxidant Capacity

Based on the previously mentioned descriptive characteristics three genotypes were selected according to their tolerance or susceptibility to salt stress for further study, namely Formula (medium tolerant), IL6-6 (tolerant), and IL8-9 (susceptible). The total antioxidant capacity of leaf methanolic extracts (using 80% MeOH) was determined for the lowest and the highest soil salinity treatments (A and C, respectively) and different methods were applied [31]. For the methanolic extracts, 1 g of frozen tomato leaf was weighed and dissolved using a pestle and mortar in 4 mL of 80% MeOH (Sigma-Aldrich, St. Louis, MO, USA).
The Folin–Ciocalteu reagent method was performed according to Singleton et al.’s protocol with several modifications [34] to estimate the total phenolic content of the leaves. Plant extract was mixed with Folin–Ciocalteu reagent. After 5 min, saturated sodium carbonate solution (Na2CO3 25% w/v) was then added to the reaction mixture and incubated for 60 min. The absorbance was recorded at 725 nm and phenolic content was estimated using gallic acid as standard.
DPPH (2,2-Diphenyl-1-picrylhydrazyl) radical scavenging activity was examined according to Brand-Williams et al.’s method with some modifications [35]. DPPH (Sigma-Aldrich, St. Louis, MO, USA) radical solution (0.1 mM) was mixed with methanolic extract (0.4 mg each) in an 8:2 proportion and incubated under dark for 10 min at room temperature (RT). Absorbance was recorded at 517 nm against solvent blank, and percentage inhibition was calculated by using the following formula: I% = (Abscontrol − Abssample/Abscontrol) × 100.
A ferric reducing antioxidant power assay (FRAP) was also conducted. The FRAP reagent was prepared by adding acetate buffer (300 mM, pH 3.6), TPTZ (10 mM) in HCl (40 mM), and ferric chloride (FeCl3) (20 mM) (Sigma-Aldrich, Sigma-Aldrich, St. Louis, MO, USA). Then, 1.5 μL of methanolic extract was mixed with the FRAP reagent for total volume of 200 μL, and the absorbance was recorded at 593 nm after 10 min of incubation.

2.3.4. Statistic Analysis and Visualizations

Τhe results of the present study were statistically analyzed by conducting Ma ltifactor ANOVA (p value < 0.05), while for the homogenous subsets, the Duncan test was performed using the statistical package SPSS (Version 18.0) [36]. Visualizations and cross-validation of the results given by the statistical package SPSS were generated using R packages (version 4.3.2; R Core Team, 2023) [37]. Duncan’s test was performed using the agricolae package in R for the analysis of variance (ANOVA) results [38]. For each task, box plots, bar plots, and heatmaps were created using ggplot2 [39] (version 4.3.3 ), reshape2 [40] (version 4.3.3), and dplyr [41] (version 1.1.2), respectively.

3. Results

3.1. Descriptive and Gas Exchange Characteristics

The descriptive characteristics of the genotypes were assessed in accordance with the UPOV system. Several of these characteristics are presented in the following tables. The nine genotypes did not differ statistically in terms of the number of inflorescences on the main stem, measured 72 days after transplantation (72 D.A.T.). However, the IL 6-6 variety exhibited the highest number of inflorescences (6.44). Soil salinity significantly reduced this characteristic in the highest salinity treatment (C), which is a typical response to severe salinity stress. Additionally, all genotypes presented decreased plant height and leaf size under the higher salinity treatments (B and C). Among the genotypes, ‘Formula’ displayed the greatest plant height and leaf size, followed by IL8-9, IL6-0, and ‘IL6-6’ (regarding plant height) and ‘IL6-6’ (regarding leaf size). In contrast, ‘IL8-9’ exhibited the lowest values for leaf size (Table 1). There were significant decreases of 5.5% and 16.3% in leaf length and significant decreases of 10% and 20.4% in leaf width under salinity treatments B and C, respectively. For the height of fourth inflorescence, no statistical differences between the three treatments were found. Taking into account the fact that the height of the fourth inflorescence is, in general, preferred to be short, the best performance was observed in the introgression lines IL6-3, IL6-0, IL8-1, and IL6-6 (Table 1).
Measurements of fruit characteristics, including polar and equatorial diameter, pericarp thickness, peduncle size within the fruit, and number of carpels were also conducted. High-salinity conditions impacted most of these traits across all genotypes studied. Specifically, the polar and equatorial diameters exhibited a significant increase under treatment B, while a statistically significant decrease was observed under salinity treatment C. In general, differences among the genotypes regarding polar and equatorial diameters were observed, with ‘Formula’ exhibiting the highest values (which is normal considering it is a large-fruited tomato variety) followed by ‘IL6-6’, while the lowest values were exhibited in ‘IL8-1’ and ‘IL8-9’ (Table 2). Considering pericarp thickness, no statistical differences were displayed among the three salinity treatments. Regarding the genotypes, IL6-0 did not differ from Formula (they both exhibited the highest values), in contrast to IL8-1 and IL8-9, which exhibited the lowest values (Table 2). Referring to the trait of peduncle size inside the fruit, statistically, the highest values were measured under salinity treatment C, which deteriorates fruit quality. Among the genotypes, IL6-6 and Formula exhibited the most increased values. Considering the trait of the number of carpels, under salinity treatment C, a statistically significant decrease was observed compared to salinity treatments A and B. The introgression lines did not present significant differences; however, a lower number of carpels compared to the large fruited hybrid Formula was observed, as expected (Table 2).
Measurements of the gas exchange parameters did not show statistically significant differences among the genotypes or across the three soil salinity treatments. However, under treatments B and C, the values of internal CO2 concentration (ci), transpiration rate (E), and stomatal conductance (gs) were decreased compared to treatment A. For IL6-6, although there were no statistically significant differences to the rest of the genotypes, it demonstrated some of the most increased ci, A, and WUE values, while the E and gs values showed an extreme decline, indicating a potential resistance of that genotype to salinity stress. In contrast, IL8-9, although it demonstrated high ci, it presented lower values for the majority of the other traits measured, and is considered to be a potentially susceptible genotype to salt stress (Table 3).
Measurements regarding early and total yield characteristics were also determined. Early yield sampling was conducted at 65 DAT, while total yield sampling was carried out at 95 DAT. Fruit number per plant, yield per plant, and weight per fruit were measured to determine both early and total yield. In both early and total yield, the trait of fruit number did not demonstrate any significant differences among the three salinity treatments. However, in comparisons made when comparing the two higher salinity treatments (B and C) to treatment A, increased levels of fruit weight were observed under treatment B (33% in early yield and 19% in total yield measurements) leading to a total yield increase. In contrast, under treatment C, fruit weight declined notably, both in early and total yield (reaching a 29% and 34% reduction, respectively), significantly affecting the total productivity. This change in fruit weight between the two higher salinity treatments led to a corresponding increase in total yield (g/plant) of 33% and 13% under treatment B and a decrease of 42% and 38% under treatment C, in early and total production, respectively (Figure 2).
Similar observations can be noticed in Figure 3, Figure 4 and Figure 5, where comparisons among the nine genotypes have been conducted for total yield characteristics per plant between the lowest and the highest soil salinity treatments, i.e., A and C, respectively. Regarding the number of fruits per plant, there are no statistically different observations through the different ILs (Figure 3), while yield per plant and weight per fruit demonstrate significant differences between the two salinity conditions among the different genotypes (Figure 4 and Figure 5). More specifically, regarding the number of fruits in total yield, when comparing the lowest (A) and the highest (C) soil salinity, the results indicate that the ILs did not differ statistically (Figure 3). IL6-6 was the only genotype that maintained high values of yield traits under salinity treatment C. The same genotype, in terms of early yield (g/plant), showed an increase of 38% and 2%, while in total yield, it showed an increase of 48% and 18%, for treatments B and C, compared to treatment A, respectively. IL8-9 showed the greatest reduction under treatment C compared to treatment A, in terms of early and total yields (g/plant) of 61% and 64%, respectively. Concerning the different genotypes, IL6-6 and IL8-6 demonstrated some of the highest values in all the evaluated yield characteristics, while IL8-9 represented one of the lowest values regarding the yield per plant trait, both in terms of early and total yield (Table 4).

3.2. Fruit Quality Characteristics

The resistance of fruit flesh to pressure and total soluble solids (TSS) were also affected by severe soil salinity stress. A non-significant increase of 5% in environment B and a significant decrease of 14% in environment C were observed for this trait. ‘Formula’ was identified as the most susceptible genotype to flesh pressure, whereas the ILs displayed varying degrees of tolerance, with ‘IL9-5’, ‘IL8-6’, and ‘IL6-6’ being the most tolerant. TSS levels were generally higher in most ILs and lower in ‘Formula’. A progressive and statistically significant decrease for this characteristic was observed among the three treatments, with values of 8% (treatment B) and 31% (treatment C), respectively. IL6-3 demonstrated high TSS values under treatment A, and it maintained its high values under treatment C (Figure 6). pH was not significantly influenced by the different soil salinity conditions, although pH differences were noted among the genotypes, with ‘IL6-3’, ‘Formula’, ‘IL8-1’ and ‘IL6-6’ presenting the highest values (Table 5). Figure 6 demonstrates the TSS and their significant differences, comparing each genotype in the lowest (A) and in the highest (C) soil salinity condition. Most ILs presented a significant reduction in TSS, while Formula, IL6-0 and IL6-3 reduced the TSS, but not significantly (Figure 6).
During the statistical analysis, a multifactorial ANOVA was employed to reveal whether the interaction between the genotypes and the three soil salinity levels had a significant effect on the studied characteristics. The results showed statistically significant interaction only for polar diameter, where the interaction of genotypes and salinity levels had a significant effect on this characteristic with a p value of 0.012 (<0.05).
Four genotypes were selected for further investigation of their fruit quality under the three soil salinity conditions, based on their descriptive, gas exchange, and yield characteristics. ‘Formula’, a commercial tomato hybrid used as a reference for salinity tolerance, was compared with ‘IL6-6’ and ‘IL8-6’, identified as resistant lines, and ‘IL8-9’, discriminated for its susceptibility to salinity stress. The results show that in the normal salinity condition (A), ‘Formula’ has a total carotenoid (T.C.) content of approximately 172 mg/100 g dry material (D.M.), but this value is reduced notably under salinity stress, reaching 89 mg/100 g D.M. under treatment B (a 48% reduction) and 74 mg/100 g D.M. under treatment C (a 57% reduction). Interestingly, the highest T.C. content under normal salinity was found in ‘IL6-6’, with 237 mg/100 g D.M. Notably, under severe salinity stress, ‘IL6-6’ retains 155 mg/100 g D.M. under treatment C (35% reduction), only 17 mg lower than ‘Formula’ under normal conditions, indicating that ‘IL6-6’ preserves high nutritional value even under high salinity. While ‘IL8-6’ and ‘IL8-9’ initially show lower T.C. accumulation under normal salinity (A) compared to the other two genotypes, under severe salinity stress, the T.C. levels in ‘IL8-9’ are only slightly reduced, and in ‘IL8-6’, they remain stable (Figure 7a). A similar trend is observed in lycopene and beta-carotene accumulations, further emphasizing that the ILs, particularly ‘IL6-6’, maintain higher fruit quality under salinity stress compared to ‘Formula’ (Figure 7b,c).

3.3. Leaf Total Antioxidant Capacity

The antioxidant defense system in leaves, including antioxidant compounds (total phenols measured by the FOLIN method) and antioxidant capacity assessed using two different methods (DPPH and FRAP) were also evaluated. Three out of the previous four genotypes were selected for further experimentation considering the descriptive, photosynthetic, yield, and nutritional value results (Formula as control, IL6-6 as the tolerant genotype, and IL8-9 as the susceptible genotype to salinity). In terms of total phenols using the FOLIN method, no statistically significant (ns) differences were observed when comparing each genotype individually across the two salinity treatments. However, when comparing the genotypes within each salinity treatment, it was found that the total phenol content was significantly higher in the two ILs compared to Formula under treatment A (Figure 8).
The determination of antioxidant capacity using the DPPH method showed that only ‘IL8-9’ exhibited a significant reduction in inhibition percentage (%) under salinity stress (C) compared to normal salinity conditions (A). When comparing the mean inhibition among genotypes, differences were observed across all genotypes under treatment A and between IL6-6 and IL8-9 under treatment C. IL6-6 maintains inhibition (%) under both treatments (Figure 9).
Similar results were observed with the FRAP method, where antioxidant capacity was significantly reduced under treatment (C) for ‘IL8-9’ compared to treatment (A). Comparisons between the genotypes under treatment (A) revealed that ‘IL6-6’ had a significantly higher antioxidant capacity compared to Formula. However, under treatment (C), no significant differences were found between the genotypes’ responses to high salinity (Figure 10).

3.4. Trait Correlations and Genotype Performance Under Salinity Stress

Breeding for crop yield maintenance is the most critical quantitative trait regarding salinity tolerance. In Figure 11, the Pearson correlation index of total yield with other traits highlights key characteristics that could serve as potential indicators of genotype tolerance to salinity stress. In the analysis conducted, considering the three different soil salinity treatments, agronomic traits related to plant height and fruit morphology exhibit strong positive correlations with total yield (g/plant). Specifically, traits, such as plant height (cm), height of the fourth inflorescence, and length of three internodes, display a robust positive correlation with total yield. Similarly, fruit-related parameters, including polar diameter, equatorial diameter, pericarp thickness, and the number of carpels, show a strong positive association with yield, highlighting that larger fruit size and greater pericarp thickness enhance yield potential in varying salinity conditions. Moderate positive correlations are observed with other traits, such as the resistance of flesh to pressure (Kg) and peduncle size inside the fruit (mm). In contrast, biochemical parameters, including FOLIN, FRAP, DPPH, β-carotene, and lycopene, display weak or no correlation with total yield. Physiological traits related to gas exchange parameters, such as WUE, A, gs, and ci, present mixed correlations, which are predominantly weak or neutral, indicating that these traits are not significantly associated with yield variations in response to salinity stress. Overall, these findings underscore the greater importance of agronomic traits, particularly those related to plant height, fruit size, and structural integrity, in association with yield under salinity stress, compared to biochemical and specific physiological parameters (Figure 11). The traits that were found to be strongly related to yield could potentially be utilized as indexes for genotype salinity tolerance discrimination.
The heatmap in Figure 12 illustrates the ranking of the nine studied genotypes based on the specific agronomic traits that correlated significantly (Pearson correlation coefficient higher than 0.5) with yield, when comparing their gain or loss (%), in soil salinity environments (treatment C compared to treatment A). Each cell color represents the score (1–9) for a given trait in each genotype, with darker colors indicating lower scores, which are preferable (i.e., lower scores represent better performance). Genotypes IL6-6, IL6-3, and IL9-5 show darker cells for many traits, indicating more favorable trait performance under treatment C compared to treatment A. Conversely, some genotypes, such as IL9-8, IL8-9, and ΙL 6-0, display lighter colors for multiple traits, suggesting a comparatively weaker performance in response to treatment C. This heatmap provides a visual assessment of genotype performance for multiple traits, aiming to identify salt-tolerant genotypes suitable for high-salinity environments (Figure 12).

4. Discussion

The present study highlights the potential use of tomato introgression lines (ILs) for cultivation under adverse environmental conditions without compromising fruit quality. The findings demonstrate the nine tomato genotypes’ responses in salinity stress through the evaluation of descriptive characteristics, gas exchange parameters, productivity, fruit quality, nutritional value, and antioxidant capacity.
The traits for which notable genotypic variations were not found are probably linked to the genomic segments that are shared by the genotypes rather than the introgressed fragments [24]. Only the features exhibiting genotypic differences will be explicitly discussed, since the differences favored by the introgressed segments are the ones of interest.
Among all the traits measured, no significant differences were observed under the three salinity regimes (soil salinity of 1.88 mS/cm, 6.44 mS/cm, and 8.63 mS/cm) for some of them, like the number of inflorescences, pericarp thickness, E (transpiration rate), gs (stomatal conductance), A (net photosynthetic rate), WUE (water use efficiency), early fruit number/plant, fruit number/plant, and pH. In a 2014 study, Barrios-Masias et al. [42] investigated the ecophysiological traits related to WUE and yield in California processing tomatoes, using introgression lines (ILs) with benefits in leaf gas exchange-related traits that are relevant to crop improvement under dry and hot environments. Although it was previously shown in ILs of other plant species [43] that estimating the net assimilation rate could be a useful method for differentiating between genotypes that are tolerant to salt stress and those that are not, no statistically significant differences were observed in our studied ILs. However, IL6-6 exhibited high water use efficiency (WUE) under saline conditions, a trait that also mediates drought tolerance, as recently described [44,45].
Regarding the polar diameter and equatorial diameter of the fruit, there was an increase in fruit size in salinity treatment B while a significant decrease in fruit size was observed in salinity treatment C. Similarly, for the related trait of fruit weight, a notable increase was observed under treatment B in both early and total yield, whereas a significant decrease occurred under treatment C. In a recent review article, Guo et al. in 2022 [15] addressed the impact of salinity on fruit morphological traits in tomatoes, summarizing findings from various studies on how salt stress affects fruit size, indicating that severe salinity stress can affect fruit size, potentially leading to more irregular or smaller fruit. Similarly, in our study, it was observed that the fruit morphological traits are generally affected by high-salinity regimes.
Leaf size and soluble solids demonstrated a significant and gradual decrease in values as salinity levels increased. Relevant results regarding leaf morphology are also revealed in a study conducted by Rebah et al., where they studied three tomato ILs by measuring morphological parameters, like total leaf area, thirty-two days after transplantation [22]. Similarly, Ali et al., 2021, demonstrated a smaller reduction in growth parameters, such as leaf number and shoot length, under salinity treatments in tomato ILs compared to the commercial varieties [23], which is in accordance with our findings regarding plants’ height. Furthermore, Chitwood et al. in 2013 examined leaf morphological characteristics across an IL population. The study identified specific genomic regions linked to traits, such as leaf complexity, curvature, and shape, and the findings suggest that introgressed segments from S. pennellii contribute to morphological diversity in leaf traits, revealing complex genetic interactions that underlie leaf development and shape in tomatoes [46]. However, according to several research studies, while morphological size and weight are often reduced, salinity stress can increase certain quality parameters in low soil salinity concentrations, such as soluble solid content, potentially due to reduced water content in tomato fruit, which leads to the increased concentration of sugars and organic acids, resulting in higher TSS levels and enhanced flavor intensity [15]. Nonetheless, our work indicates there are some ILs, like IL6-3, that maintain high levels of total soluble solids under severe salinity stress.
Regarding traits related to the nutritional value of the fruit—total carotenoids, lycopene, and β-carotene—genotypes responded in a different manner in the two saline environments compared to treatment A (and not necessarily in accordance to their general response to increased salinity). In accordance with this, Rebah et al. (2018) compared the responses of three tomato introgression lines to salinity stress and found a decrease in the carotenoid content in both the tolerant and the sensitive genotype [22]. In our study, IL6-6 under severe salinity stress maintained its nutritional value, almost at the same level as Formula under normal salinity conditions, highlighting its value as breeding material.
Concerning traits associated with leaf antioxidant capacity (total phenolics, total antioxidants via DPPH, and total antioxidants via FRAP), similar or lower concentrations were generally observed under treatment C compared to treatment A. The findings of Frary et al., 2010, reported an opposite response, when studying the wild tomato (S. pennellii) and other introgression lines that accumulated more antioxidant components (phenolics, flavonoids, SOD, CAT, and APX) than the cultivated tomato under the salt stress (150 mM NaCl) [47]. This can be attributed to the small duration of their experiment (21 days) and the different environmental conditions.
The most important feature, however, whose response appears as the general consequence of the action of all other characteristics and mechanisms of salinity tolerance, is the overall yield performance of genotypes. For this characteristic, therefore, in the comparison between treatments, treatment B did not differ significantly from treatment A, while C lagged significantly behind both other salinity treatments. In fact, the increase in value in terms of fruit weight under treatment B, a characteristic that, in contrast to the number of fruits per plant, seems to be influenced by salinity, implies a corresponding increase in yield in this treatment, whereas the reduction in values under treatment C in fruit weight has an effect on the corresponding reduction in yield. It appears that tomato genotypes react differently to different salinity treatments and, in this case, between 6.44 mS/cm and 8.63 mS/cm, there is a change in the effect of salinity on plant’s yield performance.
During research on unraveling characteristics and criteria for tolerance to salinity of tomato genotypes, it may help to focus on those characteristics that are significantly associated with the overall yield. Estimating the absolute values of these characteristics at the different salinity levels is not sufficient without a proportionate assessment of the relative change (%) in the values of these characteristics under the different salinity regimes. After estimating the relative change in the values of these characteristics and classifying the genotypes from 1 to 9 accordingly from salinity level C to salinity level A, genotypes IL6-6 and IL8-9 were observed to be in the first and last position, respectively.
Therefore, it is necessary to assess the behavior of these two genotypes as two extreme classes, namely tolerance (IL6-6) and susceptibility/non-tolerance (IL8-9) to salinity, to better understand the critical characteristics that give or indicate tolerance. Table 6 below presents the classification of genotypes in terms of measured characteristics as general averages in all three salinity treatments (Table 6). It is observed that the tolerant genotype IL6-6 is found to have the vast majority of characteristics in the first place in the ranking, while the sensitive one (IL8-9) has a majority of characteristic in last place in the ranking. Therefore, the salinity-tolerant genotype not only has the best relative behavior in terms of change in the values of its studied characteristics under high salinity (treatment C) compared to treatment A, but it is also generally characterized by high values in the studied characteristics.
In conditions of very high (extreme) salinity, it seems that the yield depends more on the weight of the fruit rather than on the number of fruits per plant, a condition that prevails at normal salinity levels. This is evidenced by the higher correlation between yield and fruit weight (0.85 p value 0.01) compared to the correlation of yield with the number of fruits per plant (0.59, p value 0.01), in the present study. This is also in accordance with Pessoa et al., 2023, where 10 tomato ILs were subjected to drought stress and one of the characteristics that was correlated to increased tolerance was fruit weight rather than the number of fruits per plant [24].
Some of these ILs have been tested in the field under high Orobanche sp. Infestation stress and performed well [17]. For instance, line IL6-3 performed well in both saline soils and soils infected with Orobanche sp. It would be of great agronomic importance to test the resilient lines under combinatorial stress and monitor their performance. These results could potentially contribute to increased crop resilience under scenarios of abiotic/biotic stress combinations.

5. Conclusions

In conclusion, this study emphasizes the value of utilizing tomato ILs for breeding programs for the cultivation of tomatoes under saline conditions without sacrificing fruit quality and yield. Genotypes, like IL6-6, which showed resilience in yield and fruit weight under high salinity, emerged as potential candidates for breeding programs aiming to improve tomato’s salinity tolerance. Critical traits, such as fruit weight, plant height, and leaf length, under saline conditions proved to be indicators of tolerance. Additionally, high yield correlated more closely to fruit weight than fruit number at elevated salinity levels. These insights offer a framework for breeders: focusing on these key traits and relative changes in trait values under varying salinity levels can guide the selection of tolerant genotypes with stable yields and high quality under saline soils. Leveraging these ILs with possible combined resilience to abiotic/biotic stressors can pave the way for breeding high-quality tomato cultivars suited for a plethora of adverse environments, especially given the increasing challenges posed by climate change.

Author Contributions

Conceptualization, I.A. and E.T.; methodology, I.A.; software, M.G.; validation, I.A. and M.G.; formal analysis, I.A., M.G., A.K., D.N. and E.G.C.; investigation, M.G., D.N. and A.K.; resources, I.A., I.M., E.T. and E.G.C.; data curation, I.A., I.M., E.T. and E.G.C.; writing—original draft preparation, I.A., M.G. and E.T.; writing—review and editing, I.A., E.T. and M.G.; visualization, M.G.; supervision, I.A. and E.T.; project administration, I.A. and E.T.; funding acquisition, I.A., I.M., E.T. and E.G.C. All authors have read and agreed to the published version of the manuscript.

Funding

This research received no external funding.

Data Availability Statement

Further data supporting the reported results can be made available upon reasonable request from the corresponding authors.

Acknowledgments

The research work was partly supported by the Hellenic Foundation for Research and Innovation (HFRI) under the 3rd Call for HFRI PhD Fellowships (Proposal Number: 06001).

Conflicts of Interest

The authors declare no conflicts of interest.

References

  1. Rawat, A.; Kumar, D.; Khati, B.S. A Review on Climate Change Impacts, Models, and Its Consequences on Different Sectors: A Systematic Approach. J. Water Clim. Chang. 2023, 15, 104–126. [Google Scholar] [CrossRef]
  2. Chaudhry, S.; Sidhu, G.P.S. Climate Change Regulated Abiotic Stress Mechanisms in Plants: A Comprehensive Review. Plant Cell Rep. 2022, 41, 1–31. [Google Scholar] [CrossRef] [PubMed]
  3. Parihar, P.; Singh, S.; Singh, R.; Singh, V.P.; Prasad, S.M. Effect of Salinity Stress on Plants and Its Tolerance Strategies: A Review. Environ. Sci. Pollut. Res. 2015, 22, 4056–4075. [Google Scholar] [CrossRef]
  4. Mall, M.; Kumar, R.; Akhtar, M.Q. Horticultural Crops and Abiotic Stress Challenges. In Stress Tolerance in Horticultural Crops; Elsevier: Amsterdam, The Netherlands, 2021; pp. 1–19. [Google Scholar]
  5. Deinlein, U.; Stephan, A.B.; Horie, T.; Luo, W.; Xu, G.; Schroeder, J.I. Plant Salt-Tolerance Mechanisms. Trends Plant Sci. 2014, 19, 371–379. [Google Scholar] [CrossRef]
  6. Gruda, N.S.; Dong, J.; Li, X. From Salinity to Nutrient-Rich Vegetables: Strategies for Quality Enhancement in Protected Cultivation. Crit. Rev. Plant Sci. 2024, 43, 327–347. [Google Scholar] [CrossRef]
  7. Nawaz, K.; Hussain, K.; Majeed, A.; Khan, F.; Afghan, S.; Ali, K. Fatality of Salt Stress to Plants: Morphological, Physiological and Biochemical Aspects. Afr. J. Biotechnol. 2010, 9, 5475–5480. [Google Scholar]
  8. Munns, R.; Tester, M. Mechanisms of Salinity Tolerance. Annu. Rev. Plant Biol. 2008, 59, 651–681. [Google Scholar] [CrossRef] [PubMed]
  9. Gharsallah, C.; Fakhfakh, H.; Grubb, D.; Gorsane, F. Effect of Salt Stress on Ion Concentration, Proline Content, Antioxidant Enzyme Activities and Gene Expression in Tomato Cultivars. AoB Plants 2016, 8, plw055. [Google Scholar] [CrossRef]
  10. Toscano, S.; Romano, D.; Ferrante, A. Molecular Responses of Vegetable, Ornamental Crops, and Model Plants to Salinity Stress. Int. J. Mol. Sci. 2023, 24, 3190. [Google Scholar] [CrossRef] [PubMed]
  11. Zhu, T.; Deng, X.; Zhou, X.; Zhu, L.; Zou, L.; Li, P.; Zhang, D.; Lin, H. Ethylene and Hydrogen Peroxide Are Involved in Brassinosteroid-Induced Salt Tolerance in Tomato. Sci. Rep. 2016, 6, 35392. [Google Scholar] [CrossRef] [PubMed]
  12. Kahlaoui, B.; Hachicha, M.; Misle, E.; Fidalgo, F.; Teixeira, J. Physiological and Biochemical Responses to the Exogenous Application of Proline of Tomato Plants Irrigated with Saline Water. J. Saudi Soc. Agric. Sci. 2018, 17, 17–23. [Google Scholar] [CrossRef]
  13. Sofo, A.; Scopa, A.; Nuzzaci, M.; Vitti, A. Ascorbate Peroxidase and Catalase Activities and Their Genetic Regulation in Plants Subjected to Drought and Salinity Stresses. Int. J. Mol. Sci. 2015, 16, 13561–13578. [Google Scholar] [CrossRef] [PubMed]
  14. Ouattara, S.S.S.; Konate, M. The Tomato: A Nutritious and Profitable Vegetable to Promote in Burkina Faso. Alex. Sci. Exch. J. 2024, 45, 11–20. [Google Scholar] [CrossRef]
  15. Guo, M.; Wang, X.-S.; Guo, H.-D.; Bai, S.-Y.; Khan, A.; Wang, X.-M.; Gao, Y.-M.; Li, J.-S. Tomato Salt Tolerance Mechanisms and Their Potential Applications for Fighting Salinity: A Review. Front. Plant Sci. 2022, 13, 949541. [Google Scholar] [CrossRef]
  16. Roșca, M.; Mihalache, G.; Stoleru, V. Tomato Responses to Salinity Stress: From Morphological Traits to Genetic Changes. Front. Plant Sci. 2023, 14, 1118383. [Google Scholar] [CrossRef]
  17. Gerakari, M.; Kotsira, V.; Kapazoglou, A.; Tastsoglou, S.; Katsileros, A.; Chachalis, D.; Hatzigeorgiou, A.G.; Tani, E. Transcriptomic Approach for Investigation of Solanum Spp. Resistance upon Early-Stage Broomrape Parasitism. Curr. Issues Mol. Biol. 2024, 46, 9047. [Google Scholar] [CrossRef]
  18. Gur, A.; Zamir, D. Unused Natural Variation Can Lift Yield Barriers in Plant Breeding. PLoS Biol. 2004, 2, e245. [Google Scholar] [CrossRef]
  19. Ferrari, G.; Americo, S.; Prazzoli, M.L.; Beretta, M. Investigating Genetic Control of Salt Stress Tolerance in Tomato Commercial Hybrid Cultivars and Solanum pennellii Introgression Lines. In Proceedings of the XVI International Symposium on Processing Tomato 1351, San Juan, Argentina, 21 March–1 April 2022; pp. 165–174. [Google Scholar]
  20. Kapazoglou, A.; Gerakari, M.; Lazaridi, E.; Kleftogianni, K.; Sarri, E.; Tani, E.; Bebeli, P.J. Crop Wild Relatives: A Valuable Source of Tolerance to Various Abiotic Stresses. Plants 2023, 12, 328. [Google Scholar] [CrossRef]
  21. Kissoudis, C.; Sunarti, S.; Van De Wiel, C.; Visser, R.G.; van der Linden, C.G.; Bai, Y. Responses to Combined Abiotic and Biotic Stress in Tomato Are Governed by Stress Intensity and Resistance Mechanism. J. Exp. Bot. 2016, 67, 5119–5132. [Google Scholar] [CrossRef] [PubMed]
  22. Rebah, F.; Ouhibi, C.; Alamer, K.H.; Msilini, N.; Nasri, M.B.; Stevens, R.; Attia, H. Comparison of the Responses to NaCl Stress of Three Tomato Introgression Lines. Acta Biol. Hung. 2018, 69, 464–480. [Google Scholar] [CrossRef] [PubMed]
  23. Ali, A.A.M.; Romdhane, W.B.; Tarroum, M.; Al-Dakhil, M.; Al-Doss, A.; Alsadon, A.A.; Hassairi, A. Analysis of Salinity Tolerance in Tomato Introgression Lines Based on Morpho-Physiological and Molecular Traits. Plants 2021, 10, 2594. [Google Scholar] [CrossRef]
  24. Pessoa, H.P.; Dariva, F.D.; Copati, M.G.F.; de Paula, R.G.; de Oliveira Dias, F.; Gomes, C.N. Uncovering Tomato Candidate Genes Associated with Drought Tolerance Using Solanum pennellii Introgression Lines. PLoS ONE 2023, 18, e0287178. [Google Scholar] [CrossRef] [PubMed]
  25. Dharbaranyam, B.; Sakthivel, K.; Venkataraman, G. De Novo Domestication of Wild and Halophilic Plants for Designing Salt-Tolerant Crops: Acceleration through CRISPR. In Genetics of Salt Tolerance in Plants; Ganie, S.A., Wani, S.H., Eds.; CABI: Wallingford, UK, 2024; pp. 144–168. ISBN 978-1-80062-301-9. [Google Scholar]
  26. Pompeiano, A.; Moles, T.M.; Viscomi, V.; Scartazza, A.; Huarancca Reyes, T.; Guglielminetti, L. Behind the Loss of Salinity Resistance during Domestication: Alternative Eco-Physiological Strategies Are Revealed in Tomato Clade. Horticulturae 2024, 10, 644. [Google Scholar] [CrossRef]
  27. Avdikos, I.D.; Tagiakas, R.; Mylonas, I.; Xynias, I.N.; Mavromatis, A.G. Assessment of Tomato Recombinant Lines in Conventional and Organic Farming Systems for Productivity and Fruit Quality Traits. Agronomy 2021, 11, 129. [Google Scholar] [CrossRef]
  28. Avdikos, I.D.; Tagiakas, R.; Tsouvaltzis, P.; Mylonas, I.; Xynias, I.N.; Mavromatis, A.G. Comparative Evaluation of Tomato Hybrids and Inbred Lines for Fruit Quality Traits. Agronomy 2021, 11, 609. [Google Scholar] [CrossRef]
  29. Eshed, Y.; Zamir, D. An Introgression Line Population of Lycopersicon pennellii in the Cultivated Tomato Enables the Identification and Fine Mapping of Yield-Associated QTL. Genetics 1995, 141, 1147–1162. [Google Scholar] [CrossRef] [PubMed]
  30. Acosta-Motos, J.R.; Ortuño, M.F.; Bernal-Vicente, A.; Diaz-Vivancos, P.; Sanchez-Blanco, M.J.; Hernandez, J.A. Plant Responses to Salt Stress: Adaptive Mechanisms. Agronomy 2017, 7, 18. [Google Scholar] [CrossRef]
  31. Azeem, M.; Pirjan, K.; Qasim, M.; Mahmood, A.; Javed, T.; Muhammad, H.; Yang, S.; Dong, R.; Ali, B.; Rahimi, M. Salinity Stress Improves Antioxidant Potential by Modulating Physio-Biochemical Responses in Moringa Oleifera Lam. Sci. Rep. 2023, 13, 2895. [Google Scholar] [CrossRef]
  32. Beer, C.; Ciais, P.; Reichstein, M.; Baldocchi, D.; Law, B.E.; Papale, D.; Soussana, J.-F.; Ammann, C.; Buchmann, N.; Frank, D.; et al. Temporal and Among-site Variability of Inherent Water Use Efficiency at the Ecosystem Level. Glob. Biogeochem. Cycles 2009, 23, 2008GB003233. [Google Scholar] [CrossRef]
  33. Mantzouridou, F.; Tsimidou, M.Z. On the Monitoring of Carotenogenesis by Blakeslea Trispora Using HPLC. Food Chem. 2007, 104, 439–444. [Google Scholar] [CrossRef]
  34. Singleton, V.L.; Rossi, J.A. Colorimetry of Total Phenolics with Phosphomolybdic-Phosphotungstic Acid Reagents. Am. J. Enol. Vitic. 1965, 16, 144–158. [Google Scholar] [CrossRef]
  35. Brand-Williams, W.; Cuvelier, M.-E.; Berset, C. Use of a Free Radical Method to Evaluate Antioxidant Activity. LWT Food Sci. Technol. 1995, 28, 25–30. [Google Scholar] [CrossRef]
  36. SPSS Inc. PASW Statistics 18; SPSS Inc.: Chicago, IL, USA, 2009. [Google Scholar]
  37. RStudio Team. RStudio: Integrated Development Environment for R, Version 4.3.2.; Computer Software: Boston, MA, USA, 2023.
  38. Felipe de Mendiburu. Agricolae: Statistical Procedures for Agricultural Research. 2019. Available online: https://scholar.google.com/scholar?hl=el&as_sdt=0%2C5&q=Felipe+de+Mendiburu+%282023%29.+agricolae%3A+Statistical+Procedures+for+Agricultural+Research.+R+package+version+1.3-6.+https%3A%2F%2FCRAN.R-project.org%2Fpackage%3Dagricolae&btnG= (accessed on 13 November 2024).
  39. Wickham, H. Ggplot2: Elegant Graphics for Data Analysis; Springer: New York, NY, USA, 2016. [Google Scholar]
  40. Wickham, H. Reshaping Data with the Reshape Package. J. Stat. Softw. 2007, 21, 1–20. [Google Scholar] [CrossRef]
  41. Wickham, H.; François, R.; Henry, L.; Müller, K.; Vaughan, D. Dplyr: A Grammar of Data Manipulation, R Package, Version 1.1.2.; Computer Software: Boston, MA, USA, 2023.
  42. Barrios-Masias, F.H.; Chetelat, R.T.; Grulke, N.E.; Jackson, L.E. Use of Introgression Lines to Determine the Ecophysiological Basis for Changes in Water Use Efficiency and Yield in California Processing Tomatoes. Funct. Plant Biol. 2013, 41, 119–132. [Google Scholar] [CrossRef] [PubMed]
  43. Dulai, S.; Molnár, I.; Molnár-Láng, M. Changes of Photosynthetic Parameters in Wheat/Barley Introgression Lines during Salt Stress. Acta Biol. Szeged. 2011, 55, 73–75. [Google Scholar]
  44. Machado, J.; Heuvelink, E.; Vasconcelos, M.W.; Cunha, L.M.; Finkers, R.; Carvalho, S.M.P. Exploring Tomato Phenotypic Variability under Combined Nitrogen and Water Deficit. Plant Soil 2024, 496, 123–138. [Google Scholar] [CrossRef]
  45. Cirillo, V.; Ruggiero, A.; Caullireau, E.; Di Covella, F.S.; Francesca, S.; Grillo, S.; Batelli, G.; Maggio, A. Isolating Water and Nitrogen Stress Tolerant Genotypes Among Tomato Landraces and Solanum pennellii Backcross Inbred Lines. J. Plant Growth Regul. 2024, 1–12. [Google Scholar] [CrossRef]
  46. Chitwood, D.H.; Kumar, R.; Headland, L.R.; Ranjan, A.; Covington, M.F.; Ichihashi, Y.; Fulop, D.; Jiménez-Gómez, J.M.; Peng, J.; Maloof, J.N. A Quantitative Genetic Basis for Leaf Morphology in a Set of Precisely Defined Tomato Introgression Lines. Plant Cell 2013, 25, 2465–2481. [Google Scholar] [CrossRef] [PubMed]
  47. Frary, A.; Göl, D.; Keleş, D.; Ökmen, B.; Pınar, H.; Şığva, H.Ö.; Yemenicioğlu, A.; Doğanlar, S. Salt Tolerance in Solanum pennellii: Antioxidant Response and Related QTL. BMC Plant Biol. 2010, 10, 58. [Google Scholar] [CrossRef] [PubMed]
Figure 1. The nine genotypes tested for the three soil salinity conditions: (A) 1.88 mS/cm, (B) 6.44 mS/cm, and (C) 8.63 mS/cm.
Figure 1. The nine genotypes tested for the three soil salinity conditions: (A) 1.88 mS/cm, (B) 6.44 mS/cm, and (C) 8.63 mS/cm.
Agronomy 14 03042 g001
Figure 2. Early and total yield measurements for fruit number per plant, yield per plant, and fruit weight, in early and total production, for salinity treatment values B = 6.44 mS/cm and C = 8.63 mS/cm, given as percentage (%) of salinity treatment A = 1.88 mS/cm. (*) = significant differences, p value 0.05.
Figure 2. Early and total yield measurements for fruit number per plant, yield per plant, and fruit weight, in early and total production, for salinity treatment values B = 6.44 mS/cm and C = 8.63 mS/cm, given as percentage (%) of salinity treatment A = 1.88 mS/cm. (*) = significant differences, p value 0.05.
Agronomy 14 03042 g002
Figure 3. The nine genotypes’ number of fruits per plant in total production under the two different salinity conditions (A = 1.88 mS/cm and C = 8.63 mS/cm). (*) = significant differences, p value 0.05.
Figure 3. The nine genotypes’ number of fruits per plant in total production under the two different salinity conditions (A = 1.88 mS/cm and C = 8.63 mS/cm). (*) = significant differences, p value 0.05.
Agronomy 14 03042 g003
Figure 4. The nine genotypes’ fruit weight of total production under the two different salinity conditions (A = 1.88 mS/cm and C = 8.63 mS/cm). (*) = significant differences, p value 0.05.
Figure 4. The nine genotypes’ fruit weight of total production under the two different salinity conditions (A = 1.88 mS/cm and C = 8.63 mS/cm). (*) = significant differences, p value 0.05.
Agronomy 14 03042 g004
Figure 5. The nine genotypes’ yield per plant of total production under the two different salinity conditions (A = 1.88 mS/cm and C = 8.63 mS/cm). (*) = significant differences, p value 0.05.
Figure 5. The nine genotypes’ yield per plant of total production under the two different salinity conditions (A = 1.88 mS/cm and C = 8.63 mS/cm). (*) = significant differences, p value 0.05.
Agronomy 14 03042 g005
Figure 6. The nine genotypes’ total soluble solids (TSS) under the two different salinity conditions (A = 1.88 mS/cm and C = 8.63 mS/cm). (*) symbol indicates the statistically significant differences between the two salinity conditions for each genotype as discriminated using R (version 4.3.2; R Core Team, 2023) (p value 0.05).
Figure 6. The nine genotypes’ total soluble solids (TSS) under the two different salinity conditions (A = 1.88 mS/cm and C = 8.63 mS/cm). (*) symbol indicates the statistically significant differences between the two salinity conditions for each genotype as discriminated using R (version 4.3.2; R Core Team, 2023) (p value 0.05).
Agronomy 14 03042 g006
Figure 7. (a) Total carotenoids (T.C.) accumulation in the four tomato genotypes under the three salinity treatments. (b) Lycopene accumulation in the four tomato genotypes under the three salinity treatments. (c) Beta-carotene accumulation in the four tomato genotypes under the three salinity treatments. (A = 1.88 mS/cm, B = 6.44 mS/cm, and C = 8.63 mS/cm). ”?” indicates the statistically significant differences between the three salinity conditions for each genotype as discriminated using R (version 4.3.2; R Core Team, 2023) (p value 0.05).
Figure 7. (a) Total carotenoids (T.C.) accumulation in the four tomato genotypes under the three salinity treatments. (b) Lycopene accumulation in the four tomato genotypes under the three salinity treatments. (c) Beta-carotene accumulation in the four tomato genotypes under the three salinity treatments. (A = 1.88 mS/cm, B = 6.44 mS/cm, and C = 8.63 mS/cm). ”?” indicates the statistically significant differences between the three salinity conditions for each genotype as discriminated using R (version 4.3.2; R Core Team, 2023) (p value 0.05).
Agronomy 14 03042 g007aAgronomy 14 03042 g007b
Figure 8. Total phenols content for the three genotypes between the two soil salinity treatments (A = 1.88 mS/cm, C = 8.63 mS/cm). ns = no significant differences among the comparisons, p value < 0.05). ”ns” indicates “non-statistically significant” differences between the three salinity conditions for each genotype as discriminated using R (version 4.3.2; R Core Team, 2023) (p value 0.05).
Figure 8. Total phenols content for the three genotypes between the two soil salinity treatments (A = 1.88 mS/cm, C = 8.63 mS/cm). ns = no significant differences among the comparisons, p value < 0.05). ”ns” indicates “non-statistically significant” differences between the three salinity conditions for each genotype as discriminated using R (version 4.3.2; R Core Team, 2023) (p value 0.05).
Agronomy 14 03042 g008
Figure 9. Antioxidant capacity (DPPH) for the three genotypes between the two soil salinity treatments (A = 1.88 mS/cm, C = 8.63 mS/cm). ns = no significant differences among the comparisons, (*) = significant differences, p value 0.05.
Figure 9. Antioxidant capacity (DPPH) for the three genotypes between the two soil salinity treatments (A = 1.88 mS/cm, C = 8.63 mS/cm). ns = no significant differences among the comparisons, (*) = significant differences, p value 0.05.
Agronomy 14 03042 g009
Figure 10. Antioxidant capacity (FRAP) for the three genotypes between the two soil salinity treatments (A = 1.88 mS/cm, C = 8.63 mS/cm). ns = no significant differences among the comparisons, (*) = significant differences, p value 0.05.
Figure 10. Antioxidant capacity (FRAP) for the three genotypes between the two soil salinity treatments (A = 1.88 mS/cm, C = 8.63 mS/cm). ns = no significant differences among the comparisons, (*) = significant differences, p value 0.05.
Agronomy 14 03042 g010
Figure 11. Pearson correlation heatmap displaying the correlation between various agronomic, physiological, and biochemical traits and total yield (g/plant) in tomato genotypes in all soil salinity treatments. Colors represent correlation strength, with intense red indicating strong positive and intense blue strong negative correlations, (*) = significant differences, p value 0.05. Abbreviations of the measured traits as presented on the above heatmap (Folin–Ciocalteu reagent method—FOLIN; ferric reducing antioxidant power assay—FRAP; 2,2-Diphenyl-1-picrylhydrazyl—DPPH; water use efficiency—WUE; net photosynthetic rate—A; stomatal conductance—gs; transpiration rate—E; internal CO2 concentration—ci; total soluble solids—TSS).
Figure 11. Pearson correlation heatmap displaying the correlation between various agronomic, physiological, and biochemical traits and total yield (g/plant) in tomato genotypes in all soil salinity treatments. Colors represent correlation strength, with intense red indicating strong positive and intense blue strong negative correlations, (*) = significant differences, p value 0.05. Abbreviations of the measured traits as presented on the above heatmap (Folin–Ciocalteu reagent method—FOLIN; ferric reducing antioxidant power assay—FRAP; 2,2-Diphenyl-1-picrylhydrazyl—DPPH; water use efficiency—WUE; net photosynthetic rate—A; stomatal conductance—gs; transpiration rate—E; internal CO2 concentration—ci; total soluble solids—TSS).
Agronomy 14 03042 g011
Figure 12. Heatmap showing genotype rankings based on the relative performance of agronomic traits under treatment C compared to treatment A. Darker colors represent lower scores, indicating better performance.
Figure 12. Heatmap showing genotype rankings based on the relative performance of agronomic traits under treatment C compared to treatment A. Darker colors represent lower scores, indicating better performance.
Agronomy 14 03042 g012
Table 1. Descriptive characteristics regarding the number of inflorescences on the main stem 72 days after transplantation (D.A.T.), plants’ height (cm), and leaves’ length and width (cm). Salinity treatment regimes: A = 1.88 mS/cm, B = 6.44 mS/cm, and C = 8.63 mS/cm.
Table 1. Descriptive characteristics regarding the number of inflorescences on the main stem 72 days after transplantation (D.A.T.), plants’ height (cm), and leaves’ length and width (cm). Salinity treatment regimes: A = 1.88 mS/cm, B = 6.44 mS/cm, and C = 8.63 mS/cm.
Number of Inflorescences on Main Stem (72 D.A.T.)Plant Height (cm)Leaf Length (cm)Leaf Width (cm)Height of the Fourth Inflorescence (cm)
GenotypeFormula 6.85 ± 0.64 a186.84 ± 9.35 a38.58 ± 1.96 a30.33 ± 2.48 a107.75 ± 4.29 a
IL6-06.94 ± 0.51 a67.17 ± 5.25 bc26.12 ± 1.06 b21.61 ± 1.38 bc36.81 ± 3.96 c
IL6-35.4 ± 0.28 a53.53 ± 3.91 c27.14 ± 0.72 b22.38 ± 1.54 bc 35.74 ± 3.97 c
IL6-66.44 ± 0.18 a 66.33 ± 3.65 bc29.13 ± 0.78 b25.79 ± 1.80 b 40.92 ± 4.30 c
IL8-16.17 ± 0.45 a54.51 ± 1.83 c26.54 ± 1.06 b21.81 ± 1.79 bc37.44 ± 4.59 c
IL8-65.73 ± 0.51 a60.33 ± 3.25 bc27.11 ± 0.77 b22.70 ± 0.96 bc42.02 ± 3.96 c
IL8-95.34 ± 0.42 a70.10 ± 5.80 b27.26 ± 1.06 b20.69 ± 1.54 c59.97 ± 4.29 b
IL9-55.62 ± 0.44 a 59.93 ± 3.74 bc26.77 ± 1.03 b23.80 ± 1.42 bc43.26 ± 4.28 c
IL9-85.36 ± 0.35 a67.41 ± 4.39 bc27.00 ± 1.39 b22.23 ± 1.50 bc46.95 ± 4.29 bc
Salinity treatmentA6.33 ± 0.23 a 78.89 ± 7.14 a30.47 ± 0.55 a25.99 ± 0.86 a 52.97 ± 2.29 a
B6.38 ± 0.29 a82.20 ± 9.33 a28.79 ± 0.60 b23.39 ± 0.93 b50.58 ± 2.54 a
C5.18 ± 0.26 b60.27 ± 5.14 b 25.50 ± 0.60 c20.70 ± 1.03 c46.74 ± 2.48 a
Letters indicate the statistically significant differences as discriminated using Duncan’s multiple range test (DMRT) (p value < 0.05).
Table 2. Descriptive characteristics measurements regarding the fruits’ polar diameter (cm), equatorial diameter (cm), pericarp thickness (mm), peduncle size in the fruit (mm), and number of carpels, according to the UPOV system. Salinity treatment regimes: A = 1.88 mS/cm, B = 6.44 mS/cm, and C = 8.63 mS/cm.
Table 2. Descriptive characteristics measurements regarding the fruits’ polar diameter (cm), equatorial diameter (cm), pericarp thickness (mm), peduncle size in the fruit (mm), and number of carpels, according to the UPOV system. Salinity treatment regimes: A = 1.88 mS/cm, B = 6.44 mS/cm, and C = 8.63 mS/cm.
Polar Diameter (cm)Equatorial Diameter (cm)Pericarp Thickness (mm)Peduncle Size Inside the Fruit (mm)Number of Carpels
GenotypeFormula 5.19 ± 0.11 a6.66 ± 0.14 a6.29 ± 0.12 a13.44 ± 1.37 ab4.16 ± 0.14 a
IL6-04.69 ± 0.17 ab4.26 ± 0.16 bc5.70 ± 0.24 ab14.19 ± 1.51 ab 2.23 ± 0.13 b
IL6-34.11 ± 0.09 c4.44 ± 0.16 b4.99 ± 0.24 bcd11.73 ± 0.77 bc2.62 ± 0.14 b
IL6-64.91 ± 0.15 ab4.48 ± 0.13 b5.45 ± 0.17 bc14.48 ± 0.71 a 2.49 ± 0.14 b
IL8-13.63 ± 0.16 c3.88 ± 0.18 c4.34 d ± 0.15 d10.60 ± 0.62 c2.63 ± 0.14 b
IL8-64.06 ± 0.18 c4.10 ± 0.23 bc5.47 ± 0.25 bc12.04 ± 0.68 abc2.58 ± 0.13 b
IL8-93.96 ± 0.31 c 3.93 ± 0.17 c 4.53 ± 0.31 d12.31 ± 0.62 abc2.37 ± 0.14 b
IL9-54.61 ± 0.37 b4.06 ± 0.22 bc5.08 ± 0.38 bcd11.93 ± 0.90 abc2.28 ± 0.14 b
IL9-83.88 ± 0.26 c4.20 ± 0.18 bc4.79 ± 0.45 cd10.71 ± 0.33 c2.35 ± 0.14 b
Salinity treatmentA4.31 ± 0.11 b4.43 ± 0.13 b5.02 ± 0.15 a 11.64 ± 0.38 b2.72 ± 0.08 a
B4.81 ± 0.16 a4.96 ± 0.19 a 5.23 ± 0.24 a 11.88 ± 0.40 b2.72 ± 0.09 a
C3.85 ± 0.15 c3.83 ± 0.17 c 5.34 ± 0.20 a 13.66 ± 0.80 a2.47 ± 0.08 b
Letters indicate the statistically significant differences as discriminated using Duncan’s multiple range test (DMRT) (p value < 0.05).
Table 3. Gas exchange parameters (ci: internal CO2 concentration; E: transpiration rate; gs: stomatal conductance; A: net photosynthetic rate; WUE: water use efficiency). Salinity treatment regimes: A = 1.88 mS/cm, B = 6.44 mS/cm, and C = 8.63 mS/cm.
Table 3. Gas exchange parameters (ci: internal CO2 concentration; E: transpiration rate; gs: stomatal conductance; A: net photosynthetic rate; WUE: water use efficiency). Salinity treatment regimes: A = 1.88 mS/cm, B = 6.44 mS/cm, and C = 8.63 mS/cm.
ci (vpm)E (mmol H2O m−2 s−1)gs (mmol m−2 s−1)A (μmol CO2 m−2 s−1)WUE (A/E)
GenotypeFormula 721.33 ± 96.28 a 2.64 ± 0.26 cd 0.22 ± 0.03 a32.95 ± 6.30 a 13.85 ± 2.95 a
IL6-0698.43 ± 111.47 a2.35 ± 0.31 d0.14 ± 0.03 a 19.30 ± 7.29 a10.07 ± 3.42 a
IL6-3533.79 ± 111.48 a 3.30 ± 0.32 abc0.28 ± 0.03 a29.31 ± 7.30 a9.07 ± 3.41 a
IL6-6707.33 ± 96.28 a2.48 ± 0.27 cd0.21 ± 0.03 a24.74 ± 6.29 a12.51 ± 2.95 a
IL8-1516.9 ± 96.284 a 3.24 ± 0.26 abcd 0.20 ± 0.03 a 26.69 ± 6.30 a8.49 ± 2.94 a
IL8-6579.50 ± 111.47 a 3.98 ± 0.30 a0.27 ± 0.03 a21.59 ± 7.30 a5.51 ± 3.42 a
IL8-9734.44 ± 96.28 a2.45 ± 0.27 cd0.14 ± 0.03 a18.48 ± 6.30 a8.27 ± 2.96 a
IL9-5501.83 ± 96.28 a 2.87 ± 0.26 bcd0.18 ± 0.03 a18.42 ± 6.29 a8.27 ± 2.95 a
IL9-8563.94 ± 104.32 a 3.63 ± 0.29 ab0.27 ± 0.03 a33.06 ± 6.82 a9.72 ± 3.12 a
Salinity treatmentA729.46 ± 58.66 a 3.21 ± 0.16 a 0.24 ± 0.17 a24.72 ± 3.80 a 9.05 ± 1.80 a
B551.38 ± 58.65 b 2.90 ± 0.16 a 0.21 ± 0.17 a22.71 ± 3.80 a8.84 ± 1.79 a
C575.40 ± 60.25 ab 2.79 ± 0.17 a 0.19 ± 0.18 a27.57 ± 3.90 a10.72 ± 1.85 a
Letters indicate the statistically significant differences as discriminated using Duncan’s multiple range test (DMRT) (p value < 0.05).
Table 4. Early and total yield measurements for: fruit number per plant; grams per plant; grams/fruit. Salinity treatment values: A = 1.88 mS/cm, B = 6.44 mS/cm, and C = 8.63 mS/cm.
Table 4. Early and total yield measurements for: fruit number per plant; grams per plant; grams/fruit. Salinity treatment values: A = 1.88 mS/cm, B = 6.44 mS/cm, and C = 8.63 mS/cm.
Early YieldTotal Yield
Fruit Number/
Plant
g/Plantg/FruitFruit Number/Plantg/Plantg/Fruit
GenotypeFormula 3.64 ± 0.56 d 458.54 ± 79.02 a124.57 ± 3.96 a 10.49 ± 1.29 ab 1116.23 ± 176.87a104.70 ± 5.86 a
IL6-04.94 ±0.92 cd209.67 ± 44.84 c39.79 ± 5.96 bc 7.41 ± 1.19 b302.33 ± 56.07 b39.60 ± 5.10 bc
IL6-37.03 ± 0.67 abc 285.36 ± 53.47 bc 37.50 ± 3.82 bc 8.62 ± 0.50 ab 337.41 ± 49.18 b 37.74 ± 3.41 bc
IL6-67.54 ± 0.45 ab 338.56 ± 44.28 b45.50 ± 4.62 b10.00 ± 0.62 ab454.03 ± 68.98 b44.03 ± 4.64 b
IL8-15.44 ± 0.73 bcd 166.50 ± 9.26 c 32.50 ± 3.71 c 7.31 ± 1.17 b 209.89 ± 23.65 b31.10 ± 3.70 c
IL8-67.96 ± 0.72 a 242.72 ± 36.41 bc33.67 ± 5.10 c 11.99 ± 1.26 a 348.56 ± 51.44 b 31.76 ± 4.21 c
IL8-95.13 ± 0.73bcd 181.13 ± 36.12 c35.34 ± 3.27 c 6.61 ±1.09 b236.44 ± 45.32 b36.08 ± 2.83 bc
IL9-57.31 ± 0.61 abc 268.73 ± 8.06 bc 35.68 ± 5.10 c 9.31 ± 1.56 ab 341.80 ± 85.18 b34.27 ± 4.16 bc
IL9-84.99 ± 0.96 cd 172.23 ± 6.64 c 34.48 ± 4.53 c 7.94 ± 0.90 b 277.06 ± 63.47 b34.27 ± 4.51 bc
Salinity treatmentA6.38 ± 0.36 a264.96 ± 20.18 b44.88 ± 4.30 b 9.37 ± 0.56 a 431.41 ± 68.25 a 45.37 ± 4.48 b
B6.18 ± 0.51 a 353.12 ± 39.42 a59.88 ± 6.52 a 8.28 ± 0.74 a 489.17 ± 78.04 a 54.00 ± 5.26 a
C5.60 ± 0.61 a 154.23 ± 21.51 c 31.77 ± 5.39 c 8.85 ± 0.85 a 267.17 ± 42.04 b 30.12 ± 3.54 c
Letters indicate the statistically significant differences as discriminated using Duncan’s multiple range test (DMRT) (p value < 0.05).
Table 5. Measurements of fruit quality characteristics, regarding the fruits’ resistance of flesh to pressure (Kg), total soluble solids (oBrix), and pH, according to the UPOV system. Salinity treatment regimes: A = 1.88 mS/cm, B = 6.44 mS/cm, and C = 8.63 mS/cm.
Table 5. Measurements of fruit quality characteristics, regarding the fruits’ resistance of flesh to pressure (Kg), total soluble solids (oBrix), and pH, according to the UPOV system. Salinity treatment regimes: A = 1.88 mS/cm, B = 6.44 mS/cm, and C = 8.63 mS/cm.
Resistance of Flesh to Pressure (Kg)TSS
(oBrix)
pH
GenotypeFormula 2.53 ± 0.26 e5.40 ± 0.24 cd4.58 ± 0.03 ab
IL6-03.63 ± 0.10 bcd4.61 ± 0.37 e4.55 ± 0.02 b
IL6-33.28 ± 0.16 d5.62 ± 0.28 abc4.67 ± 0.02 a
IL6-63.80 ± 0.14 abc4.76 ± 0.41 de 4.56 ± 0.02 ab
IL8-13.76 ± 0.20 bcd5.36 ± 0.43 cd4.57 ± 0.02 ab
IL8-63.99 ± 0.09 ab5.90 ± 0.38 abc4.52 ± 0.02 b
IL8-93.60 ± 0.30 bcd6.07 ± 0.42 ab4.50 ± 0.05 b
IL9-54.17 ± 0.12 a5.70 ± 0.37 abc 4.51 ± 0.03 b
IL9-83.41 ± 0.14 cd 6.14 ± 0.50 a4.40 ± 0.02 c
Salinity treatmentA3.70 ± 0.11 a6.25 ± 0.17 a 4.55 ± 0.02 a
B3.87 ± 0.10 a5.75 ± 0.19 b4.55 ± 0.02 a
C3.20 ± 0.15 b4.31 ± 0.14 c4.53 ± 0.02 a
Letters indicate the statistically significant differences as discriminated using Duncan’s multiple range test (DMRT) (p value < 0.05).
Table 6. The classification of the two genotypes (IL6-6 as the resistant genotype and IL8-9 as the susceptible genotype to salinity), in terms of measured characteristics as general averages in all three salinity treatments. The classification was conducted from 1 to 9 accordingly from salinity level C to salinity level A. Number 1 indicates the best performance in response to salinity stress while 9 indicates the worst performance in response.
Table 6. The classification of the two genotypes (IL6-6 as the resistant genotype and IL8-9 as the susceptible genotype to salinity), in terms of measured characteristics as general averages in all three salinity treatments. The classification was conducted from 1 to 9 accordingly from salinity level C to salinity level A. Number 1 indicates the best performance in response to salinity stress while 9 indicates the worst performance in response.
GenotypeIL6-6IL8-9
Number of inflorescences on main stem (72 D.A.T.)39
Plant height 52
Height of the 4th inflorescence48
Leaf length23
Leaf width29
Polar diameter27
Equatorial diemeter 28
Pericarp thickness48
Number of carpels56
Peducle size inside the fruit96
ci31
E32
gs63
A58
WUE27
Early fruit number/plant26
Early g/plant27
Early g/fruit26
Total fruit number/plant 38
Total g/plant28
Total g/fruit25
Resistance of flesh to pressure36
TSS82
pH48
Total carotenoids13
Lycopene13
β-carotene13
DPPH12
FRAP12
FOLIN12
For total carotenoids, lycopene, β-carotene, the classification scale is 1 to 4, as four out of the total nine genotypes were measured. For DPPH, FRAP, and FOLIN, the classification scale is 1 to 3, as three out of the total nine genotypes were measured.
Disclaimer/Publisher’s Note: The statements, opinions and data contained in all publications are solely those of the individual author(s) and contributor(s) and not of MDPI and/or the editor(s). MDPI and/or the editor(s) disclaim responsibility for any injury to people or property resulting from any ideas, methods, instructions or products referred to in the content.

Share and Cite

MDPI and ACS Style

Gerakari, M.; Kyriakoudi, A.; Nokas, D.; Mourtzinos, I.; Chronopoulou, E.G.; Tani, E.; Avdikos, I. Evaluation of the Potential Use of Wild Relatives of Tomato (Solanum pennellii) to Improve Yield and Fruit Quality Under Low-Input and High-Salinity Cultivation Conditions. Agronomy 2024, 14, 3042. https://doi.org/10.3390/agronomy14123042

AMA Style

Gerakari M, Kyriakoudi A, Nokas D, Mourtzinos I, Chronopoulou EG, Tani E, Avdikos I. Evaluation of the Potential Use of Wild Relatives of Tomato (Solanum pennellii) to Improve Yield and Fruit Quality Under Low-Input and High-Salinity Cultivation Conditions. Agronomy. 2024; 14(12):3042. https://doi.org/10.3390/agronomy14123042

Chicago/Turabian Style

Gerakari, Maria, Anastasia Kyriakoudi, Dimitris Nokas, Ioannis Mourtzinos, Evangelia G. Chronopoulou, Eleni Tani, and Ilias Avdikos. 2024. "Evaluation of the Potential Use of Wild Relatives of Tomato (Solanum pennellii) to Improve Yield and Fruit Quality Under Low-Input and High-Salinity Cultivation Conditions" Agronomy 14, no. 12: 3042. https://doi.org/10.3390/agronomy14123042

APA Style

Gerakari, M., Kyriakoudi, A., Nokas, D., Mourtzinos, I., Chronopoulou, E. G., Tani, E., & Avdikos, I. (2024). Evaluation of the Potential Use of Wild Relatives of Tomato (Solanum pennellii) to Improve Yield and Fruit Quality Under Low-Input and High-Salinity Cultivation Conditions. Agronomy, 14(12), 3042. https://doi.org/10.3390/agronomy14123042

Note that from the first issue of 2016, this journal uses article numbers instead of page numbers. See further details here.

Article Metrics

Back to TopTop