Effect of Biochar Amendment on the Growth and Photosynthetic Traits of Plants Under Drought Stress: A Meta-Analysis
Abstract
1. Introduction
2. Materials and Methods
2.1. Search Strategies
2.2. Screening of Studies
2.3. Data Extraction
2.4. Data Analysis
2.5. Data Treatment
3. Result
3.1. Overall
3.2. Response Affected by Plant Type
3.3. Response Affected by Stress Degree
3.4. Response Affected by Soil Type
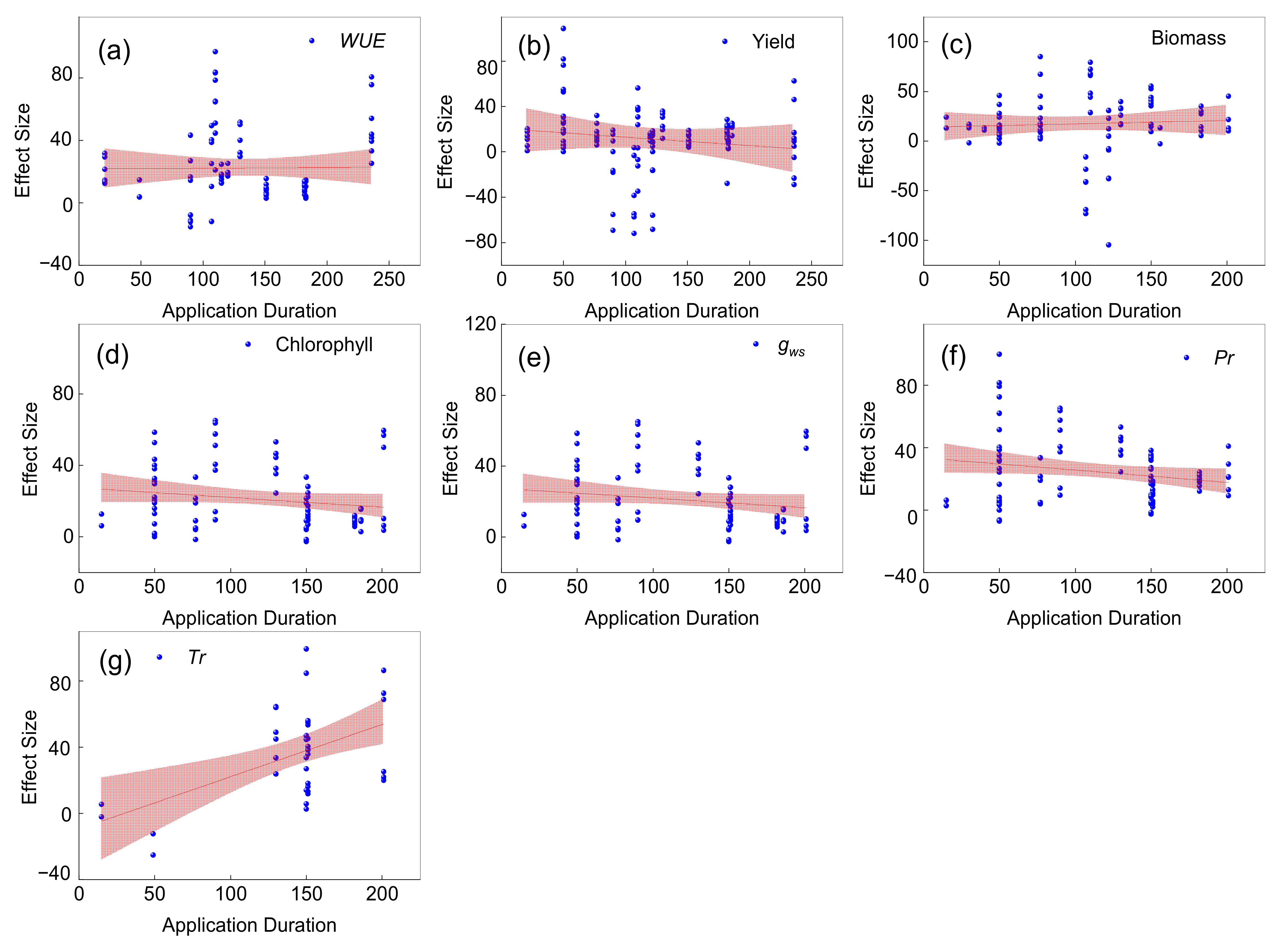
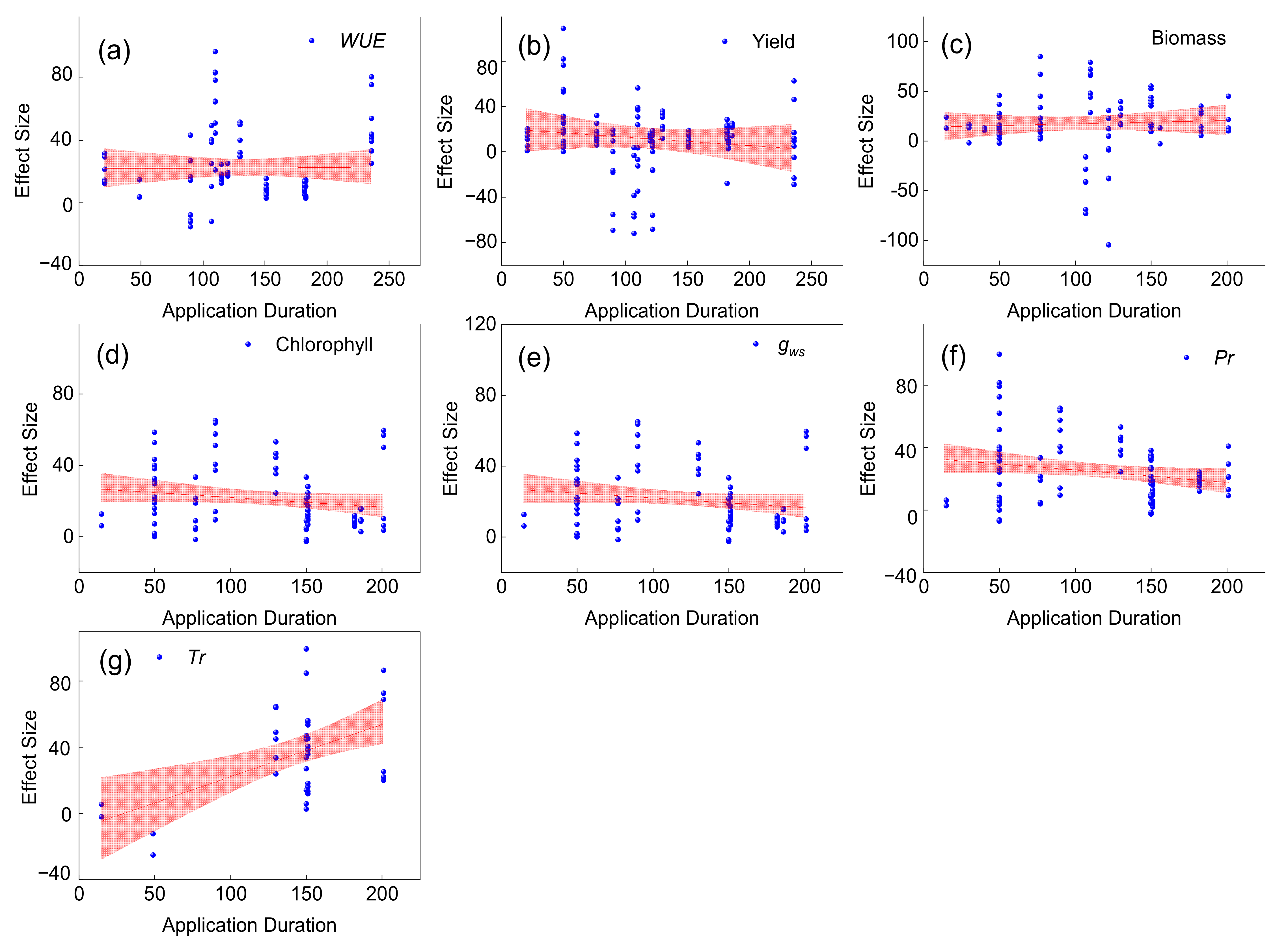
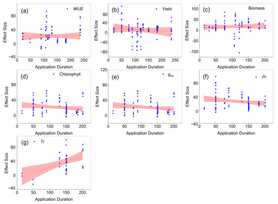
3.5. Response Affected by Application Duration
4. Discussion
5. Conclusions
Supplementary Materials
Author Contributions
Funding
Data Availability Statement
Acknowledgments
Conflicts of Interest
References
- Deepa, R.; Anandhi, A.; Alhashim, R. Volumetric and impact-oriented water footprint of agricultural crops: A review. Ecol. Indic. 2021, 130, 108093. [Google Scholar] [CrossRef]
- Fitton, N.; Alexander, P.; Arnell, N.; Bajzelj, B.; Calvin, K.; Doelman, J.; Gerber, J.; Havlik, P.; Hasegawa, T.; Herrero, M.; et al. The vulnerabilities of agricultural land and food production to future water scarcity. Glob. Environ. Change 2019, 58, 101944. [Google Scholar] [CrossRef]
- Unesco. United Nations World Water Assessment Programme: The United Nations World Water Development Report 2020: Water and Climate Change; Unesco: Paris, France, 2020. [Google Scholar]
- Rushforth, R.R.; Ruddell, B.L. The vulnerability and resilience of a city’s water footprint: The case of flagstaff, Arizona, USA. Water Resour. Res. 2016, 52, 2698–2714. [Google Scholar] [CrossRef]
- Alexandratos, N.; Bruinsma, J. World Agriculture towards 2030/2050: The 2012 Revision; FAO: Rome, Italy, 2012. [Google Scholar]
- Hamal, K.; Sharma, S.; Pokharel, B.; Shrestha, D.; Talchabhadel, R.; Shrestha, A.; Khadka, N. Changing pattern of drought in nepal and associated atmospheric circulation. Atmos. Res. 2021, 262, 105798. [Google Scholar] [CrossRef]
- Li, L.; Zhang, Y.-J.; Novak, A.; Yang, Y.; Wang, J. Role of biochar in improving sandy soil water retention and resilience to drought. Water 2021, 13, 407. [Google Scholar] [CrossRef]
- Aliyari, F.; Bailey, R.T.; Arabi, M. Appraising climate change impacts on future water resources and agricultural productivity in Agro-urban river basins. Sci. Total Environ. 2021, 788, 147717. [Google Scholar] [CrossRef]
- Danish, S.; Zafar-Ul-Hye, M.; Mohsin, F.; Hussain, M. Acc-deaminase producing plant growth promoting rhizobacteria and biochar mitigate adverse effects of drought stress on maize growth. PLoS ONE 2021, 16, e0250286. [Google Scholar] [CrossRef]
- Farooq, M.; Gogoi, N.; Barthakur, S.; Baroowa, B.; Bharadwaj, N.; Alghamdi, S.S.; Siddique, K.H.M. Drought stress in grain legumes during reproduction and grain filling. J. Agron. Crop Sci. 2017, 203, 81–102. [Google Scholar] [CrossRef]
- Zhang, L.; Li, C.; Liu, Y.; Sun, Z.; He, Y.; Wen, D.; Wang, Y.; Chen, X.; Cai, H.; Li, G. Participation of urea-N absorbed on biochar granules among soil and tobacco plant (Nicotiana tabacum L.) And its potential environmental impact. Agric. Ecosyst. Environ. 2021, 313, 107371. [Google Scholar] [CrossRef]
- Nussbaumer, A.; Meusburger, K.; Schmitt, M.; Waldner, P.; Gehrig, R.; Haeni, M.; Rigling, A.; Brunner, I.; Thimonier, A. Extreme summer heat and drought lead to early fruit abortion in European beech. Sci. Rep. 2020, 10, 5334. [Google Scholar] [CrossRef]
- Turc, O.; Tardieu, F. Drought affects abortion of reproductive organs by exacerbating developmentally driven processes via expansive growth and hydraulics. J. Exp. Bot. 2018, 69, 3245–3254. [Google Scholar] [CrossRef] [PubMed]
- Singh, M.; Saini, R.K.; Singh, S.; Sharma, S.P. Potential of integrating biochar and deficit irrigation strategies for sustaining vegetable production in water-limited regions: A review. Hortscience 2019, 54, 1872–1878. [Google Scholar] [CrossRef]
- Wang, J.; Du, G.; Tian, J.; Jiang, C.; Zhang, Y.; Zhang, W. Mulched drip irrigation increases cotton yield and water use efficiency via improving fine root plasticity. Agric. Water Manag. 2021, 255, 106992. [Google Scholar] [CrossRef]
- Yuan, Z.; Zhang, R.; Wang, B.; Gao, B.; Ayana, G.; Abera, D.; Ashraf, M.; Li, F. Film mulch with irrigation and rainfed cultivations improves maize production and water use efficiency in Ethiopia. Ann. Appl. Biol. 2019, 175, 215–227. [Google Scholar] [CrossRef]
- Fehmi, J.S.; Rasmussen, C.; Gallery, R.E. Biochar and woodchip amendments alter restoration outcomes, microbial processes, and soil moisture in a simulated semi-arid ecosystem. Restor. Ecol. 2020, 28, S355–S364. [Google Scholar] [CrossRef]
- Githinji, L. Effect of biochar application rate on soil physical and hydraulic properties of a sandy loam. Arch. Agron. Soil Sci. 2014, 60, 457–470. [Google Scholar] [CrossRef]
- Qian, Z.; Tang, L.; Zhuang, S.; Zou, Y.; Fu, D.; Chen, X. Effects of biochar amendments on soil water retention characteristics of red soil at south China. Biochar 2020, 2, 479–488. [Google Scholar] [CrossRef]
- Zhao, X.; Hu, M. Capillary forces between particles: Role of biochar in improving water retention capacity of soil. Arab. J. Geosci. 2021, 14, 1769. [Google Scholar] [CrossRef]
- Gavili, E.; Moosavi, A.A.; Kamgar Haghighi, A.A. Does biochar mitigate the adverse effects of drought on the agronomic traits and yield components of soybean? Ind. Crops Prod. 2019, 128, 445–454. [Google Scholar] [CrossRef]
- Kammann, C.I.; Linsel, S.; Gößling, J.W.; Koyro, H. Influence of biochar on drought tolerance of Chenopodium quinoa Willd and on soil–plant relations. Plant Soil 2011, 345, 195–210. [Google Scholar] [CrossRef]
- Stanley, T.D.; Jarrell, S.B. Meta-regression analysis: A quantitative method of literature surveys. J. Econ. Surv. 1989, 3, 161–170. [Google Scholar] [CrossRef]
- Du, Y.D.; Zhang, Q.; Cui, B.J.; Sun, J.; Wang, Z.; Ma, L.H.; Niu, W.Q. Aerated irrigation improves tomato yield and nitrogen use efficiency while reducing nitrogen application rate. Agric. Water Manag. 2020, 235, 106152. [Google Scholar] [CrossRef]
- Gao, H.; Yan, C.; Liu, Q.; Ding, W.; Chen, B.; Li, Z. Effects of plasticmulching and plastic residue on agricultural production: A meta-analysis. Sci. Total Environ. 2019, 651, 484–492. [Google Scholar] [CrossRef] [PubMed]
- Zhang, J.; Jiang, H.; Song, X.; Jin, J.; Zhang, X. The responses of plant leaf CO2/H2O exchange and water use efficiency to drought: A meta-analysis. Sustainability 2018, 10, 5512. [Google Scholar] [CrossRef]
- Hedges, L.V.; Gurevitch, J.; Curtis, P.S. The meta-analysis of response ratios in experimental ecology. Ecology 1999, 80, 1150–1156. [Google Scholar] [CrossRef]
- Keabetswe, L.; Shao, G.C.; Cui, J.; Lu, J.; Stimela, T. Integrated effects of biochar and deficit irrigation subjected at various growth stages on tomato yield and water use efficiency. J. Anim. Plant Sci. 2019, 29, 1352–1361. [Google Scholar]
- Akhtar, S.S.; Li, G.; Andersen, M.N.; Liu, F. Biochar enhances yield and quality of tomato under reduced irrigation. Agric. Water Manag. 2014, 138, 37–44. [Google Scholar] [CrossRef]
- Maryam, T.; Rabi, H.M.; Amjad, T.A.; Ripendra, A.; Ali, F. Soil hydrostructural parameters under various soil management practices. Agric. Water Manag. 2024, 292, 108633. [Google Scholar] [CrossRef]
- Ajayi, A.E.; Horn, R. Modification of chemical and hydrophysical properties of two texturally differentiated soils due to varying magnitudes of added biochar. Soil Tillage Res. 2016, 164, 34–44. [Google Scholar] [CrossRef]
- Guo, M. Application of biochar for soil physical improvement. Agric. Environ. Appl. Biochar 2016, 63, 101–122. [Google Scholar]
- Castellini, M.; Giglio, L.; Niedda, M.; Palumbo, A.; Ventrella, D. Impact of biochar addition on the physical and hydraulic properties of a clay soil. Soil Tillage Res. 2015, 154, 1–13. [Google Scholar] [CrossRef]
- Blanco-Canqui, H. Biochar and soil physical properties. Soil Sci. Soc. Am. J. 2017, 81, 687–711. [Google Scholar] [CrossRef]
- Marschner, H. Marschner’s Mineral Nutrition of Higher Plants; Academic Press: Cambridge, MA, USA, 2011. [Google Scholar]
- Gu, Y.; Hou, Y.; Huang, D.; Hao, Z.; Wang, X.; Wei, Z.; Jousset, A.; Tan, S.; Xu, D.; Shen, Q.; et al. Application of biochar reduces Ralstonia solanacearum infection via effects on pathogen chemotaxis, swarming motility, and root exudate adsorption. Plant Soil 2017, 415, 269–281. [Google Scholar] [CrossRef]
- Pei, J.; Li, J.; Fang, C.; Zhao, J.; Nie, M.; Wu, J. Different responses of root exudates to biochar application under elevated CO2. Agric. Ecosyst. Environ. 2020, 301, 107061. [Google Scholar] [CrossRef]
- Guo, L.; Bornø, M.L.; Niu, W.; Liu, F. Biochar amendment improves shoot biomass of tomato seedlings and sustains water relations and leaf gas exchange rates under different irrigation and nitrogen regimes. Agric. Water Manag. 2021, 245, 106580. [Google Scholar] [CrossRef]
- Liu, X.; Wei, Z.; Manevski, K.; Liu, J.; Ma, Y.; Andersen, M.N.; Liu, F. Partial root-zone drying irrigation increases water-use efficiency of tobacco plants amended with biochar. Ind. Crop Prod. 2021, 166, 113487. [Google Scholar] [CrossRef]
- Laghari, M.; Mirjat, M.S.; Hu, Z.; Fazal, S.; Xiao, B.; Hu, M.; Chen, Z.; Guo, D. Effects of biochar application rate on sandy desert soil properties and sorghum growth. Catena 2015, 135, 313–320. [Google Scholar] [CrossRef]
- Li, N.; Yao, N.; Li, Y.; Chen, J.; Liu, D.; Biswas, A.; Li, L.; Wang, T.; Chen, X. A meta-analysis of the possible impact of climate change on global cotton yield based on crop simulation approaches. Agric. Syst. 2021, 193, 103221. [Google Scholar] [CrossRef]
- Nguyen, T.T.N.; Xu, C.-Y.; Tahmasbian, I.; Che, R.; Xu, Z.; Zhou, X.; Wallace, H.M.; Bai, S.H. Effects of biochar on soil available inorganic nitrogen: A review and meta-analysis. Geoderma 2017, 288, 79–96. [Google Scholar] [CrossRef]
- Loladze, I. Rising atmospheric CO2 and human nutrition: Toward globally imbalanced plant stoichiometry? Trends Ecol. Evol. 2002, 17, 457–461. [Google Scholar] [CrossRef]
- Zhang, X.; Lv, P.; Xu, C.; Huang, X.; Rademacher, T. Dryness decreases average growth rate and increases drought sensitivity of Mongolia oak trees in north China. Agric. For. Meteorol. 2021, 308–309, 108611. [Google Scholar] [CrossRef]
- Alkhasha, A.; Al-Omran, A.; Louki, I. Impact of deficit irrigation and addition of biochar and polymer on soil salinity and tomato productivity. Can. J. Soil Sci. 2019, 99, 380–394. [Google Scholar] [CrossRef]
- Batool, A.; Taj, S.; Rashid, A.; Khalid, A.; Qadeer, S.; Saleem, A.R.; Ghufran, M.A. Potential of soil amendments (biochar and gypsum) in increasing water use efficiency of Abelmoschus esculentus L. Moench Front. Plant Sci. 2015, 6, 733. [Google Scholar] [CrossRef] [PubMed]
- Ghori, S.A.; Gul, S.; Tahir, S.; Sohail, M.; Batool, S.; Shahwani, M.N.; Bano, G.; Butt, M.-U. Wood-derived biochar influences nutrient use efficiency of heavy metals in spinach (Spinacia oleracea) under groundwater and wastewater irrigation. J. Environ. Eng. Landsc. Manag. 2019, 27, 144–152. [Google Scholar] [CrossRef]
- Xiao, Q.; Zhu, L.X.; Shen, Y.F.; Li, S.Q. Sensitivity of soil water retention and availability to biochar addition in rainfed semi-arid farmland during a three-year field experiment. Field Crop Res. 2016, 196, 284–293. [Google Scholar] [CrossRef]
- Bodner, G.; Nakhforoosh, A.; Kaul, H. Management of crop water under drought: A review. Agron. Sustain. Dev. 2015, 35, 401–442. [Google Scholar] [CrossRef]
- Ghorbani, M.; Amirahmadi, E. Biochar and soil contributions to crop lodging and yield performance—A meta-analysis. Plant Physiol. Biochem. 2024, 215, 109053. [Google Scholar] [CrossRef]





| Soil Type | Clay | Clay–Loam | Silty-Loam | Loam | Sandy-Loam | |
|---|---|---|---|---|---|---|
| WUE | Mean | 26.4 | 19.8 | 6.9 | 8.1 | 30 |
| n | 21 | 8 | 21 | 6 | 25 | |
| 95% CI | 24.6–28.1 | 16.1–23.4 | 1.1–12.6 | 3.4–12.8 | 19.0–41.1 | |
| Yield | Mean | 15 | 10.9 | 10.8 | 7.1 | 32.7 |
| n | 21 | 27 | 12 | 6 | 27 | |
| 95% CI | 8.2–21.7 | 8.8–13.0 | 8.1–13.5 | 4.6–9.5 | −90.8 | |
| Biomass | Mean | 48.2 | 16.1 | 5.2 | 20.4 | 24.2 |
| n | 15 | 18 | 2 | 6 | 22 | |
| 95% CI | 39.6–56.9 | 7.7–24.4 | −31.6 | 10.9–29.9 | 13.2–35.1 | |
| Chlorophyll | Mean | -- | 51.5 | -- | -- | 21.7 |
| n | -- | 15 | -- | -- | 10 | |
| 95% CI | -- | 38.9–64.0 | -- | -- | 15.9–27.5 | |
| gws | Mean | 16 | 11.2 | 16.6 | -- | 25.1 |
| n | 18 | 15 | 12 | -- | 14 | |
| 95% CI | 13.8–18.2 | 08.7–13.6 | 12.5–20.8 | -- | 18.5–31.7 | |
| Pr | Mean | 49.2 | 39.8 | 35.2 | -- | 30.3 |
| n | 6 | 8 | 12 | -- | 8 | |
| 95% CI | 32.1–66.3 | 24.1–55.5 | 25.9–44.5 | -- | 18.1–42.5 | |
| Tr | Mean | 19.8 | 25.3 | 11 | -- | -- |
| n | 18 | 9 | 12 | -- | -- | |
| 95% CI | 18.3–21.3 | 16.6–20.3 | 07.7–14.4 | -- | -- | |
Disclaimer/Publisher’s Note: The statements, opinions and data contained in all publications are solely those of the individual author(s) and contributor(s) and not of MDPI and/or the editor(s). MDPI and/or the editor(s) disclaim responsibility for any injury to people or property resulting from any ideas, methods, instructions or products referred to in the content. |
© 2024 by the authors. Licensee MDPI, Basel, Switzerland. This article is an open access article distributed under the terms and conditions of the Creative Commons Attribution (CC BY) license (https://creativecommons.org/licenses/by/4.0/).
Share and Cite
Zhang, W.; Niu, W.; Luo, H. Effect of Biochar Amendment on the Growth and Photosynthetic Traits of Plants Under Drought Stress: A Meta-Analysis. Agronomy 2024, 14, 2952. https://doi.org/10.3390/agronomy14122952
Zhang W, Niu W, Luo H. Effect of Biochar Amendment on the Growth and Photosynthetic Traits of Plants Under Drought Stress: A Meta-Analysis. Agronomy. 2024; 14(12):2952. https://doi.org/10.3390/agronomy14122952
Chicago/Turabian StyleZhang, Wenqian, Wenquan Niu, and Huoqian Luo. 2024. "Effect of Biochar Amendment on the Growth and Photosynthetic Traits of Plants Under Drought Stress: A Meta-Analysis" Agronomy 14, no. 12: 2952. https://doi.org/10.3390/agronomy14122952
APA StyleZhang, W., Niu, W., & Luo, H. (2024). Effect of Biochar Amendment on the Growth and Photosynthetic Traits of Plants Under Drought Stress: A Meta-Analysis. Agronomy, 14(12), 2952. https://doi.org/10.3390/agronomy14122952
