Response of Metabolic Gene Panel to Organic Loading Stress in Propionate-Degrading Methanogenic Anaerobic Digesters
Abstract
Highlights
- For the first time, this study demonstrates a shift in DIET-related genes (pilA and hgtR) alongside the established mcrA/16SrRNA ratio as a key indicator of OLR stress.
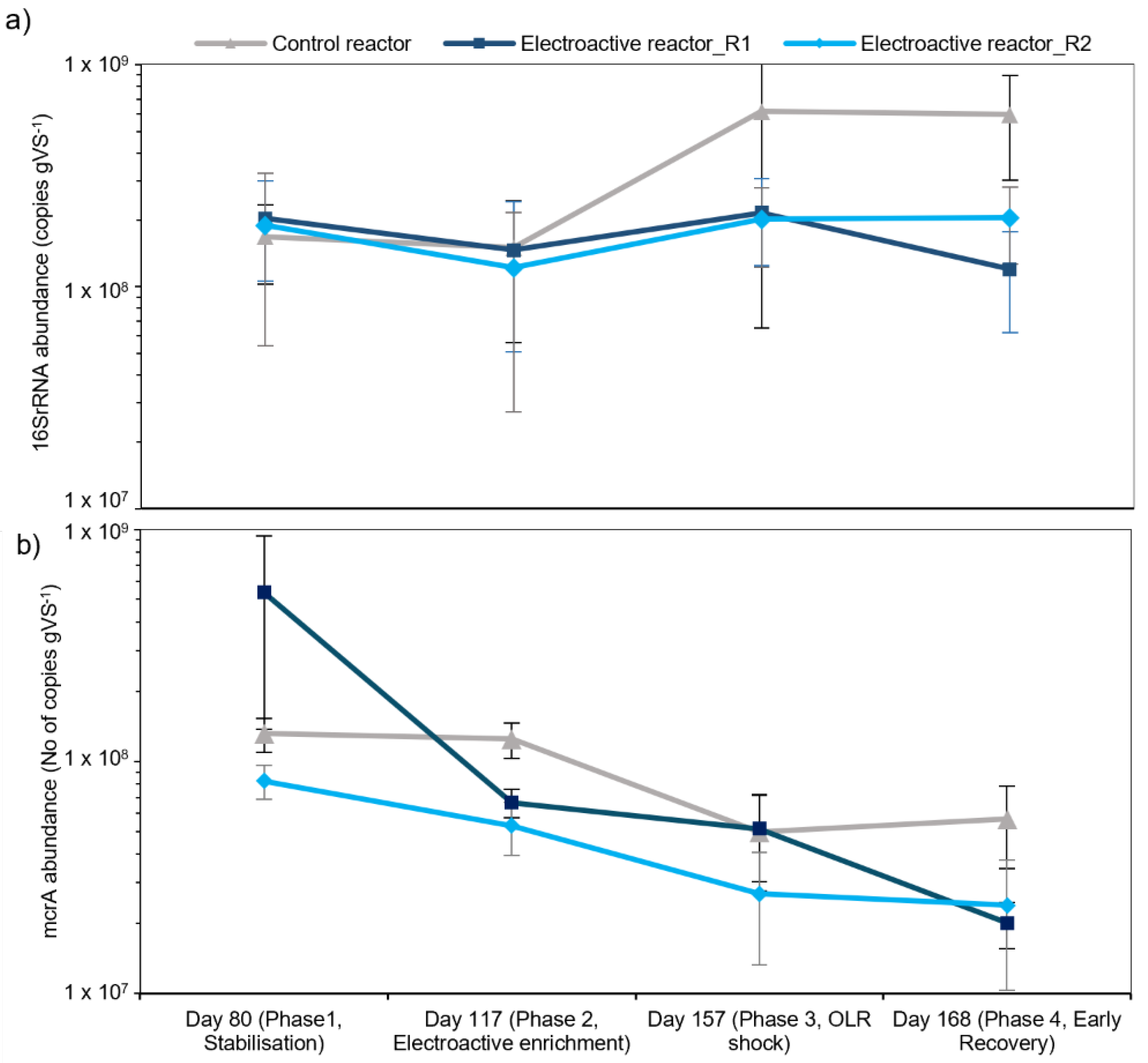
- Methane production halted after OLR shock, correlating with significant reduction in the mcrA/16SrRNA ratio, and pilA (1.43-log) and hgtR (1.34-log) gene abundances.
- mcrA and pilA are robust indicators of reactor performance under both stable and disturbed states.
- Partial recovery of pilA and hgtR gene abundance to the near-steady-state level was observed in the control reactor.
Abstract
1. Introduction
2. Materials and Methods
2.1. Source of Biomass
2.2. Bioreactor Setup
2.3. Trial Design
2.4. Analytical Methods
2.5. Biomass Sampling, DNA Extraction, and Gene Abundance Quantification Using qPCR
2.6. Statistical Analysis
3. Results and Discussion
3.1. Bioreactor Performance Along Operational Phases
3.2. Abundance of 16SrRNA and mcrA Genes and Ratios
3.3. Abundance of pilA and hgtR Genes
4. Conclusions
Supplementary Materials
Author Contributions
Funding
Data Availability Statement
Acknowledgments
Conflicts of Interest
References
- Novaes, R.F.V. Microbiology of Anaerobic Digestion. Water Sci. Technol. 1986, 18, 1–14. [Google Scholar] [CrossRef]
- Westerholm, M.; Calusinska, M.; Dolfing, J. Syntrophic Propionate-Oxidizing Bacteria in Methanogenic Systems. FEMS Microbiol. Rev. 2022, 46, fuab057. [Google Scholar] [CrossRef] [PubMed]
- Hidalgo-Ahumada, C.A.P.; Nobu, M.K.; Narihiro, T.; Tamaki, H.; Liu, W.T.; Kamagata, Y.; Stams, A.J.M.; Stams, A.J.M.; Imachi, H.; Sousa, D.Z. Novel Energy Conservation Strategies and Behaviour of Pelotomaculum Schinkii Driving Syntrophic Propionate Catabolism. Environ. Microbiol. 2018, 20, 4503–4511. [Google Scholar] [CrossRef] [PubMed]
- De Bok, F.A.M.; Stams, A.J.M.; Dijkema, C.; Boone, D.R. Pathway of Propionate Oxidation by a Syntrophic Culture of Smithella Propionica and Methanospirillum Hungatei. Appl. Environ. Microbiol. 2001, 67, 1800–1804. [Google Scholar] [CrossRef]
- Zhang, M.; Zang, L. A Review of Interspecies Electron Transfer in Anaerobic Digestion. IOP Conf. Ser. Earth Environ. Sci. 2019, 310, 042026. [Google Scholar] [CrossRef]
- Lin, C.-Y.; Chen, C.-C. Effect of Heavy Metals on the Methanogenic UASB Granule. Water Res. 1999, 33, 409–416. [Google Scholar] [CrossRef]
- Zhao, Z.; Zhang, Y.; Yu, Q.; Dang, Y.; Li, Y.; Quan, X. Communities Stimulated with Ethanol to Perform Direct Interspecies Electron Transfer for Syntrophic Metabolism of Propionate and Butyrate. Water Res. 2016, 102, 475–484. [Google Scholar] [CrossRef]
- Juste-Poinapen, M.S.N. Interspecies Electron Transfer in Environmental and Engineered Syntrophic Systems. Ph.D. Thesis, The University of Queensland, Brisbane, Australia, 2014. [Google Scholar] [CrossRef]
- Aydin, S.; Cetecioglu, Z.; Arikan, O.A.; Ince, B.; Ozbayram, E.G.; Ince, O. Inhibitory Effects of Antibiotic Combinations on Syntrophic Bacteria, Homoacetogens and Methanogens. Chemosphere 2015, 120, 515–520. [Google Scholar] [CrossRef]
- Rotaru, A.-E.; Shrestha, P.M.; Liu, F.; Markovaite, B.; Chen, S.; Chen, S.; Nevin, K.P.; Lovley, D.R. Direct Interspecies Electron Transfer between Geobacter Metallireducens and Methanosarcina Barkeri. Appl. Environ. Microbiol. 2014, 80, 4599–4605. [Google Scholar] [CrossRef]
- Wang, T.; Zhu, G.; Kuang, B.; Jia, J.; Liu, C.; Cai, G.; Li, C. Novel Insights into the Anaerobic Digestion of Propionate via Syntrophobacter Fumaroxidans and Geobacter Sulfurreducens: Process and Mechanism. Water Res. 2021, 200, 117270. [Google Scholar] [CrossRef]
- Hernández-Eligio, A.; Pat-Espadas, A.M.; Pat-Espadas, A.M.; Vega-Alvarado, L.; Huerta-Amparan, M.; Cervantes, F.J.; Juárez, K. Global Transcriptional Analysis of Geobacter Sulfurreducens under Palladium Reducing Conditions Reveals New Key Cytochromes Involved. Appl. Microbiol. Biotechnol. 2020, 104, 4059–4069. [Google Scholar] [CrossRef] [PubMed]
- Wu, D.; Liu, L.; Zhen, F.; Liu, H.; Xiao, F.; Sun, Y.; Peng, X.; Li, Y.; Wang, X. Thermodynamics of Volatile Fatty Acid Degradation during Anaerobic Digestion under Organic Overload Stress: The Potential to Better Identify Process Stability. Water Res. 2022, 214, 118187. [Google Scholar] [CrossRef] [PubMed]
- Wang, C.; Liu, Y.; Wang, C.; Xing, B.; Zhu, S.; Huang, J.; Xu, X.; Zhu, L. Biochar Facilitates Rapid Restoration of Methanogenesis by Enhancing Direct Interspecies Electron Transfer after High Organic Loading Shock. Bioresour. Technol. 2021, 320, 124360. [Google Scholar] [CrossRef] [PubMed]
- Morris, R.L.; Tale, V.P.; Mathai, P.P.; Zitomer, D.; Maki, J.S. mcrA Gene Abundance Correlates with Hydrogenotrophic Methane Production Rates in Full-Scale Anaerobic Waste Treatment Systems. Lett. Appl. Microbiol. 2016, 62, 111–118. [Google Scholar] [CrossRef] [PubMed]
- Shelton, D.R.; Tiedje, J.M. Isolation and Partial Characterization of Bacteria in an Anaerobic Consortium That Mineralizes 3-Chlorobenzoic Acid. Appl. Environ. Microbiol. 1984, 48, 840–848. [Google Scholar] [CrossRef] [PubMed]
- APHA. Standard Methods for Examination of Water and Wastewater; American Public Health Association: Washington, DC, USA, 2017; ISBN 9780875532356. [Google Scholar]
- Schrader, C.; Schielke, A.; Ellerbroek, L.; Johne, R. PCR Inhibitors—Occurrence, Properties and Removal. J. Appl. Microbiol. 2012, 113, 1014–1026. [Google Scholar] [CrossRef]
- Bustin, S.A.; Benes, V.; Garson, J.A.; Hellemans, J.; Huggett, J.F.; Kubista, M.; Mueller, R.; Nolan, T.; Pfaffl, M.W.; Shipley, G.L.; et al. The MIQE Guidelines: Minimum Information for Publication of Quantitative Real-Time PCR Experiments. Clin. Chem. 2009, 55, 611–622. [Google Scholar] [CrossRef]
- Maeda, H.; Fujimoto, C.; Haruki, Y.; Maeda, T.; Kokeguchi, S.; Petelin, M.; Arai, H.; Tanimoto, I.; Nishimura, F.; Takashiba, S. Quantitative Real-Time PCR Using TaqMan and SYBR Green for Actinobacillus Actinomycetemcomitans, Porphyromonas Gingivalis, Prevotella Intermedia, tetQ Gene and Total Bacteria. FEMS Immunol. Med. Microbiol. 2003, 39, 81–86. [Google Scholar] [CrossRef]
- Denman, S.E.; Tomkins, N.W.; McSweeney, C.S. Quantitation and Diversity Analysis of Ruminal Methanogenic Populations in Response to the Antimethanogenic Compound Bromochloromethane. FEMS Microbiol. Ecol. 2007, 62, 313–322. [Google Scholar] [CrossRef]
- Šafarič, L.; Shakeri Yekta, S.; Liu, T.; Svensson, B.H.; Schnürer, A.; Bastviken, D.; Björn, A. Dynamics of a Perturbed Microbial Community during Thermophilic Anaerobic Digestion of Chemically Defined Soluble Organic Compounds. Microorganisms 2018, 6, 105. [Google Scholar] [CrossRef]
- George, S.; Mattei, M.R.; Frunzo, L.; Esposito, G.; van Hullebusch, E.D.; Fermoso, F.G. Model Based Analysis of Trace Metal Dosing Strategies to Improve Methane Yield in Anaerobic Digestion Systems. Bioresour. Technol. 2024, 411, 131222. [Google Scholar] [CrossRef] [PubMed]
- Fermoso, F.G.; Bartacek, J.; Chung, L.C.; Lens, P.N.L.; Lens, P.N.L. Supplementation of Cobalt to UASB Reactors by Pulse Dosing: CoCl2 versus CoEDTA2− Pulses. Biochem. Eng. J. 2008, 42, 111–119. [Google Scholar] [CrossRef]
- Mills, S.; Nguyen, T.P.Y.; Ijaz, U.Z.; Lens, P.N.L. Process Stability in Expanded Granular Sludge Bed Bioreactors Enhances Resistance to Organic Load Shocks. J. Environ. Manag. 2023, 342, 118271. [Google Scholar] [CrossRef] [PubMed]
- Pan, X.; Ye, Z.-L.; Angelidaki, I.; Lv, N.; Li, Y.; Cai, G.; Lin, L. Homoacetogenesis Is Altering the Metabolic Pathway of Acidogenic Microbiome and Combating Volatile Fatty Acid Accumulation in Anaerobic Reactors. J. Environ. Chem. Eng. 2023, 11, 110224. [Google Scholar] [CrossRef]
- Khafipour, A.; Jordaan, E.M.; Flores-Orozco, D.; Khafipour, E.; Levin, D.B.; Sparling, R.; Cicek, N. Response of Microbial Community to Induced Failure of Anaerobic Digesters Through Overloading With Propionic Acid Followed by Process Recovery. Front. Bioeng. Biotechnol. 2020, 8, 604838. [Google Scholar] [CrossRef]
- Ketheesan, B.; Stuckey, D.C. Effects of Hydraulic/Organic Shock/Transient Loads in Anaerobic Wastewater Treatment: A Review. Crit. Rev. Environ. Sci. Technol. 2015, 45, 2693–2727. [Google Scholar] [CrossRef]
- Ban, Q.; Ban, Q.; Zhang, L.; Li, J. Shift of Propionate-Oxidizing Bacteria with HRT Decrease in an UASB Reactor Containing Propionate as a Sole Carbon Source. Appl. Biochem. Biotechnol. 2015, 175, 274–286. [Google Scholar] [CrossRef]
- Zhang, C.; Zhang, C.; Yuan, Q.; Lu, Y. Inhibitory Effects of Ammonia on Syntrophic Propionate Oxidation in Anaerobic Digester Sludge. Water Res. 2018, 146, 275–287. [Google Scholar] [CrossRef]
- Han, Y.; Green, H.C.; Tao, W. Reversibility of Propionic Acid Inhibition to Anaerobic Digestion: Inhibition Kinetics and Microbial Mechanism. Chemosphere 2020, 255, 126840. [Google Scholar] [CrossRef]
- Lebuhn, M.; Derenkó, J.; Rademacher, A.; Helbig, S.; Munk, B.; Pechtl, A.; Stolze, Y.; Prowe, S.; Schwarz, W.H.; Schlüter, A.; et al. DNA and RNA Extraction and Quantitative Real-Time PCR-Based Assays for Biogas Biocenoses in an Interlaboratory Comparison. Bioengineering 2016, 3, 7. [Google Scholar] [CrossRef]
- Westerholm, M.; Dolfing, J.; Sherry, A.; Gray, N.D.; Head, I.M.; Schnürer, A. Quantification of Syntrophic Acetate-Oxidizing Microbial Communities in Biogas Processes. Environ. Microbiol. Rep. 2011, 3, 500–505. [Google Scholar] [CrossRef] [PubMed]
- Morris, R.L.; Schauer-Gimenez, A.E.; Bhattad, U.; Kearney, C.; Struble, C.A.; Zitomer, D.; Maki, J.S. Methyl Coenzyme M Reductase (mcrA) Gene Abundance Correlates with Activity Measurements of Methanogenic H2/CO2-Enriched Anaerobic Biomass. Microb. Biotechnol. 2014, 7, 77–84. [Google Scholar] [CrossRef] [PubMed]
- Nunoura, T.; Oida, H.; Miyazaki, J.; Miyashita, A.; Imachi, H.; Takai, K. Quantification of mcrA by Fluorescent PCR in Methanogenic and Methanotrophic Microbial Communities. FEMS Microbiol. Ecol. 2008, 64, 240–247. [Google Scholar] [CrossRef]
- May, T.; Koch-Singenstreu, M.; Ebling, J.; Stantscheff, R.; Müller, L.; Jacobi, F.; Polag, D.; Keppler, F.; König, H. Design and Application of a Synthetic DNA Standard for Real-Time PCR Analysis of Microbial Communities in a Biogas Digester. Appl. Microbiol. Biotechnol. 2015, 99, 6855–6863. [Google Scholar] [CrossRef] [PubMed]
- Zhang, Y.; Zhang, L.; Guo, B.; Zhou, Y.; Gao, M.; Sharaf, A.; Liu, Y. Granular Activated Carbon Stimulated Microbial Physiological Changes for Enhanced Anaerobic Digestion of Municipal Sewage. Chem. Eng. J. 2020, 400, 125838. [Google Scholar] [CrossRef]
- Adams, M.; Wang, Y.; Du, B.; Olbert, I.A.; Wu, G. Operational Mode and Powdered Activated Carbon Promoting Syntrophic Propionate Oxidation during Anaerobic Digestion of Complex Organic Substances. J. Environ. Manag. 2024, 356, 120593. [Google Scholar] [CrossRef]
- Pimenta, A.I.; Paquete, C.M.; Morgado, L.; Edwards, M.J.; Clarke, T.A.; Salgueiro, C.A.; Pereira, I.A.C.; Duarte, A.G. Characterization of the Inner Membrane Cytochrome ImcH from Geobacter Reveals Its Importance for Extracellular Electron Transfer and Energy Conservation. Protein Sci. 2023, 32, e4796. [Google Scholar] [CrossRef]






| Reactor Status | Phase | Trial Period (Days) | Description |
|---|---|---|---|
|
Steady
state | Phase 1 (Stabilisation) | 0–80 (80) | CR, R1, and R2: Feeding with sodium propionate, 2.8 g CODL−1day−1 |
| Phase 2 (Electroactive enrichment) | 81–138 (57) | CR: Feeding with sodium propionate, 2.8 g CODL−1day−1 R1 and R2: Feeding with sodium propionate, 1.4 g CODL−1day−1 + ethanol, 1.4 g CODL−1day−1 | |
| Disturbed state | Phase 3 (Organic loading rate shock) | 139–157 (18) | CR: Feeding with sodium propionate, 6 g CODL−1day−1 R1 and R2: Feeding with sodium propionate, 3 g CODL−1day−1 + ethanol, 3 g CODL−1day−1 |
| Phase 4 (Early recovery) | 158–168 (10) | CR: Feeding with sodium propionate, 2.8 g CODL−1day−1 + activated carbon (5 gL−1) R1 and R2: Feeding with sodium propionate, 1.4 g CODL−1day−1 + ethanol, 1.4 g CODL−1day−1 + activated carbon (5 gL−1) |
| Gene | Standard | Primers (Forward and Reverse) |
|---|---|---|
| 16SrRNA 1† | Escherichia coli | F 5′-GTGSTGCAYGGYTGTCGTCA-3′ R 5′-ACGTCRTCCMCACCTTCCTC-3′ |
| mcrA 2† | Methanobrevibacter sps | F 5′-TTCGGTGGATCDCARAGRGC-3′ R 5′-GBARGTCGWAWCCGTAGAATCC-3′ |
| pilA 3** | Geobacter sulfureducens | F 5′-AATTACCCCCATACCCCAAC-3′ R 5′-TTCACCCTTATCGAGCTGCT-3′ |
| hgtR 4** | Geobacter sulfureducens | F 5′-GAGAGAAAATCCGCGGTACA-3′ R 5′-GGACATCATGAGGGAGGCTA-3′ |
| Reactor Status | Phases | Control Reactor | Electroactive Reactor R1 | Electroactive Reactor R2 |
|---|---|---|---|---|
| Steady state | Phase 1 (Steady state) | 7.58 ± 0.18 | 7.55 ± 0.24 | 7.59 ± 0.23 |
| Phase 2 (Electroactive enrichment) | 7.36 ± 0.12 | 7.25 ± 0.23 | 7.50 ± 0.29 | |
| Metal pulse dosing | 7.48 ± 0.21 | 6.8 ± 0.27 | 6.49 ± 0.37 | |
| Disturbed state | Phase 3 (OLR shock) | 6.32 ± 0.2 | 6.22 ± 0.19 | 6.65 ± 0.64 |
| Phase 4 (Early recovery) | 6.28 ± 0.31 | 6.2 ± 0.21 | 6.21 ± 0.26 |
Disclaimer/Publisher’s Note: The statements, opinions and data contained in all publications are solely those of the individual author(s) and contributor(s) and not of MDPI and/or the editor(s). MDPI and/or the editor(s) disclaim responsibility for any injury to people or property resulting from any ideas, methods, instructions or products referred to in the content. |
© 2024 by the authors. Licensee MDPI, Basel, Switzerland. This article is an open access article distributed under the terms and conditions of the Creative Commons Attribution (CC BY) license (https://creativecommons.org/licenses/by/4.0/).
Share and Cite
Silveira, K.A.; Diaz, S.Z.; Calenzo, A.; O’Flaherty, V.; Fermoso, F.G. Response of Metabolic Gene Panel to Organic Loading Stress in Propionate-Degrading Methanogenic Anaerobic Digesters. Agronomy 2024, 14, 2922. https://doi.org/10.3390/agronomy14122922
Silveira KA, Diaz SZ, Calenzo A, O’Flaherty V, Fermoso FG. Response of Metabolic Gene Panel to Organic Loading Stress in Propionate-Degrading Methanogenic Anaerobic Digesters. Agronomy. 2024; 14(12):2922. https://doi.org/10.3390/agronomy14122922
Chicago/Turabian StyleSilveira, Kris Anthony, Soraya Zahedi Diaz, Anna Calenzo, Vincent O’Flaherty, and Fernando G. Fermoso. 2024. "Response of Metabolic Gene Panel to Organic Loading Stress in Propionate-Degrading Methanogenic Anaerobic Digesters" Agronomy 14, no. 12: 2922. https://doi.org/10.3390/agronomy14122922
APA StyleSilveira, K. A., Diaz, S. Z., Calenzo, A., O’Flaherty, V., & Fermoso, F. G. (2024). Response of Metabolic Gene Panel to Organic Loading Stress in Propionate-Degrading Methanogenic Anaerobic Digesters. Agronomy, 14(12), 2922. https://doi.org/10.3390/agronomy14122922

