Organic Amendment Enhances Maize Yield Through Improved Photosynthesis, Endogenous Hormones, and Defense Enzymes
Abstract
1. Introduction
2. Materials and Methods
2.1. Experimental Site
2.2. Experimental Design and Management
2.3. Grain Yield Determination
2.4. Sampling and Measurement
2.5. Statistical Analysis
3. Results
3.1. Effects of Long-Term Fertilization on Grain Yield and Yield Components
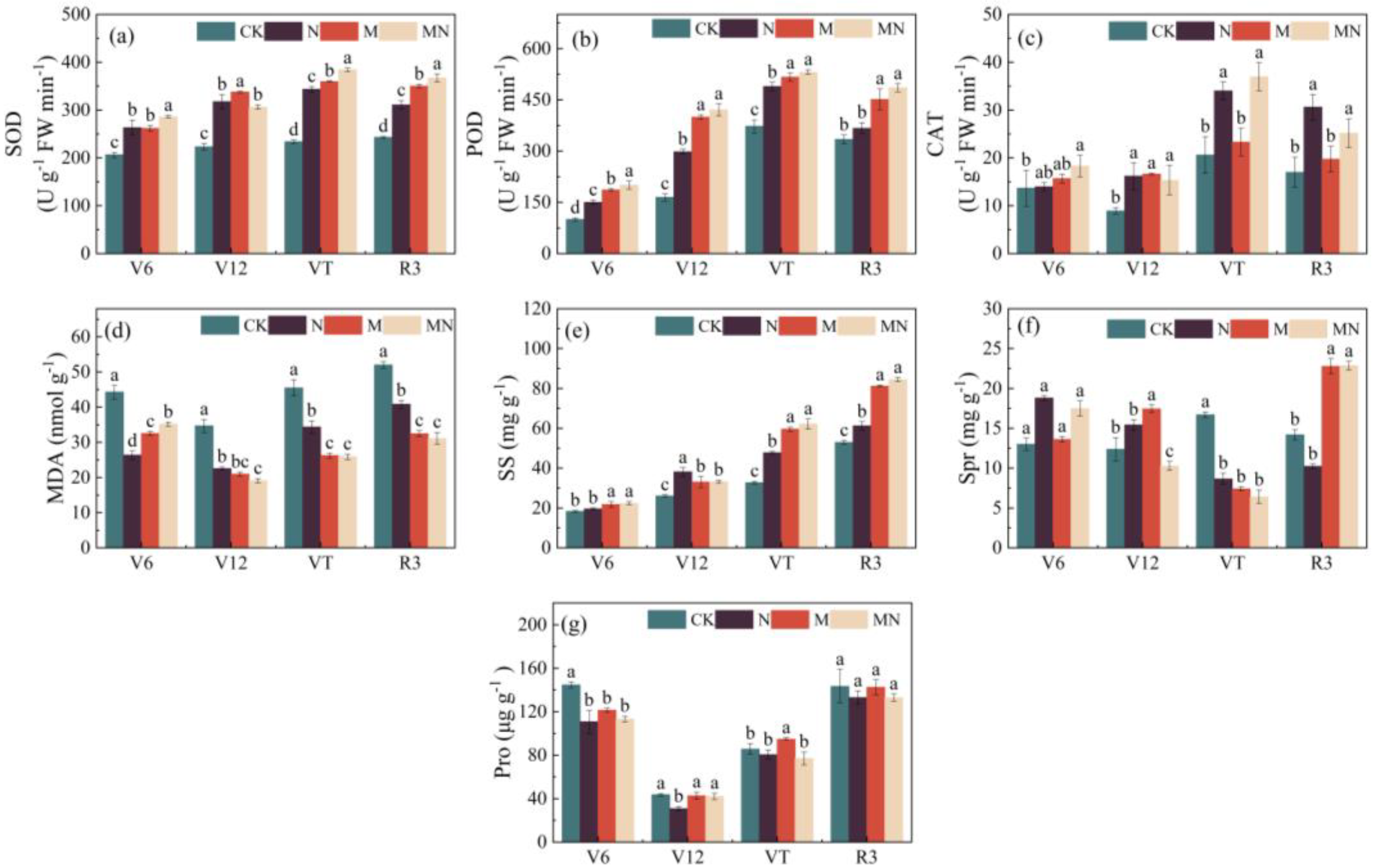
3.2. Effects of Long-Term Fertilization on Photosynthetic Characteristics, Endogenous Hormones, Antioxidant System, and Osmotic Adjustment Substances
3.3. The Physiological Driving Processes and Mechanisms of Photosynthesis
4. Discussion
4.1. Responses of Endogenous Hormones, Antioxidant Systems, and Osmotic Adjustment Substances to Fertilization
4.2. The Main Physiological Driving Pathways and Mechanisms of Photosynthesis
4.3. Relationships Between Photosynthetic Characteristics and Maize Grain Yield
5. Conclusions
Supplementary Materials
Author Contributions
Funding
Data Availability Statement
Acknowledgments
Conflicts of Interest
References
- FAO. FAOSTAT Database: Agriculture Production; Food and Agriculture Organization of the United Nations: Rome, Italy, 2023. [Google Scholar]
- He, Z.Q.; Shang, X.; Zhang, T.H. Ca and Mg stimulate protein synthesis in maize kernel through the action of endogenous hormones and defense enzymes. Plant Physiol. Bioch. 2024, 206, 108280. [Google Scholar] [CrossRef] [PubMed]
- Liu, Y.L.; Yue, L.; Wang, C.X.; Zhu, X.; Wang, Z.; Xing, B. Photosynthetic response mechanisms in typical C3 and C4 plants upon La2O3 nanoparticle exposure. Environ. Sci. Nano 2020, 7, 81–92. [Google Scholar] [CrossRef]
- Heyneke, E.; Fernie, A. Metabolic regulation of photosynthesis. Biochem. Soc. Trans. 2018, 46, 321–328. [Google Scholar] [CrossRef] [PubMed]
- Zhai, L.C.; Zhang, L.H.; Cui, Y.Z.; Zhai, L.F.; Zheng, M.J.; Yao, Y.R.; Zhang, J.T.; Hou, W.B.; Wu, L.Y.; Jia, X.L. Combined application of organic fertilizer and chemical fertilizer alleviates the kernel position effect in summer maize by promoting post-silking nitrogen uptake and dry matter accumulation. J. Integr. Agric. 2024, 23, 1179–1194. [Google Scholar] [CrossRef]
- Chadwick, D.; Jia, W.; Tong, Y.A.; Yu, G.H.; Shen, Q.R.; Chen, Q. Improving manure nutrient management towards sustainable agricultural intensification in China. Agric. Ecosyst. Environ. 2015, 209, 34–46. [Google Scholar] [CrossRef]
- Hayatu, N.G.; Liu, Y.R.; Han, T.F.; Daba, N.A.; Zhang, L.; Shen, Z.; Li, T.W.; Muazu, H.; Lamlom, S.F.; Zhang, H.M. Carbon sequestration rate, nitrogen use efficiency and rice yield responses to long-term substitution of chemical fertilizer by organic manure in a rice-rice cropping system. J. Integr. Agric. 2022, 22, 2848–2864. [Google Scholar] [CrossRef]
- Zhao, J.R.; Liu, Z.J.; Zhai, B.N.; Jin, H.; Xu, X.P.; Zhu, Y.J. Long-term changes in soil chemical properties with cropland-to-orchard conversion on the Loess Plateau, China: Regulatory factors and relations with apple yield. Agric. Syst. 2023, 204, 103562. [Google Scholar] [CrossRef]
- Sarma, B.; Borkotoki, B.; Narzari, R.; Kataki, R.; Gogoi, N. Organic amendments: Effect on carbon mineralization and crop productivity in acidic soil. J. Clean. Prod. 2017, 152, 157–166. [Google Scholar] [CrossRef]
- Li, L.L.; Shao, T.Y.; Yang, H.; Chen, M.X.; Gao, X.M.; Long, X.H.; Shao, H.B.; Liu, Z.P.; Rengel, Z. The endogenous plant hormones and ratios regulate sugar and dry matter accumulation in Jerusalem artichoke in salt-soil. Sci. Total Environ. 2017, 578, 40–46. [Google Scholar] [CrossRef]
- Abdala, G.; Castro, G.; Miersch, O. Changes in jasmonate and gibberellin levels during development of potato plants (Solanum tuberosum). Plant Growth Regul. 2002, 36, 121–126. [Google Scholar] [CrossRef]
- Nabity, P.D.; Zavala, J.A.; DeLucia, E.H. Herbivore induction of jasmonic acid and chemical defences reduce photosynthesis in Nicotiana attenuata. J. Exp. Bot. 2013, 64, 685–694. [Google Scholar] [CrossRef] [PubMed]
- Hönig, M.; Plíhalová, L.; Husičková, A.; Nisler, J.; Doležal, K. Role of cytokinins in senescence, antioxidant defence and photosynthesis. Int. J. Mol. Sci. 2018, 19, 4045. [Google Scholar] [CrossRef] [PubMed]
- Jin, M.R.; Liu, Y.L.; Shi, B.S.; Yuan, H. Exogenous IAA improves the seedling growth of Syringa villosa via regulating the endogenous hormones and enhancing the photosynthesis. Sci. Hortic. 2023, 308, 111585. [Google Scholar] [CrossRef]
- Kurepin, L.V.; Ivanov, A.G.; Zaman, M.; Pharis, R.P.; Allakhverdiev, S.I.; Hurry, V.; Hüner, N.P.A. Stress-related hormones and glycinebetaine interplay in protection of photosynthesis under abiotic stress conditions. Photosynth. Res. 2015, 126, 221–235. [Google Scholar] [CrossRef] [PubMed]
- Hu, Y.T.; Zhong, S.F.; Zhang, M.; Liang, Y.P.; Gong, G.S.; Chang, X.L.; Tan, F.Q.; Yang, H.; Qiu, X.Y.; Luo, L.Y.; et al. Potential role of photosynthesis in the regulation of reactive oxygen species and defence responses to blumeria graminis f. sp. tritici in wheat. Int. J. Mol. Sci. 2020, 21, 5767. [Google Scholar] [CrossRef]
- Pinnola, A.; Bassi, R. Molecular mechanisms involved in plant photoprotection. Biochem. Soc.Trans. 2018, 46, 467–482. [Google Scholar] [CrossRef]
- Chang, Y.L.; Lv, G.H. Nitraria sibirica adapts to long-term soil water deficit by reducing photosynthesis, stimulating antioxidant systems, and accumulating osmoregulators. Plant Physiol. Bioch. 2024, 206, 108265. [Google Scholar] [CrossRef]
- Feng, R.W.; Lei, L.; Su, J.M.; Zhang, R.R.; Zhu, Y.M.; Chen, W.X.; Wang, L.Z.; Wang, R.J.; Dai, J.X.; Lin, Z.T.; et al. Toxicity of different forms of antimony to rice plant: Effects on root exudates, cell wall components, endogenous hormones and antioxidant system. Sci. Total Environ. 2020, 711, 134589. [Google Scholar] [CrossRef]
- Yang, H.; Huang, T.Q.; Ding, M.Q.; Lu, D.L.; Lu, W.P. High temperature during grain filling impacts on leaf senescence in waxy maize. Agron. J. 2017, 109, 906–916. [Google Scholar] [CrossRef]
- Lu, K.T.; Gao, X.B.; Yang, F.; Gao, H.J.; Yan, X.; Yu, H.B. Driving mechanism of water replenishment on DOM composition and eutrophic status changes of lake in arid and semi-arid regions of loess area. Sci. Total Environ. 2023, 899, 165609. [Google Scholar] [CrossRef]
- Sha, Z.Y.; Xie, Y.C.; Tan, X.C.; Bai, Y.F.; Li, J.; Liu, X.F. Assessing the impacts of human activities and climate variations on grassland productivity by partial least squares structural equation modeling (PLS-SEM). J. Arid. Land 2017, 9, 473–488. [Google Scholar] [CrossRef]
- Shao, T.Y.; Li, L.L.; Wu, Y.W.; Chen, M.X.; Long, X.H.; Shao, H.B.; Liu, Z.P.; Rengel, Z. Balance between salt stress and endogenous hormones influence dry matter accumulation in Jerusalem artichoke. Sci. Total Environ. 2016, 568, 891–898. [Google Scholar] [CrossRef] [PubMed]
- Yu, N.N.; Zhang, J.W.; Liu, P.; Zhao, B.; Ren, B.Z. Integrated agronomic practices management improved grain formation and regulated endogenous hormone balance in summer maize (Zea mays L.). J. Integr. Agric. 2020, 19, 1768–1776. [Google Scholar] [CrossRef]
- Yue, K.; Li, L.L.; Xie, J.H.; Wang, L.L.; Liu, Y.Q.; Anwar, S. Tillage and nitrogen supply affects maize yield by regulating photosynthetic capacity, hormonal changes and grain filling in the Loess Plateau. Soil Till. Res. 2022, 218, 105317. [Google Scholar] [CrossRef]
- Waadt, R.; Seller, C.A.; Hsu, P.K.; Takahashi, Y.; Munemasa, S.; Schroeder, J.I. Plant hormone regulation of abiotic stress responses. Nat. Rev. Mol. Cell Biol. 2022, 23, 680–694. [Google Scholar] [CrossRef]
- De Rybel, B.; Mähönen, A.P.; Helariutta, Y.; Weijers, D. Plant vascular development: From early specification to differentiation. Nat. Rev. Mol. Cell Bio. 2015, 17, 30–40. [Google Scholar] [CrossRef]
- Effah, Z.; Li, L.L.; Xie, J.H.; Karikari, B.; Liu, C.; Xu, A.X.; Zeng, M. Transcriptome profiling reveals major structural genes, transcription factors and biosynthetic pathways involved in leaf senescence and nitrogen remobilization in rainfed spring wheat under different nitrogen fertilizer application rates. Genomics 2022, 114, 110271. [Google Scholar] [CrossRef]
- Yang, S.; Ulhassan, Z.; Shah, A.M.; Khan, A.R.; Azhar, W.; Hamid, Y.; Hussain, S.; Sheteiwy, M.S.; Salam, A.; Zhou, W.J. Salicylic acid underpins silicon in ameliorating chromium toxicity in rice by modulating antioxidant defense, ion homeostasis and cellular ultrastructure. Plant Physiol. Biochem. 2021, 166, 1001–1013. [Google Scholar] [CrossRef]
- Gao, C.H.; El-Sawah, A.M.; Ali, D.F.I.; Hamoud, Y.A.; Shaghaleh, H.; Sheteiwy, M.S. The integration of bio and organic fertilizers improve plant growth, grain yield, quality and metabolism of hybrid maize (Zea mays L.). Agronomy 2020, 10, 319. [Google Scholar] [CrossRef]
- Wang, X.J.; Sale, P.; Wood, J.L.; Reddy, P.; Franks, A.E.; Clark, G.; Jin, J.; Rochfort, S.; Hunt, J.; Tang, C.X. Organic amendments enhance transpiration efficiency of corn plants via changes in soil microbial abundance and leaf hormones. Plant Soil 2023, 497, 549–565. [Google Scholar] [CrossRef]
- Han, K.; Han, X.; Curtis, D.J.; Kleinman, P.J.A.; Wang, D.; Wang, L.Q. Impact of irrigation, nitrogen fertilizer application, and spatial management on maize. Agron. J. 2016, 108, 1794–1804. [Google Scholar] [CrossRef]
- Melicher, P.; Dvořák, P.; Šamaj, J.; Takáč, T. Protein-protein interactions in plant antioxidant defense. Front. Plant Sci. 2022, 13, 1035573. [Google Scholar] [CrossRef] [PubMed]
- Dat, J.; Vandenabeele, S.; Vranová, E. Dual action of the active oxygen species during plant stress responses. Cell. Mol. Life Sci. 2000, 57, 779–795. [Google Scholar] [CrossRef]
- Serri, F.; Souri, M.K.; Rezapanah, M. Growth, biochemical quality and antioxidant capacity of coriander leaves under organic and inorganic fertilizer application programs. Chem. Biol. Technol. Agric. 2021, 8, 33. [Google Scholar] [CrossRef]
- Muhammad, I.; Yang, L.; Ahmad, S.; Farooq, S.; Al-Ghamdi, A.A.; Khan, A.; Zeeshan, M.; Elshikh, M.S.; Abbasi, A.M.; Zhou, X.B. Nitrogen fertilizer modulates plant growth, chlorophyll pigments and enzymatic activities under different irrigation regimes. Agronomy 2022, 12, 845. [Google Scholar] [CrossRef]
- Liang, X.Y.; Wang, C.J.; Wang, H.T.; Yao, Z.L.; Qiu, X.F.; Wang, J.D.; He, W.Q. Biogas slurry topdressing as replacement of chemical fertilizers reduces leaf senescence of maize by up-regulating tolerance mechanisms. J. Environ. Manag. 2023, 344, 118433. [Google Scholar] [CrossRef]
- Liu, Z.X.; Gao, F.; Li, X.D.; Zhang, J.L. Source-sink coordinated peanut cultivar increases yield and kernel protein content through enhancing photosynthetic characteristics and regulating carbon and nitrogen metabolisms. Plant Physiol. Bioch. 2024, 206, 108311. [Google Scholar] [CrossRef]
- Travaglia, C.; Balboa, G.; Espósito, G.; Reinoso, H. ABA action on the production and redistribution of field-grown maize carbohydrates in semiarid regions. Plant Growth Regul. 2012, 67, 27–34. [Google Scholar] [CrossRef]
- Ahanger, M.A.; Qi, M.D.; Huang, Z.G.; Xu, X.D.; Begum, N.; Qin, C.; Zhang, C.X.; Ahmad, N.; Mustafa, N.S.; Ashraf, M.; et al. Improving growth and photosynthetic performance of drought stressed tomato by application of nano-organic fertilizer involves up-regulation of nitrogen, antioxidant and osmolyte metabolism. Ecotox. Environ. Safe. 2021, 216, 112195. [Google Scholar] [CrossRef]
- Choudhury, F.K.; Rivero, R.M.; Blumwald, E.; Mittler, R. Reactive oxygen species, abiotic stress and stress combination. Plant J. 2017, 90, 856–867. [Google Scholar] [CrossRef]
- Ahmad, S.; Wang, G.Y.; Muhammad, I.; Farooq, S.; Kamran, M.; Ahmad, I.; Zeeshan, M.; Javed, T.; Ullah, S.; Huang, J.H.; et al. Application of melatonin-mediated modulation of drought tolerance by regulating photosynthetic efficiency, chloroplast ultrastructure, and endogenous hormones in maize. Chem. Biol. Technol. Agric. 2022, 9, 5. [Google Scholar] [CrossRef]
- Weiszmann, J.; Furtauer, L.; Weckwerth, W.; Nagele, T. Vacuolar sucrose cleavage prevents limitation of cytosolic carbohydrate metabolism and stabilizes photosynthesis under abiotic stress. FEBS J. 2018, 285, 4082–4098. [Google Scholar] [CrossRef] [PubMed]
- Xiao, N.; Ma, H.Z.; Wang, W.X.; Sun, Z.K.; Li, P.P.; Xia, T. Overexpression of ZmSUS1 increased drought resistance of maize (Zea mays L.) by regulating sucrose metabolism and soluble sugar content. Planta 2024, 259, 43. [Google Scholar] [CrossRef]
- Xu, X.X.; Wang, F.; Xing, Y.; Liu, J.Q.; Lv, M.X.; Meng, H.; Du, X.; Zhu, Z.L.; Ge, S.F.; Jiang, Y.M. Appropriate and constant potassium supply promotes the growth of M9T337 apple rootstocks by regulating endogenous hormones and carbon and nitrogen metabolism. Front. Plant Sci. 2022, 13, 827478. [Google Scholar] [CrossRef]
- van Grinsven, H.J.M.; Ebanyat, P.; Glendining, M.; Gu, B.; Hijbeek, R.; Lam, S.K.; Lassaletta, L.; Mueller, N.D.; Pacheco, F.S.; Quemada, M.; et al. Establishing long-term nitrogen response of global cereals to assess sustainable fertilizer rates. Nat. Food 2022, 3, 122–132. [Google Scholar] [CrossRef]
- Li, H.; Feng, W.T.; He, X.H.; Zhu, P.; Gao, H.J.; Sun, N.; Xu, M.G. Chemical fertilizers could be completely replaced by manure to maintain high maize yield and soil organic carbon (SOC) when SOC reaches a threshold in the Northeast China Plain. J. Intergr. Agric. 2017, 16, 937–946. [Google Scholar] [CrossRef]
- Zhai, L.C.; Wang, Z.B.; Zhai, Y.C.; Zhang, L.H.; Zheng, M.J.; Yao, H.P.; Lv, L.H.; Shen, H.P.; Zhang, J.T.; Yao, Y.R.; et al. Partial substitution of chemical fertilizer by organic fertilizer benefits grain yield, water use efficiency, and economic return of summer maize. Soil Till. Res. 2022, 217, 105287. [Google Scholar] [CrossRef]
- Wei, S.S.; Wang, X.Y.; Shi, D.Y.; Li, Y.H.; Zhang, J.W.; Liu, P.; Zhao, B.; Dong, S.T. The mechanisms of low nitrogen induced weakened photosynthesis in summer maize (Zea mays L.) under field conditions. Plant Physiol. Biochem. 2016, 105, 118–128. [Google Scholar] [CrossRef]
- Zhai, L.C.; Wang, Z.B.; Song, S.J.; Zhang, L.H.; Zhang, Z.B.; Jia, X.L. Tillage practices affects the grain filling of inferior kernel of summer maize by regulating soil water content and photosynthetic capacity. Agric. Water Manag. 2021, 245, 106600. [Google Scholar] [CrossRef]
- Gao, J.; Shi, J.G.; Dong, S.T.; Liu, P.; Zhao, B.; Zhang, J.W. Grain development and endogenous hormones in summer maize (Zea mays L.) submitted to different light conditions. Int. J. Biometeorol. 2018, 62, 2131–2138. [Google Scholar] [CrossRef]
- Ma, B.X.; Wang, J.Q.; Han, Y.H.; Zhou, C.; Xu, T.; Qu, Z.C.; Wang, L.D.; Ma, B.; Yuan, M.; Wang, L.X.; et al. The response of grain yield and ear differentiation related traits to nitrogen levels in maize varieties with different nitrogen efficiency. Sci. Rep. 2022, 12, 14620. [Google Scholar] [CrossRef]







| Treatment | Ear Length (cm) | Grain Number per Ear | 1000-Grain Weight (g) | Grain Yield (Kg ha−1) |
|---|---|---|---|---|
| CK | 11.63 ± 0.41 c | 276.00 ± 20.78 c | 232.00 ± 2.00 c | 2725.2 ± 45.5 d |
| N | 15.37 ± 0.25 b | 394.00 ± 55.74 b | 278.67 ± 14.15 b | 5746.9 ± 156.1 c |
| M | 18.23 ± 0.21 a | 528.67 ± 15.01 a | 340.33 ± 16.19 a | 8669.0 ± 323.6 b |
| MN | 18.52 ± 0.67 a | 537.33 ± 19.85 a | 349.33 ± 2.08 a | 10827.0 ± 79.3 a |
Disclaimer/Publisher’s Note: The statements, opinions and data contained in all publications are solely those of the individual author(s) and contributor(s) and not of MDPI and/or the editor(s). MDPI and/or the editor(s) disclaim responsibility for any injury to people or property resulting from any ideas, methods, instructions or products referred to in the content. |
© 2024 by the authors. Licensee MDPI, Basel, Switzerland. This article is an open access article distributed under the terms and conditions of the Creative Commons Attribution (CC BY) license (https://creativecommons.org/licenses/by/4.0/).
Share and Cite
Xu, X.; Yan, S.; Wang, J.; Niu, Y.; Wei, W.; Liu, S. Organic Amendment Enhances Maize Yield Through Improved Photosynthesis, Endogenous Hormones, and Defense Enzymes. Agronomy 2024, 14, 2816. https://doi.org/10.3390/agronomy14122816
Xu X, Yan S, Wang J, Niu Y, Wei W, Liu S. Organic Amendment Enhances Maize Yield Through Improved Photosynthesis, Endogenous Hormones, and Defense Enzymes. Agronomy. 2024; 14(12):2816. https://doi.org/10.3390/agronomy14122816
Chicago/Turabian StyleXu, Xuelei, Shiyong Yan, Junyan Wang, Yunmeng Niu, Wenliang Wei, and Shutang Liu. 2024. "Organic Amendment Enhances Maize Yield Through Improved Photosynthesis, Endogenous Hormones, and Defense Enzymes" Agronomy 14, no. 12: 2816. https://doi.org/10.3390/agronomy14122816
APA StyleXu, X., Yan, S., Wang, J., Niu, Y., Wei, W., & Liu, S. (2024). Organic Amendment Enhances Maize Yield Through Improved Photosynthesis, Endogenous Hormones, and Defense Enzymes. Agronomy, 14(12), 2816. https://doi.org/10.3390/agronomy14122816

