Next Article in Journal
Effects of Rainfall Variability and Land Cover Type on Soil Organic Carbon Loss in a Hilly Red Soil Region of Southern China
Previous Article in Journal
Enhancing Laccase and Manganese Peroxidase Activity in White-Rot Fungi: The Role of Copper, Manganese, and Lignocellulosic Substrates
Previous Article in Special Issue
Inversion of Crop Water Content Using Multispectral Data and Machine Learning Algorithms in the North China Plain
 
 
Font Type:
Arial Georgia Verdana
Font Size:
Aa Aa Aa
Line Spacing:
Column Width:
Background:
Article

Saline Water Irrigation Changed the Stability of Soil Aggregates and Crop Yields in a Winter Wheat–Summer Maize Rotation System

1
Shandong Key Laboratory of Agricultural Water-Saving Technology and Equipment, College of Water Conservancy and Civil Engineering, Shandong Agricultural University, Taian 271018, China
2
Key Laboratory of Crop Drought Resistance Research of Hebei Province, Institute of Dryland Farming, Hebei Academy of Agriculture and Forestry Sciences, Hengshui 053000, China
*
Authors to whom correspondence should be addressed.
These authors contributed equally to this work.
Agronomy 2024, 14(11), 2564; https://doi.org/10.3390/agronomy14112564
Submission received: 8 September 2024 / Revised: 20 October 2024 / Accepted: 28 October 2024 / Published: 31 October 2024
(This article belongs to the Special Issue Plant–Water Relationships for Sustainable Agriculture)

Abstract

Irrigation using saline water is extensively used in areas of agricultural production where freshwater is scarce. However, saline water irrigation adversely impacts soil’s physicochemical characteristics and crop productivity. In this study, we established irrigation water with five salinity levels (ECiw, 1.3, 3.4, 7.1, 10.6, 14.1 dS·m−1) to investigate how these salinity levels influenced grain yields as well as soil salinity, alkalinity, sodicity, and aggregate stability in the 0~20 cm soil layer of a wheat and maize rotation field (in 2022–2023). Tukey’s test, entropy-weighted TOPSIS, and the least squares method were used to analyze the significance analysis, comprehensively evaluate the soil aggregate stability and soil index comprehensive score (SICS), and achieve linear fitting, respectively. The results showed that when ECiw > 3.4 dS·m−1, there was a significant increase in the soil salinity, pH, and sodium adsorption ratio. When ECiw > 7.1 dS·m−1, a significant reduction in soil aggregate stability was observed. When ECiw ≤ 3.4 dS·m−1, there was no significant reduction in the grain yields of wheat and maize. Furthermore, the annual grain yields of wheat and maize decreased by 5% and 10%, respectively, resulting in a change in ECiw values from 2.98 to 4.24 dS·m−1, based on the linear regression analysis of SICS and ECiw, as well as the annual grain yields and SICS. Under uniform irrigation conditions, the soil salinity, alkalinity, and sodicity were lower, and soil aggregate indexes were more stable at the maturity stage of maize.

1. Introduction

The North China Plain (NCP) is the principal grain production area in China, contributing 60~80% and 35~40% of national wheat and maize production; the main planting method is the winter wheat–summer maize rotation system [1,2]. The annual water consumption of wheat and maize in the NCP is 850~900 mm, while the annual precipitation is merely 487~520 mm, with 70% of this precipitation occurring during the summer maize growing season [3,4]. This means additional irrigation is commonly necessary to maintain normal crop growth for optimal yield. Low rainfall during the wheat season creates the need for more irrigation, leading to more salt being brought into the soil, perhaps resulting in soil salt accumulation. However, the accumulation of soil salt throughout the wheat season is partially leached due to the high rainfall and low irrigation during the maize season. Due to the excessive exploitation of deep groundwater for agricultural production and irrigation, the freshwater resources in the NCP are nearly depleted [5]. As a result, substitutable resources of freshwater are urgently needed to alleviate the regional water resources crisis in the NCP and ensure national food security. The saline water resources in the NCP are characterized by abundant reserves, wide distribution, and great potential for exploitation and utilization. For instance, in the central alluvial plain of the NCP where the experimental study site was located, the shallow underground freshwater and saline water resources were 3.817 and 6.816 billion m3·a−1, respectively, and the exploitable reserves were 3.367 and 5.222 billion m3·a−1, respectively [6]. Meanwhile, previous studies have revealed that saline water could replace freshwater for agricultural irrigation, if the salinity of the irrigation water is suitable [7,8,9].
Saline water irrigation inevitably introduces salt into the soil, which affects the soil’s physicochemical characteristics, deteriorates soil quality, and impacts crop yield [7,10,11]. For example, the results of a five-year saline water irrigation experiment showed that saline water irrigation above 4.61 dS·m−1 significantly increased the electrical conductivity of the soil leaching solution (EC1:5), prepared at a 1:5 weight ratio of soil and water, while also resulting in a higher soil pH compared with that under treatment without saline water irrigation [12]. In addition, a study found that the soil sodium adsorption ratio (SAR) significantly increased, and the soil quality significantly deteriorated when the salinity of the irrigation water was above 5.4 dS·m−1 [13]. Previous research showed that the electrical conductivity of irrigation water (ECiw) initially affected the electrical conductivity of saturated soil extract (ECe) and pH, subsequently leading to variations in soil characteristics [14]. Soil aggregates constitute the fundamental structural units of soil, and their characteristics are directly affected by particle size distribution and aggregate stability [15]. Different crops responded differently to saline water irrigation. Bi et al. [16] indicated that the impact of irrigation using saline water on soil aggregates in a cotton field was not significant when the salinity of irrigation water was ≤7.1 dS·m−1. Mosaffa and Sepaskhah [17] indicated that a salinity level of 5.0 dS·m−1 under full irrigation or 7.5 dS·m−1 under 65% full irrigation was suitable for winter wheat irrigation at Shiraz University. Yuan et al. [18] reported that when the salinity was 3 g·L−1 and the water amount was 370 mm, maize yield in northwest China did not decrease significantly. In conclusion, the physicochemical characteristics of soil and crop yields were not significantly influenced by suitable levels of irrigation water salinity, but a deterioration trend was observed after a certain salinity level. Consequently, effective management of irrigation water salinity is essential for ensuring sustained agricultural development.
Existing studies have explored how saline water irrigation affected soil aggregate stability but have mainly focused on the influences of short-term saline irrigation experiments on soil aggregates within a single-crop season [19,20,21]. Irrigation with saline water has a continuous impact on the soil environment and is difficult to analyze in short-term experiments [14]. Moreover, in the NCP, the variations in soil EC, pH, SAR, and aggregate stability in the winter wheat–summer maize rotation system on saline–water-irrigated farmland are extremely complex due to the influence of the irrigation regime, precipitation, evapotranspiration, and other factors [22,23]. The influences of continuous saline water irrigation on the salinity, alkalinity, sodicity, and aggregates of soil under this rotation system remain unclear. Therefore, a study was conducted in 2022–2023 on a winter wheat–summer maize rotation system under five salinity treatments after 19 years of continuous saline water irrigation. This research’s aims were (1) to assess the impacts of ECiw on soil ECe, SAR, pH, and aggregate stability in the 0~20 cm soil layer, as well as the crop yields in the mature periods of wheat and maize; (2) to explore the correlations among soil ECe, SAR, pH, aggregate stability, and ECiw, as well as the differences in the effects of irrigation using saline water on soil aggregate stability and crop yields; and (3) to investigate the appropriate salinity of irrigation water to achieve high soil aggregate stability and crop yields with relatively low soil salinity. This study aimed to establish a safe threshold for scientifically utilizing saline water based on climatic conditions specific to the NCP. Thus, further investigations are required to determine the applicability of this water under various climatic scenarios.

2. Materials and Methods

2.1. Experimental Site

The experimental station was situated in Hengshui (Figure 1), with geographic coordinates of 37°44′ N latitude and 115°47′ E longitude, at an elevation of 21 m above sea level. This experimental site has a typical temperate monsoon climate, with an average annual temperature, annual sunshine, annual precipitation, and annual evaporation of 12.8 °C, 2509 h, 500 mm, and 1785 mm, respectively [24]. The depth of groundwater was >5 m. Before the experiment started (in 2006), the water content at field capacity and soil bulk density within the 0~20 cm soil layer were 0.32 cm3·cm−3 and 1.32 Mg·m−3, respectively. Additionally, the mass fractions of 0.05~2 mm, 0.002~0.05 mm, and <0.002 mm in the plough layer (0~20 cm) were 25%, 71%, and 4%, respectively. In addition, the soil organic matter content was 12.8 g·kg−1, and alkaline hydrolysis nitrogen, available phosphorus, and available potassium contents were 65.5, 17.6, and 134 mg·kg−1, respectively. The experimental area was clay loam soil. Figure 2 shows the initial soil salinity content in the plough layer of each treatment before sowing winter wheat (on 15 October 2022).

2.2. Experimental Design

This study, based on a saline water irrigation experiment using a wheat–maize rotation system (initiated in 2006), mainly investigated the impacts of continuous irrigation using saline water on physicochemical characteristics of soil, as well as crop yields at the maturity stages of wheat and maize in 2022 to 2023. The experimental site featured an extensive distribution of saline shallow groundwater, covering roughly 81% of the entire area, with salinity levels changing from 1.3~17.7 dS·m−1 [25]. As a result, this study established five salinity treatments of irrigation water (since 2006): 1.3, 3.4, 7.1, 10.6, and 14.1 dS·m−1, denoted by CK, T1, T2, T3, and T4, respectively. Due to the interaction between seawater intrusion and continental salinization [26], the dominant salt ions in the local shallow groundwater were Na+ and Cl. Therefore, except for the CK treatment, which directly used the deep groundwater from local water wells, the T1–T4 treatments were prepared by mixing sea salt with deep groundwater in a pool with a capacity of 14 m3. This mixed saline water was subsequently pressurized utilizing a pump and transported to the corresponding experimental plot via a pipeline. A water meter was used to measure the amount of water pumped. The ionic compositions of different salinity treatments were as stated by to Zhang et al. [14].
A randomized block design was adopted in this experiment. For each salinity treatment, three replicate plots were established (9.5 m × 6.0 m for each plot). Wheat and maize varieties used were “Heng 4399” and “Zheng Dan 958”, respectively. The wheat and maize were sown on 14 October 2022 and 14 June 2023, respectively, and were harvested on 12 June 2023 and 7 October 2023, respectively. Rotary tillage (depth at 12~15 cm) was implemented before the sowing of wheat, but no tillage with residue retention of wheat was carried out before sowing the maize. Winter wheat is usually irrigated before sowing and during the jointing stage and flowering stage, while summer maize is irrigated only after sowing (Table 1), with an irrigation amount of 60 mm (600 m3 per ha). The amount of irrigation water was 600 m3 per ha, and the area of each plot was 57 m2; that is, the irrigation water for each plot was 3.42 m3. However, due to abundant rainfall, irrigation was not carried out before sowing the wheat (in 2022). During sowing of the wheat, the fertilizer rates applied were 90, 138, and 60 kg·ha−1 for N, P2O5, and K2O, respectively. At the jointing stage of wheat, the N fertilizer rate applied was 172.5 kg·ha−1. During the maize sowing, the basic fertilizer rates applied were 150, 48, and 72 kg·ha−1 for N, P2O5, and K2O, respectively. Figure 3 shows the precipitation and temperature during the growing seasons of wheat and maize (in 2022 and 2023), with precipitation of 181.5 mm and 404.2 mm, respectively. Other field management measures were consistent in each treatment such as weeding, pest control, and so on.

2.3. Soil Sampling and Measurements

2.3.1. Soil Sampling

At the maturity stages of wheat (on 9 June 2023) and maize (on 2 October 2023), three soil samples were randomly selected from each plot and mixed uniformly to serve as a replicate. Each treatment had three replicate plots. The physicochemical characteristics of soil (such as ECe, pH, and SAR) are significantly influenced by agricultural practices such as tillage and irrigation, especially within the 0~20 cm tillage layer. The upper soil layers exhibit greater sensitivity compared to the deeper layers (0~100 cm), necessitating targeted sampling. Consequently, soil samples were obtained from two distinct depths: 0~10 cm and 10~20 cm. After air drying, these samples were crushed and sifted for further experimental analysis.

2.3.2. Soil Salinity (ECe), pH, and SAR Measurements

A mixed solution of soil and water was prepared with a weight ratio of 1:5. The soil EC1:5 was measured utilizing a DDS-307A conductivity meter (Shanghai Precision & Scientific Instrument Co., Ltd., Shanghai, China). Then, in accordance with previous studies [14,27], the ECe could be calculated utilizing Equation (1):
E C e = 9.367 E C 1 : 5 0.001 R 2 = 0.990
The soil pH of this mixed solution (soil and water mixed in a 1:5 weight ratio) was measured utilizing a PHS-3C pH meter (Shanghai Precision & Scientific Instrument Co., Ltd., Shanghai, China). To obtain the mean pH value of the soil, the negative logarithm of the hydrogen ion (H+) concentration in this solution was calculated [28,29]. For the statistical analysis, three repeated pH values for each treatment were initially converted into H+ concentration and the mean H+ concentration was then calculated. Subsequently, the negative logarithm of this mean H+ concentration was determined in order to obtain the mean pH value for each treatment.
The concentrations (mmol·L−1) of Na+, Mg2+, and Ca2+ in the mixed solution (the weight ratio of soil and water was 1:5) were determined by inductively coupled plasma atomic emission spectrometry using an inductively coupled plasma optical emission spectrometer (ICP–OES, Optima 5300 DV, Perkin Elmer Instruments Co., Ltd., Waltham, MA, USA). The soil SAR [(mmol·L−1)1/2] was determined by Equation (2), referring to Robbins [30]:
S A R = [ N a + ] ( C a 2 + ] + [ M g 2 + ) 1 / 2

2.3.3. Soil Aggregates Measurements

Soil samples were divided into blocks of approximately 1 cm in size, following the texture of the larger soil samples after crushing and sifting. To assess the particle size distribution of the soil aggregates, a soil aggregate structure analyzer (TPF-100, Zhejiang Top Cloud-Agri Technology Co., Ltd., Hangzhou, China) was utilized, with sieve diameters of 5, 2, 0.25, and 0.053 mm, listed in order from the largest to the smallest. Soil samples were oscillated for 10 min at a frequency of 30 times·min−1. Subsequently, the oscillated soil samples were collected into the corresponding aluminum boxes, dried in an oven at a set temperature of 60 °C and weighed after drying. In this study, the classification of soil aggregates was divided into three categories: silt and clay particles (<0.053 mm), microaggregates (0.053~0.25 mm), and macroaggregates (>0.25 mm). The calculations are shown in Equation (3), referring to Zhao et al. [31]. Moreover, the calculation equations of the indexes of soil aggregate stability including mean weight diameter (MWD, mm), geometric mean diameter (GMD, mm), fractal dimension (D), and mean weight specific surface area (MWSSA, cm2·g−1) are shown below [32,33,34]:
ω i = M i M T × 100 %
M W D = i = 1 n X i W i i = 1 n W i
G M D = exp i = 1 n W i ln X i i = 1 n W i
d i ¯ d m a x 3 D = W < d i ¯
M W S S A = i = 1 n 60 W i 2.65 X i  
where   i is the variable; T is the total variable; ω is the mass percentage (%) of soil aggregates; M is the mass of soil aggregates (g); M T is the total mass of soil aggregates (g); W is the mass fraction of soil aggregates; X is the mean diameter of soil aggregates (mm); d i ¯ is the arithmetic mean of the particle size between the i and i +1 sieve (mm); d m a x is the maximum particle size of soil aggregates (mm); W < d i ¯ is the mass percentage of soil aggregates below d i ¯ in particle size.

2.3.4. Entropy-Weighted TOPSIS Method

In this study, the comprehensive score of soil aggregate stability ( C j ) and soil index comprehensive score (SICS) were obtained by the entropy-weighted TOPSIS method for qualitative evaluation of soil aggregate stability and soil indexes, including soil ECe, pH, SAR, and C j , respectively.
The entropy weight method is an objective multi-index comprehensive evaluation method. The evaluation matrix of X i j = [ x i j ] n × m was constructed based on the number of evaluation indexes (n) and treatments (m), standardized and normalized to calculate the entropy weight ( W i ) [35]. Then, the degree of relative closeness (RC) was calculated using the TOPSIS model [36], which was used in the comprehensive analyses in this study. A greater value indicated a superior overall level. The calculation equations were as shown below:
D + = j = 1 n Z j + Z i j 2
D = j = 1 n Z j Z i j 2
R C = D D + + D
where i and j are the variable; n is the total variable; Z i j is the standard matrix, which was weighted by the multiplication of each index weight ( W i ) and the standardized matrix ( X i j , ); Z j + and Z j are the positive ideal solution and negative ideal solution, calculated by the weighted standard matrix; D + and D are the positive and negative ideal solution distance; R C is the degree of relative closeness.

2.3.5. Crop Yield Measurements

In its mature period, the wheat was collected artificially at random three times from each experimental field center, in units of one square meter, and a total of three square meters of wheat was harvested. Similarly, 40 spikes of summer maize were artificially collected in the center of each plot in the maize’s mature period. The grain yields of both wheat and maize were determined after air-drying and weighing.

2.4. Statistical Analysis

Statistical analysis was conducted utilizing Microsoft Excel 2016 and SPSS Statistics 26.0. Tukey’s test was applied at a significance level of 0.05 in order to evaluate significant differences among different treatments. The least squares method was performed for linear fitting, using Origin 2021. The histogram of soil ECe and pH and the hot spot map of the correlation between irrigation water salinity, soil ECe, pH, SAR, aggregate stability indexes, and crop yields were made using Origin 2021.

3. Results and Discussion

3.1. Impacts of Saline Water Irrigation on Soil Salinity, Alkalinity, and Sodicity in the Winter Wheat–Summer Maize Rotation System

3.1.1. Impacts of Saline Water Irrigation on Soil ECe in the Winter Wheat–Summer Maize Rotation System

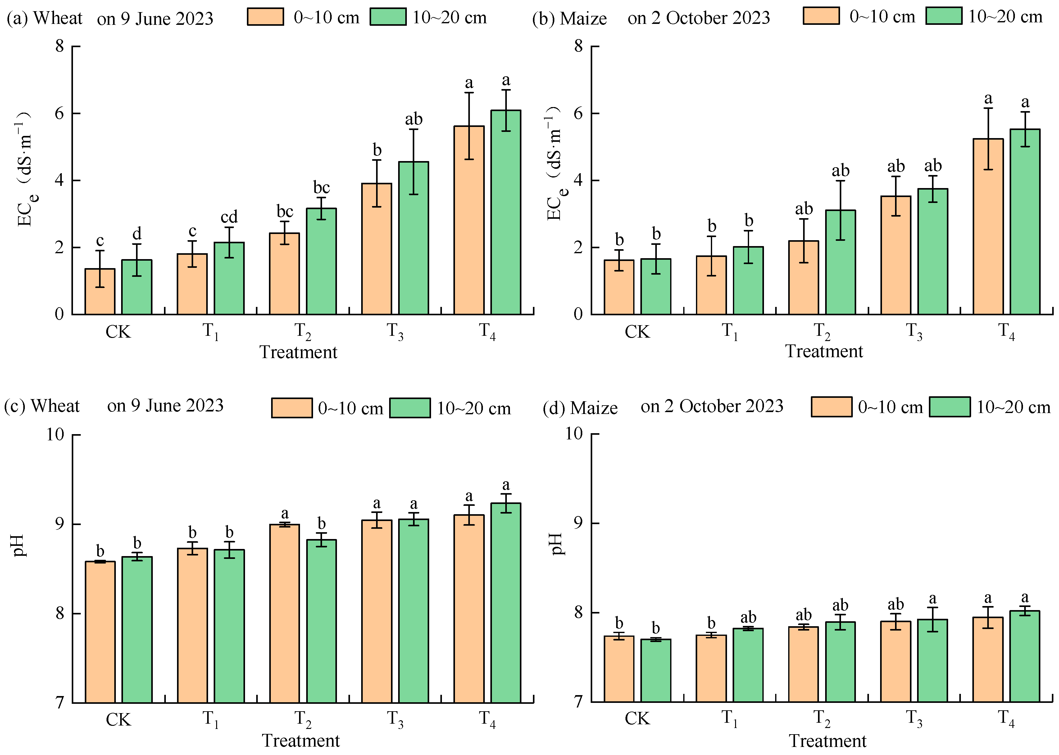
Figure 4a,b illustrate how saline water irrigation affected the soil ECe of the plough layer at the maturity stages of wheat and maize. The results showed that an increase in salinity of irrigation water resulted in higher soil ECe in each soil layer at the maturity stages of wheat and maize. Specifically, in comparison to the CK treatment, the mean soil ECe under treatments T1–T4 in the plough layer at the maturity stages of wheat and maize increased by 32.5–292.2% and 14.9–229.3%, respectively. The values of soil ECe under the T2–T4 treatments and T3–T4 treatments differed significantly from the ECe of the CK treatment at the maturity stages of wheat and maize, respectively. Ma et al. [37] drew a similar conclusion in Xinjiang cotton fields, reporting that the soil salinity significantly increased under 3 and 5 g·L−1 irrigation treatment compared with that under freshwater treatment. Similar outcomes were also reported by Feng et al. [38]. These results are primarily due to the laws of soil water and salt transport, as salt moves with the water. Generally, rainfall, irrigation, evaporation, and other factors have a significant impact on the distribution of soil salinity in the soil layer [39,40]. The higher salinity of irrigation water then introduces more salt into the soil. Salt could be leached into the soil via rainfall when saline water irrigation with an appropriate concentration is applied. However, salt accumulates in the soil when this concentration reaches a certain salinity level [41]. This soil salt accumulation could lead to an increase in osmotic pressure in the root zone [42], which could hinder the uptake of water by the roots and affect crop yield.
The soil ECe during the wheat’s mature period was higher than that during the maize’s mature period under the same irrigation conditions. For instance, during the maize’s mature period, the mean soil ECe in the plough layer under the T1–T4 treatments was, respectively, 5.0–14.0% lower than that during the wheat’s mature period. The reason for this result is that low rainfall during the wheat season (181.5 mm) created the need for more irrigation, while high rainfall during the maize season (404.2 mm) necessitated less irrigation, resulting in less salt being brought into the soil and a stronger leaching effect of rainfall on soil salt in the maize season, compared with that in the wheat season. In addition, some measures (e.g., the amount of irrigation applied, crop cover, and soil conditioner application) may have an impact on soil salinity. In a previous study, Che et al. [43] applied different irrigation amounts (75%, 100%, 125%, and 150% of crop water requirements) to cotton under mulched drip irrigation in Xinjiang. The results showed that increasing the irrigation amount could decrease soil salt accumulation via leaching. A study by Ma et al. [37] showed that soil salt accumulation in the bare area was higher than that in the mulched area under mulched drip irrigation cotton, which was due to the insufficient mulched area and higher evaporation intensity of soil in the bare area compared with that in the mulched area, resulting in the continuous accumulation of salt in the surface soil. Al-Mayahi et al. [44] additionally showed that sulfur application could reduce soil salinity and facilitate the leaching of water-soluble ions. In the mature periods of both wheat and maize, an increase in soil ECe with increasing soil depth was observed. Specifically, compared with that of the 0~10 cm soil layer, the soil ECe of the 10~20 cm soil layer increased by 19.2%, 18.9%, 29.9%, 16.5%, and 8.3%, respectively, under the CK and T1–T4 treatments at the wheat maturity stage, and increased by 2.7%, 15.5%, 41.4%, 6.1%, and 5.4%, respectively, at the maize maturity stage. Bi et al. [16] reported a similar conclusion, indicating that soil salinity increased with an increase in soil depth. This result was caused by the influence of irrigation and precipitation, which promoted the soil salt’s migration from the surface layer to deeper layers under leaching action [45].

3.1.2. Impacts of Saline Water Irrigation on Soil pH in the Winter Wheat–Summer Maize Rotation System

Irrigation with unreasonable saline water results in both soil salinization and soil alkalinization. A crucial indicator of soil alkalinity is the pH level [46]. Soil pH showed a tendency to rise as the salinity of the irrigation water rose at the maturity stages of both wheat and maize (Figure 4c,d). For instance, the mean soil pH was significantly higher under treatments T2–T4 in comparison to the CK treatment, representing a significant increase of 2.6–5.5% and 2.2–3.3%, respectively, during the mature periods for wheat and maize. As reported by Singh et al. [47], increases in the salinity levels of irrigation water to 5, 10, and 15 dS·m−1 led to corresponding increases in soil pH, with increases of 1.01, 1.24, and 1.50 units, respectively, in comparison to the pH values under freshwater irrigation. This result agrees with our findings, because more exchangeable Na+ was adsorbed on the soil colloid with increasing irrigation water salinity. Some of these Na+ were hydrolyzed to produce alkaline compounds, thereby increasing the soil pH [48]. Similarly, more HCO3 was brought into the soil as the irrigation water salinity increased, which generated OH after hydrolysis, also raising the soil pH [49]. Furthermore, the leaching effect of HCO3 due to rainfall was slower compared with other primary ions, resulting in a rise in the relative concentration of soil pH [50].
At the maturity stage of wheat, the soil pH values were higher than that at the maturity stage of maize under the same irrigation conditions. Specifically, at the maturity stage of wheat, the mean soil pH within the plough layer exhibited increases of 11.1%, 10.7%, 11.4%, 12.2%, and 12.9% for CK and T1–T4 treatments, respectively, compared with those at the maturity stage of maize. This result primarily relates to the rainfall intensity in different crop seasons, because the rainfall during the wheat season was less than that in the maize season and could not efficiently leach Na+ from the topsoil, resulting in a higher soil pH [51]. Moreover, the soil pH exhibited a tendency to increase with soil depth in the winter wheat–summer maize rotation system. For example, in the 10~20 cm soil layer, the soil pH with the T1–T4 treatments increased by 1.0%, 0.0%, 0.2%, and 1.0% at the maturity stage of maize, respectively, in comparison to the 0~10 cm soil layer. Based on the above analysis, under the combined action of irrigation and rainfall, soil salt ions showed a tendency to migrate from the surface layer to deeper layers during the growth process of the crops. This movement resulted in a higher soil pH in the 10~20 cm layer compared with the 0~10 cm layer, as confirmed by He et al. [52].

3.1.3. Impacts of Saline Water Irrigation on Soil SAR in the Winter Wheat–Summer Maize Rotation System

Soil SAR is an important index that reflects the soil sodicity level. Table 2 illustrates how saline water irrigation affected the soil SAR of the plough layer at the maturity stages of wheat and maize. The findings showed that increased irrigation water salinity led to higher soil SAR in each soil layer in the mature periods of the wheat and maize. For instance, the mean soil SAR in the plough layer under treatments T1–T4 increased by 73.5–473.1% and 56.8–578.5% in the mature periods of wheat and maize, respectively, in comparison to the CK treatment. Notably, there were significant differences in soil SAR among treatments T2–T4 at the maturity stage of wheat, and the values for treatments T3 and T4 were also significantly different at the maturity stage of maize, in comparison to the CK treatment. Ding et al. [53] showed that soil SAR increased with an increase in total dissolved solids in water used for irrigation (1, 3, and 7 g·L−1) in Xinjiang. In addition, Haj-Amor et al. [54] indicated that the application of saline water irrigation resulted in increased soil SAR in southwestern Tunisia. These results agree with our findings, mainly because Na+ ions were the main type of ions in the irrigation water used in these experiments and displaced Mg2+ and Ca2+ ions in the soil colloid [55,56]. As a result, a greater quantity of Na+ was brought into the soil with increasing salinity of irrigation water, leading to the further displacement of Mg2+ and Ca2+ ions, thereby increasing the soil SAR.
The soil SAR in the mature period of wheat was higher than that in the mature period of maize under the same irrigation conditions. Specifically, the mean soil SAR under the CK and T1–T4 treatments dropped by 45.5%, 50.8%, 45.6%, 42.4%, and 35.5%, respectively, in the plough layer at the maize maturity stage compared with that at the wheat maturity stage. The reason for this result is that the frequency of irrigation during the maize season was less than that during the wheat season, while precipitation during the maize season was more than that during the wheat season, which strengthened the leaching effects on Na+ ions during the maize season, thereby reducing the quantity of these ions in the soil. Chu et al. [57] also indicated that soil SAR decreased with increasing water intensity and irrigation amount under micro-sprinkler irrigation. Based on the above analysis, both irrigation and precipitation could enhance the adsorption and exchange processes of Na+ with Mg2+ and Ca2+ ions, resulting in more Na+ ions being leached and soil SAR decreasing [58,59].

3.2. Impacts of Saline Water Irrigation on the Stability of Soil Aggregates in the Winter Wheat–Summer Maize Rotation System

Soil aggregates serve as fundamental structural component of the soil, and their stability is a crucial indicator when assessing soil quality [60]. In this research, we utilized an index system for assessing soil aggregates’ stability, including the mass fraction of macroaggregates (R0.25, %), MWD, GMD, D, and MWSSA. Normally, R0.25, MWD, and GMD can all reflect the size distribution and composition of soil aggregates; the larger the values, the more stable the soil structure and the better the soil quality [61]. D is an important parameter to characterize the geometric shape of soil structure, and MWSSA stands for the external characteristics of soil aggregates. The smaller the values, the better the soil structural stability and quality [33,34].
Figure 5 shows the soil aggregate distribution in the plough layer at the maturity stages of both wheat and maize. This figure illustrates that, in the mature periods of both wheat and maize, the soil R0.25 ranked from largest to smallest as follows: CK > T1 > T2 > T3 > T4. Conversely, for silt and clay particles, the order was CK < T1 < T2 < T3 < T4. Specifically, in comparison to the CK treatment, the soil R0.25 under treatments T1–T4 in the plough layer declined by 0.6–38.7% and 2.9–48.4% at the maturity stages of wheat and maize, respectively. Simultaneously, the mass fraction of silt and clay particles increased by 5.6–70.7% and 10.4–126.9% in the mature periods of wheat and maize, respectively, under treatments T1–T4. Compared with that during the wheat season, the soil R0.25 in the plough layer during the maize season exhibited an overall rising trend under the same irrigation treatment. For example, the mean R0.25 within the soil layer of 10~20 cm under CK and T1–T4 treatments increased by 23.3%, 21.9%, 26.1%, 40.2%, and 8.8%, respectively, at the maturity stage of maize, compared with those at the maturity stage of wheat. In addition, with an increase in soil depth during the wheat’s mature period, the silt and clay fraction increased, while the soil R0.25 decreased. However, opposite changes were observed at the maturity stage of the maize. For instance, under the CK treatment, compared with the values in the 0~10 cm soil layer, the soil R0.25 in the 10~20 cm soil layer decreased by 4.1% and the silt and clay fraction increased by 28.0% in the wheat season. Conversely, the soil R0.25 increased by 8.5%, and the silt and clay fraction dropped by 11.2% in the maize season.
Figure 6a,b show that the MWD and GMD of soil aggregates in each treatment exhibited a decreasing tendency with increasing salinity of irrigation water at maturity in both wheat and maize. Specifically, relative to the CK treatment results, the mean MWD under the T3–T4 treatments in the plough layer during the mature period of wheat significantly dropped by 32.4–38.7%, and the mean GMD under the T3–T4 treatments significantly decreased by 45.36–57.7%. Similarly, at the maturity stage of maize, the mean MWD and GMD of the T3 and T4 treatments in the plough layer significantly decreased by 29.1% and 46.4%, and 53.1% and 73.2%, respectively, compared with the results under the CK treatment. Additionally, the MWD and GMD in the plough layer at the maturity stage of the wheat were generally lower than the values during the mature period of the maize under the same irrigation conditions. For example, the mean MWD and GMD of the CK and T1–T3 treatments in the plough layer during the wheat season decreased by 40.3%, 44.1%, 34.7%, and 47.2%, and by 51.9%, 59.4%, 39.5%, and 31.7%, respectively, compared with the values during the maize season. Furthermore, the MWD and GMD at the maturity stage of wheat decreased with an increase in soil depth, while the opposite trend was observed at the maturity stage of maize. For example, compared with the results for a soil depth of 0~10 cm, the MWD and GMD values under the CK treatment in the 10~20 cm soil layer decreased by 12.7% and 19.6% and increased by 17.1% and 28.3% in the mature periods of winter wheat and summer maize, respectively.
Figure 6c–f illustrate how saline water irrigation affected the D and MWSSA of soil aggregates in the plough layer in the mature periods of wheat and maize. It was evident that as the salinity of the irrigation water rose, the D and MWSSA for each treatment generally increased. Specifically, compared with the CK treatment, the mean D under the T1–T4 treatments in the plough layer during the mature period of wheat increased by 0.1–3.6%, respectively, while the mean MWSSA increased by 4.2–60.8%. The differences noted in the values of D and MWSSA were significant for the T3, T4, and CK treatments. Similarly, a significant difference was observed in the MWSSA between the T3, T4, and CK treatments at the maturity stage of maize. Moreover, the D and MWSSA in the mature period of wheat showed a decreasing tendency compared with the values in the mature period of maize under the same irrigation treatment. Specifically, the mean D under the CK and T1–T4 treatments in the plough layer during the wheat season decreased by 1.9%, 3.6%, 1.0%, 0.8%, and 1.5%, and the mean MWSSA under the T3 and T4 treatments dropped by 3.3% and 11.1%. Conversely, the CK, T1, and T2 treatments resulted in increases in mean MWSSA by 12.7%, 10.3%, and 4.4% compared with the values measured during the maize season. Additionally, in the mature periods of wheat, both soil D and MWSSA exhibited a tendency to increase with increasing soil depth, but an opposite trend was observed in the mature period of maize. For example, the D and MWSSA under the CK, T1, and T3 treatments in the plough layer at the maturity stage of wheat increased by 0.9%, 0.9%, and 0.7% and 20.8%, 7.3%, and 13.3%, respectively, compared with those in the 0~10 cm soil layer. Conversely, in the mature period of maize, the D and MWSSA of the 10~20 cm soil layer under CK, T1, T2, and T3 treatments decreased by 3.5%, 6.1%, 1.5%, and 1.7% and 11.2%, 12.8%, 23.3%, and 19.2%, respectively, compared with the 0~10 cm soil layer.
In conclusion, the results of this study indicated that irrigation with saline water destroyed soil aggregates during the mature periods of both wheat and maize. The values of soil R0.25, MWD, and GMD all decreased, whereas the values of soil D and MWSSA increased accordingly with increasing salinity of irrigation water. Furthermore, the R0.25, MWD, GMD, D, and MWSSA were all significantly impacted by saline water irrigation when the irrigation water salinity in the winter wheat–summer maize rotation system was >7.1 dS·m−1 in the wheat and maize seasons. The findings indicated that saline water irrigation deteriorated the soil aggregate stability. The reason for the deterioration of soil aggregate stability was that the saline water used for irrigation in our study was made from sea salt rich in Na+. Additionally, Na+ ions with strong dispersion could replace Ca2+ and Mg2+ ions with cementation between soil colloids [55,56], resulting in the dispersion of the soil structure and the depolymerization of macroaggregates, thereby reducing the soil aggregate stability. The soil aggregate distribution and stability would also be impacted by cementing materials such as soil organic matter, humus content, and zeolite [62,63]. With an increase in irrigation water salinity, increased soil salinity would accelerate the decomposition rate of organic matter and reduce the accumulation of organic matter, thereby inhibiting the formation of soil aggregates and reducing soil aggregate stability [41].
In addition, the maturity stage of maize yielded higher R0.25, MWD, GMD, D, and MWSSA values than those at the maturity stage of wheat under the same salinity treatment. These findings were similar to those in earlier research [64,65]. Because no tillage was implemented before the maize was sown, unlike the rotary tillage performed before the wheat sowing, the soil experienced less disturbance. Additionally, wheat root stubble was left in the field as soil organic material during the maize growing period, which could have formed an essential cementing material for soil aggregates through decomposition and transformation, thus enhancing aggregate formation and stability [62]. Furthermore, the soil R0.25, MWD, and GMD at the maturity stage of wheat following each treatment exhibited a decreasing tendency with increasing soil depth, while MWSSA and D showed an increasing trend. However, we observed an opposite law in the maturity stage of maize. One reason behind this difference was the use of different tillage methods. Rotary tillage was carried out on the farmland used in our study before wheat sowing every year. The tillage depth was about 12~15 cm, and the soil below the tilling layer was compacted to form a plow bottom layer of 5~7 cm, which disrupted the soil structure within the 10~20 cm layer, leading to adverse effects on soil aggregate stability during the growing period of wheat [66,67]. In addition, rainfall in the maize season was mainly concentrated in July–August, and the rainfall intensity in the early growth stage of maize was higher than that in the wheat growth stage, destroying the stability of surface soil aggregates [68]. The evapotranspiration during the mature period of maize was also stronger than during the mature period of wheat, due to the lower planting density of the maize as well as the higher air temperature and decreased rainfall during the maize’s late growth period. These factors caused the cations that dissolved in the water to move upward from the lower soil and accumulate in the topsoil [69], while the increased Na+ content hardened and dispersed the soil particles, destroying the soil aggregates [70].

3.3. Impacts of Saline Water Irrigation on the Crop Yields in the Winter Wheat–Summer Maize Rotation System

As shown in Table 2, increasing irrigation water salinity led to lower grain yield in the mature periods of wheat and maize. Specifically, the grain yields under the T1–T4 treatments at the maturity stages of wheat and maize dropped by 15.2–70.7% and 8.6–51.7%, respectively, in comparison to the yields observed under the CK treatment. The grain yields under treatments T2–T4 experienced significant reduction in the mature periods of both wheat and maize, compared with the results under the CK treatment. Additionally, the existing literature supports these findings, as indicated by studies conducted by Gao et al. [71], Wang et al. [72], and Cheng et al. [73], collectively demonstrating that saline water irrigation decreased crop yield. The reduction rate of the yields increased as irrigation water salinity increased, because the higher salinity of the irrigation water deteriorated the soil structure, increasing the soil bulk density, lowering the mass fraction of macroaggregates, and decreasing the soil porosity, permeability, and hydraulic conductivity [74,75,76], which decreased water infiltration, affected the growth of crop roots, and reduced the yield [77]. Under different climatic conditions, different varieties of wheat and maize may produce different yield responses to saline water irrigation. For instance, the salt tolerance threshold levels of maize and wheat are 1.8 and 6.0 dS·m−1, respectively [78]. Jiang et al. [79] showed that when the salinity of irrigation water exceeded 3.2 dS·m−1, wheat yield decreased significantly. Nevertheless, Mosaffaa and Sepaskhah [17] demonstrated that the wheat yield did not significantly change when the salinity level was 3.36 dS·m−1.

3.4. Comprehensive Evaluation of Soil Salinity, Alkalinity, Sodicity, Aggregate Stability, and Crop Yields

3.4.1. Correlation Analysis of ECiw, Soil ECe, pH, SAR, Aggregate Stability Indexes, and Crop Yields

Figure 7 illustrates the correlation between soil ECe, pH, aggregate stability evaluation indicators (R0.25, MWD, GMD, D, and MWSSA), crop yields, and ECiw in the mature periods of both wheat and maize. The ECiw presented a highly significant positive correlation with soil ECe, pH, SAR, and MWSSA (p < 0.01), as well as a highly significant negative correlation with the R0.25, MWD, GMD, and crop yields (p < 0.01) in the mature periods of wheat and maize. In addition, the ECiw and soil D showed a drastically significant positive correlation only at the wheat maturity stage (p < 0.01). A similar correlation was presented by Dong et al. [80] and Cheng et al. [73], who demonstrated that saline water irrigation increased soil EC and pH, destroyed the stability of soil aggregates, and reduced crop yield. Increasing salinity levels in irrigation water have a detrimental impact on soil health, leading to substantial increases in soil salinity, alkalinity, and sodicity. This increase in salinity not only adversely affected the stability of soil aggregates but also significantly reduced crop yields. It was shown that soil ECe, pH, and SAR had significant negative correlations with the R0.25, MWD, GMD, and crop yields in the mature periods of both wheat and maize (p < 0.05). Additionally, these soil properties showed a statistically significant positive correlation with MWSSA. Interestingly, it was noteworthy that the correlations between soil ECe, pH, and SAR and the D of soil aggregates were only significantly positive in the mature period of wheat (p < 0.05). As shown in Figure 7, soil ECe, pH, and SAR were highly correlated with soil aggregate stability indexes and crop yields. Therefore, soil aggregate stability and crop yields may be improved by reducing soil salinity, alkalinity, and sodicity. Xie et al. [81] indicated that applying straw nitrogen to coastal saline soil could reduce soil salinity and increase saline soil aggregate stability. Najafi-Ghiri et al. [82] demonstrated that the application of wood vinegar decreased soil pH value and increased soil-soluble K+, Ca2+ and Ca2+/K+ ratios, all benefiting soil aggregate stability. Soni et al. [83] showed that no-tillage practices could effectively reduce soil salinity, improve soil health, and non-significantly decrease yields of sorghum and wheat compared with conventional tillage. Furthermore, the correlation of soil ECe, pH, and SAR with the soil aggregate stability indexes and crop yield were higher in the mature period of wheat than in the mature period of maize. For instance, the correlation coefficients of R0.25, GMD, D, MWSSA, and crop yields with soil ECe at the maturity stage of wheat increased by 6.0%, 16.7%, 418.8%, 7.1%, and 15.7%, respectively, while MWD decreased by 2.4%, compared with the values during the mature period of maize. These results are related to the water requirements and necessary climatic conditions during different crop stages in the winter wheat–summer maize rotation system. Generally, the water requirements and consumption during the wheat season were both higher than those during the maize season [84], but only 30% of rainfall was distributed in the wheat growing season [85]. During the entire wheat season, the rainfall was lower than the crop water requirements. Consequently, additional applications of irrigation using saline water were required, which undoubtedly increased the soil salinity, alkalinity, and sodicity, thereby reducing the stability of soil aggregates and crop yield.

3.4.2. Comprehensive Evaluation of Saline Water Irrigation on Soil Aggregate Stability

In the mature periods of both wheat and maize, the values of C j obtained across the five salinity levels were ranked from largest to smallest as follows: CK > T1 > T2 > T3 > T4 (Table 2). Specifically, compared with the CK treatment, the C j values under the T1–T4 treatments decreased by 8.6–92.2% and 10.1–90.3%, respectively, in the mature periods of both wheat and maize. The T3 and T4 treatments were significantly different from the CK treatment in the mature periods of both wheat and maize. Similar results were also observed by Bi et al. [16], who indicated that the comprehensive score of soil aggregates decreased as ECiw increased in a cotton field irrigated with saline water. Bi et al. [16] also noted that the comprehensive score significantly decreased when the irrigation water salinity exceeded 7.1 dS·m−1. That evaluation system, however, could not be directly used to compare the stability of soil aggregates for wheat and maize farmland, because the degree of cancellation between the positive effects of positive indicators for soil aggregates and the negative effects of negative indicators were inconsistent between different treatments when using the entropy-weighted TOPSIS method to calculate the C j while including the R0.25, MWD, GMD, D, and MWSSA indexes.

3.4.3. The Fitting Relationship Between the Soil Index Comprehensive Score (SICS), Annual Grain Yields, and ECiw in the Winter Wheat–Summer Maize Rotation System

The soil physicochemical properties (such as soil EC, pH, and SAR) were primarily influenced by the irrigation water salinity, followed by soil EC, pH, SAR, aggregates, and other soil physicochemical indexes, which comprehensively affected crop yield [14]. Therefore, to further investigate the influence of ECiw on annual grain yields in the winter wheat–summer maize rotation system, we calculated the arithmetic average of SICS (wheat and maize) and established a linear fitting relationship between the arithmetic average of SICS and ECiw (Figure 8a). The results showed a highly significant linear relationship between the SICS and ECiw, with a fitted line slope of −0.074 and an R2 value of 0.993 (p < 0.01). Then, we established a linear fitting relationship between annual grain yields (the sum of wheat and maize yields) and the arithmetic average of SICS (wheat and maize) (Figure 8b). The results demonstrated a drastically significant linear correlation that developed between annual grain yields and SICS. Specifically, the slope of the fitted line was 9208.186, and the R2 value was 0.983. In cases where the annual grain yields decreased by 5% and 10% of the maximum value, the SICS decreased by 0.84 and 0.75, and the corresponding ECiw values were 2.98 and 4.24 dS·m−1, respectively. Wang et al. [13] previously applied a regression equation to examine the relation between multi-year yields of wheat and maize and ECiw values. The results showed that when the relative yields decreased by 5%, the ECiw values were 3.36 and 3.17 dS·m−1 for wheat and maize, respectively; when the relative yields decreased by 10%, the ECiw values were 4.90 and 4.62 dS·m−1, respectively, for wheat and maize. These results differed from those in our study, mainly because the results reported by Wang et al. [13] were based on a fitting of annual yields for wheat and maize and ECiw from 2007 to 2019, while our conclusions are based on a fitting of annual yields for wheat and maize and ECiw in 2022 and 2023. Differences in rainfall, irrigation systems, crop growth, and yields between different years contributed to the differences in results. Zhang et al. [14] fitted multi-year cotton seed yields and ECiw, and the results showed that when the relative yields decreased by 5% and 10%, the ECiw changed by 6.4~13.9 dS·m−1 and 10~16.6 dS·m−1, respectively. The reason for these different salinity thresholds is that different crops under saline water irrigation have different levels of salt tolerance. The salt tolerance of cotton is higher than that of wheat or maize, so the salinity threshold of cotton irrigated with saline water is also correspondingly higher (based on the standard of the Food and Agriculture Organization) [86].

4. Conclusions

This study investigated how soil ECe, pH, SAR, and aggregate stability, as well as crop yields, were impacted by the ECiw in a winter wheat–summer maize rotation system. The findings demonstrated that there was a significant increase in soil ECe, pH, and SAR when ECiw > 3.4 dS·m−1, compared with those under the CK treatment (1.3 dS·m−1), during the mature periods of both wheat and maize. Meanwhile, stability indexes of soil aggregates, such as R0.25, MWD, GMD, D, MWSSA, and C j , exhibited significant deterioration when ECiw > 7.1 dS·m−1 at the maturity stages of wheat and maize. The grain yields of wheat and maize did not significantly decrease when ECiw ≤ 3.4 dS·m−1, in comparison to the CK treatment (1.3 dS·m−1). Annual grain yields of wheat and maize and SICS, as well as SICS and ECiw, had drastically significant linear regression. The results indicated that 5% and 10% decreases in the annual grain yields of wheat and maize corresponded to a change in ECiw values from 2.98 to 4.24 dS·m−1. The soil salinity, alkalinity, and sodicity were lower, and soil aggregate indexes were more stable in the maturity stage of maize under uniform irrigation conditions.
In the future, we should fully consider climatic conditions, soil types, soil salinization degrees, crop types, and other factors in salinized areas suitable for saline water irrigation and carry out the comprehensive development and utilization of saline water resources according to local conditions. Furthermore, big data analysis should be utilized to propose comprehensive utilization technology and matching solutions for saline water resources according to the existing technology and application effects, in order to build an intelligent comprehensive system of saline water utilization.

Author Contributions

H.Y.: conceptualization, investigation, validation, data curation, writing—original draft. A.Z.: conceptualization, data curation, writing—review and editing. C.Z. (Changkuan Zhu): investigation, validation, formal analysis. H.D.: formal analysis, project administration, resources. C.Z. (Chunlian Zheng): investigation, formal analysis, supervision. J.Z.: data curation, writing—review and editing. C.C.: writing—review and editing, resources. All authors have read and agreed to the published version of the manuscript.

Funding

This research was supported by the National Key R&D Program of China (2023YFD1902605; 2022YFD1900105), Natural Science Foundation of Shandong Province (ZR2023ME017), Wheat Industry System in Hebei Province (HBCT2024010401).

Data Availability Statement

Individuals interested in the data used in this manuscript may obtain access by contacting the corresponding author. The reason for this restriction is that the data are not publicly available for privacy reasons.

Acknowledgments

We express our gratitude to the reviewers and editors for their valuable feedback on the manuscript.

Conflicts of Interest

The authors confirm that there are no conflicts of interest.

References

  1. Liu, M.; Ma, Z.Q.; Liang, Q.; Zhang, Y.; Yang, Y.A.; Hou, H.P.; Wu, X.D.; Ge, J.Z. Spring Wheat-Summer Maize Annual Crop System Grain Yield and Nitrogen Utilization Response to Nitrogen Application Rate in the Thermal-Resource-Limited Region of the North China Plain. Agronomy 2023, 13, 155. [Google Scholar] [CrossRef]
  2. Li, Z.T.; Wen, X.M.; Hu, C.S.; Li, X.X.; Li, S.S.; Zhang, X.S.; Hu, B.Q. Regional simulation of nitrate leaching potential from winter wheat-summer maize rotation croplands on the North China Plain using the NLEAP-GIS model. Agric. Ecosyst. Environ. 2020, 294, 106861. [Google Scholar] [CrossRef]
  3. Wang, J.T.; Dong, X.L.; Zhang, X.L.; Zhang, X.J.; Tian, L.; Lou, B.Y.; Liu, X.J.; Sun, H.Y. Comparing water related indicators and comprehensively evaluating cropping systems and irrigation strategies in the North China Plain for sustainable production. Ecol. Indic. 2023, 147, 110014. [Google Scholar] [CrossRef]
  4. Li, L.; Li, H.T.; Liu, N.; Lu, Y.; Shao, L.W.; Chen, S.Y.; Zhang, X.Y. Water use characteristics and drought tolerant ability of different winter wheat cultivars assessed under whole growth circle and at seedling stage. Agric. Water Manag. 2024, 300, 108921. [Google Scholar] [CrossRef]
  5. He, K.K.; Yang, Y.G.; Yang, Y.M.; Chen, S.Y.; Hu, Q.L.; Liu, X.J.; Gao, F. HYDRUS Simulation of Sustainable Brackish Water Irrigation in a Winter Wheat-Summer Maize Rotation System in the North China Plain. Water 2017, 9, 536. [Google Scholar] [CrossRef]
  6. Zhang, Z.J.; Luo, G.Z.; Wang, Z.; Liu, C.H.; Li, Y.S.; Jiang, X.Q. Study on sustainable utilization of groundwater resources in North China Plain. Resour. Sci. 2009, 31, 355–360. (In Chinese) [Google Scholar]
  7. Bouras, H.; Mamassi, A.; Devkota, K.P.; Choukr-Allah, R.; Bouazzama, B. Integrated effect of saline water irrigation and phosphorus fertilization practices on wheat (Triticum aestivum) growth, productivity, nutrient content and soil proprieties under dryland farming. Plant Stress. 2023, 10, 100295. [Google Scholar] [CrossRef]
  8. Yan, Z.Z.; Zhang, X.Y.; Rashid, M.A.; Li, H.J.; Jing, H.C.; Hochman, Z. Assessment of the sustainability of different cropping systems under three irrigation strategies in the North China Plain under climate change. Agric. Syst. 2020, 178, 102745. [Google Scholar] [CrossRef]
  9. Javed, S.A.; Jaffar, M.T.; Shahzad, S.M.; Ashraf, M.; Piracha, M.A.; Mukhtar, A.; Rahman, S.U.; Almoallim, H.S.; Ansari, M.J.; Zhang, J.G. Optimization of nitrogen regulates the ionic homeostasis, potassium efficiency, and proline content to improve the growth, yield, and quality of maize under salinity stress. Environ. Exp. Bot. 2024, 226, 105836. [Google Scholar] [CrossRef]
  10. Yan, S.H.; Gao, Y.M.; Tian, M.J.; Tian, Y.Q.; Li, J.S. Comprehensive evaluation of effects of various carbon-rich amendments on tomato production under continuous saline water irrigation: Overall soil quality, plant nutrient uptake, crop yields and fruit quality. Agric. Water Manag. 2021, 255, 106995. [Google Scholar] [CrossRef]
  11. Ding, B.X.; Cao, H.X.; Zhang, J.H.; Bai, Y.G.; He, Z.J.; Guo, S.C.; Wang, B.; Jia, Z.L.; Liu, H.B. Biofertilizer application improved cotton growth, nitrogen use efficiency, and yield in saline water drip-irrigated cotton fields in Xinjiang, China. Ind. Crop. Prod. 2023, 205, 117553. [Google Scholar] [CrossRef]
  12. Min, W.; Guo, H.J.; Zhang, W.; Zhou, G.W.; Ma, L.J.; Ye, J.; Hou, Z.A. Irrigation water salinity and N fertilization: Effects on ammonia oxidizer abundance, enzyme activity and cotton growth in a drip irrigated cotton field. J. Integr. Agric. 2016, 15, 1121–1131. [Google Scholar] [CrossRef]
  13. Wang, H.; Zheng, C.L.; Ning, S.R.; Cao, C.Y.; Li, K.J.; Dang, H.K.; Wu, Y.Q.; Zhang, J.P. Impacts of long-term saline water irrigation on soil properties and crop yields under maize-wheat crop rotation. Agric. Water Manag. 2023, 286, 108383. [Google Scholar] [CrossRef]
  14. Zhang, J.P.; Wang, H.; Feng, D.; Cao, C.Y.; Zheng, C.L.; Dang, H.K.; Li, K.J.; Gao, Y.; Sun, C.T. Evaluating the impacts of long-term saline water irrigation on soil salinity and cotton yield under plastic film mulching: A 15-year field study. Agric. Water Manag. 2024, 293, 108703. [Google Scholar] [CrossRef]
  15. Lehmann, J.; Kleber, M. The contentious nature of soil organic matter. Nature 2015, 528, 60. [Google Scholar] [CrossRef]
  16. Bi, Y.P.; Zheng, C.L.; Dang, H.K.; Cao, C.Y.; Li, K.J.; Ma, J.Y.; Wang, H.; Zhang, J.P. Effects of saltwater furrow irrigation on the stability of soil water-stable aggregates in cotton fields. J. Appl. Ecol. 2022, 33, 1055–1062. (In Chinese) [Google Scholar]
  17. Mosaffa, H.R.; Sepaskhah, A.R. Performance of irrigation regimes and water salinity on winter wheat as influenced by planting methods. Agric. Water Manag. 2019, 216, 444–456. [Google Scholar] [CrossRef]
  18. Yuan, C.F.; Feng, S.Y.; Huo, Z.L.; Ji, Q.Y. Effects of deficit irrigation with saline water on soil water-salt distribution and water use efficiency of maize for seed production in arid Northwest China. Agric. Water Manag. 2019, 212, 424–432. [Google Scholar] [CrossRef]
  19. Yaganoglu, E.; Senol, N.D.; Yerli, C. Enhancing Soil Properties and Crop Growth in Varied-Texture Soils: Evaluating the Efficacy of Biochar in Mitigating Irrigation Water Salinity. Environ. Eng. Manag. J. 2023, 22, 1157–1172. [Google Scholar] [CrossRef]
  20. Tadayonnejad, M.; Mosaddeghi, M.R.; Dashtaki, S.G. Changing soil hydraulic properties and water repellency in a pomegranate orchard irrigated with saline water by applying polyacrylamide. Agric. Water Manag. 2017, 188, 12–20. [Google Scholar] [CrossRef]
  21. Chen, Y.; Qiu, Y.; Hao, X.M.; Tong, L.; Li, S.; Kang, S.Z. Does biochar addition improve soil physicochemical properties, bacterial community and alfalfa growth for saline soils? Land. Degrad. Dev. 2023, 34, 3314–3328. [Google Scholar] [CrossRef]
  22. Wang, B.; Dou, W.J.; Chen, J.; Chen, J.W.; Lai, J.B. Spatio-temporal dynamic changes of soil saline-alkali properties, saline-alkali land zoning and efficient utilization in Yellow River Delta region. Mod. Geol. 2024, 38, 1–13. (In Chinese) [Google Scholar]
  23. Sun, W.T.; Ma, M. Response of soil physical degradation and fine root growth in long-term mulched apple orchards on the Loess Plateau. J. Plant Ecol. 2021, 45, 972–986. (In Chinese) [Google Scholar] [CrossRef]
  24. Yan, Z.X.; Zhang, W.Y.; Liu, X.W.; Wang, Q.S.; Liu, B.H.; Mei, X.R. Grain yield and water productivity of winter wheat controlled by irrigation regime and manure substitution in the North China Plain. Agric. Water Manag. 2024, 295, 108731. [Google Scholar] [CrossRef]
  25. Li, P.; Ren, L. Evaluating the saline water irrigation schemes using a distributed agro-hydrological model. J. Hydrol. 2021, 594, 125688. [Google Scholar] [CrossRef]
  26. Zhou, X.N.; Liu, S.Y.; Wang, Z.; Zhou, Z.C. Chemical characteristics and availability analysis of shallow groundwater in typical areas of North China Plain: A case study of Hengshui. Water Sci. Eng. Technol. 2008, 2, 56–59. (In Chinese) [Google Scholar]
  27. Ning, S.R.; Shi, J.C.; Zuo, Q.; Wang, S.; Ben-Gal, A. Generalization of the root length density distribution of cotton under film mulched drip irrigation. Field Crops Res. 2015, 177, 125–136. [Google Scholar] [CrossRef]
  28. Lu, R.K. Soil Agro-Chemistrical Analysis; China Agricultural Science and Technology Press: Beijing, China, 2000. (In Chinese) [Google Scholar]
  29. Anes, B.; Bettencourt da Silva, R.J.N.; Martins, H.F.P.; Oliveira, C.S.; Camões, M.F. Compatibility of activity coefficients estimated experimentally and by Pitzer equations for the assessment of seawater pH. Accredit. Qual. Assur. 2016, 21, 1–7. [Google Scholar] [CrossRef]
  30. Robbins, C.W. Sodium adsorption ratio-exchangeable sodium percentage relationships in a high potassium saline-sodic. Soil Irrig. Sci. 1984, 5, 173–179. [Google Scholar] [CrossRef]
  31. Zhao, J.S.; Chen, S.; Hu, R.G.; Li, Y.Y. Aggregate stability and size distribution of red soils under different land uses integrally regulated by soil organic matter, and iron and aluminum oxides. Soil Tillage Res. 2017, 167, 73–79. [Google Scholar] [CrossRef]
  32. Perfect, E.; Kay, B.D. Fractal Theory Applied to Soil Aggregation. Soil Sci. Soc. Am. J. 1991, 55, 1552–1558. [Google Scholar] [CrossRef]
  33. Wang, E.H.; Zhao, Y.S.; Chen, X.W. Effect of pre-water content on the characteristics of black soil aggregates after mechanical compaction. Acta Pedol. Sin. 2009, 46, 241–247. (In Chinese) [Google Scholar]
  34. Wu, T.N.; Zhang, Y.T.; Wang, Y.W.; Wang, S.Q.; Lei, L.Y. Factors affecting the stability of soil aggregates of plinthosols in the middle reaches of the Yangtze River. CATENA 2023, 228, 107159. [Google Scholar] [CrossRef]
  35. Ju, J.J.; Shi, W.h.; Wang, Y. A risk assessment approach for road collapse along tunnels based on an improved entropy weight method and K-means cluster algorithm. Ain Shams Eng. J. 2024, 15, 102805. [Google Scholar] [CrossRef]
  36. Najm, O.F.; Mohamed, O.A.; Sami Hijah, E. Efficiency of self-compacting concrete made with variable sustainable cementitious materials: A TOPSIS algorithm approach. Mater. Today Proc. 2024; in press. [Google Scholar] [CrossRef]
  37. Ma, Z.L.; Liu, J.; Zhang, J.Z.; Yin, F.H.; Guo, L.; Wen, Y.; Song, L.B.; Zhu, Y.; Liang, Y.H.; Wang, Z.H. Ultra-wide film mulching with moderate irrigation water salinity enhances cotton growth under drip irrigation in Xinjiang, China. Field Crops Res. 2024, 315, 109485. [Google Scholar] [CrossRef]
  38. Feng, G.X.; Zhang, Z.Y.; Wan, C.Y.; Lu, P.R.; Bakour, A. Effects of saline water irrigation on soil salinity and yield of summer maize (Zea mays L.) in subsurface drainage system. Agric. Water Manag. 2017, 193, 205–213. [Google Scholar] [CrossRef]
  39. Rengasamy, P. World salinization with emphasis on Australia. J. Exp. Bot. 2006, 57, 1017–1023. [Google Scholar] [CrossRef]
  40. D’Odorico, P.; Bhattachan, A.; Davis, K.F.; Ravi, S.; Runyan, C.W. Global desertification: Drivers and feedbacks. Adv. Water Resour. 2013, 51, 326–344. [Google Scholar] [CrossRef]
  41. Wang, Y.Q.; Zheng, C.L.; Li, K.J.; Dang, H.K.; Cao, C.Y.; Ma, J.Y.; Wu, Y.Q.; Zhang, J.P. Effects of organic fertilizer application on soil organic matter and water-stable aggregates in saline water irrigated farmland. J. Soil Water Conserv. 2022, 36, 268–274. (In Chinese) [Google Scholar]
  42. She, D.L.; Sun, X.Q.; Gamareldawla, A.H.D.; Nazar, E.A.; Hu, W.; Edith, K.; Yu, S.E. Benefits of soil biochar amendments to tomato growth under saline water irrigation. Sci. Rep. 2018, 8, 14743. [Google Scholar] [CrossRef]
  43. Che, Z.; Wang, J.; Li, J.S. Effects of water quality, irrigation amount and nitrogen applied on soil salinity and cotton production under mulched drip irrigation in arid Northwest China. Agric. Water Manag. 2021, 247, 106738. [Google Scholar] [CrossRef]
  44. Al-Mayahi, A.; Menezes-Blackburn, D.; Al-Ismaily, S.; Al-Busaidi, H.; Al-Siyabi, A.; Al-Siyabi, B.; Al-Saidi, S.; Al-Harrasi, N. Elemental sulfur effects on salt leaching, plant growth, nutrient uptake, and microbial diversity in an arid saline Soil. J. Saudi Soc. Agric. Sci. 2024, 23, 227–235. [Google Scholar] [CrossRef]
  45. Su, F.M.; Wu, J.H.; Wang, D.; Zhao, H.H.; Wang, Y.H.; He, X.D. Moisture movement, soil salt migration, and nitrogen transformation under different irrigation conditions: Field experimental research. Chemosphere 2022, 300, 134569. [Google Scholar] [CrossRef]
  46. Hong, S.B.; Piao, S.L.; Chen, A.P.; Liu, Y.W.; Liu, L.L.; Peng, S.S.; Sardans, J.; Sun, Y.; Peñuelas, J.; Zeng, H. Afforestation neutralizes soil pH. Nat. Commun. 2018, 9, 520. [Google Scholar] [CrossRef]
  47. Singh, G.; Mavi, M.S.; Choudhary, O.P.; Gupta, N.; Singh, Y. Rice straw biochar application to soil irrigated with saline water in a cotton-wheat system improves crop performance and soil functionality in north-west India. J. Environ. Manag. 2021, 295, 113277. [Google Scholar] [CrossRef]
  48. Suarez, D.L.; Wood, J.D.; Lesch, S.M. Effect of SAR on water infiltration under a sequential rain–irrigation management system. Agric. Water Manag. 2006, 86, 150–164. [Google Scholar] [CrossRef]
  49. Feng, D.; Sun, C.T.; Li, X.B.; Sun, X.A.; Wan, S.Q.; Li, C.X.; Ning, S.R. Reclamation of heavy coastal silt saline soil and optimal tomato production through a drip irrigation system with saline water. Plant Soil 2022, 484, 1–17. [Google Scholar] [CrossRef]
  50. Liu, S.H.; Wang, N.; Li, D.Z.; Tian, C.Y.; Zhang, K.; Hu, M.F.; Niu, H.S.; Zhao, Z.Y. Effects of halophyte Suaeda salsa continuous cropping on physical and chemical properties of saline soil under drip irrigation in arid regions. Agr. Ecosyst. Environ. 2024, 371, 109076. [Google Scholar] [CrossRef]
  51. Ran, C.; Gao, D.P.; Bai, T.Q.; Geng, Y.Q.; Shao, X.W.; Guo, L.Y. Straw return alleviates the negative effects of saline sodic stress on rice by improving soil chemistry and reducing the accumulation of sodium ions in rice leaves. Agr. Ecosyst. Environ. 2023, 342, 108253. [Google Scholar] [CrossRef]
  52. He, P.; Li, Y.; Jiang, M.J.; Liu, Y.H.; Du, W.; Zhang, J.Q.; Jing, H.C. Effects of continuous nitrogen addition for 14 years on carbon and nitrogen components and physical structure of soil in typical temperate steppe. Acta Ecol. Sin. 2021, 41, 1808–1823. (In Chinese) [Google Scholar]
  53. Ding, B.X.; Bai, Y.G.; Guo, S.C.; He, Z.J.; Wang, B.; Liu, H.B.; Zhai, J.R.; Cao, H.X. Effect of Irrigation Water Salinity on Soil Characteristics and Microbial Communities in Cotton Fields in Southern Xinjiang, China. Agronomy 2023, 13, 1679. [Google Scholar] [CrossRef]
  54. Haj-Amor, Z.; Hashemi, H.; Bouri, S. The consequences of saline irrigation treatments on soil physicochemical characteristics. Euro-Mediterr. J. Environ. Integrat. 2018, 3, 22. [Google Scholar] [CrossRef]
  55. Yan, S.H.; Zhang, T.B.; Zhang, B.B.; Liu, Z.Y.; Cheng, Y.; Feng, H. Cation composition of saline water affects soil structure by altering the formation of macropores and cracks in illite soils. Soil Tillage Res. 2024, 239, 106052. [Google Scholar] [CrossRef]
  56. Tunc, T.; Sahin, U. The changes in the physical and hydraulic properties of a loamy soil under irrigation with simpler-reclaimed wastewaters. Agric. Water Manag. 2015, 158, 213–224. [Google Scholar] [CrossRef]
  57. Chu, L.L.; Kang, Y.H.; Wan, S.Q. Effect of different water application intensity and irrigation amount treatments of microirrigation on soil-leaching coastal saline soils of North China. J. Integr. Agric. 2016, 15, 2123–2131. [Google Scholar] [CrossRef]
  58. Guo, Q.E.; Wang, Y.Q.; Nan, L.L.; Li, B.G.; Cao, S.Y. Effects of solute types and degree of mineralization on salt ions in soil release solution. Trans. Chin. Soc. Agric. Eng. 2019, 35, 105–111. [Google Scholar] [CrossRef]
  59. Wu, Z.; Wang, Q.J. Effect on both soil infiltration characteristics and ion mobility features by mineralization degree of infiltration water. Trans. Chin. Soc. Agric. Mach. 2010, 41, 64–69+75. [Google Scholar] [CrossRef]
  60. Bi, M.F.; Zhang, S.P.; Xu, Q.X.; Hou, S.Z.; Han, M.W.; Yu, X.R. Coupling and synergistic relationships between soil aggregate stability and nutrient stoichiometric characteristics under different microtopographies on karst rocky desertification slopes. Catena 2024, 243, 108142. [Google Scholar] [CrossRef]
  61. Sun, X.Y.; Xing, Y.J.; Yan, G.Y.; Liu, G.C.; Wang, X.C.; Wang, Q.G. Dynamics of glomalin-related soil protein and soil aggregates during secondary succession in the temperate forest. Catena 2024, 234, 107602. [Google Scholar] [CrossRef]
  62. Zhou, M.; Liu, C.Z.; Wang, J.; Meng, Q.F.; Du, W.L. Soil aggregates stability and storage of soil organic carbon respond to cropping systems on Black Soils of Northeast China. Sci. Rep. 2020, 10, 265. [Google Scholar] [CrossRef]
  63. Amirahmadi, E.; Ghorbani, M.; Moudrý, J. Effects of Zeolite on Aggregation, Nutrient Availability, and Growth Characteristics of Corn (Zea mays L.) in Cadmium-Contaminated Soils. Water Air Soil Pollut. 2022, 233, 436. [Google Scholar] [CrossRef]
  64. Zhang, X.; Shen, S.W.; Xue, S.Q.; Hu, Y.S.; Wang, X.D. Long-term tillage and cropping systems affect soil organic carbon components and mineralization in aggregates in semiarid regions. Soil Tillage Res. 2023, 231, 105742. [Google Scholar] [CrossRef]
  65. Chen, Q.; Yuriy, S.K.; Chen, S.; Li, H.; Song, C.Y.; Wang, Y.C.; Zhang, X.Y. Seasonal changes of soil structure under different tillage methods. Chin. J. Soil Sci. 2015, 46, 184–191. (In Chinese) [Google Scholar]
  66. Zhai, L.C.; Wang, Z.B.; Song, S.J.; Zhang, L.H.; Zhang, Z.B.; Jia, X.L. Tillage practices affects the grain filling of inferior kernel of summer maize by regulating soil water content and photosynthetic capacity. Agric. Water Manag. 2021, 245, 106600. [Google Scholar] [CrossRef]
  67. Shi, X.R.; Li, C.; Li, P.; Zong, Y.Z.; Zhang, D.S.; Gao, Z.Q.; Hao, X.Y.; Wang, J.; Lam, S.K. Deep plowing increases soil water storage and wheat yield in a semiarid region of Loess Plateau in China: A simulation study. Field Crops Res. 2024, 308, 109299. [Google Scholar] [CrossRef]
  68. Bach, E.M.; Hofmockel, K.S. A time for every season: Soil aggregate turnover stimulates decomposition and reduces carbon loss in grasslands managed for bioenergy. Glob. Chang. Biol. Bioenergy 2016, 8, 588–599. [Google Scholar] [CrossRef]
  69. Fang, X.; Liu, Z.; Li, J.; Lai, J.B.; Gong, H.R.; Sun, Z.G.; Ouyang, Z.; Dou, W.J.; Fa, K. Non-Synergistic Changes in Migration Processes between Soil Salt and Water in the Salt Patch of the Coastal Saline Soil. Agronomy 2023, 13, 2403. [Google Scholar] [CrossRef]
  70. Guo, X.W.; Xiang, G.Q.; Zhang, F.Z.; Jiang, S.; Min, W. Effects of biochar and straw returning on soil microbial community characteristics and functional differences in cotton field with saline water drip irrigation. Environ. Sci. 2024, 45, 3571–3583. (In Chinese) [Google Scholar]
  71. Gao, Y.; Shao, G.; Cui, J.; Lu, J.; Tian, L.; Song, E.; Zeng, Z. Effects of Drought Hardening and Saline Water Irrigation on the Growth, Yield, and Quality of Tomato. Agronomy 2023, 13, 2351. [Google Scholar] [CrossRef]
  72. Wang, Q.M.; Huo, Z.L.; Zhang, L.D.; Wang, J.H.; Zhao, Y. Impact of saline water irrigation on water use efficiency and soil salt accumulation for spring maize in arid regions of China. Agric. Water Manag. 2016, 163, 125–138. [Google Scholar] [CrossRef]
  73. Cheng, M.H.; Wang, H.D.; Fan, J.L.; Wang, X.K.; Sun, X.; Yang, L.; Zhang, S.H.; Xiang, Y.Z.; Zhang, F.C. Crop yield and water productivity under salty water irrigation: A global meta-analysis. Agric. Water Manag. 2021, 256, 107105. [Google Scholar] [CrossRef]
  74. Phogat, V.; Mallants, D.; Cox, J.W.; Šimůnek, J.; Oliver, D.P.; Pitt, T.; Petrie, P.R. Impact of long-term recycled water irrigation on crop yield and soil chemical properties. Agric. Water Manag. 2020, 237, 106167. [Google Scholar] [CrossRef]
  75. Wang, H.; Feng, D.; Zhang, A.Q.; Zheng, C.L.; Li, K.J.; Ning, S.R.; Zhang, J.P.; Sun, C.T. Effects of saline water mulched drip irrigation on cotton yield and soil quality in the North China Plain. Agric. Water Manag. 2022, 262, 107405. [Google Scholar] [CrossRef]
  76. Li, H.; Lin, Q.; Xu, S.H. Effect of Infiltration of Saline Water/Brackish Water on Soil Permeability and Transport of Salt Cations in the Soil. Acta Pedol. Sin. 2020, 57, 656–666. [Google Scholar] [CrossRef]
  77. Minhas, P.S.; Qadir, M.; Yadav, R.K. Groundwater irrigation induced soil sodification and response options. Agric. Water Manag. 2019, 215, 74–85. [Google Scholar] [CrossRef]
  78. Kumar, P.; Choudhary, M.; Halder, T.; Prakash, N.R.; Singh, V.; Vineeth, T.V.; Sheoran, S.; Ravikiran, K.T.; Longmei, N.; Rakshit, S.; et al. Salinity stress tolerance and omics approaches: Revisiting the progress and achievements in major cereal crops. Heredity 2022, 128, 497–518. [Google Scholar] [CrossRef]
  79. Jiang, J.; Huo, Z.L.; Feng, S.Y.; Zhang, C.B. Effect of irrigation amount and water salinity on water consumption and water productivity of spring wheat in Northwest China. Field Crop. Res. 2012, 137, 78–88. [Google Scholar] [CrossRef]
  80. Dong, X.L.; Wang, J.T.; Zhang, X.J.; Dang, H.K.; Singh, B.P.; Liu, X.J.; Sun, H.Y. Long-term saline water irrigation decreased soil organic carbon and inorganic carbon contents. Agric. Water Manag. 2022, 270, 107760. [Google Scholar] [CrossRef]
  81. Xie, W.J.; Chen, Q.F.; Wu, L.F.; Yang, H.J.; Xu, J.K.; Zhang, Y.P. Coastal saline soil aggregate formation and salt distribution are affected by straw and nitrogen application: A 4-year field study. Soil Tillage Res. 2020, 198, 104535. [Google Scholar] [CrossRef]
  82. Najafi-Ghiri, M.; Mirsoleimani, A.; Boostani, H.R.; Amin, H. Influence of Wood Vinegar and Potassium Application on Soil Properties and Ca/K Ratio in Citrus Rootstocks. J. Soil Sci. Plant Nut. 2022, 22, 334–344. [Google Scholar] [CrossRef]
  83. Soni, P.G.; Basak, N.; Rai, A.K.; Sundha, P.; Narjary, B.; Kumar, P.; Yadav, G.; Kumar, S.; Yadav, R.K. Deficit saline water irrigation under reduced tillage and residue mulch improves soil health in sorghum-wheat cropping system in semi-arid region. Sci. Rep. 2021, 11, 1880. [Google Scholar] [CrossRef] [PubMed]
  84. Pan, P.P.; Miao, J.X.; Wen, J.Y.; Wang, X.X.; Li, L.S.; Zhang, Z.H. Spatial-temporal pattern analysis of virtual water content of main crops in Hebei Province. J. Hebei Norm. Univ. 2024, 48, 325–337. (In Chinese) [Google Scholar]
  85. Liu, Z.M.; Li, L.; Li, H.T.; Liu, N.; Wang, H.X.; Shao, L.W. Changes and influencing factors of summer maize crop coefficient in North China Plain in 40 years. Chin. J. Eco-Agric. 2023, 31, 1355–1367. (In Chinese) [Google Scholar]
  86. Rhoades, J.D.; Kandiah, A.; Mashali, A.M. The Use of Saline Waters for Crop Production—FAO Irrigation and Drainage Paper; FAO UN: Rome, Italy, 1992; pp. 23–43. (In Chinese) [Google Scholar]
Figure 1. Location of the experimental site.
Figure 1. Location of the experimental site.
Agronomy 14 02564 g001
Figure 2. Initial salinity of soil in the plough layer (0~20 cm) before sowing winter wheat (in 2022). Significant differences among treatments within the same soil layer are indicated using lowercase letters of a and b, at a significance level of p < 0.05. The salinity treatments denoted by CK and T1–T4 are 1.3, 3.4, 7.1, 10.6, and 14.1 dS·m−1, respectively.
Figure 2. Initial salinity of soil in the plough layer (0~20 cm) before sowing winter wheat (in 2022). Significant differences among treatments within the same soil layer are indicated using lowercase letters of a and b, at a significance level of p < 0.05. The salinity treatments denoted by CK and T1–T4 are 1.3, 3.4, 7.1, 10.6, and 14.1 dS·m−1, respectively.
Agronomy 14 02564 g002
Figure 3. Monthly distribution of precipitation and temperature during the wheat and maize growing seasons (in 2022–2023).
Figure 3. Monthly distribution of precipitation and temperature during the wheat and maize growing seasons (in 2022–2023).
Agronomy 14 02564 g003
Figure 4. The electrical conductivity of saturated soil extract (ECe) and pH in the plough layer (0~20 cm) at the mature stages of wheat and maize (in 2023). (a) ECe during the wheat’s mature period; (b) ECe during the maize’s mature period; (c) pH at the maturity stage of wheat; (d) pH at the maturity stage of maize. Significant differences among treatments within the same soil layer are indicated using lowercase letters of (a–d), at a significant level of p < 0.05. The salinity treatments denoted by CK and T1–T4 are 1.3, 3.4, 7.1, 10.6, and 14.1 dS·m−1, respectively.
Figure 4. The electrical conductivity of saturated soil extract (ECe) and pH in the plough layer (0~20 cm) at the mature stages of wheat and maize (in 2023). (a) ECe during the wheat’s mature period; (b) ECe during the maize’s mature period; (c) pH at the maturity stage of wheat; (d) pH at the maturity stage of maize. Significant differences among treatments within the same soil layer are indicated using lowercase letters of (a–d), at a significant level of p < 0.05. The salinity treatments denoted by CK and T1–T4 are 1.3, 3.4, 7.1, 10.6, and 14.1 dS·m−1, respectively.
Agronomy 14 02564 g004
Figure 5. The distribution of soil aggregates in the plough layer (0~20 cm) at the maturity stages of wheat (a) and maize (b) in 2023. The salinity treatments denoted by CK and T1–T4 are 1.3, 3.4, 7.1, 10.6, and 14.1 dS·m−1, respectively.
Figure 5. The distribution of soil aggregates in the plough layer (0~20 cm) at the maturity stages of wheat (a) and maize (b) in 2023. The salinity treatments denoted by CK and T1–T4 are 1.3, 3.4, 7.1, 10.6, and 14.1 dS·m−1, respectively.
Agronomy 14 02564 g005
Figure 6. The mean weight diameter (MWD), geometric mean diameter (GMD), fractal dimension (D), and mean weight specific surface area (MWSSA) of soil aggregates in the plough layer (0~20 cm) at the maturity stages of wheat and maize (in 2023). (a) MWD and GMD during the wheat’s mature period; (b) MWD and GMD during the maize’s mature period; (c) D at the maturity stage of wheat; (d) D at the maturity stage of maize; (e) MWSSA at the wheat maturity stage; (f) MWSSA at the maize maturity stage. Significant differences among treatments within the same soil layer are indicated using lowercase letters of (a–c), at a significance level of p < 0.05. The salinity treatments denoted by CK and T1–T4 are 1.3, 3.4, 7.1, 10.6, and 14.1 dS·m−1, respectively.
Figure 6. The mean weight diameter (MWD), geometric mean diameter (GMD), fractal dimension (D), and mean weight specific surface area (MWSSA) of soil aggregates in the plough layer (0~20 cm) at the maturity stages of wheat and maize (in 2023). (a) MWD and GMD during the wheat’s mature period; (b) MWD and GMD during the maize’s mature period; (c) D at the maturity stage of wheat; (d) D at the maturity stage of maize; (e) MWSSA at the wheat maturity stage; (f) MWSSA at the maize maturity stage. Significant differences among treatments within the same soil layer are indicated using lowercase letters of (a–c), at a significance level of p < 0.05. The salinity treatments denoted by CK and T1–T4 are 1.3, 3.4, 7.1, 10.6, and 14.1 dS·m−1, respectively.
Agronomy 14 02564 g006aAgronomy 14 02564 g006b
Figure 7. Correlations between soil ECe, pH, SAR, aggregate stability indexes, crop yields, and electrical conductivity of irrigation water (ECiw) of the plough layer (0~20 cm) in the winter wheat–summer maize rotation system (from 2022–2023). (a) correlations during the wheat’s mature period; (b) correlations during the maize’s mature period. The upper part of the ellipse to the right indicates a positive correlation, and the upper part of the ellipse to the left indicates a negative correlation. The shade of the color and the oval shape indicate the correlation level. A deeper color and a flatter ellipse indicate a stronger correlation. When the ellipse is an oblique line, the correlation coefficient is 1. * and ** indicate significant correlation at p < 0.05 and p < 0.01, respectively.
Figure 7. Correlations between soil ECe, pH, SAR, aggregate stability indexes, crop yields, and electrical conductivity of irrigation water (ECiw) of the plough layer (0~20 cm) in the winter wheat–summer maize rotation system (from 2022–2023). (a) correlations during the wheat’s mature period; (b) correlations during the maize’s mature period. The upper part of the ellipse to the right indicates a positive correlation, and the upper part of the ellipse to the left indicates a negative correlation. The shade of the color and the oval shape indicate the correlation level. A deeper color and a flatter ellipse indicate a stronger correlation. When the ellipse is an oblique line, the correlation coefficient is 1. * and ** indicate significant correlation at p < 0.05 and p < 0.01, respectively.
Agronomy 14 02564 g007
Figure 8. The fitting relationship between annual grain yields of winter wheat and summer maize and soil index comprehensive score (SICS) (b), as well as SICS and ECiw (a). SICS is the comprehensive score of soil EC, pH, SAR, and C j , which is an arithmetic average of SICS (wheat and maize). Annual grain yields are the sum of wheat yield and maize yield. R2: the correlation coefficient. p: significance level.
Figure 8. The fitting relationship between annual grain yields of winter wheat and summer maize and soil index comprehensive score (SICS) (b), as well as SICS and ECiw (a). SICS is the comprehensive score of soil EC, pH, SAR, and C j , which is an arithmetic average of SICS (wheat and maize). Annual grain yields are the sum of wheat yield and maize yield. R2: the correlation coefficient. p: significance level.
Agronomy 14 02564 g008
Table 1. The irrigation stages in 2022–2023.
Table 1. The irrigation stages in 2022–2023.
YearGrowth SeasonIrrigation StageIrrigation Amount (m3 per ha)
2022–2023Winter wheatJointing stage600
Flowering stage600
Summer maizeAfter sowing600
Table 2. The soil sodium adsorption ratio (SAR) and comprehensive score of soil aggregate stability ( C j ) of the plough layer (0~20 cm) in 2023, as well as grain yields in the winter wheat–summer maize rotation system (from 2022–2023). Significant differences among treatments in the same soil layer are indicated by the letters a, b, c, and d, at a significance level of p < 0.05. The salinity treatments denoted by CK and T1–T4 are 1.3, 3.4, 7.1, 10.6, and 14.1 dS·m−1, respectively.
Table 2. The soil sodium adsorption ratio (SAR) and comprehensive score of soil aggregate stability ( C j ) of the plough layer (0~20 cm) in 2023, as well as grain yields in the winter wheat–summer maize rotation system (from 2022–2023). Significant differences among treatments in the same soil layer are indicated by the letters a, b, c, and d, at a significance level of p < 0.05. The salinity treatments denoted by CK and T1–T4 are 1.3, 3.4, 7.1, 10.6, and 14.1 dS·m−1, respectively.
IndexesCropTreatments
CKT1T2T3T4
SAR (mmol·L−1)1/2wheat1.41 ± 0.10 d2.44 ± 0.44 d4.22 ± 0.36 c6.09 ± 1.12 b8.07 ± 0.51 a
maize0.77 ± 0.07 b1.20 ± 0.33 b2.29 ± 0.33 b3.51 ± 0.34 a,b5.21 ± 2.29 a
Grain Yields (kg·ha−1)wheat6671.39 ± 397.07 a5953.84 ± 766.37 a4454.59 ± 120.43 b3029.36 ± 678.90 c1764.56 ± 326.07 c
maize10,913.91 ± 629.67 a9977.41 ± 198.96 a7531.46 ± 946.09 b6882.95 ± 354.24 b5271.73 ± 127.05 c
C j wheat0.90 ± 0.06 a0.82 ± 0.09 a0.67 ± 0.16 a0.25 ± 0.22 b0.07 ± 0.12 b
maize0.83 ± 0.22 a0.75 ± 0.30 a,b0.65 ± 0.19 a,b0.30 ± 0.09 b,c0.08 ± 0.13 c
Disclaimer/Publisher’s Note: The statements, opinions and data contained in all publications are solely those of the individual author(s) and contributor(s) and not of MDPI and/or the editor(s). MDPI and/or the editor(s) disclaim responsibility for any injury to people or property resulting from any ideas, methods, instructions or products referred to in the content.

Share and Cite

MDPI and ACS Style

Yuan, H.; Zhang, A.; Zhu, C.; Dang, H.; Zheng, C.; Zhang, J.; Cao, C. Saline Water Irrigation Changed the Stability of Soil Aggregates and Crop Yields in a Winter Wheat–Summer Maize Rotation System. Agronomy 2024, 14, 2564. https://doi.org/10.3390/agronomy14112564

AMA Style

Yuan H, Zhang A, Zhu C, Dang H, Zheng C, Zhang J, Cao C. Saline Water Irrigation Changed the Stability of Soil Aggregates and Crop Yields in a Winter Wheat–Summer Maize Rotation System. Agronomy. 2024; 14(11):2564. https://doi.org/10.3390/agronomy14112564

Chicago/Turabian Style

Yuan, Huimin, Anqi Zhang, Changkuan Zhu, Hongkai Dang, Chunlian Zheng, Junpeng Zhang, and Caiyun Cao. 2024. "Saline Water Irrigation Changed the Stability of Soil Aggregates and Crop Yields in a Winter Wheat–Summer Maize Rotation System" Agronomy 14, no. 11: 2564. https://doi.org/10.3390/agronomy14112564

APA Style

Yuan, H., Zhang, A., Zhu, C., Dang, H., Zheng, C., Zhang, J., & Cao, C. (2024). Saline Water Irrigation Changed the Stability of Soil Aggregates and Crop Yields in a Winter Wheat–Summer Maize Rotation System. Agronomy, 14(11), 2564. https://doi.org/10.3390/agronomy14112564

Note that from the first issue of 2016, this journal uses article numbers instead of page numbers. See further details here.

Article Metrics

Back to TopTop