Agave schidigera Transcriptome Reveals Stress-Responsive Phenylalanine ammonia-lyase Genes in Agave
Abstract
1. Introduction
2. Materials and Methods
2.1. Plant Materials and Experimental Design
2.2. Transcriptome Sequencing, De Novo Assembly and Annotation
2.3. Characterization and Phylogeny of PAL Genes
2.4. Expression Patterns of Agave PAL Genes
3. Results
3.1. Transcriptome Analysis of A. schidigera
3.2. Identification and Cloning of PAL Genes in Agave Species
3.3. Phylogenetic Analysis of PAL Genes in Agave Species
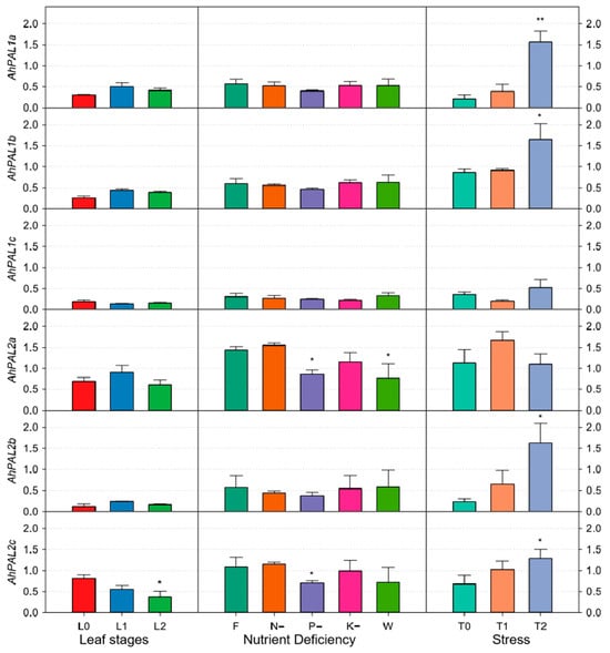
3.4. Expression Patterns of PAL Genes in A. H11648
4. Discussion
4.1. Characterization of A. schidigera Transcriptome
4.2. Candidate PAL Genes in Development of Agave
4.3. PAL Genes in Biotic/Abiotic Resistance
5. Conclusions
Supplementary Materials
Author Contributions
Funding
Data Availability Statement
Acknowledgments
Conflicts of Interest
References
- Huang, X.; Xiao, M.; Xi, J.; He, C.; Zheng, J.; Chen, H.; Yi, K. De novo transcriptome assembly of Agave H11648 by Illumina sequencing and identification of cellulose synthase genes in Agave species. Genes 2019, 10, 103. [Google Scholar] [CrossRef] [PubMed]
- Bermudez-Bazan, M.; Castillo-Herrera, G.A.; Urias-Silvas, J.E.; Escobedo-Reyes, A.; Estarron-Espinosa, M. Hunting bioactive molecules from the Agave genus: An update on extraction and biological potential. Molecules 2021, 26, 6789. [Google Scholar] [CrossRef] [PubMed]
- Good-Avila, S.V.; Souza, V.; Gaut, B.S.; Eguiarte, L.E. Timing and rate of speciation in Agave (Agavaceae). Proc. Natl. Acad. Sci. USA 2006, 103, 9124–9129. [Google Scholar] [CrossRef] [PubMed]
- Lopez-Romero, J.C.; Ayala-Zavala, J.F.; Gonzalez-Aguilar, G.A.; Pena-Ramos, E.A.; Gonzalez-Rios, H. Biological activities of Agave by-products and their possible applications in food and pharmaceuticals. J. Sci. Food Agric. 2018, 98, 2461–2474. [Google Scholar] [CrossRef]
- Gross, S.M.; Martin, J.A.; Simpson, J.; Abraham-Juarez, M.J.; Wang, Z.; Visel, A. De novo transcriptome assembly of drought tolerant CAM plants, Agave deserti and Agave tequilana. BMC Genom. 2013, 14, 563. [Google Scholar] [CrossRef]
- Xu, B.; Tan, S.; Qin, X.; Huang, X.; Xi, J.; Chen, H.; Yi, K. The complete chloroplast genome of Agave amaniensis (Asparagales: Asparagaceae: Agavoideae). Mitochondrial DNA B Resour. 2022, 7, 1519–1521. [Google Scholar] [CrossRef]
- Lu, Z.; Hou, X.; Ke, Z.; Zhang, Y.; Yang, Z.; Zhou, W. A newly identified glycosyltransferase AsRCOM provides resistance to purple curl leaf disease in agave. BMC Genom. 2023, 24, 669. [Google Scholar] [CrossRef]
- Li, Y.; Mai, Y.; Ye, L. Sisal fibre and its composites: A review of recent developments. Compos. Sci. Technol. 2000, 60, 2037–2055. [Google Scholar] [CrossRef]
- Schultz, T.P.; Narayan, R.; Rowell, R.M. Emerging Technologies for Materials and Chemicals from Biomass; American Chemical Society: Washington, DC, USA, 1992. [Google Scholar]
- Huang, X.; Wang, B.; Xi, J.; Zhang, Y.; He, C.; Zheng, J.; Yi, K. Transcriptome comparison reveals distinct selection patterns in domesticated and wild Agave species, the important CAM plants. Int. J. Genom. 2018, 2018, 5716518. [Google Scholar] [CrossRef]
- Wang, X.; Huang, X.; Chen, L.; Xie, Z.; Tan, S.; Qin, X.; Yi, K. Transcriptome sequencing of Agave amaniensis reveals shoot-related expression patterns of Expansin A genes in Agave. Plants 2023, 12, 2020. [Google Scholar] [CrossRef]
- Deng, G.; Huang, X.; Xie, L.; Tan, S.; Gbokie, T.J.; Bao, Y.; Yi, K. Identification and expression of SAUR genes in the CAM Plant Agave. Genes 2019, 10, 555. [Google Scholar] [CrossRef] [PubMed]
- Serra-Parareda, F.; Tarres, Q.; Espinach, F.X.; Vilaseca, F.; Mutje, P.; Delgado-Aguilar, M. Influence of lignin content on the intrinsic modulus of natural fibers and on the stiffness of composite materials. Int. J. Biol. Macromol. 2020, 155, 81–90. [Google Scholar] [CrossRef] [PubMed]
- Chatterjee, S.; Saito, T. Lignin-derived advanced carbon materials. ChemSusChem 2015, 8, 3941–3958. [Google Scholar] [CrossRef]
- Lin, W.; Liu, A.; Weng, C.; Li, H.; Sun, S.; Song, A.; Zhu, H. Cloning and characterization of a novel phenylalanine ammonia-lyase gene from Inonotus baumii. Enzym. Microb. Technol. 2018, 112, 52–58. [Google Scholar] [CrossRef] [PubMed]
- Huang, X.; Bai, X.; Xie, Z.; Fahad, S.; Gbokie, T., Jr.; Lu, Y.; Guo, T.; Li, J.; Zhang, Z.; Wu, W.; et al. De novo transcriptome assembly of Coffea liberica reveals phylogeny and expression atlas of phenylalanine ammonia-lyase genes in Coffea species. Ind. Crops Prod. 2023, 192, 116029. [Google Scholar] [CrossRef]
- Rohde, A.; Morreel, K.; Ralph, J.; Goeminne, G.; Hostyn, V.; De Rycke, R.; Boerjan, W. Molecular phenotyping of the pal1 and pal2 mutants of Arabidopsis thaliana reveals far-reaching consequences on phenylpropanoid, amino acid, and carbohydrate metabolism. Plant Cell. 2004, 16, 2749–2771. [Google Scholar] [CrossRef]
- Wu, X.; Cui, Z.; Li, X.; Yu, Z.; Lin, P.; Xue, L.; Yu, F. Identification and characterization of PAL genes involved in the regulation of stem development in Saccharum spontaneum L. BMC Genom. Data 2024, 25, 38. [Google Scholar] [CrossRef]
- Zhang, H.; Zhang, X.; Zhao, H.; Hu, J.; Wang, Z.; Yang, G.; Wan, H. Genome-wide identification and expression analysis of phenylalanine ammonia-lyase (PAL) family in rapeseed (Brassica napus L.). BMC Plant Biol. 2023, 23, 481. [Google Scholar] [CrossRef]
- Huang, J.; Gu, M.; Lai, Z.; Fan, B.; Shi, K.; Zhou, Y.H.; Chen, Z. Functional analysis of the Arabidopsis PAL gene family in plant growth, development, and response to environmental stress. Plant Physiol. 2010, 153, 1526–1538. [Google Scholar] [CrossRef]
- Minami, E.; Ozeki, Y.; Matsuoka, M.; Koizuka, N.; Tanaka, Y. Structure and some characterization of the gene for phenylalanine ammonia-lyase from rice plants. Eur. J. Biochem. 1989, 185, 19–25. [Google Scholar] [CrossRef]
- Wanner, L.A.; Li, G.; Ware, D.; Somssich, I.E.; Davis, K.R. The phenylalanine ammonia-lyase gene family in Arabidopsis thaliana. Plant Mol. Biol. 1995, 27, 327–338. [Google Scholar] [CrossRef] [PubMed]
- Elkind, Y.; Edwards, R.; Mavandad, M.; Hedrick, S.A.; Ribak, O.; Dixon, R.A.; Lamb, C.J. Abnormal plant development and down-regulation of phenylpropanoid biosynthesis in transgenic tobacco containing a heterologous phenylalanine ammonia-lyase gene. Proc. Natl. Acad. Sci. USA 1990, 87, 9057–9061. [Google Scholar] [CrossRef] [PubMed]
- Reichert, A.I.; He, X.Z.; Dixon, R.A. Phenylalanine ammonia-lyase (PAL) from tobacco (Nicotiana tabacum): Characterization of the four tobacco PAL genes and active heterotetrameric enzymes. Biochem. J. 2009, 424, 233–242. [Google Scholar] [CrossRef] [PubMed]
- Lister, C.E.; Lancaster, J.E.; Walker, J.R.L. Phenylalanine ammonia-lyase (PAL) activity and its relationship to anthocyanin and flavonoid levels in New Zealand-grown apple cultivars. J. Am. Soc. Hortic. Sci. 1996, 2, 281–285. [Google Scholar] [CrossRef]
- Gao, X.; Hu, Y.; Xu, Z.; Peng, D.; Guo, Q. Expression profiling of the phenylalanine ammonia-lyase (PAL) gene family in ginkgo biloba L. Plant Signal. Behav. 2023, 18, 2271807. [Google Scholar] [CrossRef]
- Vishwakarma, S.K.; Singh, N.; Kumaria, S. Genome-wide identification and analysis of the PAL genes from the orchids Apostasia shenzhenica, Dendrobium catenatum and Phalaenopsis equestris. J. Biomol. Struct. Dyn. 2023, 41, 1295–1308. [Google Scholar] [CrossRef]
- Mo, F.; Li, L.; Zhang, C.; Yang, C.; Chen, G.; Niu, Y.; Chen, Y. Genome-wide analysis and expression profiling of the phenylalanine ammonia-lyase gene family in Solanum tuberosum. Int. J. Mol. Sci. 2022, 23, 6833. [Google Scholar] [CrossRef]
- Liu, H.; He, Q.; Hu, Y.; Lu, R.; Wu, S.; Feng, C.; Wang, Z. Genome-wide identification and expression profile analysis of the phenylalanine ammonia-lyase gene family in Hevea brasiliensis. Int. J. Mol. Sci. 2024, 25, 5052. [Google Scholar] [CrossRef]
- Huang, X.; Hu, X.; Liu, Q.; Xie, Z.; Tan, S.; Qin, X.; Yi, K. Full-length agave transcriptome reveals candidate glycosyltransferase genes involved in hemicellulose biosynthesis. Int. J. Biol. Macromol. 2024, 274, 133508. [Google Scholar] [CrossRef]
- Gao, J.; Luoping; Guo, C.; Li, J.; Liu, Q.; Chen, H.; Yi, K. AFLP analysis and zebra disease resistance identification of 40 sisal genotypes in China. Mol. Biol. Rep. 2012, 39, 6379–6385. [Google Scholar] [CrossRef]
- Wang, P.; Gao, J.; Yang, F.; Zheng, J.; Liu, Q.; Chen, H.; Yi, K. Transcriptome of sisal leaf pretreated with Phytophthora nicotianae Breda. Chin. J. Trop. Crops 2014, 35, 576–582. [Google Scholar]
- Pruitt, K.D.; Tatusova, T.; Maglott, D.R. NCBI reference sequence (RefSeq): A curated non-redundant sequence database of genomes, transcripts and proteins. Nucleic Acids Res. 2005, 33, D501–D504. [Google Scholar] [CrossRef]
- Ashburner, M.; Ball, C.A.; Blake, J.A.; Botstein, D.; Butler, H.; Cherry, J.M.; Sherlock, G. Gene ontology: Tool for the unification of biology. The Gene Ontology Consortium. Nat. Genet. 2000, 25, 25–29. [Google Scholar] [CrossRef] [PubMed]
- Ogata, H.; Goto, S.; Sato, K.; Fujibuchi, W.; Bono, H.; Kanehisa, M. KEGG: Kyoto encyclopedia of genes and genomes. Nucleic Acids Res. 1999, 27, 29–34. [Google Scholar] [CrossRef]
- Kanehisa, M.; Goto, S. KEGG: Kyoto encyclopedia of genes and genomes. Nucleic Acids Res. 2000, 28, 27–30. [Google Scholar] [CrossRef] [PubMed]
- Tatusov, R.L.; Fedorova, N.D.; Jackson, J.D.; Jacobs, A.R.; Kiryutin, B.; Koonin, E.V.; Natale, D.A. The COG database: An updated version includes eukaryotes. BMC Bioinformatics 2003, 4, 41. [Google Scholar] [CrossRef] [PubMed]
- Bairoch, A.; Apweiler, R. The SWISS-PROT protein sequence database: Its relevance to human molecular medical research. J. Mol. Med. 1997, 75, 312–316. [Google Scholar] [PubMed]
- Mount, D.W. Using the basic local alignment search tool (BLAST). CSH Protoc. 2007, 2007, pdb.top17. [Google Scholar] [CrossRef]
- Larkin, M.A.; Blackshields, G.; Brown, N.P.; Chenna, R.; McGettigan, P.A.; McWilliam, H.; Higgins, D.G. Clustal W and Clustal X version 2.0. Bioinformatics 2007, 23, 2947–2948. [Google Scholar] [CrossRef]
- Untergasser, A.; Cutcutache, I.; Koressaar, T.; Ye, J.; Faircloth, B.C.; Remm, M.; Rozen, S.G. Primer3—New capabilities and interface. Nucleic Acids Res. 2012, 40, e115. [Google Scholar] [CrossRef]
- Livak, K.J.; Schmittgen, T.D. Analysis of relative gene expression data using real-time quantitative PCR and the 2 (-Delta Delta C(T)) Method. Methods 2001, 25, 402–408. [Google Scholar] [CrossRef] [PubMed]
- Yu, X.Z.; Fan, W.J.; Lin, Y.J.; Zhang, F.F.; Gupta, D.K. Differential expression of the PAL gene family in rice seedlings exposed to chromium by microarray analysis. Ecotoxicology 2018, 27, 325–335. [Google Scholar] [CrossRef] [PubMed]
- Altschul, S.F.; Gish, W.; Miller, W.; Myers, E.W.; Lipman, D.J. Basic local alignment search tool. J. Mol. Biol. 1990, 215, 403–410. [Google Scholar] [CrossRef] [PubMed]
- Lu, J.; Shi, Y.; Li, W.; Chen, S.; Wang, Y.; He, X.; Yin, X. RcPAL, a key gene in lignin biosynthesis in Ricinus communis L. BMC Plant Biol. 2019, 19, 181. [Google Scholar] [CrossRef]
- Huang, X.; Xu, B.; Tan, S.; Huang, Y.; Xi, J.; Qin, X.; Yi, K. Transcriptome sequencing of Agave angustifolia reveals conservation and diversification in the expression of cinnamyl alcohol dehydrogenase genes in Agave Species. Agriculture 2022, 12, 1003. [Google Scholar] [CrossRef]
- Yan, F.; Li, H.; Zhao, P. Genome-wide identification and transcriptional expression of the PAL gene family in common walnut (Juglans Regia, L.). Genes 2019, 10, 46. [Google Scholar] [CrossRef]
- Tang, Y.; Liu, F.; Xing, H.; Mao, K.; Chen, G.; Guo, Q.; Chen, J. Correlation analysis of lignin accumulation and expression of key genes involved in lignin biosynthesis of ramie (Boehmeria nivea). Genes 2019, 10, 389. [Google Scholar] [CrossRef]
- Hu, B.; Zheng, Y.; Wang, D.; Guo, Y.; Dong, Y. Managing faba bean wilt disease through intercropping with wheat and reasonable nitrogen application: Enhancing nutrient absorption and biochemical resistance in faba beans. Physiol. Mol. Biol. Plants 2014, 30, 1029–1046. [Google Scholar] [CrossRef]
- Wang, R.; Wang, G.L.; Ning, Y. PALs: Emerging key players in broad-spectrum disease resistance. Trends Plant Sci. 2019, 24, 785–787. [Google Scholar] [CrossRef]
- He, J.; Liu, Y.; Yuan, D.; Duan, M.; Liu, Y.; Shen, Z.; Wan, J. An R2R3 MYB transcription factor confers brown planthopper resistance by regulating the phenylalanine ammonia-lyase pathway in rice. Proc. Natl. Acad. Sci. USA 2020, 117, 271–277. [Google Scholar] [CrossRef]
- Bacete, L.; Melida, H.; Miedes, E.; Molina, A. Plant cell wall-mediated immunity: Cell wall changes trigger disease resistance responses. Plant J. 2018, 93, 614–636. [Google Scholar] [CrossRef] [PubMed]
- Duan, L.; Liu, H.; Li, X.; Xiao, J.; Wang, S. Multiple phytohormones and phytoalexins are involved in disease resistance to Magnaporthe oryzae invaded from roots in rice. Physiol Plant. 2014, 152, 486–500. [Google Scholar] [CrossRef] [PubMed]
- Jiang, M.; Wang, K.; Wang, Y.; Zhao, Q.; Wang, W. Technologies for the cobalt-contaminated soil remediation: A review. Sci. Total Environ. 2022, 813, 151908. [Google Scholar] [CrossRef] [PubMed]
- Niu, X.; Jia, Y.; Wu, X.; Wang, S.; Hou, J.; Zhang, W. Phytoremediation potential of indigenous plants growing in soils affected by mine activities in Gejiu City, Yunnan Province. Int. J. Phytoremediation 2023, 25, 880–888. [Google Scholar] [CrossRef]






| Genes | Forward Primer (5′-3′) | Reverse Primer (5′-3′) | Product Size (bp) |
|---|---|---|---|
| AhPAL1a | TCGCTCTGCCTCGCCAAGGA | GACAGCTCCACCGTCACCTC | 194 |
| AhPAL1b | CTCCTCTCTTCTCCGTTGTGCT | CCACCGGCTTCCTGAACTCCC | 189 |
| AhPAL1c | CCTTTCCGTTCCACCTACACA | ATCTAGTCTTACTGGTCGCTGT | 226 |
| AhPAL2a | CATCAAACACCTCTCGCTCA | GCTGCCTGAAATCCCTCACC | 198 |
| AhPAL2b | TCATCCAACGCCTCTCGCTCA | GCTGCCTGAAGTCCCTCACC | 196 |
| AhPAL2c | AAAGGCAACTGCGCTGCTAA | CCAGTCGCTGCTCGCCTTG | 237 |
| PP2A | CCTCCTCCTCCTTCGGTTTG | GCCATGAATGTCACCGCAGA | 235 |
| TUB | TTCCCATCACCAAAGGTCTC | CGCTCATTGTGGCAGAGATA | 196 |
| Database | Number of Transcripts |
|---|---|
| NR | 74,117 (63.56%) |
| GO | 50,228 (43.08%) |
| KEGG | 39,144 (33.57%) |
| KOG | 25,721 (22.06%) |
| Swiss-Prot | 54,024 (46.33%) |
Disclaimer/Publisher’s Note: The statements, opinions and data contained in all publications are solely those of the individual author(s) and contributor(s) and not of MDPI and/or the editor(s). MDPI and/or the editor(s) disclaim responsibility for any injury to people or property resulting from any ideas, methods, instructions or products referred to in the content. |
© 2024 by the authors. Licensee MDPI, Basel, Switzerland. This article is an open access article distributed under the terms and conditions of the Creative Commons Attribution (CC BY) license (https://creativecommons.org/licenses/by/4.0/).
Share and Cite
Wang, X.; Hu, X.; Lin, C.; Liu, Q.; Li, Y.; Du, D.; Mkapa, D.; Zhang, W.; Huang, X.; Yi, K. Agave schidigera Transcriptome Reveals Stress-Responsive Phenylalanine ammonia-lyase Genes in Agave. Agronomy 2024, 14, 2520. https://doi.org/10.3390/agronomy14112520
Wang X, Hu X, Lin C, Liu Q, Li Y, Du D, Mkapa D, Zhang W, Huang X, Yi K. Agave schidigera Transcriptome Reveals Stress-Responsive Phenylalanine ammonia-lyase Genes in Agave. Agronomy. 2024; 14(11):2520. https://doi.org/10.3390/agronomy14112520
Chicago/Turabian StyleWang, Xuxia, Xiaoli Hu, Chen Lin, Qingqing Liu, Yubo Li, Dengxiang Du, Dietram Mkapa, Weiyi Zhang, Xing Huang, and Kexian Yi. 2024. "Agave schidigera Transcriptome Reveals Stress-Responsive Phenylalanine ammonia-lyase Genes in Agave" Agronomy 14, no. 11: 2520. https://doi.org/10.3390/agronomy14112520
APA StyleWang, X., Hu, X., Lin, C., Liu, Q., Li, Y., Du, D., Mkapa, D., Zhang, W., Huang, X., & Yi, K. (2024). Agave schidigera Transcriptome Reveals Stress-Responsive Phenylalanine ammonia-lyase Genes in Agave. Agronomy, 14(11), 2520. https://doi.org/10.3390/agronomy14112520

