Characterization of Low-Temperature Sensitivity and Chlorophyll Fluorescence in Yellow Leaf Mutants of Tomato
Abstract
1. Introduction
2. Materials and Methods
2.1. Plant Materials and Treatments
2.2. Chlorophyll Content Determination
2.3. Photosynthetic Parameter Measurement
2.4. Chlorophyll Fluorescence Parameter Determination
2.5. Polyphasic Chlorophyll Fluorescence Transient OJIP and JIP Test Calculation
2.6. Statistical Analysis
3. Results
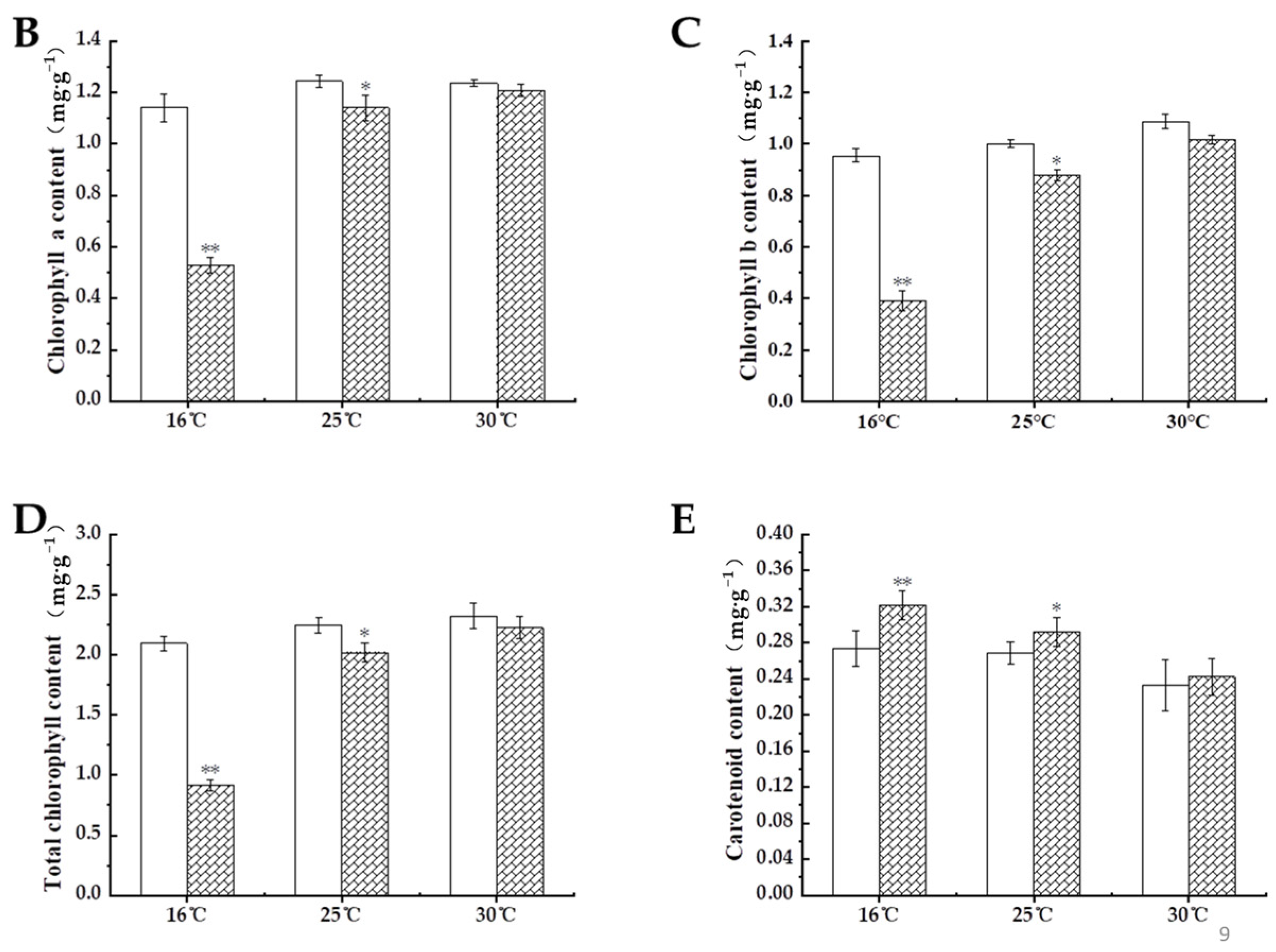
3.1. Phenotype of ylm and Photosynthetic Pigment Changes Following Different Temperature Treatments
3.2. Impact of Different Temperatures on the Photosynthetic Response Curves of ylm
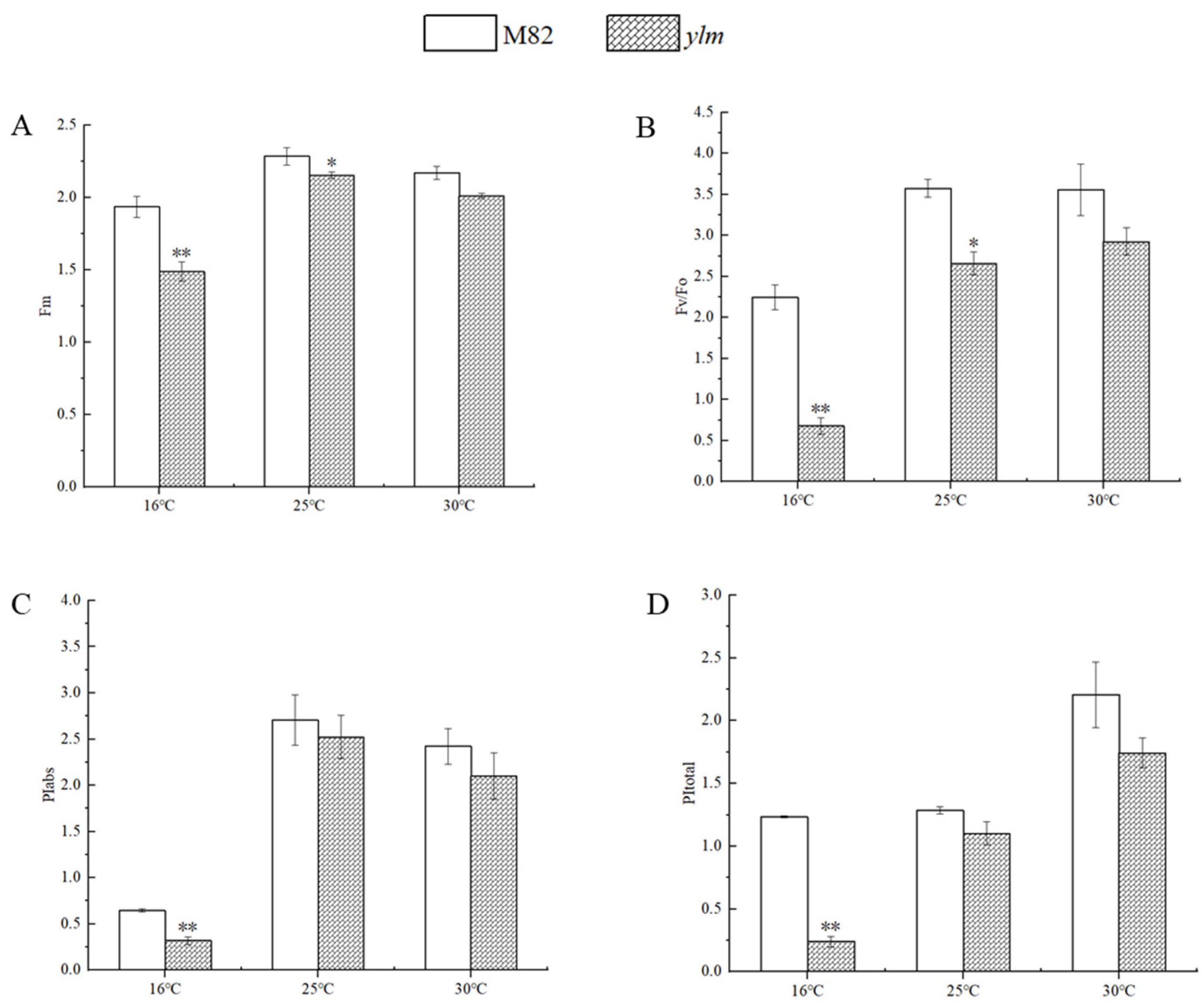
3.3. Influence of Different Temperatures on Chlorophyll Fluorescence Parameters of ylm
3.4. Effects of Different Temperatures on the OJIP Curve of ylm
3.5. JIP Test Parameters
3.6. Effects of Different Temperatures on PSII Activity and Energy Distribution in ylm
4. Discussion
4.1. Viable Yellow Leaf Color Mutant ylm as a Chlorophyll-Deficient Mutant
4.2. ylm as a Low-Temperature-Sensitive Mutant
4.3. Significant Changes in Chlorophyll Fluorescence Parameters of ylm under Low Temperatures
5. Conclusions
Author Contributions
Funding
Data Availability Statement
Conflicts of Interest
References
- Smith, E.N.; van Aalst, M.; Tosens, T.; Niinemets, U.; Stich, B.; Morosinotto, T.; Alboresi, A.; Erb, T.J.; Gomez-Coronado, P.A.; Tolleter, D.; et al. Improving Photosynthetic Efficiency toward Food Security: Strategies, Advances, and Perspectives. Mol. Plant 2023, 16, 1547–1563. [Google Scholar] [CrossRef] [PubMed]
- Reyes-Prieto, A.; Weber, A.P.M.; Bhattacharya, D. The Origin and Establishment of the Plastid in Algae and Plants. Annu. Rev. Genet. 2007, 41, 147–168. [Google Scholar] [CrossRef]
- Yoon, Y.-E.; Cho, H.M.; Bae, D.-W.; Lee, S.J.; Choe, H.; Kim, M.C.; Cheong, M.S.; Lee, Y.B. Erythromycin Treatment of Brassica Campestris Seedlings Impacts the Photosynthetic and Protein Synthesis Pathways. Life 2020, 10, 311. [Google Scholar] [CrossRef]
- Kim, C.-K.; Seol, Y.-J.; Shin, Y.; Lim, H.-M.; Lee, G.-S.; Kim, A.-R.; Lee, T.-H.; Lee, J.-H.; Park, D.-S.; Yoo, S.; et al. Whole-Genome Resequencing and Transcriptomic Analysis to Identify Genes Involved in Leaf-Color Diversity in Ornamental Rice Plants. PLoS ONE 2015, 10, e0124071. [Google Scholar] [CrossRef] [PubMed]
- Sandhu, D.; Coleman, Z.; Atkinson, T.; Rai, K.M.; Mendu, V. Genetics and Physiology of the Nuclearly Inherited Yellow Foliar Mutants in Soybean. Front. Plant Sci. 2018, 9, 471. [Google Scholar] [CrossRef]
- Wojtowicz, J.; Jagielski, A.K.; Mostowska, A.; Gieczewska, K.B. Compensation Mechanism of the Photosynthetic Apparatus in Arabidopsis thaliana Ch1 Mutants. Int. J. Mol. Sci. 2021, 22, 221. [Google Scholar] [CrossRef]
- Dong, H.; Fei, G.-L.; Wu, C.-Y.; Wu, F.-Q.; Sun, Y.-Y.; Chen, M.-J.; Ren, Y.-L.; Zhou, K.-N.; Cheng, Z.-J.; Wang, J.-L.; et al. A Rice Virescent-Yellow Leaf Mutant Reveals New Insights into the Role and Assembly of Plastid Caseinolytic Protease in Higher Plants. Plant Physiol. 2013, 162, 1867–1880. [Google Scholar] [CrossRef] [PubMed]
- Deng, X.; Zhang, H.; Wang, Y.; He, F.; Liu, J.; Xiao, X.; Shu, Z.; Li, W.; Wang, G.; Wang, G. Mapped Clone and Functional Analysis of Leaf-Color Gene Ygl7 in a Rice Hybrid (Oryza sativa L. ssp. indica). PLoS ONE 2014, 9, e99564. [Google Scholar] [CrossRef]
- Zhao, J.; Fang, Y.; Kang, S.; Ruan, B.; Xu, J.; Dong, G.; Yan, M.; Hu, J.; Zeng, D.; Zhang, G.; et al. Identification and Characterization of a New Allele for ZEBRA LEAF 2, a Gene Encoding Carotenoid Isomerase in Rice. S. Afr. J. Bot. 2014, 95, 102–111. [Google Scholar] [CrossRef][Green Version]
- Ma, X.; Sun, X.; Li, C.; Huan, R.; Sun, C.; Wang, Y.; Xiao, F.; Wang, Q.; Chen, P.; Ma, F.; et al. Map-Based Cloning and Characterization of the Novel Yellow-Green Leaf Gene Ys83 in Rice (Oryza sativa). Plant Physiol. Biochem. 2017, 111, 1–9. [Google Scholar] [CrossRef]
- Ma, C.; Cao, J.; Li, J.; Zhou, B.; Tang, J.; Miao, A. Phenotypic, Histological and Proteomic Analyses Reveal Multiple Differences Associated with Chloroplast Development in Yellow and Variegated Variants from Camellia sinensis. Sci. Rep. 2016, 6, 33369. [Google Scholar] [CrossRef]
- Barry, C.S.; Aldridge, G.M.; Herzog, G.; Ma, Q.; McQuinn, R.P.; Hirschberg, J.; Giovannoni, J.J. Altered Chloroplast Development and Delayed Fruit Ripening Caused by Mutations in a Zinc Metalloprotease at the Lutescent2 Locus of Tomato. Plant Physiol. 2012, 159, 1086–1098. [Google Scholar] [CrossRef]
- Liu, G.; Yu, H.; Yuan, L.; Li, C.; Ye, J.; Chen, W.; Wang, Y.; Ge, P.; Zhang, J.; Ye, Z.; et al. SlRCM1, Which Encodes Tomato Lutescent1, Is Required for Chlorophyll Synthesis and Chloroplast Development in Fruits. Hortic. Res. 2021, 8, 128. [Google Scholar] [CrossRef]
- Cheng, M.; Meng, F.; Mo, F.; Chen, X.; Zhang, H.; Wang, A. Insights into the Molecular Basis of a Yellow Leaf Color Mutant (Ym) in Tomato (Solanum lycopersicum). Sci. Hortic. 2022, 293, 110743. [Google Scholar] [CrossRef]
- Wu, Z.; Zhang, X.; He, B.; Diao, L.; Sheng, S.; Wang, J.; Guo, X.; Su, N.; Wang, L.; Jiang, L.; et al. A Chlorophyll-Deficient Rice Mutant with Impaired Chlorophyllide Esterification in Chlorophyll Biosynthesis. Plant Physiol. 2007, 145, 29–40. [Google Scholar] [CrossRef]
- Li, C.; Hu, Y.; Huang, R.; Ma, X.; Wang, Y.; Liao, T.; Zhong, P.; Xiao, F.; Sun, C.; Xu, Z.; et al. Mutation of FdC2 Gene Encoding a Ferredoxin-like Protein with C-Terminal Extension Causes Yellow-Green Leaf Phenotype in Rice. Plant Sci. 2015, 238, 127–134. [Google Scholar] [CrossRef]
- Lv, X.; Shi, Y.; Xu, X.; Wei, Y.; Wang, H.; Zhang, X.; Wu, J. Oryza sativa Chloroplast Signal Recognition Particle 43 (OscpSRP43) Is Required for Chloroplast Development and Photosynthesis. PLoS ONE 2015, 10, e0143249. [Google Scholar] [CrossRef]
- Cheng, M.; Meng, F.; Mo, F.; Qi, H.; Wang, P.; Chen, X.; Liu, J.; Ghanizadeh, H.; Zhang, H.; Wang, A. Slym1 Control the Color Etiolation of Leaves by Facilitating the Decomposition of Chlorophyll in Tomato. Plant Sci. 2022, 324, 111457. [Google Scholar] [CrossRef]
- Maxwell, K.; Johnson, G.N. Chlorophyll Fluorescence—A Practical Guide. J. Exp. Bot. 2000, 51, 659–668. [Google Scholar] [CrossRef]
- Murchie, E.H.; Lawson, T. Chlorophyll Fluorescence Analysis: A Guide to Good Practice and Understanding Some New Applications. J. Exp. Bot. 2013, 64, 3983–3998. [Google Scholar] [CrossRef]
- Horton, P.; Johnson, M.P.; Perez-Bueno, M.L.; Kiss, A.Z.; Ruban, A.V. Photosynthetic Acclimation: Does the Dynamic Structure and Macro-Organisation of Photosystem II in Higher Plant Grana Membranes Regulate Light Harvesting States? FEBS J. 2008, 275, 1069–1079. [Google Scholar] [CrossRef]
- Pérez-Bueno, M.L.; Pineda, M.; Barón, M. Phenotyping Plant Responses to Biotic Stress by Chlorophyll Fluorescence Imaging. Front. Plant Sci. 2019, 10, 1135. [Google Scholar] [CrossRef]
- Liu, R.; Dong, X.; Zhang, M.; Qu, Y.; Jin, W.; Li, X.; Zhou, L.; Yu, L.; Li, W. Comparative Transcriptome Analysis Reveals Candidate Genes for Leaf Color Formation in a Thermo-Sensitive Leaf-Color Mutant Generated by Carbon-Ion Beam in Green Wandering Jew (Tradescantia fluminensis). Sci. Hortic. 2021, 288, 110300. [Google Scholar] [CrossRef]
- Palmer, R.; Sheridan, M.; Tabatabai, M. Effects of Genotype, Temperature, and Illuminance on Chloroplast Ultrastructure of a Chlorophyll Mutant in Soybeans. Cytologia 1979, 44, 881–891. [Google Scholar] [CrossRef]
- Liu, W.; Fu, Y.; Hu, G.; Si, H.; Zhu, L.; Wu, C.; Sun, Z. Identification and Fine Mapping of a Thermo-Sensitive Chlorophyll Deficient Mutant in Rice (Oryza sativa L.). Planta 2007, 226, 785–795. [Google Scholar] [CrossRef]
- Zhong, S.; Yang, H.; Chen, C.; Ren, T.; Li, Z.; Tan, F.; Luo, P. Phenotypic Characterization of the Wheat Temperature-Sensitive Leaf Color Mutant and Physical Mapping of Mutant Gene by Reduced-Representation Sequencing. Plant Sci. 2023, 330, 111657. [Google Scholar] [CrossRef]
- Liu, C.; Shi, N.; Wu, H.; An, X.; Zheng, J.; Duan, Y.; Sun, D.; Feng, Y.; Zhang, L. Cytogenetic Analyses of PSL1 Mutant, a Novel Low-Temperature-Sensitive Purple-Striped Leaf Color Mutant in Wheat. Crop Sci. 2018, 58, 1919–1931. [Google Scholar] [CrossRef]
- Lichtenthaler, H. Chlorophylls and Carotenoids—Pigments of Photosynthetic Biomembranes. Method Enzymol. 1987, 148, 350–382. [Google Scholar]
- Strasser, R.J.; Tsimilli-Michael, M.; Srivastava, A. Analysis of the Chlorophyll a Fluorescence Transient. In Advances in Photosynthesis and Respiration; Papageorgiou, G.C., Govindjee, X., Eds.; Springer: Dordrecht, The Netherlands, 2004; Volume 19, pp. 321–362. ISBN 978-1-4020-3217-2. [Google Scholar]
- Schansker, G.; Srivastava, A.; Govindjee; Strasser, R.J. Characterization of the 820-Nm Transmission Signal Paralleling the Chlorophyll a Fluorescence Rise (OJIP) in Pea Leaves. Funct. Plant Biol. 2003, 30, 785. [Google Scholar] [CrossRef]
- Aluru, M.R.; Zola, J.; Foudree, A.; Rodermel, S.R. Chloroplast Photooxidation-Induced Transcriptome Reprogramming in Arabidopsis Immutans White Leaf Sectors. Plant Physiol. 2009, 150, 904–923. [Google Scholar] [CrossRef]
- Li, N.; Jia, J.; Xia, C.; Liu, X.; Kong, X. Characterization and Mapping of Novel Chlorophyll Deficient Mutant Genes in Durum Wheat. Breed. Sci. 2013, 63, 169–175. [Google Scholar] [CrossRef]
- Deng, L.; Qin, P.; Liu, Z.; Wang, G.; Chen, W.; Tong, J.; Xiao, L.; Tu, B.; Sun, Y.; Yan, W.; et al. Characterization and Fine-Mapping of a Novel Premature Leaf Senescence Mutant Yellow Leaf and Dwarf 1 in Rice. Plant Physiol. Biochem. 2017, 111, 50–58. [Google Scholar] [CrossRef]
- Gao, L.; Zhao, W.; Qu, H.; Wang, Q.; Zhao, L. The Yellow-Fruited Tomato 1 (Yft1) Mutant Has Altered Fruit Carotenoid Accumulation and Reduced Ethylene Production as a Result of a Genetic Lesion in ETHYLENE INSENSITIVE2. Theor. Appl. Genet. 2016, 129, 717–728. [Google Scholar] [CrossRef]
- Zhu, X.; Guo, S.; Wang, Z.; Du, Q.; Xing, Y.; Zhang, T.; Shen, W.; Sang, X.; Ling, Y.; He, G. Map-Based Cloning and Functional Analysis of YGL8, Which Controls Leaf Colour in Rice (Oryza sativa). BMC Plant Biol. 2016, 16, 134. [Google Scholar] [CrossRef]
- Liu, J.; Wang, J.; Yao, X.; Zhang, Y.; Li, J.; Wang, X.; Xu, Z.; Chen, W. Characterization and Fine Mapping of Thermo-Sensitive Chlorophyll Deficit Mutant1 in Rice (Oryza sativa L.). Breed. Sci. 2015, 65, 161–169. [Google Scholar] [CrossRef]
- Sun, X.; Bian, X.; Wang, J.; Chen, S.; Yang, R.; Li, R.; Xia, L.; Chen, D.; Fan, X. Loss of RSR1 Function Increases the Abscisic Acid Content and Improves Rice Quality Performance at High Temperature. Int. J. Biol. Macromol. 2024, 256, 128426. [Google Scholar] [CrossRef]
- Wang, W.-J.; Zheng, K.-L.; Gong, X.-D.; Xu, J.-L.; Huang, J.-R.; Lin, D.-Z.; Dong, Y.-J. The Rice TCD11 Encoding Plastid Ribosomal Protein S6 Is Essential for Chloroplast Development at Low Temperature. Plant Sci. 2017, 259, 1–11. [Google Scholar] [CrossRef]
- Xu, M.; Ye, X.; Wang, W.; Wei, C.; Zhang, J.; Tu, J. Genetic Analysis and Molecular Mapping of a High Threshold and Low Temperature-Sensitive Mutant in Rice (Oryza sativa L.) at the Seedling Stage. Euphytica 2015, 203, 71–82. [Google Scholar] [CrossRef]
- Zhang, X.; Xiao, W.; Wei, M.; Wu, R.; Liu, J.; You, J.; Mu, J.; Zhang, J.; Yang, Y.; Wan, Y.; et al. TAG Encodes an Adenine Nucleotide Transport Protein That Regulates Leaf Color in Rice. Euphytica 2024, 220, 122. [Google Scholar] [CrossRef]
- Fang, G.; Yang, S.; Ruan, B.; Liu, C.; Zhang, A.; Jiang, H.; Ding, S.; Tian, B.; Zhang, Y.; Jahan, N.; et al. Isolation of TSCD11 Gene for Early Chloroplast Development under High Temperature in Rice. Rice 2020, 13, 49. [Google Scholar] [CrossRef]
- Chen, X.; Zhu, L.; Xin, L.; Du, K.; Ran, X.; Cui, X.; Xiang, Q.; Zhang, H.; Xu, P.; Wu, X. Rice Stripe1-2 and Stripe1-3 Mutants Encoding the Small Subunit of Ribonucleotide Reductase Are Temperature Sensitive and Are Required for Chlorophyll Biosynthesis. PLoS ONE 2015, 10, e0130172. [Google Scholar] [CrossRef]
- Liu, L.; Venkatesh, J.; Jo, Y.D.; Koeda, S.; Hosokawa, M.; Kang, J.-H.; Goritschnig, S.; Kang, B.-C. Fine Mapping and Identification of Candidate Genes for the Sy-2 Locus in a Temperature-Sensitive Chili Pepper (Capsicum chinense). Theor. Appl. Genet. 2016, 129, 1541–1556. [Google Scholar] [CrossRef]
- Gao, S.; Gao, W.; Liao, X.; Xiong, C.; Yu, G.; Yang, Q.; Yang, C.; Ye, Z. The Tomato WV Gene Encoding a Thioredoxin Protein Is Essential for Chloroplast Development at Low Temperature and High Light Intensity. BMC Plant Biol. 2019, 19, 265. [Google Scholar] [CrossRef]
- Kalaji, H.M.; Rastogi, A.; Živčák, M.; Brestic, M.; Daszkowska-Golec, A.; Sitko, K.; Alsharafa, K.Y.; Lotfi, R.; Stypiński, P.; Samborska, I.A.; et al. Prompt Chlorophyll Fluorescence as a Tool for Crop Phenotyping: An Example of Barley Landraces Exposed to Various Abiotic Stress Factors. Photosynthesis 2018, 56, 953–961. [Google Scholar] [CrossRef]
- Chen, X.; Zhou, Y.; Cong, Y.; Zhu, P.; Xing, J.; Cui, J.; Xu, W.; Shi, Q.; Diao, M.; Liu, H. Ascorbic Acid-Induced Photosynthetic Adaptability of Processing Tomatoes to Salt Stress Probed by Fast OJIP Fluorescence Rise. Front. Plant Sci. 2021, 12, 594400. [Google Scholar] [CrossRef]
- Li, Y.-T.; Xu, W.-W.; Ren, B.-Z.; Zhao, B.; Zhang, J.; Liu, P.; Zhang, Z.-S. High Temperature Reduces Photosynthesis in Maize Leaves by Damaging Chloroplast Ultrastructure and Photosystem II. J. Agron. Crop Sci. 2020, 206, 548–564. [Google Scholar] [CrossRef]
- Virk, G.; Snider, J.L.; Chee, P.; Jespersen, D.; Pilon, C.; Rains, G.; Roberts, P.; Kaur, N.; Ermanis, A.; Tishchenko, V. Extreme Temperatures Affect Seedling Growth and Photosynthetic Performance of Advanced Cotton Genotypes. Ind. Crops Prod. 2021, 172, 114025. [Google Scholar] [CrossRef]
- Zhong, X.M.; Sun, S.F.; Li, F.H.; Wang, J.; Shi, Z.S. Photosynthesis of a Yellow-Green Mutant Line in Maize. Photosynthetica 2015, 53, 499–505. [Google Scholar] [CrossRef]
- Sohn, S.-I.; Lee, Y.H.; Hong, S.H.; Kim, C.S.; Kim, M.-H.; Na, C.-S.; Oh, Y.J. Characterization and Evaluation of Response to Heat and Chilling Stress in Exotic Weeds Using Chlorophyll a Fluorescence OJIP Transient. Korean J. Environ. Biol. 2020, 38, 450–460. [Google Scholar] [CrossRef]
- Zushi, K.; Kajiwara, S.; Matsuzoe, N. Chlorophyll a Fluorescence OJIP Transient as a Tool to Characterize and Evaluate Response to Heat and Chilling Stress in Tomato Leaf and Fruit. Sci. Hortic. 2012, 148, 39–46. [Google Scholar] [CrossRef]








| Fluorescence Parameters | Biological Significance |
|---|---|
| Fo | Minimum fluorescence level in dark adapted samples |
| Fm | Maximum fluorescence level in dark adapted samples |
| Fv/Fm = (Fm − Fo)/Fm | PSII maximum photochemical efficiency |
| Fv/Fo = (Fm − Fo)/Fo | PSII potential activity |
| PIabs | Photosynthetic performance index |
| PItotal | Comprehensive performance index |
| ABS/CSm | Light energy absorbed per unit area |
| ETo/CSm | Quantum yield of electron transfer per unit area |
| TRo/CSm | Light energy captured per unit area |
| DIo/CSm | Energy dissipated per unit area |
| ABS/RC | Light energy absorbed per unit reaction center |
| ETo/RC | Energy used for electron transfer per unit reaction center |
| TRo/RC | Light energy captured per unit reaction center |
| DIo/RC | Energy dissipated per unit reaction center |
Disclaimer/Publisher’s Note: The statements, opinions and data contained in all publications are solely those of the individual author(s) and contributor(s) and not of MDPI and/or the editor(s). MDPI and/or the editor(s) disclaim responsibility for any injury to people or property resulting from any ideas, methods, instructions or products referred to in the content. |
© 2024 by the authors. Licensee MDPI, Basel, Switzerland. This article is an open access article distributed under the terms and conditions of the Creative Commons Attribution (CC BY) license (https://creativecommons.org/licenses/by/4.0/).
Share and Cite
Ji, S.; Zhang, Y.; Xu, M.; Zhao, M.; Chen, H.; Lu, Y.; Pang, S.; Xu, W. Characterization of Low-Temperature Sensitivity and Chlorophyll Fluorescence in Yellow Leaf Mutants of Tomato. Agronomy 2024, 14, 2382. https://doi.org/10.3390/agronomy14102382
Ji S, Zhang Y, Xu M, Zhao M, Chen H, Lu Y, Pang S, Xu W. Characterization of Low-Temperature Sensitivity and Chlorophyll Fluorescence in Yellow Leaf Mutants of Tomato. Agronomy. 2024; 14(10):2382. https://doi.org/10.3390/agronomy14102382
Chicago/Turabian StyleJi, Shujing, Yifan Zhang, Minghua Xu, Mingrui Zhao, Huixin Chen, Yongen Lu, Shengqun Pang, and Wei Xu. 2024. "Characterization of Low-Temperature Sensitivity and Chlorophyll Fluorescence in Yellow Leaf Mutants of Tomato" Agronomy 14, no. 10: 2382. https://doi.org/10.3390/agronomy14102382
APA StyleJi, S., Zhang, Y., Xu, M., Zhao, M., Chen, H., Lu, Y., Pang, S., & Xu, W. (2024). Characterization of Low-Temperature Sensitivity and Chlorophyll Fluorescence in Yellow Leaf Mutants of Tomato. Agronomy, 14(10), 2382. https://doi.org/10.3390/agronomy14102382

