Abstract
The effects of fallow season water and straw management on methane (CH4) emissions during the fallow season and the subsequent rice-growing season are rarely reported, and the underlying microbial mechanisms remain unclear. A field experiment was conducted with four treatments: (1) fields flooded in both the fallow and rice seasons (FF), (2) fields drained in the fallow season and flooded in the rice season (DF), (3) FF with straw retention (FFS), and (4) DF with straw retention (DFS). The CH4 emissions in fields under different water and straw treatments were monitored using the static closed chamber method. Methanogenic and methanotrophic communities in these fields were examined using terminal restriction fragment length polymorphism (T-RFLP) analysis based on the mcrA gene and pmoA gene encoding methyl coenzyme M reductase and particulate methane monooxygenase, respectively. The results showed that CH4 emissions were significantly affected by water management, straw retention, season, and their interactions. Over 80% of CH4 emissions occurred during the rice season. Field drainage during the fallow season reduced CH4 emissions by 47.0% and 53.8% with and without straw during the rice season, respectively. Water management altered the abundance and composition of methanogens and methanotrophs, whereas the effects of straw retention were less pronounced. The quantitative polymerase chain reaction (qPCR) assay revealed that field drainage in the fallow season decreased the mcrA gene abundance by 30.0% and 23.2% with and without straw in rice season, respectively, and increased the pmoA gene abundance by 108.9% and 213.7% with and without straw in rice season, respectively. CH4 flux was significantly positively associated with mcrA gene copy number and the ratio of mcrA to pmoA gene copy number, whereas it was significantly negatively correlated with the pmoA gene copy number. Results indicated that fallow drainage greatly decreased CH4 emission not only during the fallow season but also during the subsequent rice season by altering the community composition of methanogens and methanotrophs. These findings provide scientific insight into the role of water and straw management in controlling CH4 emissions through microbial community dynamics.
1. Introduction
Methane (CH4) ranks second in terms of contribution to global warming, accounting for nearly 19% of the total radiative forcing by long-lived greenhouse gases [1]. Rice production, covering a planting area of more than 160 million hectares worldwide for the past decade, is one of the main anthropogenic contributors to atmospheric CH4 [2,3]. CH4 emissions from rice fields were estimated to be 39–112 Tg year−1, approximately 4.4–19.2% of global CH4 emissions [4].
CH4 fluxes from rice fields are a counterbalance of CH4 production and oxidation processes [5,6,7]. Methane is produced exclusively by acetoclastic and hydrogenotrophic methanogenesis as an end product of the anaerobic degradation of organic matter [6,8]), but the generated methane can subsequently be oxidized by methane-utilizing bacteria (methanotrophs), which can oxide CH4 emissions by 90% [6,9]. Thereby, CH4 release is actually the end result of the activities of methanogens and methanotrophs. Actinobacteria, Chloroflexi, Proteobacteria, Acidobacteria, and Planctomycetes are the most dominant taxa, and the most abundant genus in rice fields is Anaeromyxobacter [10]. The dynamics of methanogens and methanotrophs and the interactions of methane-cycling communities in CH4 emissions have been extensively studied using the mcrA gene and the pmoA gene as biomarkers [7,11,12]. The mcrA gene encodes the α subunit of methyl coenzyme M reductase, which catalyzes the final step in methane production [11], and the pmoA gene encodes the β-subunit of particulate methane monooxygenase, which oxidizes methane to methanol [12]. Based on the analysis of these two highly conserved genes, Sonoki et al. illustrated that fertilization significantly reduces CH4 emissions by suppressing mcrA while stimulating pmoA gene abundance [13]. Liu et al. suggested that differences in methane-cycling communities can help explain changes in CH4 emissions from rice fields under elevated atmospheric CO2 [14]. Hence, the analysis of the mcrA gene, the pmoA gene, and the mcrA/pmoA ratio can help us explore the connection between net CH4 emission and changes in the balance between methanogens and methanotrophs in soil.
China is one major rice producer globally, with a planting area of approximately 30 million hectares in recent years. The intensification of rice-based farming systems has substantially increased the yield of grain and associated crop residues. Straw retention is encouraged to improve soil carbon storage and soil fertility, and it ultimately enhances rice yield [15,16]. However, it provides readily available organic substrates for methanogens, thereby producing more CH4 [17,18]. In the rice–rice cropping system, the fallow period is from late October to late April of the following year. Water conditions in the fallow season vary widely, from consistently anaerobic to partially or even fully aerobic, depending on water availability and intentional management. Additionally, rice straw is usually left in fields during the fallow season. These water conditions may have different effects on straw decomposition rates [19,20,21], which would further affect CH4 fluxes during the subsequent rice season [22,23]. The impact of soil water conditions and straw retention on CH4 fluxes has been extensively investigated in the non-rice season and/or the rice season [24,25,26,27]. However, how soil water conditions and straw retention during the fallow season jointly affect CH4 fluxes in the subsequent rice season has been rarely reported. In addition, it is not yet clear whether the combined effects of soil water conditions and straw retention on CH4 emissions are related to changes in the abundance and community composition of methanogens and methanotrophs.
In this study, rice straw was left in rice fields with two contrasting water conditions (flooded and non-flooded) in the fallow season and plowed into flooded soil during the subsequent rice season. CH4 fluxes were measured continuously during the fallow season and the subsequent rice season. To link CH4 emissions with methane-cycling communities, a molecular analysis of the mcrA and pmoA genes was performed. The specific objectives of this study were (1) to assess the effects of fallow season water and straw management on CH4 emissions from the fallow season and the subsequent rice season; (2) to examine the abundance and composition of methanogens and methanotrophs; and (3) to explore the connection between CH4 emissions and changes in methanogens and methanotrophs responsible for releasing and absorbing CH4. We hypothesized that the effect of fallow season water and straw management on CH4 emissions could be explained by the relative changes and interactions (i.e., abundance and composition) of methanogens and methanotrophs. These findings can provide reference and data support for adopting effective water and straw management strategies during the fallow season to reduce greenhouse gas emissions.
2. Materials and Methods
2.1. Experimental Site
The study was conducted at the Taoyuan Agroecological Experimental Station, which is located in a typical rice-growing area in China. The region has a subtropical humid monsoon climate. The soil contained 17.6 g kg−1 soil organic carbon, 1.82 g kg−1 total N, 0.59 g kg−1 total P, and had a pH (H2O) of 5.6.
2.2. Experimental Design
The experiment was carried out with four treatments and three biological replicates. The main plots had different water conditions, and subplots had or did not have straw retention. The treatments were as follows: field flooded during the fallow season and in the subsequent rice season (FF); field drained during the fallow season with the exclusion of rainfall and field flooded during the subsequent rice season (DF); FF with rice straw retention after the previous crop (FFS); and DF with rice straw retention after the previous crop (DFS). In FFS and DFS plots, rice straw (5000 kg ha−1) was spread evenly on the soil surface and plowed into the soil before transplanting the seedlings. The local rice cultivar was transplanted on 22 April. The fertilizers urea (nitrogen), superphosphate (phosphorus), and potassium chloride (potassium) were applied at rates of 81 kg N ha−1, 39.3 kg P ha−1, and 88 kg K ha−1, respectively, which is based on the nutrient requirements of local rice production. Nitrogen was applied with two splits: 50% as basal fertilizer and 50% as tillering stage fertilizer. Phosphorus and potassium were applied as basal fertilizers. Rice was harvested on July 8.
2.3. CH4 Measurement
CH4 fluxes were determined using the static closed chamber method [28]. The dimensions of the rectangular chamber are 60 cm (length) × 60 cm (width) × 100 cm (height) (Figure 1). In the experimental plot, a chamber foundation of 60 cm × 60 cm was permanently fixed into the soil (except for tillage before planting) with a depth of 15 cm. Gas samples were collected approximately every 10 days (5–13 days) during the fallow season and approximately every 6–7 days during the rice season (except for two intervals of 3 days after fertilization) [29,30]. Gas samples were collected between 09:20 a.m. and 10:40 a.m. Approximately 30 mL gas samples were injected into pre-evacuated vials at 0, 15, 30, 45, and 60 min per chamber. CH4 concentration was measured using a gas chromatograph (Agilent Technologies, Palo Alto, CA, USA). CH4 fluxes and accumulative CH4 fluxes were calculated according to the method referred to in Wu et al. [28].
Figure 1.
Sketch of sampling chamber.
2.4. Soil Sampling and Processing
To explore the underlying microbial mechanisms driving methane flux dynamics, fresh soil samples were collected during the fallow season on 14 April and during the rice season on 6 June. Five soil cores (depth 0–15 cm) were randomly selected from each plot and homogenized by mixing. Subsequently, the samples were immediately immersed in a liquid nitrogen container and then stored in a freezer (−80 °C) for further molecular analysis.
2.5. Molecular Analysis
2.5.1. Soil Microbial DNA Preparation
Genomic DNA was extracted in triplicate from 0.5 g (wet weight) of the soil of each biological replicate using the SDS-GITC-PEG method modified by Zhang et al. [31]. Then, the triplicate DNA extracts from the identical biological replicate were pooled, and this resulted in three biological replicate DNA samples for each treatment. DNA integrity was evaluated by agarose gel electrophoresis. DNA quality and concentration were determined using a NanoDrop NA-1000 spectrophotometer (Thermo Fisher Scientific, Waltham, MA, USA).
2.5.2. Terminal Restriction Fragment Length Polymorphism (T-RFLP) Analysis
T-RFLP analysis was applied to characterize the composition of methanogenic and methanotrophic communities. The primer pair MCRf/MCRr [32] and A189f/mb661r [33] were used to amplify the methanogenic mcrA gene and methanotrophic pmoA gene fragments, respectively, with forward primers labeled with 6-carboxyfluorescein (FAM) (Invitrogen, Shanghai, China). PCR amplification was performed in a 50 μL reaction mixture, which contained 25 μL 2 × PCR Mastermix (Tiangen, Beijing, China), 1 μL each forward and reverse primers (10 μM), 2 μL template DNA (in 1:10 dilution), and 21 μL nuclease-free water. The reaction conditions for mcrA genes included initial denaturation at 94 °C for 3 min, 38 cycles of denaturation at 94 °C for 45 s, annealing at 50 °C for 45 s, extension at 72 °C for 90 s, and terminal extension at 72 °C for 5 min. The amplification protocol for the pmoA genes started with an initial denaturation at 95 °C for 5 min, followed by 5 cycles of denaturation at 95 °C for 25 s, annealing at 65 °C for 30 s, and extension at 72 °C for 30 s. In addition, another 30 cycles at 95 °C for 25 s, 55 °C for 30 s, and 72 °C for 30 s were performed, ending with a terminal extension at 72 °C for 10 min. Purified PCR products were digested with Sau96I (Fermentas, Ontario, Canada) for mcrA and MspI (Fermentas, Ontario, Canada) for pmoA, respectively. All digestion products were size-separated using an ABI Prism 3100 Genetic Analyzer from Sunny Company, China. T-RFLP profiles were analyzed using PeakScan (Applied Biosystems, Foster City, CA, USA). The peak signals of terminal restriction fragments (T-RFs) differing by ≤2 bp were summed and treated as one fragment in a single profile. The relative abundance (Ra) of each T-RF was then calculated according to the method of Lukow et al. [34]. Minor T-RFs with Ra < 1% in all three replicates were excluded from downstream analysis, while T-RFs with Ra above 10% were considered dominant T-RFs [35]. Principal component analysis (PCA) processing of T-RELP data was performed using the CANOCO 5.0 package.
2.5.3. Quantitative PCR
To estimate the abundance of methanogens and methanotrophs, quantitative PCR (qPCR) was performed on mcrA and pmoA genes on an ABI Prism 7900 real-time PCR system (Applied Biosystems, Foster City, CA, USA) using the primers described above. Plasmid DNA carrying the mcrA gene insert or the pmoA gene insert was prepared in a tenfold dilution series to generate a standard curve for quantification. Standards and unknown DNA templates were run in parallel in a 10 μL reaction mixture containing 5 μL 2× SYBR Premix ExTaq (Takara Bio Inc., Beijing, China), 0.2 μL each forward and reverse primers (10 μM), 0.2 μL ROX passive reference dye, 1 μL diluted DNA template (5 ng μL−1), and 3.4 μL nuclease-free water. All PCR assays were performed in triplicate following the same protocol as described for T-RFLP analysis. A melting-curve analysis was carried out to check the specificity of amplification. The expected melting temperature ranges from 82 °C to 85 °C and from 83 °C to 86 °C for the amplicons of mcrA and pmoA genes, respectively. The problem of non-specific amplification products would be solved by adjusting the primer concentration and annealing temperature. The abundance of the mcrA gene and the pmoA gene was analyzed using the SDS 2.3 software included with the real-time PCR system. The threshold cycle (Ct) values of the amplification curves and the standard curves were used to establish a linear range with gene copy numbers. The PCR amplification efficiency was calculated based on the slope of the standard curve generated in SDS 2.3 software using the following equation: PCR efficiency = (10[−1/slope] − 1) × 100. PCR efficiency was accepted if it was within the following range: 90 to 110%.
2.6. Statistical Analysis
Statistical analysis was performed using SPSS 25.0 (SPSS Inc., Chicago, IL, USA). Statistical differences among different treatments were tested by Duncan’s test. Linear regression was used to evaluate the relationship between CH4 flux and functional marker, and gene copy numbers (mcrA and pmoA genes and mcrA/pmoA ratio) were evaluated using linear regression. Last, SigmaPlot 10.0 (Systat Software Inc., San Jose, CA, USA) and Origin 7.0 (Origin Lab Corporation, Northampton, MA, USA) were used for graph preparation.
3. Results
3.1. CH4 Emissions
The CH4 fluxes were very low during the fallow season but increased sharply after the transplanting of seedlings, reaching a peak in June, and declined during the rice maturity period (Figure 2). Field flooding and straw retention in the fallow season significantly enhanced CH4 fluxes (Figure 2). The average rates of CH4 fluxes in the fallow season for FF, DF, FFS, and DFS were 0.012, 0.021, 1.14, and 2.07 mg m–2 h–1, respectively. The average rates of CH4 fluxes in the rice season for FF, DF, FFS, and DFS were 3.09, 5.23, 16.29, and 24.19 mg m–2 h–1, respectively.
Figure 2.
CH4 fluxes in the fallow season and subsequent rice season under different treatments. The bar for each point represents the standard error. FF, field flooded during the fallow season and subsequent rice season; DF, field drained during the fallow season and field flooded during the subsequent rice season; FFS, FF with rice straw; DFS, DF with rice straw.
Cumulative CH4 fluxes are shown in Figure 3. Season, water management, straw retention, and their interactions had significant effects on cumulative CH4 emissions (Table 1). About 98% of the CH4 emissions in DF and DFS occurred in the rice season, and 81–84% of the CH4 emissions in FF and FFS were observed in the rice season. Moreover, there were significant differences in CH4 emissions from fields under flooded and drained conditions. Compared with FF, DF significantly reduced the cumulative CH4 emissions in the fallow season by 95.2% and the cumulative CH4 emissions in the rice season by 47.0%, as well as the total CH4 emissions by 54.5%. Compared with FFS, DFS significantly reduced the cumulative CH4 emissions in the fallow season by 96.3%, the cumulative CH4 emissions in the rice season by 53.8%, and the total CH4 emissions by 61.9%. It demonstrates that the water conditions of the fallow field have a lasting impact on CH4 emissions in the subsequent rice season.
Figure 3.
Cumulative CH4 fluxes during the fallow season and subsequent rice season. The bar over each column represents the standard error. Different letters over the columns in the same season indicate significant differences (p < 0.05) FF, field flooded during the fallow season and subsequent rice season; DF, field drained during the fallow season and field flooded during the subsequent rice season; FFS, FF with rice straw; DFS, DF with rice straw.
Table 1.
ANOVA of the effects of season (Se), water (Wa), and straw (S) on CH4 emissions and abundance of methanogens (mcrA) and methanotrophs (pmoA).
Straw retention increased CH4 emissions. The cumulative CH4 emissions under DFS treatment in the fallow season and the rice season, as well as the total, increased by 39.3%, 24.1%, and 24.4%, respectively, compared with those under DF treatment. The cumulative CH4 emissions under FFS treatment in the fallow season and the rice season, as well as the total, were 82.2%, 42.3%, and 48.5% higher than those under FF treatment, respectively. It suggests that undecomposed straw during the fallow season still caused remarkable CH4 emissions in the subsequent rice season, and field flooding enhanced the impact of straw retention on CH4 emissions.
3.2. Community Composition of Methanogens and Methanotrophs
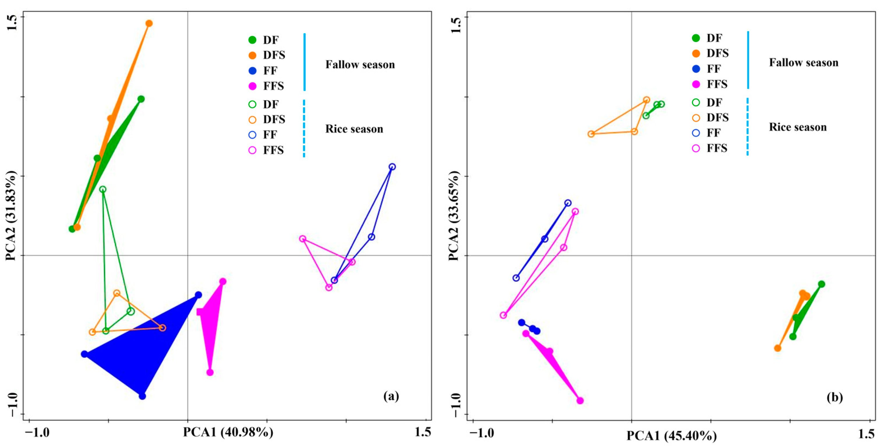
The composition of the methanogenic community was examined using T-RFLP analysis targeting the mcrA gene (Figure 4a). Fifteen main T-RFs were observed in all soils, among which, the T-RFs of 144, 239, 403, 414, 425, and 500 bp were dominant, while the relative abundances of the T-RFs of 254, 268, 321, 324, 388, 421, 464, 469, and 486 bp were relatively low. PCA analysis indicated that the T-RFLP pattern of mcrA in the fallow season was significantly different from the T-RFLP pattern obtained in the rice season (Figure 5a). For DF and DFS, T-RFs of 268, 321, and 421 bp were only present in the fallow season, whereas those of 486 bp were only detected in the rice season. Different T-RFLP patterns were observed between FF and DF in both seasons. The 144, 239, 254, 388, 403, and 414 bp T-RFs were more abundant in FF, while 321, 425, 464, 469, 486, and 500 bp T-RFs were significantly higher in DF. Straw retention had no effect on the T-RFLP pattern of the mcrA gene.
Figure 4.
Composition of the methanogenic (a) and methanotrophic (b) communities analyzed by T-RFLP targeting mcrA and pmoA genes in soils from different treatments. The bar over each column represents the standard error. FF, field flooded during the fallow season and subsequent rice season; DF, field drained during the fallow season and field flooded during the subsequent rice season; FFS, FF with rice straw; DFS, DF with rice straw.
Figure 5.
Principal component analysis of T-RFLP profiles of the mcrA gene (a) and pmoA gene (b). FF, field flooded during the fallow season and subsequent rice season; DF, field drained during the fallow season and field flooded during the subsequent rice season; FFS, FF with rice straw; DFS, DF with rice straw.
T-RFLP analysis of the pmoA gene encoding methanotrophs showed that a total of eight T-RFs were obtained in all soil samples (Figure 4b). T-RFs of 76, 247, and 438 bp were dominant, together accounting for 82–90% of the total in the given profiles. According to a previous study using the same primer pair and digestion enzyme [33], the detection of these T-RFs may indicate the presence of type Ib methanotroph genera Methylococcus and Methylocaldum (related to T-RF of 75 bp) and type Ia genera Methylomonas (related to 438 bp). PCA analysis showed that T-RFLP profiles of pmoA displayed different patterns in the fallow season and the rice season (Figure 5b). The relative abundance of the 511 bp T-RF increased significantly in the rice season. In particular, the 209 bp T-RF only appeared in the rice season in FF and FFS. T-RFLP patterns also showed significant differences in FF and DF in both seasons. The 75 bp T-RF characteristic of type Ib methanotrophs was more abundant in DF, whereas the T-RFs of 209, 244 (type II Methylocystis and Methylosinus), and 247 bp were more abundant in FF. Most T-RFs were not affected by straw retention, indicating that straw treatment had a small effect on T-RFLP profiles.
3.3. Gene Abundances of Methanogens and Methanotrophs
Water management changed the abundance of methanogens and methanotrophs, whereas the effect of straw retention was not obvious (Figure 6, Table 1). Compared with continuous flooding, field drainage during the fallow season had no effect on mcrA gene abundance but decreased mcrA gene abundance in the subsequent rice season (p < 0.05). On average, field drainage during the fallow season decreased mcrA gene abundance by 23.2% and 30.0% without and with straw retention in the rice season, respectively. Regardless of straw retention, field drainage in the fallow season increased pmoA gene abundance not only in the fallow season but also in the subsequent rice season (p < 0.05). On average, field drainage in the fallow season increased pmoA gene abundance by 423.1% and 478.0% without and with straw retention in the fallow season, respectively, and increased pmoA gene abundance by 213.7% and 108.9% without and with straw retention in the rice season, respectively.
Figure 6.
Abundance of mcrA (a) and pmoA (b) genes in soils from different treatments. The bar over each column represents the standard error. Different letters over the columns in the same season indicate significant differences at the 0.05 level. FF, field flooded during the fallow season and subsequent rice season; DF, field drained during the fallow season and field flooded during the subsequent rice season; FFS, FF with rice straw; DFS, DF with rice straw.
3.4. Link with CH4 Emissions
Correlation analysis revealed that CH4 flux was positively correlated with mcrA gene copy number and negatively correlated with pmoA gene copy number (Figure 7). Moreover, a significantly positive correlation was found between CH4 flux and the ratio of mcrA to pmoA gene copy numbers.
Figure 7.
Correlation analysis of CH4 flux between mcrA (a), pmoA (b), and mcrA/pmoA (c) gene copy numbers. The “*” means the correlation is significant at the p < 0.05 level.
4. Discussion
This field study showed that the CH4 emissions in DF and FF during the rice season were 59.2 times and 4.4 times higher than those in the fallow season, respectively. Previous studies have observed that CH4 flux from rice fields increases with rising soil temperature [27,30,36]. Therefore, seasonal variations in CH4 flux are partly due to differences in soil temperatures in the fallow season and the rice season. It has been reported that soil temperature is an important factor affecting microbial activity, and most methanogens are more active when the temperature is higher than 30 °C [27,37]. The low soil temperature during the fallow season may reduce the abundance and activities of methanogens, thereby inhibiting the production of CH4. During the rice season, the soil temperature increased to a range that was conducive to the growth and reproduction of methanogens. Therefore, CH4 flux increased significantly during the rice season compared with the fallow season. In addition, available substrates, such as root exudates, are important substrates for CH4 production by methanogens. Hence, the abundant nutrient and labile carbon from rice root exudates may stimulate the activity of methanogens and increase CH4 production during the rice season [38]. Additionally, CH4 emissions are a balance of three important processes: CH4 production, oxidation, and transport. CH4 production and oxidation are mainly driven by methanogens and methanotrophs, while the transport process is highly dependent on rice plants [39,40]. During the rice season, rice plants help transport CH4 from the soil to the atmosphere, leading to increased CH4 production.
In the present study, fields drained during the fallow season decreased CH4 emissions not only in the fallow season but also in the subsequent rice season. Previous studies have also reported that drainage rather than flooding fields during the fallow period can reduce CH4 emissions. For example, Zhang et al. reported that CH4 emissions from drained fields in the fallow season were significantly lower than those in flooded fields, with emissions being 39–52% lower during the rice season [27]. Sander et al. found that in the tropics, flooded fields in the fallow season significantly increased CH4 emissions during rice growth [25]. Similarly, Yan et al. reported that CH4 emissions from fields previously drained in the fallow season were 64% lower than those from fields flooded in the fallow season [26]. Straw retention is a common practice in China; however, this inevitably leads to more CH4 emissions [17,23,26]). In this study, under straw retention conditions, field drainage in the fallow season decreased CH4 emissions by 53.8% during the subsequent rice season, which was attributed to the enhanced decomposition of organic matter under aerobic conditions and the accelerated leaching of water-soluble fractions from soils [19,20,21].
The abundance of mcrA in flooded fields was higher than that in drained fields, and the difference was more pronounced during the rice season. The abundance of pmoA presented an opposite pattern to that of the mcrA gene in both seasons. This trade-off relationship between these two genes indicated opposing responses of methanogens and methanotrophs to water management. The correlation analysis showed that mcrA gene copy number and mcrA/pmoA gene ratio were significantly positively correlated with CH4 flux. These correlations illustrate that the effect of water management in the fallow season on CH4 emissions in the subsequent rice season could be explained by changes in abundance of and interactions between methanogens and methanotrophs [37,41]. In flooded fields, due to water coverage and an anaerobic environment, organic matter decomposes relatively slowly, and the accumulation of organic matter is high [42]. Therefore, CH4 production is higher since organic matter is an important substrate for methanogenesis. When rice fields are drained, the available O2 and soil Eh increase. This will reduce the abundance and activity of methanogens and their potential to produce CH4, as methanogens are extremely anaerobic bacteria and are readily killed by O2 exposure [33,43]. However, aerobic conditions benefit the growth of methanotrophs and may increase CH4 oxidation [6]. Furthermore, the relative abundance of type I methanotroph groups (such as Methylococcus and Methylomonas) was much higher in the drainage fields, whereas that of type II methanotroph groups (such as Methylocystis and Methylosinu) was richer in the flooding fields. Previous studies reported that the type I group generally grew faster and was more active than type II methanotrophs [44]. Thus, CH4 oxidation might be higher in the drainage fields because of the higher relative abundance of type I methanotroph groups. Based on the above elaboration, field drainage reduces CH4 production but increases CH4 oxidation, ultimately reducing CH4 emissions from rice fields.
In this study, the cumulative CH4 flux in drained rice fields throughout the fallow season was significantly lower than that in flooded rice fields. When drained fields were re-flooded in the rice season, methanogens needed time to recover their population and activity, thus producing less CH4. In addition, the competition of electron acceptors from other microbes might temporarily inhibit CH4 production by methanogens and reduce CH4 emissions. However, for rice fields that were continuously flooded in the fallow and rice seasons, the anaerobic conditions of the flooded fields were beneficial to the growth of methanogens but weakened the growth of methanotrophs. Accordingly, the cumulative CH4 flux in rice fields flooded throughout the fallow and rice seasons was significantly higher than in those previously drained in the fallow season. Straw retention increased CH4 emissions more under fallow flooded conditions than under fallow drained conditions, indicating that straw retention can strengthen the effect of water management in the fallow season on CH4 emissions in the rice season. It has been reported that straw retention significantly increased CH4 production while having little effect on CH4 oxidation [9]. Therefore, the effective carbon source released by rice straw decomposition could provide abundant carbon substrates for the growth of methanogens and increased CH4 emissions in DFS and FFS.
5. Conclusions
This study showed the combined effects of water and straw management on CH4 emissions during the fallow season and the subsequent rice season, as well as the underlying microbial mechanisms. CH4 emissions were affected by water, straw, season, and their interactions. Most CH4 emissions occurred in the rice season. Field drainage during the fallow season reduced CH4 emissions by about half. Water management altered the abundance and composition of methanogens and methanotrophs, whereas the effect of straw retention was not obvious. Field drainage in the fallow season decreased methanogens but increased methanotrophs. CH4 flux was significantly positively associated with mcrA gene copy number and the ratio of mcrA to pmoA gene copy number, whereas it was significantly negatively correlated with pmoA gene copy number. Fallow drainage greatly decreased CH4 emissions, not only in the fallow season but also in the subsequent rice season, by altering the composition of the methanogen and methanotroph communities.
Author Contributions
Conceptualization, W.W. and Y.X.; Methodology, W.W.; Software, W.W.; Validation, W.W.; Formal analysis, W.W.; Investigation, W.W., Q.C. and H.H.; Data curation, W.W. and Q.C.; Writing—original draft, W.W., Q.C. and H.H.; Writing—review & editing, W.W. and Y.X.; Visualization, W.W.; Supervision, Y.X. All authors have read and agreed to the published version of the manuscript.
Funding
This work was funded by the Natural Science Foundation of Changsha (Grant No.: kq220824), the Innovation Ecological Construction Program of Hunan (Grant No. 2023WK2003), and the Science and Technology Innovation Platform Project of Hunan (Grant No. 2022PT1010).
Data Availability Statement
The original contributions presented in the study are included in the article, further inquiries can be directed to the corresponding authors.
Conflicts of Interest
The authors declare no conflict of interest.
References
- WMO (World Meteorological Organization). WMO Greenhouse Gas Bulletin: The State of Greenhouse Gases in the Atmosphere Based on Observations through 2022; WMO: Geneva, Switzerland, 2022. [Google Scholar]
- FAOSTAT. 2022. Available online: https://www.fao.org/faostat/en/#data (accessed on 3 May 2023).
- Saunois, M.; Stavert, A.R.; Poulter, B.; Bousquet, P.; Canadell, J.G.; Jackson, R.B.; Raymond, P.A.; Dlugokencky, E.J.; Houweling, S.; Patra, P.K.; et al. The global methane budget 2000–2017. Earth Syst. Sci. Data 2020, 12, 1561–1623. [Google Scholar] [CrossRef]
- Denman, K.L.; Brasseur, G.; Chidthaisong, A.; Ciais, P.; Cox, P.M.; Dickinson, R.E.; Hauglustaine, D.; Heinze, C.; Holland, E.; Jacob, D.; et al. Couplings between changes in the climate system and biogeochemistry. In Climate Change 2007: The Physical Science Basis. Contribution of Working Group I to the Fourth Assessment Report of the Intergovernmental Panel on Climate Change; Solomon, S., Manning, M., Chen, Z., Marquis, M., Averyt, K.B., Tignor, M., Miller, H.L., Eds.; Cambridge University Press: Cambridge, UK; New York, NY, USA, 2007. [Google Scholar]
- Hanson, R.; Hanson, T. Methanotrophic bacteria. Microb. Rev. 1996, 60, 439–471. [Google Scholar] [CrossRef] [PubMed]
- Le Mer, J.; Roger, P. Production, oxidation, emission and consumption of methane by soils: A review. Eur. J. Soil Biol. 2001, 37, 25–50. [Google Scholar] [CrossRef]
- Breidenbach, B.; Conrad, R. Seasonal dynamics of bacterial and archaeal methanogenic communities in flooded rice fields and effect of drainage. Front. Microbiol. 2015, 5, 752. [Google Scholar] [CrossRef]
- Conrad, R. Microbial ecology of methanogens and methanotrophs. Adv. Agrono. 2007, 96, 1–63. [Google Scholar]
- Zhang, G.; Yu, H.; Fan, X.; Liu, G.; Ma, J.; Xu, H. Effect of rice straw application on stable carbon isotopes, methanogenic pathway, and fraction of CH4 oxidized in a continuously flooded rice field in winter season. Soil Biol. Biochem. 2015, 84, 75–82. [Google Scholar] [CrossRef]
- Arunrat, N.; Sansupa, C.; Kongsurakan, P.; Sereenonchai, S.; Hatano, R. Soil Microbial Diversity and Community Composition in Rice–Fish Co-Culture and Rice Monoculture Farming System. Biology 2022, 11, 1242. [Google Scholar] [CrossRef]
- Freitag, T.E.; Prosser, J.I. Correlation of methane production and functional gene transcriptional activity in a peat soil. Appl. Environ. Microbiol. 2009, 75, 6679–6687. [Google Scholar] [CrossRef]
- Henckel, T.; Friedrich, M.; Conrad, R. Molecular analyses of the methane-oxidizing microbial community in rice field soil by targeting the genes of the 16S rRNA, particulate methane monooxygenase, and methanol dehydrogenase. Appl. Environ. Microbiol. 1999, 65, 1980–1990. [Google Scholar] [CrossRef]
- Sonoki, T.; Furukawa, T.; Jindo, K.; Suto, K.; Aoyama, M.; Sanchez-Monedero, M.A. Influence of biochar addition on methane metabolism during thermophilic phase of composting. J. Basic Microb. 2013, 53, 617–621. [Google Scholar] [CrossRef]
- Liu, Y.; Liu, X.; Cheng, K.; Li, L.; Zhang, X.; Zheng, J.; Zheng, J.; Pan, G. Responses of methanogenic and methanotrophic communities to elevated atmospheric CO2 and temperature in a paddy field. Front. Microbiol. 2016, 7, 1895. [Google Scholar] [CrossRef] [PubMed]
- Arunrat, N.; Kongsurakan, P.; Sereenonchai, S.; Hatano, R. Soil organic carbon in sandy paddy fields of northeast Thailand: A review. Agronomy 2020, 10, 1061. [Google Scholar] [CrossRef]
- Che, Y.; Zhang, B.; Liu, B.; Wang, J.; Zhang, H. Effects of Straw Return Rate on Soil Physicochemical Properties and Yield in Paddy Fields. Agronomy 2024, 14, 1668. [Google Scholar] [CrossRef]
- Zou, J.; Huang, Y.; Jiang, J.; Zheng, X.; Sass, R.L. A 3-year field measurement of methane and nitrous oxide emissions from rice paddies in China: Effects of water regime, crop residue, and fertilizer application. Glob. Biogeochem. Cycles 2005, 19, GB2021. [Google Scholar] [CrossRef]
- Li, X.; Ma, J.; Yao, Y.; Liang, S.; Zhang, G.; Xu, H.; Yagi, K. Methane and nitrous oxide emissions from irrigated lowland rice paddies after wheat straw application and midseason aeration. Nutr. Cycl. Agroecos. 2014, 100, 65–76. [Google Scholar] [CrossRef]
- Furukawa, Y.; Shiratori, Y.; Inubushi, K. Depression of methane production potential in paddy soils by subsurface drainage systems. Soil Sci. Plant Nutr. 2008, 54, 950–959. [Google Scholar] [CrossRef]
- Kögel-Knabner, I.; Amelung, W.; Cao, Z.; Fiedler, S.; Frenzel, P.; Jahn, R.; Kalbitz, K.; Kolbl, A.; Schloter, M. Biogeochemistry of paddy soils. Geoderma 2010, 157, 1–14. [Google Scholar] [CrossRef]
- Wu, J.; Zhou, P.; Li, L.; Su, Y.; Yuan, H.; Syers, J.K. Restricted mineralization of fresh organic materials incorporated into a subtropical paddy soil. J. Sci. Food Agric. 2012, 92, 1031–1037. [Google Scholar] [CrossRef]
- Tang, S.R.; Cheng, W.G.; Hu, R.G.; Guigue, J.; Kimani, S.M.; Tawaraya, K.; Xu, X.K. Simulating the effects of soil temperature and moisture in the off-rice season on rice straw decomposition and subsequent CH4 production during the growth season in a paddy soil. Biol. Fert. Soils 2016, 52, 739–748. [Google Scholar] [CrossRef]
- Xiao, M.Q.; Dong, S.S.; Li, Z.L.; Tang, X.; Chen, Y.; Yang, S.M.; Wu, C.Y.; Ouyang, D.X.; Fang, C.M.; Song, Z.P. Effects of water management practices on residue decomposition and degradation of Cry1Ac protein from crop-wild Bt rice hybrids and parental lines during winter fallow season. Ecotox. Environ. Safe 2015, 122, 275–289. [Google Scholar] [CrossRef]
- Liu, W.; Hussain, S.; Wu, L.; Qin, Z.; Li, X.; Lu, J.; Khan, F.; Cao, W.; Geng, M. Greenhouse gas emissions, soil quality, and crop productivity from a mono-rice cultivation system as influenced by fallow season straw management. Environ. Sci. Pollut. Res. 2016, 23, 315–328. [Google Scholar] [CrossRef] [PubMed]
- Sander, B.O.; Samson, M.; Buresh, R.J. Methane and nitrous oxide emissions from flooded rice fields as affected by water and straw management between rice crops. Geoderma 2014, 235, 355–362. [Google Scholar] [CrossRef]
- Yan, X.; Yagi, K.; Akiyama, H.; Akimoto, H. Statistical analysis of the major variables controlling methane emission from rice fields. Global Chang. Biol. 2005, 11, 1131–1141. [Google Scholar] [CrossRef]
- Zhang, G.; Zhang, X.; Ma, J.; Xu, H.; Cai, Z. Effect of drainage in the fallow season on reduction of CH4 production and emission from permanently flooded rice fields. Nutr. Cycl. Agroecos. 2011, 89, 81–91. [Google Scholar] [CrossRef]
- Wu, X.; Wang, W.; Xie, K.; Yin, C.; Hou, H.; Xie, X. Combined effects of straw and water management on CH4 emissions from rice fields. J. Environ. Manag. 2019, 231, 1257–1262. [Google Scholar] [CrossRef]
- Shang, Q.Y.; Yang, X.X.; Gao, C.M.; Wu, P.P.; Liu, J.J.; Xu, Y.C.; Shen, Q.R.; Zou, J.W.; Guo, S.W. Net annual global warming potential and greenhouse gas intensity in Chinese double rice-cropping systems: A 3-year field measurement in long-term fertilizer experiments. Glob. Chang. Biol. 2011, 17, 2196–2210. [Google Scholar] [CrossRef]
- Wang, C.; Shen, J.; Tang, H.; Inubushi, K.; Guggenberger, G.; Li, Y.; Wu, J. Greenhouse gas emissions in response to straw incorporation, water management and their interaction in a paddy field in subtropical central China. Arch. Agron. Soil Sci. 2017, 63, 171–184. [Google Scholar] [CrossRef]
- Zhang, W.; Sheng, R.; Zhang, M.; Xiong, G.; Hou, H.; Li, S.; Wei, W. Effects of continuous manure application on methanogenic and methanotrophic communities and methane production potentials in rice paddy soil. Agric. Ecosyst. Environ. 2018, 258, 121–128. [Google Scholar] [CrossRef]
- Lueders, T.; Chin, K.J.; Conrad, R.; Friedrich, M. Molecular analyses of methyl-coenzyme M reductase alpha-subunit (mcrA) genes in rice field soil and enrichment cultures reveal the methanogenic phenotype of a novel archaea llineage. Environ. Microbiol. 2001, 3, 194–204. [Google Scholar] [CrossRef]
- Ma, K.; Conrad, R.; Lu, Y. Dry/wet cycles change the activity and population dynamics of methanotrophs in rice field soil. Appl. Environ. Microb. 2013, 79, 4932–4939. [Google Scholar] [CrossRef]
- Lukow, T.; Dunfield, P.F.; Liesack, W. Use of the T-RFLP technique to assess spatial and temporal changes in the bacterial community structure within an agricultural soil planted with transgenic and non-transgenic potato plants. FEMS Microbio. Ecol. 2000, 32, 241–247. [Google Scholar] [CrossRef] [PubMed]
- Yuan, H.; Ge, T.; Chen, C.; O’Donnell, A.G.; Wu, J. Significant role for microbial autotrophy in the sequestration of soil carbon. Appl. Environ. Microb. 2012, 78, 2328–2336. [Google Scholar] [CrossRef] [PubMed]
- Wang, Y.; Hu, C.; Zhu, B.; Xiang, H.; He, X. Effects of wheat straw application on methane and nitrous oxide emissions from purplish paddy fields. Plant Soil Environ. 2010, 56, 16–22. [Google Scholar] [CrossRef]
- Wang, H.; Jurasinski, G.; Täumer, J.; Kuß, A.W.; Groß, V.; Köhn, D.; Günther, A.; Urich, T. Linking Transcriptional Dynamics of Peat Microbiomes to Methane Fluxes during a Summer Drought in Two Rewetted Fens. Environ. Sci. Technol. 2023, 57, 5089–5101. [Google Scholar] [CrossRef]
- Xu, C.; Shen, S.; Zhou, B.; Feng, Y.; He, Z.; Shi, L.; Wang, Y.; Wang, H.; Mishra, T.; Xue, L. Long-term non-phosphorus application increased paddy methane emission by promoting organic acid and methanogen abundance in Tai Lake region, China. Sci Total Environ. 2023, 864, 161146. [Google Scholar] [CrossRef]
- Jia, Z.J.; Cai, Z.C.; Xu, H.; Li, X.P. Effect of rice plants on CH4 production, transport, oxidation and emission in rice paddy soil. Plant Soil 2001, 230, 211–221. [Google Scholar] [CrossRef]
- Yu, K.W.; Wang, Z.P.; Chen, G.X. Nitrous oxide and methane transport through rice plants. Biol. Fert. Soils 1997, 24, 341–343. [Google Scholar] [CrossRef]
- Qi, L.; Ma, L.; Chang, S.X.; Zhou, P.; Huang, R.; Wang, Y.; Wang, Z.; Gao, M. Biochar decreases methanogenic archaea abundance and methane emissions in a flooded paddy soil. Sci Total Environ. 2021, 752, 141958. [Google Scholar] [CrossRef]
- Dai, X.; Sun, J.; Zhao, Z.; Ma, R.; Zheng, Z.; Liu, Y.; Wang, X.; Zhou, W. Linking the potential activities of methanogens and methanotrophs to their communities under different fertilization regimes in coastal saline paddy soils. Appl. Soil Ecol. 2023, 192, 105102. [Google Scholar] [CrossRef]
- Cai, Y.; Zheng, Y.; Bodelier, P.L.; Conrad, R.; Jia, Z. Conventional methanotrophs are responsible for atmospheric methane oxidation in paddy soils. Nat. Commun. 2016, 7, 11728. [Google Scholar] [CrossRef]
- Zheng, S.M.; Deng, S.H.; Ma, C.; Xia, Y.H.; Qiao, H.; Zhao, J.; Gao, W.; Tu, Q.; Zhang, Y.M.; Rui, Y.C.; et al. Type I methanotrophs dominated methane oxidation and assimilation in rice paddy fields by the consequence of niche differentiation. Biol. Fertil. Soils. 2024, 60, 153–165. [Google Scholar] [CrossRef]
Disclaimer/Publisher’s Note: The statements, opinions and data contained in all publications are solely those of the individual author(s) and contributor(s) and not of MDPI and/or the editor(s). MDPI and/or the editor(s) disclaim responsibility for any injury to people or property resulting from any ideas, methods, instructions or products referred to in the content. |
© 2024 by the authors. Licensee MDPI, Basel, Switzerland. This article is an open access article distributed under the terms and conditions of the Creative Commons Attribution (CC BY) license (https://creativecommons.org/licenses/by/4.0/).






