Designing Management Strategies for Sheep Production and Bees in Dryland Pastures
Abstract
:1. Introduction
2. Materials and Methods
2.1. Site
2.2. Meteorological Conditions
2.3. Pasture Establishment and Experimental Design
2.4. Grazing Management
2.5. Management of Plots Outside Spring Experimental Period
2.6. Measurements
2.6.1. Pasture Dry Matter (DM) Production
2.6.2. Lamb Production
2.6.3. Pasture Mass on Offer
2.6.4. Botanical Composition and Nutritive Value of Pasture on Offer
2.6.5. Fecal Egg Counts
2.6.6. Bloom Density and Bee Visitations
2.6.7. Seedling Numbers
2.7. Statistical Analysis
3. Results
3.1. Pasture Dry Matter (DM) Production
3.2. Lamb Production
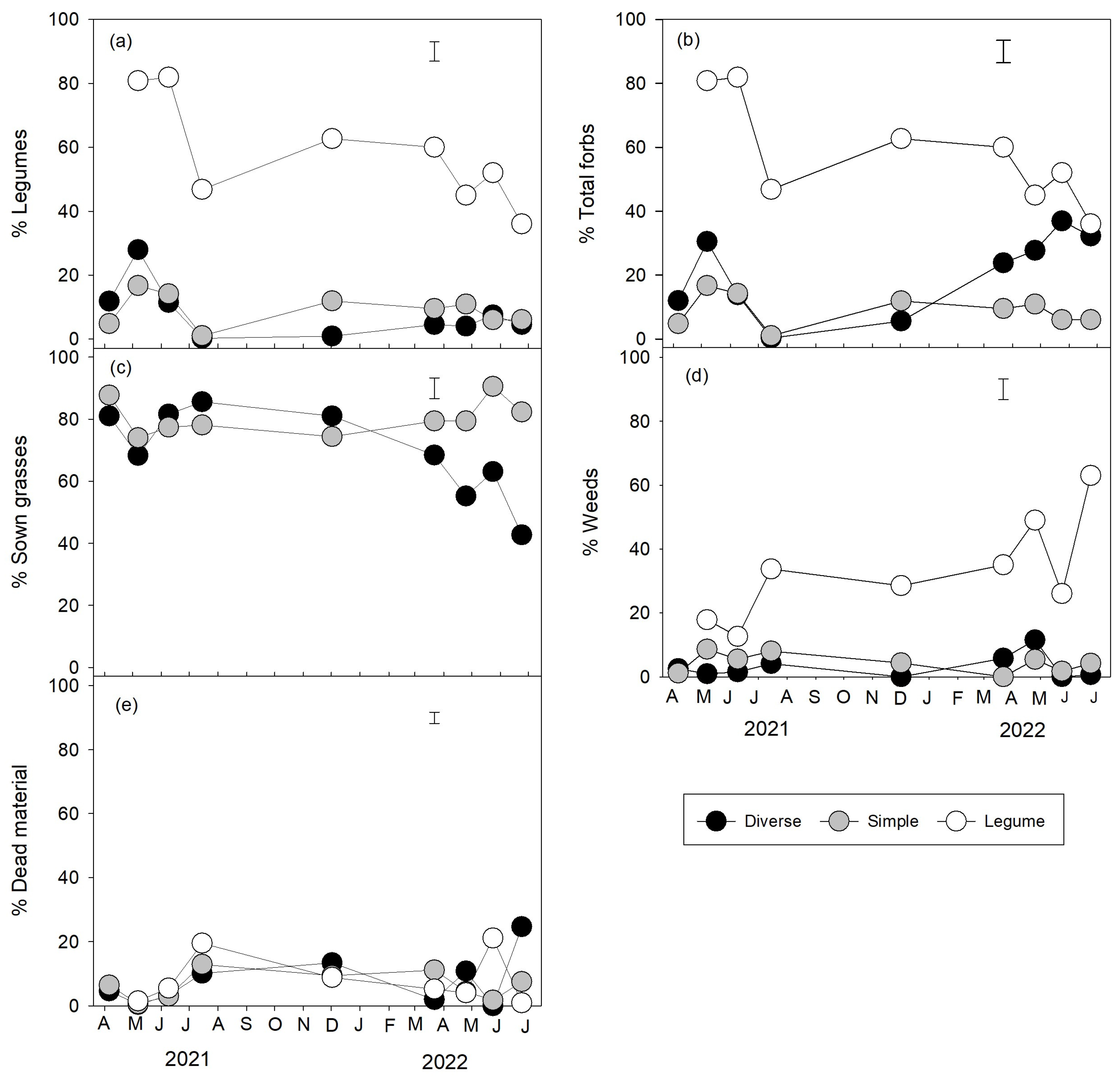
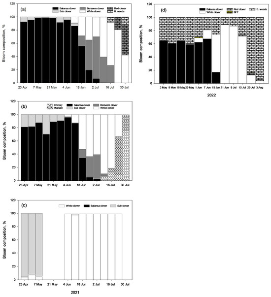
3.3. Pasture Mass, Botanical Composition and Nutritive Value of Pasture on Offer
3.4. Fecal Egg Counts
3.5. Bloom Density and Bee Visitations
3.6. Closing Date Effect on Persistence of Annual Legumes
4. Discussion
4.1. Forage Production
4.2. Livestock Production
4.3. Bloom Diversity and Bee Visitation
4.4. Effect on Closing Date on Regeneration of Annual Legumes
5. Conclusions
Author Contributions
Funding
Data Availability Statement
Acknowledgments
Conflicts of Interest
References
- Stampa, E.; Schipmann-Schwarze, C.; Hamm, U. Consumer perceptions, preferences, and behavior regarding pasture-raised livestock products: A review. Food Qual. Prefer. 2020, 82, 103872. [Google Scholar] [CrossRef]
- Fraser, T.J.; Rowarth, J.S. Legumes, herbs or grass for lamb performance? Proc. N. Z. Grassl. Assoc. 1996, 58, 49–52. [Google Scholar] [CrossRef]
- Golding, K.P.; Wilson, E.D.; Kemp, P.D.; Pain, S.J.; Kenyon, P.R.; Morris, S.T.; Hutton, P.G. Mixed herb and legume pasture improves the growth of lambs post-weaning. Anim. Prod. Sci. 2011, 51, 717–723. [Google Scholar] [CrossRef]
- Orford, K.A.; Murray, P.J.; Vaughan, I.P.; Memmott, J. Modest enhancements to conventional grassland diversity improve the provision of pollination services. J. Appl. Ecol. 2016, 53, 906–915. [Google Scholar] [CrossRef] [PubMed]
- Wagner, J.; Ghajar, S.; O’rourke, M.; Tracy, B. Bee-Friendly Beef: Developing Biodiverse Pastures to Increase Ecosystem Services. In XXIV International Grassland Congress Proceedings 2021, Nairobi, Kenya, 25–29 October 2021; University of Kentucky: Lexington, KY, USA, 2021; pp. 1–5. [Google Scholar]
- USDA. National Agricultural Statistics Service. 2020. Available online: https://www.nass.usda.gov/Statistics_by_State/Idaho/Publications/Livestock_Press_Releases (accessed on 1 June 2023).
- Idaho Data and Statistics. 2020. Available online: https://farmlandinfo.org/statistics/idaho-statistics/ (accessed on 1 June 2023).
- Oregon Data and Statistics. FIC. 2020. Available online: https://farmlandinfo.org/statistics/oregon-statistics/ (accessed on 1 June 2023).
- Washington Data and Statistics. FIC. 2020. Available online: https://farmlandinfo.org/statistics/washington-statistics/ (accessed on 1 June 2023).
- Stephen, W.P.; Bohart, G.E.; Torchio, P.F. The Biology and External Morphology of Bees with a Synopsis of the Genera of North-Western America; Oregon State University Agriculture Extension Station: Corvallis, OR, USA, 1969. [Google Scholar]
- Broussard, M.; Rao, S.; Stephen, W.P.; White, L. Native bees, honeybees, and pollination in Oregon cranberries. HortScience 2011, 46, 885–888. [Google Scholar] [CrossRef]
- Calderone, N.W. Insect pollinated crops, insect pollinators and US agriculture: Trend analysis of aggregate data for the period 1992–2009. PLoS ONE 2012, 7, e37235. [Google Scholar] [CrossRef]
- Rao, S.; Stephen, W.P. Bumble bee pollinators in red clover seed production. Crop Sci. 2009, 49, 2207. [Google Scholar] [CrossRef]
- Goodrich, B. Economic Outlook for the 2019 Almond Pollination Season. West Coast Nut. 2019. Available online: https://www.wcngg.com/2019/02/05/economic-outlook-for-the-2019-almond-pollination-season/ (accessed on 1 June 2023).
- Otto, C.R.; Zheng, H.; Gallant, A.L.; Iovanna, R.; Carlson, B.L.; Smart, M.D.; Hyberg, S. Past role and future outlook of the Conservation Reserve Program for supporting Honey Bees in the Great Plains. Proc. Natl. Acad. Sci. USA 2018, 115, 7629–7634. [Google Scholar] [CrossRef]
- Switanek, M.; Crailsheim, K.; Truhetz, H.; Brodschneider, R. Modelling seasonal effects of temperature and precipitation on honey bee winter mortality in a temperate climate. Sci. Total Environ. 2017, 579, 1581–1587. [Google Scholar] [CrossRef]
- Thomson, D.M. Local bumble bee decline linked to recovery of honey bees, drought effects on floral resources. Ecol. Lett. 2016, 19, 1247–1255. [Google Scholar] [CrossRef] [PubMed]
- Ricigliano, V.A.; Mott, B.M.; Maes, P.W.; Floyd, A.S.; Fitz, W.; Copeland, D.C.; Meikle, W.G.; Anderson, K.E. Honey bee colony performance and health are enhanced by apiary proximity to US Conservation Reserve Program (CRP) lands. Sci. Rep. 2019, 9, 4894. [Google Scholar] [CrossRef] [PubMed]
- Shuler, R.E.; Roulston, T.H.; Farris, G.E. Farming practices influence wild pollinator populations on squash and pumpkin. J. Econ. Entomol. 2005, 98, 790–795. [Google Scholar] [CrossRef] [PubMed]
- Decourtye, A.; Mader, E.; Desneux, N. Landscape enhancement of floral resources for honey bees in agro-ecosystems. Apidologie 2010, 41, 264–277. [Google Scholar] [CrossRef]
- Seeno, E.; MacAdam, J.W.; Melathopoulos, A.; Filley, S.J.; Ates, S. Management of perennial forbs sown with or without self-regenerating annual clovers for forage and nectar sources in a low-input dryland production system. Grass Forage Sci. 2023, in press. [Google Scholar] [CrossRef]
- Moot, D.J.; Smith, M.C.; Mills, A. Liveweight production, dry matter yield and seasonal composition from dryland lucerne and lucerne/grass mixes over five years. N. Z. J. Agric. 2020, 63, 272–300. [Google Scholar] [CrossRef]
- Kohler, F.; Verhulst, J.; Van Klink, R.; Kleijn, D. At what spatial scale do high-quality habitats enhance the diversity of forbs and pollinators in intensively farmed landscapes? J. Appl. Ecol. 2008, 45, 753–762. [Google Scholar] [CrossRef]
- Kimoto, C.; DeBano, S.J.; Thorp, R.W.; Taylor, R.V.; Schmalz, H.; DelCurto, T.; Johnson, T.; Kennedy, P.L.; Rao, S. Short-term responses of native bees to livestock and implications for managing ecosystem services in grasslands. Ecosphere 2012, 3, 1–19. [Google Scholar] [CrossRef]
- Lazaro, A.; Tscheulin, T.; Devalez, J.; Nakas, G.; Petanidou, T. Effects of grazing intensity on pollinator abundance and diversity, and on pollination services. Ecol. Entomol. 2016, 41, 400–412. [Google Scholar] [CrossRef]
- Ates, S.; Lucas, R.J.; Edwards, G.R. Effects of stocking rate and closing date on subterranean clover populations and dry matter production in dryland sheep pastures. N. Z. J. Agric 2013, 56, 22–36. [Google Scholar] [CrossRef]
- Macfarlane, M.J.; Crofoot, E.W.; Muir, P.D. Effects of closing date on seeding and hardseededness of balansa, gland, Persian and arrowleaf clovers on East Coast dryland. J. N. Z. Grassl. 2015, 77, 219–226. [Google Scholar] [CrossRef]
- USDA Web Soil Survey. 2022. Available online: https://websoilsurvey.sc.egov.usda.gov/App/WebSoilSurvey.aspx (accessed on 1 June 2023).
- Bransby, D.I. Compromises in the design and conduct of grazing experiments. Grazing Res. Des. Methodol. Anal. 1989, 16, 53–67. [Google Scholar]
- AOAC. Official Methods of Analysis of AOAC International, 20th ed.; AOAC International: Gaithersburg, MD, USA, 2016. [Google Scholar]
- Van Soest, P.J.; Robertson, J.B.; Lewis, B.A. Methods for dietary fiber, neutral detergent fiber, and nonstarch polysaccharides in relation to animal nutrition. J. Dairy Sci. 1991, 74, 3583–3597. [Google Scholar] [CrossRef] [PubMed]
- Westphal, C.; Bommarco, R.; Carré, G.; Lamborn, E.; Morison, N.; Petanidou, T.; Potts, S.G.; Roberts, S.P.; Szentgyörgyi, H.; Tscheulin, T.; et al. Measuring bee diversity in different European habitats and biogeographical regions. Ecol. Monogr. 2008, 78, 653–671. [Google Scholar] [CrossRef]
- Woodward, S.L.; Waugh, C.D.; Roach, C.G.; Fynn, D.; Phillips, J. Are diverse species mixtures better pastures for dairy farming? Proc. N. Z. Grassl. Assoc. 2013, 75, 79–84. [Google Scholar] [CrossRef]
- Daly, M.J.; Hunter, R.M.; Green, G.N.; Hunt, L. A comparison of multi-species pasture with ryegrass-white clover pasture under dryland conditions. Proc. N. Z. Grassl. Assoc. 1996, 58, 53–58. [Google Scholar] [CrossRef]
- Black, A.D.; Anderson, S.; Dalgety, S.K. Identification of pasture mixtures that maximize dry matter yield. J. N. Z. Grassl. 2017, 79, 103–109. [Google Scholar] [CrossRef]
- Li, G.D.; Kemp, P.D. Forage chicory Cichorium intybus L.: A review of its agronomy and animal production. Adv. Agron. 2005, 88, 187–222. [Google Scholar]
- Tejera, M.; Speranza, P.; Astigarraga, L.; Picasso, V. Forage biomass, soil cover, stability, and competition in perennial grass–legume pastures with different P aspalum species. Grass Forage Sci. 2016, 71, 575–583. [Google Scholar] [CrossRef]
- Thurston, C.L.; Grossman, J.M.; Fudge, R.; Maul, J.E.; Mirsky, S.; Wiering, N. Cold stress reduces nodulation and symbiotic nitrogen fixation in winter annual legume cover crops. Plant Soil 2022, 481, 661–676. [Google Scholar] [CrossRef]
- Andrew, A.C. Lamb Growth and Seasonal Herbage Production from Simple, Diverse, and Legume Pastures in an Agrivoltaic System. Master’s Thesis, Oregon State University, Corvallis, OR, USA, 2022. [Google Scholar]
- Lindemann, W.C.; Clover, C.R. Nitrogen Fixation by Legumes. Available online: https://pubs.nmsu.edu/_a/A129/ (accessed on 1 June 2023).
- Campbell, S.D.; Grice, A.C. Weed biology: A foundation for weed management. Trop. Grassl. 2000, 34, 271–279. [Google Scholar]
- Craig, A.D.; Ballard, R.A. Balansa clover (Trifolium michelianum)—A forage legume for temperate pastures. Cah. Options Mediterr. 2000, 45, 177–180. [Google Scholar]
- Rogers, M.E.; West, D. The effects of root zone salinity and hypoxia on shoot and root growth in Trifolium species. Ann. Bot. 1993, 72, 503–509. [Google Scholar] [CrossRef]
- Gultekin, Y.; Filley, S.J.; Smallman, M.A.; Hannaway, D.B.; Ates, S. Pasture production, persistence of legumes and lamb growth in summer-dry hill pastures. Grass Forage Sci. 2021, 76, 159–172. [Google Scholar] [CrossRef]
- Monks, D.P.; Moot, D.J.; Smith, M.C.; Lucas, R.J. Grazing management for regeneration of balansa clover in a cocksfoot pasture. Proc. N. Z. Grassl. Assoc. 2008, 70, 233–238. [Google Scholar] [CrossRef]
- Phelan, A.P.; Moloney, E.J.; McGeough, J.; Humphreys, J.; Bertilsson, E.G.; O’Kiely, P. Forage Legumes for Grazing and Conserving in Ruminant Production Systems. Crit. Rev. Plant Sci. 2015, 34, 281–326. [Google Scholar] [CrossRef]
- Speijers, M.H.M.; Fraser, M.D.; Theobald, V.J.; Haresign, W. The effects of grazing forage legumes on the performance of finishing lambs. J. Agric. Sci. 2004, 142, 483–493. [Google Scholar] [CrossRef]
- Wilson, R.L.; Bionaz, M.; MacAdam, J.W.; Beauchemin, K.A.; Naumann, H.D.; Ates, S. Milk production, nitrogen utilization, and methane emissions of dairy cows grazing grass, forb, and legume-based pastures. J. Anim. Sci. 2020, 98, 220. [Google Scholar] [CrossRef]
- Coulson, T.; Catchpole, E.A.; Albon, S.D.; Morgan, B.J.; Pemberton, J.M.; Clutton-Brock, T.H.; Crawley, M.J.; Grenfell, B.T. Age, sex, density, winter weather, and population crashes in Soay Sheep. Science 2001, 292, 1528–1531. [Google Scholar] [CrossRef]
- Taylor, M.A. Emerging parasitic diseases of sheep. Vet. Parasitol. 2012, 189, 2–7. [Google Scholar] [CrossRef]
- Younie, D.; Thamsborg, S.M.; Ambrosini, F.; Roderick, S. Grassland Management and Parasite Control. In Animal Health and Welfare in Organic Agriculture; CABI Publishing: Wallingford, UK, 2004; pp. 308–328. [Google Scholar]
- Athanasiadou, S.; Gray, D.; Younie, D.; Tzamaloukas, O.; Jackson, F.; Kyriazakis, I. The use of chicory for parasite control in organic ewes and their lambs. Parasitology 2007, 134, 299–307. [Google Scholar] [CrossRef]
- Grace, C.; Lynch, M.; Sheridan, H.; Lott, S.; Fritch, R.; Boland, T. Grazing multispecies swards improves ewe and lamb performance. Animal 2019, 13, 1721–1729. [Google Scholar] [CrossRef] [PubMed]
- Couvillon, M.J.; Riddell Pearce, F.C.; Accleton, C.; Fensome, K.A.; Quah, S.K.; Taylor, E.L.; Ratnieks, F.L. Honey bee foraging distance depends on month and forage type. Apidologie 2015, 46, 61–70. [Google Scholar] [CrossRef]
- Quinlan, G.M.; Milbrath, M.O.; Otto, C.R.V.; Isaacs, R. Farmland in U.S. conservation reserve program has unique floral composition that promotes bee summer foraging. Basic Appl. Ecol. 2021, 56, 358–368. [Google Scholar] [CrossRef]
- Kallenbach, R.L.; McGraw, R.L.; Beuselinck, P.R.; Roberts, C.A. Summer and Autumn Growth of Rhizomatous Birdsfoot Trefoil. Crop Sci. 2001, 41, 149–156. [Google Scholar] [CrossRef]
- Papanikolaou, A.D.; Kühn, I.; Frenzel, M.; Schweiger, O. Semi-natural habitats mitigate the effects of temperature rise on wild bees. J. Appl. Ecol. 2017, 54, 527–536. [Google Scholar] [CrossRef]
- Devantier, B.P.; Stevens, D.; Rennie, G.M.; Tozer, K. The effect of deferred grazing in spring and early summer pastures on pasture growth rate and feed quality. J. N. Z. Grassl. 2017, 79, 189–196. [Google Scholar] [CrossRef]






| Months | Air Temperature (°C) | Rainfall (mm) | ||||
|---|---|---|---|---|---|---|
| 2020/2021 | 2021/2022 | LTM * | 2020/2021 | 2021/2022 | LTM * | |
| September | 17.9 | 17.4 | 16.8 | 50 | 72 | 34 |
| October | 12.4 | 11.3 | 11.9 | 46 | 70 | 81 |
| November | 6.8 | 9.3 | 6.7 | 181 | 127 | 174 |
| December | 5.5 | 4.8 | 4.5 | 180 | 269 | 194 |
| January | 6.1 | 4.4 | 4.7 | 211 | 119 | 160 |
| February | 5.5 | 5.0 | 6.2 | 160 | 39 | 133 |
| March | 6.7 | 8.6 | 8.2 | 55 | 111 | 111 |
| April | 10.9 | 8.0 | 10.1 | 13 | 146 | 79 |
| May | 13.3 | 12.0 | 13.1 | 22 | 113 | 60 |
| June | 19.3 | 16.7 | 16.1 | 44 | 60 | 36 |
| July | 21.1 | - | 19.3 | 0 | - | 14 |
| August | 20.8 | - | 19.4 | 0 | - | 13 |
| Species | Scientific Names | Variety | Sowing Rate kg ha−1 | ||
|---|---|---|---|---|---|
| Simple | Diverse | Legume | |||
| Perennial Ryegrass (G) | Lolium perenne | Albion | 15 | 10 | |
| Festulolium (G) | Festulolium | Perseus | 5 | 5 | |
| Orchard Grass (G) | Dactylis glomerata | Quickdraw | 5 | 3 | |
| White Clover (L) | Trifolium repens | Domino | 4 | 2 | 3 |
| Subterranean Clover (L) | Trifolium subterraneum | Campeda and Denmark | 20 | 10 | 10 |
| Red Clover (L) | Trifolium pratense | Dynamite | 3 | ||
| Balansa Clover (L) | Trifolium michelianum Savi | Paradana | 2 | 2 | |
| Berseem Clover (L) | Trifolium alexandrinum | Frosty | 2 | 5 | |
| Birdsfoot Trefoil (L) | Lotus corniculatus | Bruce | 5 | 3.5 | |
| Bigleaf Trefoil (L) | Lotus pedunculatus | Not Specified | 3.5 | ||
| White Sweet Clover | Melilotus alba | Hubam | 1 | ||
| Chicory (H) | Cichorium intybus | Antler | 2 | ||
| Plantain (H) | Plantago lanceolata | Boston | 4 | ||
| Yarrow (H) | Achillea millefolium | Not Specified | 0.2 | ||
| Phacelia (H) | Phacelia tanacetifolia | Angelia | 1 | ||
| TOTAL | 49 | 46.2 | 31 | ||
| Year | Period | Simple | Diverse | Legume | SEM | p |
|---|---|---|---|---|---|---|
| Liveweight gain (g hd−1 d−1) | ||||||
| 12–27 April | 220 | 235 | - | 6.3 | 0.19 | |
| 2021 | 27 April–10 May | 224 | 252 | 316 | 21.4 | 0.05 |
| 10 May–8 June | 172 b | 174 b | 259 a | 14.3 | 0.01 | |
| 2022 | 28 March–6 May | 181 c | 220 b | 291 a | 10.6 | 0.01 |
| 6 May–16 June | 82 | 79 | 140 | 21.6 | 0.15 | |
| Liveweight production (kg ha−1 d−1) | ||||||
| 12–27 April | 11.9 | 12.7 | - | 0.35 | 0.19 | |
| 2021 | 27 April–10 May | 12.1 | 13.6 | 12.1 | 1.66 | 0.76 |
| 10 May–8 June | 9.3 | 9.4 | 9.9 | 0.80 | 0.83 | |
| 2022 | 28 March–6 May | 11.0 | 13.9 | 11.8 | 1.09 | 0.24 |
| 6 May–16 June | 5.0 | 5.0 | 4.0 | 0.96 | 0.69 | |
| Total liveweight production (kg ha−1) | ||||||
| 2021 | 12 April–8 June | 666 b | 704 a | 446 c | 38.7 | 0.01 |
| 2022 | 28 March–16 June | 628 | 745 | 581 | 58.7 | 0.20 |
| Dates | Diverse | Simple | Legume | SEM | p |
|---|---|---|---|---|---|
| 12 April 2021 | 212 | 288 | 129 | 91.9 | 0.51 |
| 6 June 2021 | 92 | 138 | 115 | 29.6 | 0.58 |
| 28 March 2022 | 622 | 1030 | 331 | 285.5 | 0.29 |
| 18 June 2022 | 289 a | 1247 b | 621 ab | 197.2 | 0.05 |
| Subterranean Clover | ||||||||
|---|---|---|---|---|---|---|---|---|
| Year | Closing Date | Simple | Diverse | Legume | SEM | p Values 1 | ||
| TRT | CD | TRT × CD | ||||||
| 12–14 May | 558 | 217 | 500 | |||||
| 2021 | 26–28 May | 1142 | 425 | 650 | 128.4 | 0.01 | 0.01 | 0.43 |
| 8 June | 908 | 500 | 617 | |||||
| 27 May | 250 | 300 | 313 | |||||
| 2022 | 6 June | 131 | 188 | 206 | 69.9 | 0.23 | 0.05 | 0.54 |
| 16 June | 150 | 50 | 269 | |||||
| Balansa Clover | ||||||||
| 12–14 May | - | 167 | 2300 | |||||
| 2021 | 26–28 May | - | 125 | 2531 | 215.3 | 0.01 | 0.90 | 0.80 |
| 8 June | - | 196 | 2406 | |||||
| 27 May | - | 413 | ||||||
| 2022 | 6 June | - | 456 | 97.5 | 0.93 | |||
| 16 June | - | 456 | ||||||
Disclaimer/Publisher’s Note: The statements, opinions and data contained in all publications are solely those of the individual author(s) and contributor(s) and not of MDPI and/or the editor(s). MDPI and/or the editor(s) disclaim responsibility for any injury to people or property resulting from any ideas, methods, instructions or products referred to in the content. |
© 2023 by the authors. Licensee MDPI, Basel, Switzerland. This article is an open access article distributed under the terms and conditions of the Creative Commons Attribution (CC BY) license (https://creativecommons.org/licenses/by/4.0/).
Share and Cite
Caudillo, M.; Melathopoulos, A.; Prado-Tarango, D.E.; Smallman, M.; Taylor, S.A.; Ates, S. Designing Management Strategies for Sheep Production and Bees in Dryland Pastures. Agronomy 2024, 14, 24. https://doi.org/10.3390/agronomy14010024
Caudillo M, Melathopoulos A, Prado-Tarango DE, Smallman M, Taylor SA, Ates S. Designing Management Strategies for Sheep Production and Bees in Dryland Pastures. Agronomy. 2024; 14(1):24. https://doi.org/10.3390/agronomy14010024
Chicago/Turabian StyleCaudillo, Mia, Andony Melathopoulos, David Eduardo Prado-Tarango, Mary Smallman, Sarah A. Taylor, and Serkan Ates. 2024. "Designing Management Strategies for Sheep Production and Bees in Dryland Pastures" Agronomy 14, no. 1: 24. https://doi.org/10.3390/agronomy14010024
APA StyleCaudillo, M., Melathopoulos, A., Prado-Tarango, D. E., Smallman, M., Taylor, S. A., & Ates, S. (2024). Designing Management Strategies for Sheep Production and Bees in Dryland Pastures. Agronomy, 14(1), 24. https://doi.org/10.3390/agronomy14010024

