Evaluation of Salicylic Acid Effects on Growth, Biochemical, Yield, and Anatomical Characteristics of Eggplant (Solanum melongena L.) Plants under Salt Stress Conditions
Abstract
1. Introduction
2. Materials and Methods
2.1. Determination Procedures
2.1.1. Plant Physical and Chemical Characteristics
2.1.2. Fruit Physical and Chemical Characteristics
2.2. Statistical Analysis
2.3. Anatomical Characteristics of Eggplant Leaf
3. Results
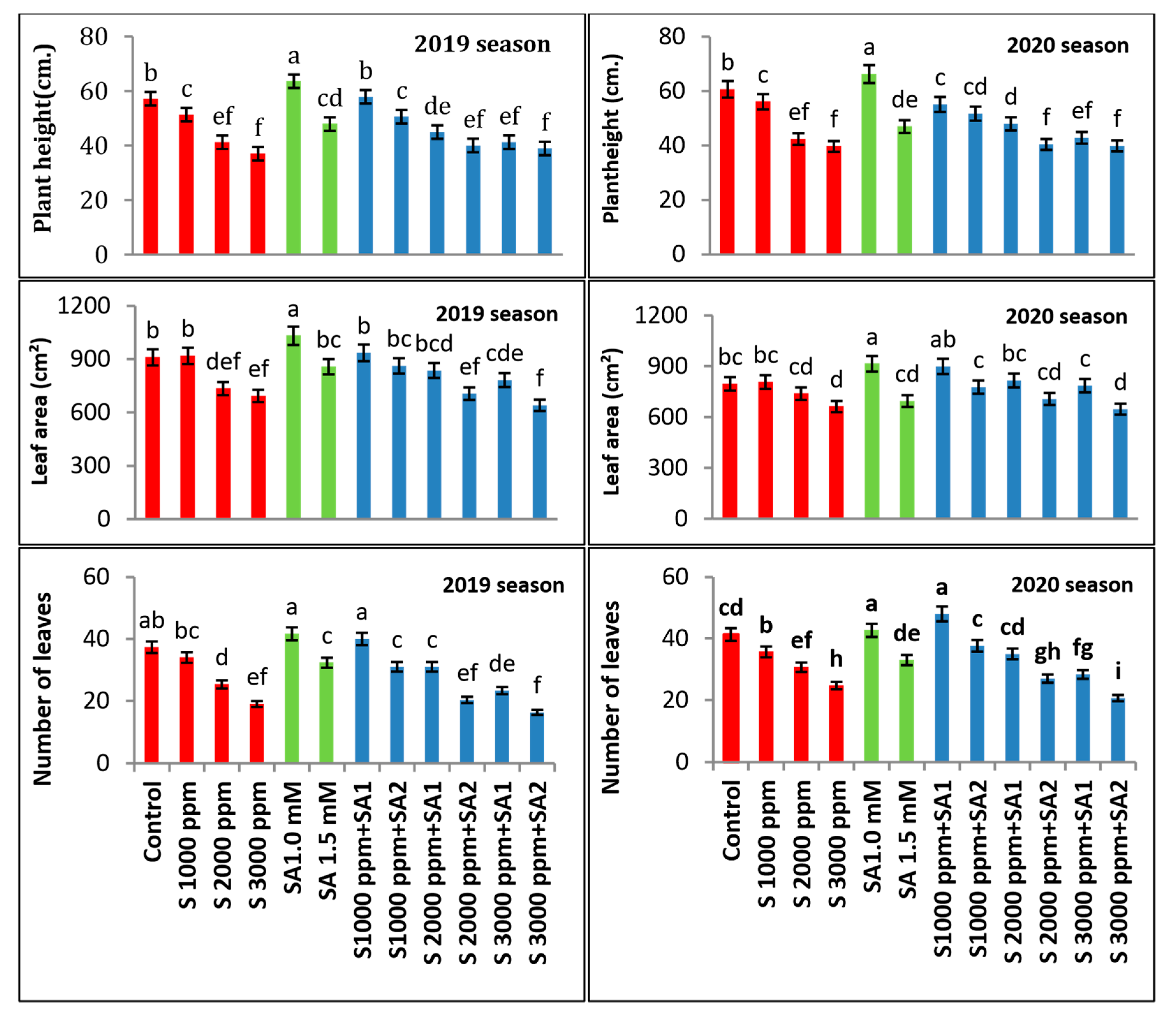
3.1. Plant Physical Parameters
3.2. Plant Chemical Constituents
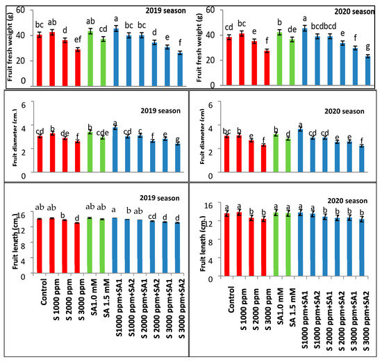
3.3. Fruit Physical Characteristics
3.4. Fruit Chemical Constituents
4. Anatomical Studies
4.1. SA Effect on Anatomical Structure in Leaves
4.2. The Interaction between S Levels and SA Concentrations on the Anatomical Structure in Leaves of the Studied Eggplant
5. Discussion
6. Anatomical Studies
7. Conclusions
Author Contributions
Funding
Data Availability Statement
Acknowledgments
Conflicts of Interest
References
- El-Sayed, H.A.; Eata, A.E.M.; Khater, A.K.A. Physiological studies on eggplant (Solanum melongena L.): Decreasing the effect of salinity by some foliar application substances on eggplant. J. Plant Prod. 2015, 6, 1153–1168. [Google Scholar] [CrossRef]
- Zhao, S.; Zhang, Q.; Liu, M.; Zhou, H.; Ma, C.; Wang, P. Regulation of plant responses to salt stress. Int. J. Mol. Sci. 2021, 22, 4609. [Google Scholar] [CrossRef] [PubMed]
- Balasubramaniam, T.; Guoxin, S.; Esmaeili, N.; Zhang, H. Plants’ response mechanisms to salinity stress. Plants 2023, 12, 2253. [Google Scholar] [CrossRef] [PubMed]
- Horváth, E.; Pál, M.; Szalai, G.; Páldi, E.; Janda, T. Exogenous 4- hydroxybenzoic acid and salicylic acid modulate the effect of short-term drought and freezing stress on wheat plants. Biol. Plant. 2007, 51, 480–487. [Google Scholar] [CrossRef]
- Simaei, M.; Khavari-Nejad, R.A.; Bernard, F. Exogenous application of salicylic acid and nitricoxide on the ionic contents and enzymatic activities in NaCl-stressed soybean plants. Amer. J. Plant Sci. 2012, 3, 1495–1503. [Google Scholar] [CrossRef]
- Jayakannan, M.; Bose, J.; Babourina, O.; Rengel, Z.; Shabala, S. Salicylic acid in plant salinity stress signaling and tolerance. J. Plant Growth Reg. 2015, 76, 2540. [Google Scholar] [CrossRef]
- Asensi-Fabado, M.; Munné-Bosch, S. The aba3-1 mutant of Arabidopsis thaliana withstands moderate doses of salt stress by modulating leaf growth and salicylic acid levels. J. Plant Growth Reg. 2011, 30, 456–466. [Google Scholar] [CrossRef]
- Hasanuzzaman, M.; Bhuyan, M.H.M.B.; Anne, T.I.; Parvin, K.; Nahar, K.; Maahmud, J.A.; Fujita, M. Regulation of ascorbate-glutathione pathway in mitigating oxidative damage in plants under abiotic stress. Antioxidants 2019, 8, 384. [Google Scholar] [CrossRef]
- Kaya, C.; Ashraf, M.; Alyemeni, M.N.; Ahmad, P. The role of endogenous nitric oxide in salicylic acid-induced up regulation of ascorbate-glutathione cycle involved in salinity tolerance of pepper (Capsicum annuum L.) plants. Plant Physiol. Biochem. 2020, 147, 12–20. [Google Scholar] [CrossRef]
- Dutra, W.F.; Melo, A.S.; Suassuna, J.F.; Dutra, A.F.; Silva, D.C.; Maia, J.M. Antioxidative responses of cowpea cultivars to water deficit and salicylic acid treatment. Agronomy 2017, 109, 895–905. [Google Scholar] [CrossRef]
- Costa, A.A.; Paiva, E.P.; Torres, S.B.; Souza Neta, M.L.; Pereira, K.T.O.; Leite, M.S.; SÁ, F.V.S.; Benedito, C.P. Osmoprotection in Salvia hispanica L. seeds under water stress attenuators. Braz. J. Biol. Rev. Bras. Biol. 2022, 82, e233547. [Google Scholar] [CrossRef] [PubMed]
- Jahan, M.S.; Wang, Y.; Shu, S.; Zhong, M.; Chen, Z.; Wu, J.; Sun, J.; Guo, S. Exogenous salicylic acid increases the heat tolerance in tomato (Solanum lycopersicum L.) by enhancing photosynthesis efficiency and improving antioxidant defense system through scavenging of reactive oxygen species. Sci. Hortic. 2019, 247, 421–429. [Google Scholar] [CrossRef]
- Muthulakshmi, S.; Lingakumar, K. Role of salicylic acid (SA) in plants—A review. Int. J. Appl. Res. 2017, 3, 33–37. [Google Scholar]
- Tohma, O.; Esitken, A. Response of salt stressed strawberry plants to foliar salicylic acid pre-treatments. J. Plant Nutr. 2011, 34, 590–599. [Google Scholar] [CrossRef]
- Faghih, S.; Zarei, A.; Ghobadi, C. Positive effects of plant growth regulators on physiology responses of Fragaria ananassa cv.‘Camarosa’ under salt stress. Int. J. Fruit Sci. 2019, 19, 104–114. [Google Scholar] [CrossRef]
- Bin-Jumah, M.; Abdel-Fattah, A.-F.M.; Saied, E.M.; El-Seedi, H.R.; Abdel-Daim, M.M. Acrylamide-induced peripheral neuropathy: Manifestations, mechanisms, and potential treatment modalities. Environ. Sci. Pollut. Res. 2021, 28, 13031–13046. [Google Scholar] [CrossRef]
- Roshdy, A.E.-D.; Alebidi, A.; Almutairi, K.; Al-Obeed, R.; Elsabagh, A. The effect of salicylic acid on the performances of salt stressed strawberry plants, enzymes activity, and salt tolerance index. Agronomy 2021, 11, 775. [Google Scholar] [CrossRef]
- Karami Chame, S.; Khalil-Tahmasbi, B.; ShahMahmoodi, P.; Abdollahi, A.; Fathi, A.; Seyed Mousavi, S.J.; Hossein Abadi, M.; Ghoreishi, S.; Bahamin, S. Effects of salinity stress, salicylic acid and Pseudomonas on the physiological characteristics and yield of seed beans (Phaseolus vulgaris). Sci. Agric. 2016, 14, 234–238. [Google Scholar]
- Zhang, Y.; Xu, S.; Yang, S.; Chen, Y. Salicylic acid alleviates cadmium-induced inhibition of growth and photosynthesis through upregulating antioxidant defense system in two melon cultivars (Cucumis melo L.). Protoplasma 2015, 252, 911–924. [Google Scholar] [CrossRef]
- Nazar, R.; Umar, S.; Khan, N.A. Exogenous salicylic acid improves photosynthesis and growth through increase in ascorbate-glutathione metabolism and S assimilation in mustard under salt stress. Plant Signal. 2015, 10, e1003751. [Google Scholar] [CrossRef]
- Alavi, S.M.N.; Arvin, M.J.; Kalantari, K.M. Salicylic acid and nitric oxide alleviate osmotic stress in wheat (Triticum aestivum L.) seedlings. J. Plant Interac. 2014, 9, 683–688. [Google Scholar] [CrossRef]
- Fayez, K.A.; Bazaid, S.A. Improving drought and salinity tolerance in barley by application of salicylic acid and potassium nitrate. J. Saudi Soc. Agric. Sci. 2014, 13, 45–55. [Google Scholar] [CrossRef]
- Makarova, S.; Makhotenko, A.; Spechenkova, N.; Love, A.J.; Kalinina, N.O.; Taliansky, M. Interactive responses of potato (Solanum tuberosum L.) plants to heat stress and infection with potato virus y. Front. Microbiol. 2018, 9, 2582. [Google Scholar] [CrossRef] [PubMed]
- Chen, S.; Zimei, L.; Cui, J.; Jiangang, D.; Xia, X.; Liu, D. Alleviation of chilling-induced oxidative damage by salicylic acid pretreatment and related gene expression in eggplant seedlings. Plant Growth Reg. 2011, 65, 101–108. [Google Scholar] [CrossRef]
- Khan, M.I.R.; Khan, N.A. Ethylene reverses photosynthetic inhibition by nickel and zinc in mustard through changes in PSII activity, photosynthetic nitrogen use efficiency, and antioxidant metabolism. Protoplasma 2014, 251, 1007–1019. [Google Scholar] [CrossRef]
- Palma, F.; López-Gómez, M.; Tejera, N.A.; Lluch, C. Salicylic acid improves the salinity tolerance of Medicago sativa in symbiosis with Sinorhizobium meliloti by preventing nitrogen fixation inhibition. Plant Sci. 2013, 208, 75–82. [Google Scholar] [CrossRef]
- Amirinejad, A.A.; Sayyari, M.; Ghanbari, F.; Kordi, S. Salicylic acid improves salinity-alkalinity tolerance in pepper (Capsicum annuum L.). Adv. Hort. Sci. 2017, 31, 157–163. [Google Scholar]
- Rafique, N.; Raza, S.H.; Qasim, M.; Iqbal, N. Pre-sowing application of ascorbic acid and salicylic acid to seed of pumpkin and seedling response to salt. Pak. J. Bot. 2011, 43, 2677–2682. [Google Scholar]
- Mimouni, H.; Wasti, S.; Manaa, A.; Gharbi, E.; Chalh, A.; Vandoorne, B.; Lutts, S.; Ahmed, H.B. Does salicylic acid (SA) improve tolerance to salt stress in plants? A study of SA effects on tomato plant growth, water dynamics, photosynthesis, and biochemical parameters. OMICS J. Integr. Biol. 2016, 20, 180–190. [Google Scholar] [CrossRef]
- Ribeiro, J.E.S.; Sousa, L.V.; Silva, T.I.; Nóbrega, J.S.; Figueiredo, F.R.A.; Bruno, R.L.A.; Dias, T.J.; Albuquerque, M.B. Citrullus lanatus morphophysiological responses to the combination of salicylic acid and salinity stress. Agrária 2020, 12, 1–13. [Google Scholar] [CrossRef]
- Nour, K.A.M.; Mansour, N.T.S.; Eisa, G.S.A. Effect of some antioxidants on some physiological and anatomical characters of snap bean plants under sandy soil conditions. N. Y. Sci. J. 2012, 5, 1–9. [Google Scholar]
- Abdelaal, K.A.A. Effect of salicylic acid and abscisic acid on morpho-physiological and anatomical characters of faba bean plants (Vicia faba L.) under drought stress. J. Plant Prod. 2015, 6, 1771–1788. [Google Scholar] [CrossRef]
- Gomaa, E.F.; Nassar, R.M.A.; Madkour, M.A. Effect of foliar spray with salicylic acid on vegetative growth, stem and leaf anatomy, photosynthetic pigments and productivity of Egyptian lupine Plant (Lupinus termis Forssk.). Int. J. Adv. Res. 2015, 3, 803–813. [Google Scholar]
- Koller, H.R. Leaf area-leaf weight relationships in the soybean canopy. Crop Sci. 1972, 12, 180–183. [Google Scholar] [CrossRef]
- Lichtenthaler, H.K. Chlorophylls and Carotenoids: Pigments of Photosynthetic Biomembranes. Methods Enzymol. 1987, 148, 350–382. [Google Scholar]
- Bates, S.; Waldren, R.; Teare, I.D. Rapid determination of free proline for water stress studies. Plant Soil 1973, 39, 205–207. [Google Scholar] [CrossRef]
- Smith, F.M.A.; Hamilton, G.D.K.; Geeds, P.A. Colorimetric method for determination of sugar and related substances. Anal. Chem. 1956, 28, 550. [Google Scholar]
- Lutts, S.; Kinet, J.; Bouharmont, J. NaCl induced senescence in leaves of rice (Oryza sativa) cultivars differing in Salicylic acid and saline stress in eggplant seedlings salinity resistance. Ann. Bot. 1996, 78, 389–398. [Google Scholar] [CrossRef]
- Korkmaz, A.; Korkmaz, Y.; Demirkiran, A.R. Enhancing chilling stress tolerance of pepper seedling by exogenous application of 5-aminolevolinic acid. Environ. Exp. Bot. 2010, 67, 495–501. [Google Scholar] [CrossRef]
- Association of Official Analytical Chemists. Official Methods of Analysis of AOAC International, 18th ed.; Association of Official Analytical Chemists: Washington, DC, USA, 2005. [Google Scholar]
- Rao, B.; Deshpande, V. Experimental Biochemistry; Anshan: Tunbridge Wells, UK, 2006. [Google Scholar]
- Snedecor, G.W.; Cochran, W.G. Statistical Methods, 8th ed.; Iowa State University Press: Ames, IA, USA, 1980. [Google Scholar]
- Nassar, M.A.; El-Sahar, K.F. Botanical Preparations and Microscopy (Microtechnique); Academic Bookshop: Giza, Egypt, 1998; 219p. (In Arabic) [Google Scholar]
- El-Taher, A.M.; Elzilal, H.A.; Abd El-Raouf, H.S.; Mady, E.; Alshallash, K.S.; Alnefaie, R.M.; Mahdy, E.M.; Ragab, O.G.; Emam, E.A.; Alaraidh, I.A.; et al. Characterization of some Cichorium taxa grown under Mediterranean climate using morphological traits and molecular markers. Plants 2023, 12, 388. [Google Scholar] [CrossRef]
- Chartzoulakis, K.S.; Loupassaki, M.H. Effects of NaCl salinity on germination, growth, gas exchange and yield of greenhouse eggplant. Agric. Water Manag. 1997, 32, 215–225. [Google Scholar] [CrossRef]
- Ünlükara, A.; Kurunç, A.; Kesmez, G.D.; Yurtseven, E.; Suarez, D.L. Effects of salinity on eggplant (Solanum melongena L.) growth and evapotranspiration. Irrig. Drain. 2010, 59, 203–214. [Google Scholar]
- Assaha, D.V.M.; Ueda, A.; Saneoka, H. Comparison of growth and mineral accumulation of two solanaceous species, Solanum scabrum Mill. (huckleberry) and S. melongena L. (eggplant), under salinity stress. Soil Sci. Plant Nutr. 2013, 59, 912–920. [Google Scholar] [CrossRef]
- Kaydan, D.; Okut, M.Y. Effects of salicylic acid on the growth and some physiological characters in salt stressed wheat (Triticum aestivum L.). Tarim Bİlimleri Dergisi 2007, 2, 114–119. [Google Scholar]
- Hussein, M.M.; El-Faham, S.Y.; Alva, A.K. Pepper plants growth, yield, photosynthetic pigments, and total phenols as affected by foliar application of potassium under different salinity irrigation water. Agric. Sci. 2012, 3, 241–248. [Google Scholar] [CrossRef]
- Salima, B.B.M.; Mohamed, S.; Hikalb, H.; Osmana, S. Ameliorating the deleterious effects of saline water on the antioxidants defense system and yield of eggplant using foliar application of zinc sulphate. Ann. Agric. Sci. 2019, 64, 244–251. [Google Scholar] [CrossRef]
- Schwarz, D.; Klaring, H.P.; Iersel, M.W.V.; Ingram, K.T. Growth and photosynthetic response of tomato to nutrient solution concentration at two light levels. J. Amer. Soc. Hort. Sci. 2002, 127, 984–990. [Google Scholar] [CrossRef]
- Foyer, C.H.; Shigeoka, S. Understanding oxidative stress and antioxidant functions to enhance photosynthesis. Plant Physiol. 2011, 155, 93–100. [Google Scholar] [CrossRef]
- Alsahli, A.; Mohamed, A.K.; Alaraidh, I.; Al-Ghamdi, A.; Al-Watban, A.; El-Zaidy, M.; Alzahrani, S.M. Salicylic acid alleviates salinity stress through the modulation of biochemical attributes and some key antioxidants in wheat seedlings. Pak. J. Bot. 2019, 51, 1551–1559. [Google Scholar] [CrossRef]
- Szepesi, Á. Influence of exogenous salicylic acid on antioxidant enzyme activities in the roots of salt stressed tomato plants. Acta Biol. Szeged. 2008, 52, 199–200. [Google Scholar]
- Aires, E.S.; Ferraz, A.K.L.; Carvalho, B.L.; Teixeira, F.P.; Rodrigues, J.D.; Ono, E.O. Foliar application of salicylic acid intensifies antioxidant system and photosynthetic efficiency in tomato plants. Bragantia 2022, 81, e1522. [Google Scholar] [CrossRef]
- Suhaib, M.; Ahmad, I.; Munir, M.; Iqbal, M.B.; Abuzar, M.K.; Ali, S. Salicylic acid induced and ionic efficiency in wheat under salt stress. Pak. J. Agric. Sci. 2018, 31, 79–85. [Google Scholar] [CrossRef]
- Khan, M.I.; Shoukat, M.A.; Cheema, S.A.; Ali, S.; Azam, M.; Rizwan, M.; Al-Wabel, M.I. Foliar-and soil-applied salicylic acid and bagasse compost addition to soil reduced deleterious effects of salinity on wheat. Arab. J. Geosci. 2019, 12, 78. [Google Scholar] [CrossRef]
- Loutfy, N.; Sakuma, Y.; Gupta, D.K.; Inouhe, M. Modifications of water status, growth rate and antioxidant system in two wheat cultivars as affected by salinity stress and salicylic acid. J. Plant Res. 2020, 133, 549–570. [Google Scholar] [CrossRef]
- Jaleel, A.; Sankar, B.; Sridharan, R.; Panneersel, R. Soil salinity alters growth, chlorophyll content, and secondary metabolite accumulation in Catharanthus roseus. Turk. J. Biol. 2008, 32, 79–83. [Google Scholar]
- Ferraz, R.L.S.; Magalhães, I.D.; Beltrão, N.E.M.; Melo, A.S.; Brito Neto, J.F.; Rocha, M.S. Photosynthetic pigments, cell extrusion and relative leaf water content of the castor bean under silicon and salinity. Rev. Bras. Eng. Agrícola Ambient. 2015, 19, 841–848. [Google Scholar] [CrossRef]
- Acosta-motos, J.R.; Ortuño, M.F.; Bernal-Vicente, A.; Diaz Vivancos, P.; Sanchez-Blanco, M.J.; Hernandez, J.A. Plant responses to salt stress: Adaptive mechanisms. Agronomy 2017, 7, 18. [Google Scholar] [CrossRef]
- Gadallah, M. Effects of indole-3-acetic acid and zinc on the growth, osmotic potential and soluble carbon and nitrogen components of soybean plants growing under water deficit. J. Arid Environ. 2000, 44, 451–467. [Google Scholar] [CrossRef]
- Ali, H.E.M.; Ismail, G.S.M. Tomato fruit quality as influenced by salinity and nitric oxide. Turk. J. Bot. 2014, 38, 122–129. [Google Scholar] [CrossRef]
- Benbella, M. Response of five sunflower genotypes (Helianthus annus L.) to different concentrations of sodium chloride. Helia 1999, 30, 125–138. [Google Scholar]
- Sousa, V.F.O.; Santos, A.S.; Sales, W.S.; Silva, A.J.; Gomes, F.A.L.; Dias, T.J.; Gonçalves-Neto, A.C.; Faraz, A.; Santos, J.P.O.; Santos, G.L.; et al. Exogenous application of salicylic acid induces salinity tolerance in eggplant seedlings. Braz. J. Biol. 2021, 84, e257739. [Google Scholar] [CrossRef] [PubMed]
- Borsani, O.; Valpuesta, V.; Botella, M.A. Evidence for a role of salicylic acid in the oxidative damage generated by NaCl and osmotic stress in Arabidopsis seedlings. J. Plant Physiol. 2001, 126, 1024–1030. [Google Scholar] [CrossRef] [PubMed]
- Szepesi, A.; Csiszar, J.; Bajkan, S.; Gemes, K.; Horvath, F.; Erdel, L.; Deer, A.K.; Simon, M.L.; Tari, I. Role of salicylic acid pre-treatment on the acclimation of tomato plants to salt- and osmotic stress. Acta Biol. Szeged. 2005, 49, 123–125. [Google Scholar]
- El-Tayeb, M. A Response of barley grain to the interactive effect of salinity and salicylic acid. Plant Growth Reg. 2005, 36, 767–772. [Google Scholar]
- De la Rosa, I.M.; Maiti, R.K. Biochemical mechanism in glossy Sorghum lines resistance to salinity stress. J. Plant Physiol. 1995, 146, 515–519. [Google Scholar] [CrossRef]
- Sairan, R.K.; Tyagi, A. Physiology and molecular biology of salinity stress tolerance in plants. Curr. Sci. 2004, 86, 407–421. [Google Scholar]
- Cárcamo, H.J.; Bustos, R.M.; Fernández, F.E.; Bastías, E.I. Mitigating effect of salicylic acid in the anatomy of the leaf of Zea mays L. lluteño ecotype from the Lluta Valley (Arica Chile) under NaCl. Idesia 2012, 30, 55–63. [Google Scholar] [CrossRef][Green Version]
- Farhangi-Abriz, S.; Ghassemi-Golezani, K. How can salicylic acid and jasmonic acid mitigate salt toxicity in soybean plants? Ecotox. Env. Saf. 2018, 147, 1010–1016. [Google Scholar] [CrossRef]
- Azooz, M.M.; Youssef, A.M.; Ahmad, P. Evaluation of salicylic acid (SA) application on growth, osmotic solutes and antioxidant enzyme activities on broad bean seedlings grown under diluted seawater. Int. J. Plant Physiol. Biochem. 2011, 3, 253–264. [Google Scholar]
- Javaheri, M.; Mashayekhi, K.; Dadkhah, A.; Tavallaee, F.Z. Effects of salicylic acid on yield and quality characters of tomato fruit (Lycopersicum esculentum Mill.). Intl. J. Agric. Crop Sci. 2012, 4, 1184–1187. [Google Scholar]
- Senaratna, T.; Touchell, D.; Bunn, T.; Dixon, K. Acetyl salicylic acid (aspirin) and salicylic acid induced multiple stress tolerance in bean and tomato plants. Plant Growth Reg. 2000, 30, 157–161. [Google Scholar] [CrossRef]
- Pirasteh-Anosheh, H.; Emam, Y.; Rousta, M.J.; Ashraf, M. Salicylic acid induced salinity tolerance through manipulation of ion distribution rather than ion accumulation. Plant Growth Reg. 2016, 36, 227–239. [Google Scholar] [CrossRef]
- Rajeshwari, V.; Bhuvaneshwari, V. Enhancing salinity tolerance in brinjal plants by application of salicylic acid. J. Plant Sci. 2017, 12, 46–51. [Google Scholar] [CrossRef][Green Version]
- Maslenkova, L.; Peeva, V.; Stojnova, Z.; Popova, L. Salicylic acid-induced changes in photosystem II reactions in barley plants. Biotech. Biotechnol. Equip. 2009, 23, 297–300. [Google Scholar] [CrossRef]
- Farouk, S.; Osman, M.A. The effect of plant defense elicitors on common bean (Phaseolus vulgaris L.) growth and yield in absence or presence of spider mite (Tetranychus urticae Koch.) infestation. J. Stress Physiol. Biochem. 2011, 7, 5–22. [Google Scholar]
- Swathy Lekshmi, S.; Jayadev, A. Influence of salt stress on the morphological physiological activity and anatomy of cowpea plant (Vigna unguiculata). IJAR 2017, 3, 281–288. [Google Scholar]
- Arnaout, S.M.A.I.; Kamel, N.H.; El-Mosallamy, H.M.H.; Boghdady, M.S. Effect of unihumic and aminomore on cowpea plants (Vigna unguiculata L.) grown under drought stress conditions. Zagazig J. Agric. Res. 2019, 46, 999–1019. [Google Scholar] [CrossRef]
- Nassar, M.A.; Azoz, D.N.; Wessam, S.; Serag El-Din, M. Improved growth and productivity of basil plants grown under salinity stress by foliar application with ascorbic acid. Middle East J. Agric. 2019, 8, 211–225. [Google Scholar]
- El-Taher, A.M.; Abd El-Raouf, H.S.; Osman, N.A.; Azoz, S.N.; Omar, M.A.; Elkelish, A.; Abd El-Hady, M.A. Effect of salt stress and foliar application of salicylic acid on morphological, biochemical, anatomical, and productivity characteristics of cowpea (Vigna unguiculata L.) plants. Plants 2021, 11, 115. [Google Scholar] [CrossRef]









| Level | CO3− | HCO3− | Cl− | SO4− | Ca++ | Mg++ | Na+ | K+ |
|---|---|---|---|---|---|---|---|---|
| 300 ppm (Control) | - | 2.8 | 1.3 | 0.1 | 1.6 | 1.3 | 1.1 | 0.2 |
| 1000 ppm | - | 2.8 | 9.6 | 0.2 | 2.1 | 3.1 | 7.1 | 0.3 |
| 2000 ppm | - | 2.8 | 21.5 | 0.5 | 2.5 | 5.9 | 15.9 | 0.5 |
| 3000 ppm | - | 2.8 | 32.1 | 0.8 | 3.1 | 9.3 | 22.6 | 0.7 |
| Soil Physical Characteristics | Soil Chemical Contents | ||||||||||
|---|---|---|---|---|---|---|---|---|---|---|---|
| Sand | Clay | Silt | Texture | pH | Cation (meq/L) | Anion (meq/L) | |||||
| 66.1 | 23.25 | 10.7 | Sand | 7.61 | Ca++ | Mg++ | Na+ | K+ | HCO3 | Cl− | SO4− |
| Clay | CO3− | ||||||||||
| Loam | 0.56 | 0.38 | 0.88 | 0.17 | 0.51 | 1.02 | 0.46 | ||||
| 0.00 | |||||||||||
| Months | Air Temperature (°C) | Relative Humidity (%) | ||
|---|---|---|---|---|
| Seasons | 2019 | 2020 | 2019 | 2020 |
| March | 21.1 | 18.1 | 48.00 | 51.1 |
| April | 27.4 | 21.1 | 38.6 | 50.00 |
| May | 29.5 | 25.5 | 50.2 | 42.8 |
| June | 30.2 | 27.8 | 53.4 | 44.4 |
| July | 31.2 | 29.2 | 54.4 | 55.9 |
| Treatments | Description |
|---|---|
| T1 | Control 300 ppm |
| T2 | S 1000 ppm |
| T3 | S 2000 ppm |
| T4 | S 3000 ppm |
| T5 | SA (1.0 mM) |
| T6 | SA (1.5 mM) |
| T7 | S 1000 ppm + SA (1.0 mM) |
| T8 | S 2000 ppm + SA (1.0 mM) |
| T9 | S 3000 ppm + SA (1.0 mM) |
| T10 | S 1000 ppm + SA (1.5 mM) |
| T11 | S 2000 ppm + SA (1.5 mM) |
| T12 | S 3000 ppm + SA (1.5 mM) |
Disclaimer/Publisher’s Note: The statements, opinions and data contained in all publications are solely those of the individual author(s) and contributor(s) and not of MDPI and/or the editor(s). MDPI and/or the editor(s) disclaim responsibility for any injury to people or property resulting from any ideas, methods, instructions or products referred to in the content. |
© 2023 by the authors. Licensee MDPI, Basel, Switzerland. This article is an open access article distributed under the terms and conditions of the Creative Commons Attribution (CC BY) license (https://creativecommons.org/licenses/by/4.0/).
Share and Cite
Mady, E.; Abd El-Wahed, A.H.M.; Awad, A.H.; Asar, T.O.; Al-Farga, A.; Abd El-Raouf, H.S.; Randhir, R.; Alnuzaili, E.S.; El-Taher, A.M.; Randhir, T.O.; et al. Evaluation of Salicylic Acid Effects on Growth, Biochemical, Yield, and Anatomical Characteristics of Eggplant (Solanum melongena L.) Plants under Salt Stress Conditions. Agronomy 2023, 13, 2213. https://doi.org/10.3390/agronomy13092213
Mady E, Abd El-Wahed AHM, Awad AH, Asar TO, Al-Farga A, Abd El-Raouf HS, Randhir R, Alnuzaili ES, El-Taher AM, Randhir TO, et al. Evaluation of Salicylic Acid Effects on Growth, Biochemical, Yield, and Anatomical Characteristics of Eggplant (Solanum melongena L.) Plants under Salt Stress Conditions. Agronomy. 2023; 13(9):2213. https://doi.org/10.3390/agronomy13092213
Chicago/Turabian StyleMady, Emad, Ahmed H. M. Abd El-Wahed, Asaad H. Awad, Turky O. Asar, Ammar Al-Farga, Hany S. Abd El-Raouf, Reena Randhir, Ehab S. Alnuzaili, Ahmed M. El-Taher, Timothy O. Randhir, and et al. 2023. "Evaluation of Salicylic Acid Effects on Growth, Biochemical, Yield, and Anatomical Characteristics of Eggplant (Solanum melongena L.) Plants under Salt Stress Conditions" Agronomy 13, no. 9: 2213. https://doi.org/10.3390/agronomy13092213
APA StyleMady, E., Abd El-Wahed, A. H. M., Awad, A. H., Asar, T. O., Al-Farga, A., Abd El-Raouf, H. S., Randhir, R., Alnuzaili, E. S., El-Taher, A. M., Randhir, T. O., & Hamada, F. A. (2023). Evaluation of Salicylic Acid Effects on Growth, Biochemical, Yield, and Anatomical Characteristics of Eggplant (Solanum melongena L.) Plants under Salt Stress Conditions. Agronomy, 13(9), 2213. https://doi.org/10.3390/agronomy13092213

