Effect of Biochar and Compost Addition on Mitigating Salinity Stress and Improving Fruit Quality of Tomato
Abstract
:1. Introduction
2. Materials and Methods
2.1. Chemicals
2.2. Experimental Setup
2.3. Physiological, Agronomic, and Biochemical Attributes
2.4. Quality Parameters
2.5. Statistical Analysis
3. Results
3.1. Impact of Compost and Biochar on Physiology and Growth of Tomato Plants under Salinity Stress
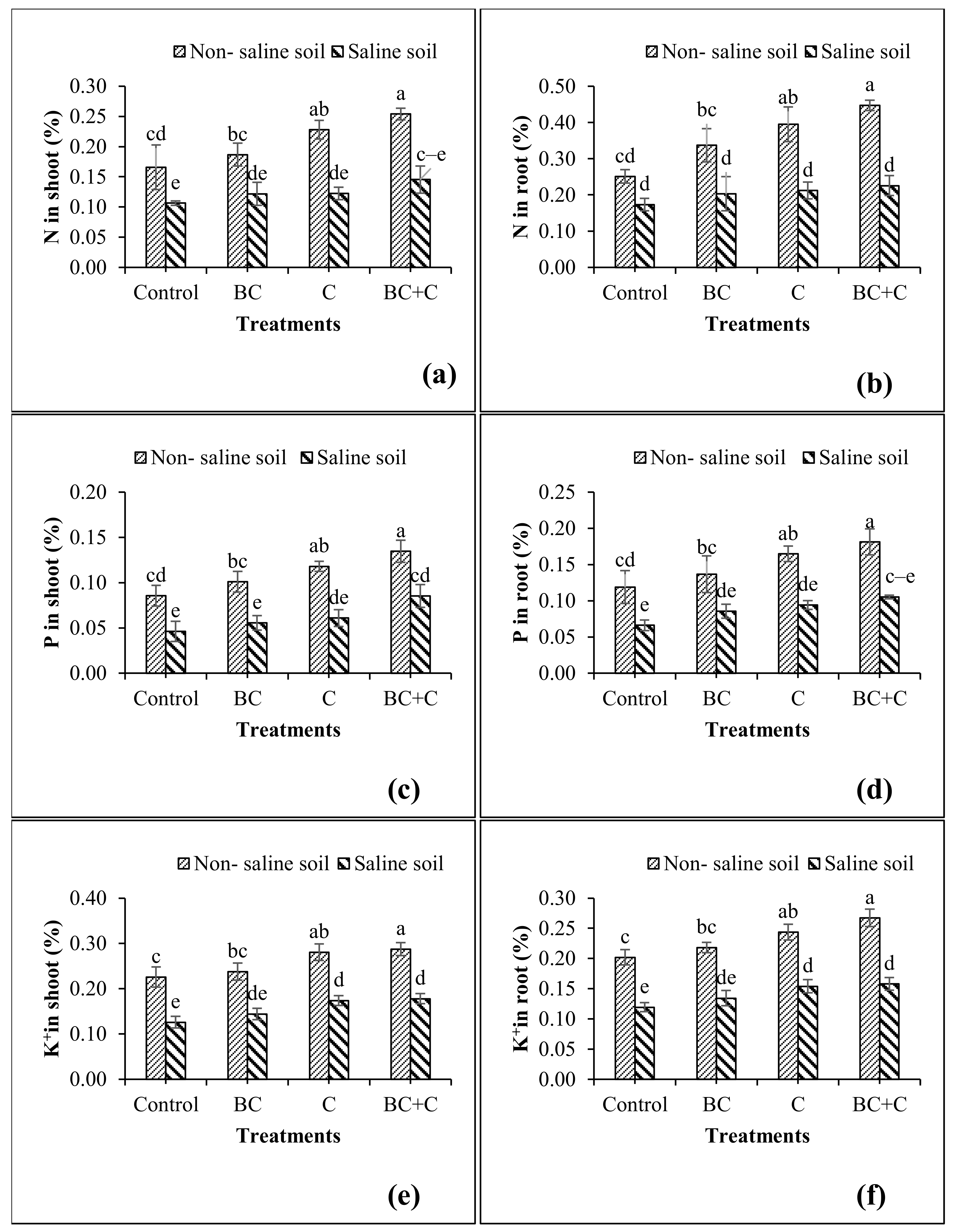
3.2. Impact of Compost and Biochar on Nutrient Uptake of Tomato Plants under Salinity Stress
3.3. Impact of Compost and Biochar on Fruit Quality Traits of Tomato under Salinity Stress
4. Discussion
5. Conclusions
Supplementary Materials
Author Contributions
Funding
Data Availability Statement
Acknowledgments
Conflicts of Interest
References
- Nikolaou, G.; Neocleous, D.; Christou, A.; Polycarpou, P.; Kitta, E.; Katsoulas, N. Energy and Water Related Parameters in Tomato and Cucumber Greenhouse Crops in Semiarid Mediterranean Regions. A Review, Part II: Irrigation and Fertigation. Horticulturae 2021, 7, 548. [Google Scholar] [CrossRef]
- Firdous, N. Significance of edible coating in mitigating postharvest losses of tomatoes in Pakistan: A review. J. Hortic. Postharvest Res. 2021, 4, 41–54. [Google Scholar]
- Xie, H.; Zhang, Y.; Wu, Z.; Lv, T. A bibliometric analysis on land degradation: Current status, development, and future directions. Land 2020, 9, 28. [Google Scholar] [CrossRef]
- Syed, A.; Sarwar, G.; Shah, S.H.; Muhammad, S. Soil salinity research in 21st century in Pakistan: Its impact on availability of plant nutrients, growth and yield of crops. Commun. Soil Sci. Plant Anal. 2021, 52, 183–200. [Google Scholar] [CrossRef]
- Kumar, A.; Singh, S.; Gaurav, A.K.; Srivastava, S.; Verma, J.P. Plant growth-promoting bacteria: Biological tools for the mitigation of salinity stress in plants. Front. Microbiol. 2020, 11, 1216. [Google Scholar] [CrossRef]
- Zhu, T.; Shao, T.; Liu, J.; Li, N.; Long, X.; Gao, X.; Rengel, Z. Improvement of physico-chemical properties and microbiome in different salinity soils by incorporating Jerusalem artichoke residues. Appl. Soil Ecol. 2021, 158, 103791. [Google Scholar] [CrossRef]
- Javaid, T.; Farooq, M.A.; Akhtar, J.; Saqib, Z.A.; Anwar-ul-Haq, M. Silicon nutrition improves growth of salt-stressed wheat by modulating flows and partitioning of Na+, Cl− and mineral ions. Plant Physiol. Biochem. 2019, 141, 291–299. [Google Scholar] [CrossRef]
- Acosta-Motos, J.R.; Ortuño, M.F.; Bernal-Vicente, A.; Diaz-Vivancos, P.; Sanchez-Blanco, M.J.; Hernandez, J.A. Plant responses to salt stress: Adaptive mechanisms. Agronomy 2017, 7, 18. [Google Scholar] [CrossRef]
- She, D.; Sun, X.; Gamareldawla, A.H.; Nazar, E.A.; Hu, W.; Edith, K. Benefits of soil biochar amendments to tomato growth under saline water irrigation. Sci. Rep. 2018, 8, 14743. [Google Scholar] [CrossRef]
- Simiele, M.; De Zio, E.; Montagnoli, A.; Terzaghi, M.; Chiatante, D.; Scippa, G.S.; Trupiano, D. Biochar and/or Compost to Enhance Nursery-Produced Seedling Performance: A Potential Tool for Forest Restoration Programs. Forests 2022, 13, 550. [Google Scholar] [CrossRef]
- Guo, X.-X.; Liu, H.-T.; Zhang, J. The role of biochar in organic waste composting and soil improvement: A review. Waste Manag. 2020, 102, 884–899. [Google Scholar] [CrossRef] [PubMed]
- Ali, M.H.; Khan, M.I.; Bashir, S.; Azam, M.; Naveed, M.; Qadri, R.; Bashir, S.; Mehmood, F.; Shoukat, M.A.; Li, Y. Biochar and Bacillus sp. MN54 Assisted Phytoremediation of Diesel and Plant Growth Promotion of Maize in Hydrocarbons Contaminated Soil. Agronomy 2021, 11, 1795. [Google Scholar] [CrossRef]
- Cao, Y.; Gao, Y.; Li, J.; Tian, Y. Straw composts, gypsum and their mixtures enhance tomato yields under continuous saline water irrigation. Agric. Water Manag. 2019, 223, 105721. [Google Scholar] [CrossRef]
- Gondek, M.; Weindorf, D.C.; Thiel, C.; Kleinheinz, G. Soluble salts in compost and their effects on soil and plants: A review. Compost Sci. Util. 2020, 28, 59–75. [Google Scholar] [CrossRef]
- Al-Daej, M.I. Salt tolerance of some tomato (Solanum lycoversicum L.) cultivars for salinity under controlled conditions. Am. J. Plant Physiol. 2018, 13, 58–64. [Google Scholar]
- Richards, L.A. Diagnosis and Improvement of Saline and Alkali Soils; Agriculture, 160, Handbook 60; US Department of Agriculture: Washington, DC, USA, 1954. [Google Scholar]
- Khaled, H.; Fawy, H.A. Effect of different levels of humic acids on the nutrient content, plant growth, and soil properties under conditions of salinity. Soil Water Res. 2011, 6, 21–29. [Google Scholar] [CrossRef]
- Islam, M.A.; Islam, S.; Akter, A.; Rahman, M.H.; Nandwani, D. Effect of organic and inorganic fertilizers on soil properties and the growth, yield and quality of tomato in Mymensingh, Bangladesh. Agriculture 2017, 7, 18. [Google Scholar] [CrossRef]
- Estefan, G.; Sommer, R.; Ryan, J. Methods of Soil, Plant, and Water Analysis: A Manual for the West Asia and North Africa Region, 3rd ed.; International Center for Agricultural Research in the Dry Areas (ICARDA): Beirut, Lebanon, 2013. [Google Scholar]
- Sairam, R.K.; Rao, K.V.; Srivastava, G. Differential response of wheat genotypes to long term salinity stress in relation to oxidative stress, antioxidant activity and osmolyte concentration. Plant Sci. 2002, 163, 1037–1046. [Google Scholar] [CrossRef]
- Arnon, D.I. Copper enzymes in isolated chloroplasts. Polyphenoloxidase in Beta vulgaris. Plant Physiol. 1949, 24, 1. [Google Scholar] [CrossRef]
- Davidson, J.; Mathieson, J.; Boyne, A. The use of automation in determining nitrogen by the Kjeldahl method, with final calculations by computer. Analyst 1970, 95, 181–193. [Google Scholar] [CrossRef]
- Chapman, H.; Pratt, P. Methods of analysis for soils. Plants Waters 1961, 169, 176. [Google Scholar]
- Steel, R.G.; Torrie, J.H. Principles and Procedures of Statistics: A Biometrical Approach; McGraw-Hill: New York, NY, USA, 1980; Volume 2. [Google Scholar]
- Kumar, S.; Li, G.; Yang, J.; Huang, X.; Ji, Q.; Liu, Z.; Ke, W.; Hou, H. Effect of salt stress on growth, physiological parameters, and ionic concentration of water dropwort (Oenanthe javanica) cultivars. Front. Plant Sci. 2021, 12, 660409. [Google Scholar] [CrossRef] [PubMed]
- Zhang, Y.; Liang, Y.; Zhao, X.; Jin, X.; Hou, L.; Shi, Y.; Ahammed, G.J. Silicon compensates phosphorus deficit-induced growth inhibition by improving photosynthetic capacity, antioxidant potential, and nutrient homeostasis in tomato. Agronomy 2019, 9, 733. [Google Scholar] [CrossRef]
- Safdar, H.; Amin, A.; Shafiq, Y.; Ali, A.; Yasin, R.; Shoukat, A.; Hussan, M.U.; Sarwar, M.I. A review: Impact of salinity on plant growth. Nat. Sci. 2019, 17, 34–40. [Google Scholar]
- Ors, S.; Ekinci, M.; Yildirim, E.; Sahin, U.; Turan, M.; Dursun, A. Interactive effects of salinity and drought stress on photosynthetic characteristics and physiology of tomato (Lycopersicon esculentum L.) seedlings. South Afr. J. Bot. 2021, 137, 335–339. [Google Scholar] [CrossRef]
- Khoshbakht, D.; Asghari, M.; Haghighi, M. Effects of foliar applications of nitric oxide and spermidine on chlorophyll fluorescence, photosynthesis and antioxidant enzyme activities of citrus seedlings under salinity stress. Photosynthetica 2018, 56, 1313–1325. [Google Scholar] [CrossRef]
- Mozafariyan, M.; Kamelmanesh, M.M.; Hawrylak-Nowak, B. Ameliorative effect of selenium on tomato plants grown under salinity stress. Arch. Agron. Soil Sci. 2016, 62, 1368–1380. [Google Scholar] [CrossRef]
- Xiaoqin, S.; Dongli, S.; Yuanhang, F.; Hongde, W.; Lei, G. Three-dimensional fractal characteristics of soil pore structure and their relationships with hydraulic parameters in biochar-amended saline soil. Soil Tillage Res. 2021, 205, 104809. [Google Scholar] [CrossRef]
- Khan, M.I.; Afzal, M.J.; Bashir, S.; Naveed, M.; Anum, S.; Cheema, S.A.; Wakeel, A.; Sanaullah, M.; Ali, M.H.; Chen, Z. Improving nutrient uptake, growth, yield and protein content in chickpea by the co-addition of phosphorus fertilizers, organic manures, and Bacillus sp. Mn-54. Agronomy 2021, 11, 436. [Google Scholar] [CrossRef]
- Rekaby, S.A.; Awad, M.; Majrashi, A.; Ali, E.F.; Eissa, M.A. Corn cob-derived biochar improves the growth of saline-irrigated quinoa in different orders of Egyptian soils. Horticulturae 2021, 7, 221. [Google Scholar] [CrossRef]
- He, K.; He, G.; Wang, C.; Zhang, H.; Xu, Y.; Wang, S.; Kong, Y.; Zhou, G.; Hu, R. Biochar amendment ameliorates soil properties and promotes Miscanthus growth in a coastal saline-alkali soil. Appl. Soil Ecol. 2020, 155, 103674. [Google Scholar] [CrossRef]
- Rasool, M.; Akhter, A.; Soja, G.; Haider, M.S. Role of biochar, compost and plant growth promoting rhizobacteria in the management of tomato early blight disease. Sci. Rep. 2021, 11, 6092. [Google Scholar] [CrossRef] [PubMed]
- Ali, M.H.; Sattar, M.T.; Khan, M.I.; Naveed, M.; Rafique, M.; Alamri, S.; Siddiqui, M.H. Enhanced growth of mungbean and remediation of petroleum hydrocarbons by Enterobacter sp. MN17 and biochar addition in diesel contaminated soil. Appl. Sci. 2020, 10, 8548. [Google Scholar] [CrossRef]
- Wu, Z.; Fan, Y.; Qiu, Y.; Hao, X.; Li, S.; Kang, S. Response of yield and quality of greenhouse tomatoes to water and salt stresses and biochar addition in Northwest China. Agric. Water Manag. 2022, 270, 107736. [Google Scholar] [CrossRef]
- Castiglione, S.; Oliva, G.; Vigliotta, G.; Novello, G.; Gamalero, E.; Lingua, G.; Cicatelli, A.; Guarino, F. Effects of compost amendment on glycophyte and halophyte crops grown on saline soils: Isolation and characterization of rhizobacteria with plant growth promoting features and high salt resistance. Appl. Sci. 2021, 11, 2125. [Google Scholar] [CrossRef]
- Al Hinai, M.S.; Ullah, A.; Al-Rajhi, R.S.; Farooq, M. Proline accumulation, ion homeostasis and antioxidant defence system alleviate salt stress and protect carbon assimilation in bread wheat genotypes of Omani origin. Environ. Exp. Bot. 2022, 193, 104687. [Google Scholar] [CrossRef]
- Khan, M.I.; Shoukat, M.A.; Cheema, S.A.; Ali, S.; Azam, M.; Rizwan, M.; Qadri, R.; Al-Wabel, M.I. Foliar-and soil-applied salicylic acid and bagasse compost addition to soil reduced deleterious effects of salinity on wheat. Arab. J. Geosci. 2019, 12, 78. [Google Scholar] [CrossRef]
- Arif, Y.; Singh, P.; Siddiqui, H.; Bajguz, A.; Hayat, S. Salinity induced physiological and biochemical changes in plants: An omic approach towards salt stress tolerance. Plant Physiol. Biochem. 2020, 156, 64–77. [Google Scholar] [CrossRef]
- Zhang, M.; Liang, X.; Wang, L.; Cao, Y.; Song, W.; Shi, J.; Lai, J.; Jiang, C. A HAK family Na+ transporter confers natural variation of salt tolerance in maize. Nat. Plant. 2019, 5, 1297–1308. [Google Scholar] [CrossRef]
- Balasubramaniam, T.; Shen, G.; Esmaeili, N.; Zhang, H. Plants’ Response Mechanisms to Salinity Stress. Plants 2023, 12, 2253. [Google Scholar] [CrossRef]
- Ur Rahman, S.; Basit, A.; Ara, N.; Ullah, I. Morpho-physiological Responses of Tomato Genotypes Under Saline Conditions. Gesunde Pflanz. 2021, 73, 541–553. [Google Scholar] [CrossRef]
- Aghighi Shahverdi, M.; Omidi, H.; Damalas, C.A. Foliar fertilization with micronutrients improves Stevia rebaudiana tolerance to salinity stress by improving root characteristics. Braz. J. Bot. 2020, 43, 55–65. [Google Scholar] [CrossRef]
- Rasel, M.; Tahjib-Ul-Arif, M.; Hossain, M.A.; Hassan, L.; Farzana, S.; Brestic, M. Screening of salt-tolerant rice landraces by seedling stage phenotyping and dissecting biochemical determinants of tolerance mechanism. J. Plant Growth Regul. 2021, 40, 1853–1868. [Google Scholar] [CrossRef]
- Khare, R.; Jain, P. Salt Ion and Nutrient Interactions in Crop Plants: Prospective Signaling. In Physiology of Salt Stress in Plants: Perception, Signalling, Omics and Tolerance Mechanism; John Wiley & Sons Ltd.: Hoboken, NJ, USA, 2021; pp. 74–86. [Google Scholar]
- Oo, A.; Iwai, C.; Saenjan, P. Soil properties and maize growth in saline and nonsaline soils using cassava-industrial waste compost and vermicompost with or without earthworms. Land Degrad. Dev. 2015, 26, 300–310. [Google Scholar] [CrossRef]
- Irfan, M.; Mudassir, M.; Khan, M.J.; Dawar, K.M.; Muhammad, D.; Mian, I.A.; Ali, W.; Fahad, S.; Saud, S.; Hayat, Z. Heavy metals immobilization and improvement in maize (Zea mays L.) growth amended with biochar and compost. Sci. Rep. 2021, 11, 18416. [Google Scholar] [CrossRef]
- Otaiku, A.A.; Soretire, A.; Mmom, P. Biofertilizer Impacts on Soybean (Glycine max L.) Cultivation, Humid Tropics: Biological Nitrogen Fixation, Yield, Soil Health and Smart Agriculture Framework. Int. J. Agric. Ext. Rural. Dev. Stud. 2022, 9, 38–139. [Google Scholar]
- Gupta, S.; Schillaci, M.; Walker, R.; Smith, P.; Watt, M.; Roessner, U. Alleviation of salinity stress in plants by endophytic plant-fungal symbiosis: Current knowledge, perspectives and future directions. Plant Soil 2021, 461, 219–244. [Google Scholar] [CrossRef]
- Tammam, A.A.; Rabei Abdel Moez Shehata, M.; Pessarakli, M.; El-Aggan, W.H. Vermicompost and its role in alleviation of salt stress in plants—I. Impact of vermicompost on growth and nutrient uptake of salt-stressed plants. J. Plant Nutr. 2023, 46, 1446–1457. [Google Scholar] [CrossRef]
- Joshi, S.; Nath, J.; Singh, A.K.; Pareek, A.; Joshi, R. Ion transporters and their regulatory signal transduction mechanisms for salinity tolerance in plants. Physiol. Plant. 2022, 174, e13702. [Google Scholar] [CrossRef]
- Hameeda, S.G.; Bano, G.; Manzoor, M.; Chandio, T.A.; Awan, A.A. Biochar and manure influences tomato fruit yield, heavy metal accumulation and concentration of soil nutrients under wastewater irrigation in arid climatic conditions. Cogent Food Agric. 2019, 5, 1576406. [Google Scholar] [CrossRef]



| Treatments | SPAD Value | Ft (µmol m−2 s−1) | PAR (µmol m−2 s−1) | YII (µmol m−2 s−1) | ETR (µmol m−2 s−1) | MSI (%) | RWC (%) | Chl. a (mg g−1 F.Wt.) | Chl. b (mg g−1 F.Wt.) | Total Chl (mg g−1 F.Wt.) |
|---|---|---|---|---|---|---|---|---|---|---|
| Non-saline soil | ||||||||||
| Control | 47.9 ± 2.7 ab | 211 ± 18.4 bc | 412 ± 28.0 ab | 0.60 ± 0.1 abc | 82.4 ± 4.9 bc | 83.1 ± 2.4 abc | 73.1 ± 1.6 bc | 1.73 ± 0.1 c | 1.07 ± 0.1 bc | 2.80 ± 0.1 b |
| BC | 49.9 ± 2.4 ab | 263 ± 38.1 ab | 432 ± 29.7 ab | 0.67 ± 0.1 ab | 93.5 ± 3.1 ab | 89.5 ± 3.0 ab | 80.2 ± 2.0 ab | 1.96 ± 0.1 ab | 1.17 ± 0.1 ab | 3.13 ± 0.2 ab |
| C | 51.3 ± 2.9 ab | 295 ± 28.0 a | 466 ± 34.3 a | 0.67 ± 0.1 ab | 99.9 ± 4.9 a | 90.5 ± 2.6 a | 82.5 ± 3.1 a | 2.11 ± 0.1 a | 1.24 ± 0.1 ab | 3.35 ± 0.1 a |
| BC + C | 50.2 ± 1.3 c | 284 ± 15.7 ab | 469 ± 17.1 a | 0.69 ± 0.1 a | 102.9± 3.9 a | 91.4 ± 2.5 a | 82.8 ± 3.3 a | 2.15 ± 0.1 a | 1.28 ± 0.1 a | 3.43 ± 0.1 a |
| Saline soil | ||||||||||
| S | 34.2 ± 2.8 d | 162 ± 14.5 cd | 270 ± 22.2 d | 0.51 ± 0.1 cd | 61.5 ± 9.2 d | 64.2 ± 3.7 d | 64.2 ± 3.9 c | 1.42 ± 0.1 d | 0.92 ± 0.1 c | 2.34 ± 0.2 cd |
| S + C | 45.9 ± 4.0 ab | 271 ± 42.6 ab | 372 ± 47.6 bc | 0.55 ± 0.1 bc | 74.5 ± 4.1 cd | 80.5 ± 2.0 bc | 77.8 ± 2.9 ab | 1.76 ± 0.1 bc | 1.22 ± 0.1 ab | 2.98 ± 0.1 b |
| S + BC | 42.4 ± 3.1 bc | 223 ± 21.5 abc | 309 ± 38.9 cd | 0.56± 0.1 bc | 72.8 ± 4.4 cd | 77.1 ± 5.7 c | 75.4 ± 4.4 ab | 1.67 ± 0.1 c | 1.18 ± 0.1 ab | 2.85 ± 0.1 b |
| S + BC + C | 46.4 ± 3.0 ab | 251 ± 22.4 ab | 348 ± 23.1 bcd | 0.57 ± 0.1 abc | 81.7 ± 3.4 bc | 82.9 ± 3.4 abc | 78.9 ± 3.3 ab | 1.84 ± 0.1 bc | 1.26 ± 0.1 ab | 3.10 ± 0.1 ab |
| F/P | SL (cm) | SFW (g) | SDW (g) | RL (cm) | RFW (g) | RDW (g) | Fr/P | |
|---|---|---|---|---|---|---|---|---|
| Non-saline soil | ||||||||
| Control | 45.3 ± 8.0 abcd | 62.3 ± 3.5 b | 37.2 ± 5.2 bc | 7.97 ± 0.6 b | 17.3 ± 1.5 bcd | 10.9 ± 0.9 bc | 2.40 ± 0.2 abc | 7.67 ± 1.5 abcd |
| BC | 49.7 ± 6.5 abc | 67.3 ± 1.5 ab | 40.4 ± 2.5 ab | 8.80 ± 0.3 ab | 19.3 ± 2.1 abc | 12.2 ± 1.2 ab | 2.48 ± 0.3 abc | 8.67 ± 2.1 abc |
| C | 52.3 ± 4.1 ab | 71.6 ± 3.1 a | 42.8 ± 3.1 a | 9.43 ± 0.2 a | 21.3 ± 3.1 ab | 13.1 ± 0.7 a | 2.81 ± 0.2 ab | 9.67 ± 1.2 ab |
| BC + C | 59.3 ±5.7 a | 74.67 ± 2.1 a | 46.1 ± 5.4 a | 9.70 ± 0.2 a | 23.3 ± 1.5 a | 13.7 ± 0.6 a | 2.97 ± 0.3 a | 10.3 ± 1.5 a |
| Saline soil | ||||||||
| S | 25.3 ± 6.0 e | 41.7 ± 4.2 e | 23.5 ± 2.7 e | 4.73 ± 0.4 e | 12.3 ± 0.6 d | 7.27 ± 0.7 d | 1.59 ±0.2 d | 4.33 ± 1.5 d |
| S + C | 33.7 ± 7.0 cde | 52.0 ± 2.6 cd | 29.9 ± 5.1 de | 6.13 ± 0.4 cd | 16.3 ± 0.6 bcd | 9.30 ± 0.7 cd | 2.00 ± 0.2 cd | 6.00 ± 1.0 bcd |
| S + BC | 30.0 ± 4.6 de | 49.7 ± 4.2 de | 27.8 ± 3.9 de | 5.47 ± 0.2 de | 15.0 ± 2.6 cd | 8.97 ± 0.4 cd | 1.89 ± 0.2 cd | 5.33 ± 1.5 cd |
| S + BC + C | 35.0 ± 6.6 bcde | 59.0 ± 3.0 bc | 32.7 ± 2.9 cd | 6.47 ± 0.3 c | 18.7 ± 2.1 abc | 9.70 ± 0.8 c | 2.23 ± 0.2 bcd | 6.33 ± 0.6 abcd |
Disclaimer/Publisher’s Note: The statements, opinions and data contained in all publications are solely those of the individual author(s) and contributor(s) and not of MDPI and/or the editor(s). MDPI and/or the editor(s) disclaim responsibility for any injury to people or property resulting from any ideas, methods, instructions or products referred to in the content. |
© 2023 by the authors. Licensee MDPI, Basel, Switzerland. This article is an open access article distributed under the terms and conditions of the Creative Commons Attribution (CC BY) license (https://creativecommons.org/licenses/by/4.0/).
Share and Cite
Ud Din, M.M.; Khan, M.I.; Azam, M.; Ali, M.H.; Qadri, R.; Naveed, M.; Nasir, A. Effect of Biochar and Compost Addition on Mitigating Salinity Stress and Improving Fruit Quality of Tomato. Agronomy 2023, 13, 2197. https://doi.org/10.3390/agronomy13092197
Ud Din MM, Khan MI, Azam M, Ali MH, Qadri R, Naveed M, Nasir A. Effect of Biochar and Compost Addition on Mitigating Salinity Stress and Improving Fruit Quality of Tomato. Agronomy. 2023; 13(9):2197. https://doi.org/10.3390/agronomy13092197
Chicago/Turabian StyleUd Din, Muhammad Mughees, Muhammad Imran Khan, Muhammad Azam, Muhammad Hayder Ali, Rashad Qadri, Muhammad Naveed, and Abdul Nasir. 2023. "Effect of Biochar and Compost Addition on Mitigating Salinity Stress and Improving Fruit Quality of Tomato" Agronomy 13, no. 9: 2197. https://doi.org/10.3390/agronomy13092197
APA StyleUd Din, M. M., Khan, M. I., Azam, M., Ali, M. H., Qadri, R., Naveed, M., & Nasir, A. (2023). Effect of Biochar and Compost Addition on Mitigating Salinity Stress and Improving Fruit Quality of Tomato. Agronomy, 13(9), 2197. https://doi.org/10.3390/agronomy13092197

