Abstract
Soil salinization is a common abiotic stress that severely limits the growth of Reaumuria soongarica and reduces its application value. To better understand the response of R. soongarica to salt stress and the physiological mechanisms of exogenous Ca2+ and NO compound treatment in alleviating salt stress, the growth parameters, antioxidant system, carbohydrate metabolism and nitrogen compound metabolism were compared on Days 0, 1, 3, 6, 9, 15 and 30. The results showed that salt stress could significantly reduce the plant height, root length, fresh and dry weights of aboveground and underground parts, as well as the relative water content, severely inhibiting the growth of R. soongarica seedlings. After Ca2+ and NO compound treatment, these growth parameters were significantly improved, and the harm caused by stress in R. soongarica was alleviated. Regarding the antioxidant system, the Ca2+ and NO compound treatment could significantly increase the activities of SOD, CAT, APX and GR, as well as the contents of ASA and GSH, which indicated that exogenous Ca2+ and NO could eliminate the accumulated active oxygen by increasing the activities of oxidoreductases and the content of nonenzymatic antioxidant substances, thereby improving the salt tolerance of R. soongarica. Regarding carbon metabolism, after Ca2+ and NO compound treatment, the soluble sugar and sucrose contents, as well as the activities of sucrose phosphate synthase and sucrose synthase, were significantly increased, which indicated that Ca2+ and NO compound treatment could maintain higher soluble sugar and sucrose contents in R. soongarica and reduce osmotic stress caused by salt treatment. Regarding nitrogen metabolism, the Ca2+ and NO compound treatment reduced the harm of salt stress by regulating the nitrogen compound contents and nitrogen compound-related enzyme activities, including increases in the NO3− content and NR, NiR, GS, GOGAT and GDH activities and a reduction in the NO2− content. The results of this study indicate that the inhibition of the growth and development of R. soongarica by salt stress can be alleviated by regulating the antioxidant system, carbohydrate metabolism and nitrogen compound metabolism, which provides a theoretical basis for Ca2+ and NO compound treatment to improve plant salt tolerance.
1. Introduction
Soil salinization is a growing environmental and ecological problem, threatening the limited soil resources on which humans depend and having a profound impact on the sustainability of crop yields [1]. At present, approximately 33% of the world’s irrigated agricultural land is affected by salinization [2], and improving crop salinity tolerance and controlling soil salinity have become important strategies to promote sustainable agricultural development. Salt damage affects any stage of plant growth, ultimately reducing economic yields [3]. In a high-salt environment, plants are subjected to the double stress of osmosis and ion and nutrient imbalance. At the same time, reactive oxygen species (ROS) damage physiological and metabolic activities of plants, which in turn affects the normal growth and causes great losses in agricultural production [4,5]. To reduce salt-caused damage to plants, the use of exogenous plant hormones or chemicals to enhance plant salt tolerance has become a hot topic. For example, Chen et al. [6] used exogenous betaine to treat maize (Zea mays) seedlings under salt stress, which effectively alleviated the damage caused by salt stress to maize inbred lines, and the mitigation effect on salt-sensitive inbred lines was more obvious than that on salt-tolerant inbred lines. Exogenous proline is thought to be beneficial in reducing damage to eggplant (Solanum melongena) seedlings under salt stress. Kusvuran et al. [7] applied exogenous proline to eggplant seedlings under salt stress and found that the enzyme activity of eggplant seedlings was effectively increased, which could significantly alleviate the adverse effects of stress. When Saeedipour [8] used the exogenous plant growth regulators auxin (IAA), cytokinin (CTK), abscisic acid and gibberellin (GA) to study the salt stress mitigation effects of the IR29 (salt-sensitive) and FL485 (salt-tolerant) indica rice (Oryza sativa) cultivars, IAA and CTK were the most effective treatments for improving grain yields under salt stress. This shows that the treatment of plants grown under salt stress with exogenous substances can effectively improve plant resilience to adversity.
Calcium (Ca2+) is an essential nutrient, and it acts as a second messenger to sensitively respond to many stimuli such as environmental signals, membrane system stabilization and control of enzyme activities [9,10]. Many biotic and abiotic stresses can cause increases in Ca2+ concentrations in the plant cytosol [10,11], and plants can produce different cell responses according to differences in the Ca2+ concentration [12]. Under salt stress, plants often exhibit Ca2+ deficiency and adding exogenous Ca2+ can alleviate Ca2+ deficiency, maintain the basic structure of the plasma membrane and ensure the normal transmission in the Ca2+ signaling system [13]. In addition, the application of exogenous calcium can reduce the binding of Na+ to the plasma membrane, reduce the leakage of Ca2+ and restore intracellular calcium homeostasis and the integrity of the plasma membrane, thereby alleviating the damage caused by salt stress to plants [14]. Nitric oxide (NO) is a gaseous bioactive molecule that is ubiquitous in plants [15] and can be widely involved as an exogenous reliever of plant responses to adverse stress [16]. For example, preharvest SNP (an NO donor) treatment modulates chlorophyll metabolism and preserves the chlorophyll content in leaves during storage. Moreover, SNP treatment enhanced flavonoid synthesis, suppressed ROS accumulation and delayed the senescence process, thereby maintaining leaf greening in Chinese flowering cabbage [17]. In addition, NO improves the quality features and nutritional contents of fruit plants [18]. SNP application regulates fragrant rice plant physio-biochemical processes, yield traits and grain quality characteristics in Cd-affected soil [19]. Importantly, studies have reported the signaling roles of exogenous Ca2+ and NO in key physiological and biochemical attributes of agriculturally and economically important cyanobacteria subjected to Ni stress, which revealed that Ni at elevated levels caused severe damage to the test organism, but exogenous supplementation with Ca2+ and NO efficiently mitigated the toxic effects of Ni and upregulated the growth, pigment contents, rate of photosynthesis, and nitrogen metabolism and boosted enzymatic and nonenzymatic antioxidants in the organism [20]. Similar results have been obtained in plant Cd stress studies [21]. Ca2+ and NO can interact to alleviate the harm of stress and enhance the tolerance of plants to stress.
Reaumuria soongarica is a small perennial shrub with strong arid salt secretion and is mainly distributed in Central Asia, Southern Europe and North Africa. In northwest China, R. soongarica is mainly distributed in Gansu Province, the Inner Mongolia Autonomous Region, the Ningxia Hui Autonomous Region and other arid and semiarid areas [22,23]. R. soongarica communities have excellent effects on soil improvement and play a vital role in stabilizing quicksand and preventing soil erosion and desertification [24]. R. soongarica also has medicinal value, and its young branches and leaves can be used to treat eczema, dermatitis and other diseases [25]. Therefore, R. soongarica is an excellent tree species resource with high comprehensive development and utilization value, and exploring the environmental adaptation mechanism of R. soongarica may play a very important role in ecological environment restoration and the high-quality and healthy development of the forest and grass industry [26]. R. soongarica has a certain degree of salt tolerance, and its colonies or coconstruction communities are mainly distributed on salinized soils with a total salt content of 0.5–2.0% in desert areas [24,27]. Under salt stress, R. soongarica can regulate antioxidant enzyme activities and reduce membrane lipid peroxidation to reduce salt damage [26,28]. However, previous research on R. soongarica has mainly focused on the mechanism of salt tolerance, while research on the mechanism by which Ca2+ and NO regulate the salt tolerance of R. soongarica has not been reported to date. Therefore, in this study, the physiological response mechanism of R. soongarica to Ca2+ and NO compound treatment under salt stress was explored using Ca(NO3)2 and the NO donor sodium nitroprusside (SNP), and the dynamic changes in the antioxidant reduction system, carbohydrate metabolism and nitrogen metabolism were analyzed to provide a theoretical basis for the application of Ca2+ and NO to improve plant salt tolerance.
2. Materials and Methods
2.1. Experimental Materials
Seeds of R. soongarica were collected in Laohukou, Wuwei, Gansu Province, China (102°58′ E, 38°44′ N; elevation 1315–1375 m), in late October 2019. The average annual temperature, rainfall, and evaporation in this sampling area are 7.5 °C, 110 mm and 2646 mm, respectively. The seeds (voucher number: 063-2) were identified by Dr. X. Liu at the Institute of the Gansu Minqin National Studies Station for Desert Steppe Ecosystems (MSDSE). Seed samples were deposited at the Herbarium of the Scientific Research Experimental Station of the Longqu Seed Orchard, Gansu Province Academy of Qilian Water Resource Conservation Forests Research, in Zhangye. These seeds were placed inside a seed storage cabinet (CZ-250FC; Top Yunong, Hangzhou, China) until later use. Plant materials were collected in strict accordance with the Technical Regulations for the Seed Collection of Rare and Endangered Wild Plants of the People’s Republic of China (LYT2590-2016).
2.2. Material Planting
The experimental research on plants was carried out in accordance with technical regulations for cultivation of tree seedings (DB11T476-2007), the Forestry Industry Standard (LY/T 1898-2010) and Soil and Water Conservation Test Standard (SD 239-87) issued by the Ministry of Water Resources of the People’s Republic of China. The experiments were carried out at Gansu Agricultural University. Uniform full-sized seeds were selected and disinfected for 8 min with 1% NaClO and rinsed six times with ultrapure water. Cleaned seeds were then sown in a plug tray (10 cm × 10 cm × 8.5 cm, with drainage holes at the bottom) filled with sterilized quartz sand. The seeds in the plug trays were germinated in an artificial climate chamber under the following conditions: 25 °C/light for 14 h, 22 °C/dark for 10 h, light intensity of 600 μmol·s−1·m−2 and relative humidity of 60%. During this period, the seedlings were watered with Hoagland nutrient solution every 5 days. After the R. soongarica seedlings grew for 90 days, those with good and consistent growth were selected for experimental treatment.
2.3. The Experimental Design
According to the experimental design, the corresponding NaCl, Ca(NO3)2 (a Ca2+ donor) and SNP (a NO donor) solutions were prepared with deionized water and were evenly poured around the root system of R. soongarica using a syringe. The NaCl concentration used for salt stress was 400 mmol·L−1 (marked as N). The concentration of exogenous NO was 0.25 mmol·L−1, as determined by previous research in our group [29], and the concentration of exogenous Ca2+ was 20 mmol·L−1; the ratio of Ca2+ and NO was 1:3, as determined by pre-experimental screening, marked as ComT. The same amount of deionized water was injected as the CK treatment and three biological replicates for each treatment.
2.4. Index Determination
Determination of growth parameters and the antioxidant enzyme system: Samples were taken on Days 0, 3, 6, 9, 15 and 30 of each treatment; the plant height and taproot length were measured with a ruler, and the stem thickness was measured by a Vernier caliper. Analytical balances (SQP; Sartorius, Beijing, China) were used to determine the aboveground fresh weight, aboveground dry weight, belowground fresh weight and belowground dry weight of seedlings. The relative water content (RWC) was determined with reference to the method of Galmes et al. using distilled water [30]. The rate of superoxide anion radical (O2−) production was determined by the p-aminobenzenesulfonic acid method [31]. The content of hydrogen peroxide (H2O2) was determined by the KI chromogenic method, referring to the method of Alamer et al. [32]. The superoxide dismutase (SOD) activity was determined by nitroblue tetrazolium photoreduction [33]. The catalase (CAT) activity was determined by the H2O2 method [34], and the peroxidase (POD) activity was estimated by the guaiacol method [35]. The ascorbyl peroxidase (APX) activity was determined using the method of Nakano and Asada using EDTA and H2O2 [36]. The glutathione reductase (GR) activity was measured by reduced nicotinamide adenine dinucleotide phosphate [37]. Chloroplastic ascorbate (AsA) was analyzed using the method described by Dutilleul et al. [38]. The GSH content was measured following the procedure reported by Lacerda et al. using TCA and NEM [39].
Determination of carbohydrate metabolism-related indicators: Carbohydrates were extracted using the technique described by Lacorda et al. [40]. Soluble carbohydrates (sucrose, glucose and fructose) were measured by high-performance liquid chromatography (HPLC) using an aminopropyl column (4.6 × 250 mm) with a mobile phase of 80% acetonitrile/20% water [41]. The soluble sugar and starch contents were determined using the method of Dkhil et al. [42]. The extraction and content determination of sucrose synthetase (SS), sucrose phosphate synthase (SPS), acid invertase (AI) and neutral invertase (NI) were performed according to the method of Nielsen et al. [43].
Determination of nitrogen compound metabolism-related indicators: The nitrate (NO3−), nitrite (NO2−), and ammonium (NH4+) contents, as well as nitrite reductase (NiR), nitrate reductase (NR), glutamate synthase (GOGAT), glutamine synthetase (GS) and glutamate dehydrogenase (GDH) activities were measured according to the method of Zhang et al. [44]. In relation to all the above indicators, there were three biological replicates for each one.
2.5. Data Analysis
The SPSS 22.0 software (IBM Corp., Armonk, NY, USA) was used for statistical analysis. All obtained data were analyzed by one-way ANOVA. At p < 0.05, we considered the difference to be significant.
3. Results and Analysis
3.1. Mitigation Effects of Ca2+ and NO Compound Treatment on Growth Indicators of R. soongarica Seedlings under Salt Stress
The changes in the growth index of R. soongarica seedlings under each treatment are shown in Figure 1, and differences in R. soongarica growth under various stresses can be clearly observed (Figure 1A). Starting from the 6th day, compared with that in the CK, salt stress alone significantly reduced the height of R. soongarica seedlings. Compared with salt stress alone in the same period, long-term (15 and 30 days) inhibition of the height of R. soongarica by salt stress could be alleviated by applying the Ca2+ and NO treatment (Figure 1B). Compared with those in the CK treatment group, salt stress significantly reduced the root length of R. soongarica seedlings, which was obvious on the 3rd day. During the later stages of stress (9, 15 and 30 days), the application of Ca2+ and NO significantly increased the root length under salt stress, but in both groups, the length was significantly lower than those in the CK treatment group (Figure 1C). Salt stress showed its harmful effects on the 6th day, causing a significant decrease in the aboveground fresh weight compared with that in the CK treatment group. However, the application of Ca2+ and NO significantly increased the aboveground fresh weight under salt stress (Figure 1D). Starting from the 6th day, compared with the CK treatment group, salt stress alone significantly reduced the aboveground dry weight of R. soongarica seedlings. At the same time, the application of Ca2+ and NO significantly increased the aboveground dry weight under salt stress; however, in both groups, the weight was lower than that in the CK treatment group (Figure 1E). After a prolonged stress time (9, 15 and 30 days), the fresh weight of the underground part of the R. soongarica seedlings significantly decreased under salt stress alone compared with that in the CK treatment group. However, starting from Day 6, the application of Ca2+ and NO significantly increased the fresh weight of the underground part under salt stress (Figure 1F). When comparing different treatments at the same sampling time, starting from the 6th day, salt stress significantly reduced the underground dry weight of R. soongarica seedlings. After applying exogenous Ca2+ and NO, the dry weight of the underground part under salt stress was significantly increased, but in both groups, the weight was lower than that in the CK at the same time (Figure 1G). Compared with that in the CK treatment group, salt stress alone significantly reduced the relative water content. Compared with that under salt stress alone, the application of Ca2+ and NO significantly increased the relative water content under salt stress, but in both groups, the content was lower than that in the CK treatment group at the same time (Figure 1H).
Figure 1.
Effect of Ca2+ and NO compound treatment on growth indicators of R. soongarica seedlings under salt stress. (A): seedling morphology under different treatments on the 30th day; (B): plant height; (C): root length; (D): fresh weight of aboveground plants; (E): dry weight of aboveground plants; (F): fresh weight of underground plants; (G): dry weight of underground plants; (H): relative water content. CK: treatment of deionized water; N: treatment of 400 mM NaCl; ComT: exogenous Ca2+ and NO compound treatment under salt stress. Note: three biological replicates for each treatment and different capital letters indicate that the difference between different treatments at the same sampling time is significant, and different lowercase letters indicate that the difference between different times at the same treatment is significant. The same below.
3.2. Mitigation Effects of Ca2+ and NO Compound Treatment on the Antioxidant System of R. soongarica Seedlings under Salt Stress
3.2.1. Effects of Ca2+ and NO Compound Treatment on ROS Accumulation in R. soongarica under Salt Stress
As shown in Figure 2A, except for Day 0, the trend of changes in the production rate of O2− at the other five sampling time points was consistent for each treatment. Under salt stress alone, R. soongarica seedlings significantly accelerated O2− production, while exogenous Ca2+ and NO treatment significantly inhibited the production rate of O2− under salt stress, but the rate was significantly higher than that in the CK treatment group. On the 3rd day, there was no significant difference in the H2O2 content between the exogenous Ca2+ and NO treatment group and that subjected to salt stress alone, but both groups had a higher H2O2 content than the CK treatment group. The changes on the 6th and 9th days were consistent, with the H2O2 content having reached its highest level under salt stress alone. The exogenous Ca2+ and NO treatment reduced the H2O2 content under salt stress, but it was still significantly higher than that in the CK treatment group. On the 15th and 30th days, the H2O2 contents in the exogenous Ca2+ and NO treatment group under salt stress were significantly higher than those under salt stress alone and in the CK treatment group, and there were no significant differences between the latter two groups (Figure 2B).
Figure 2.
Effect of Ca2+ and NO compound treatment on ROS accumulation in R. soongarica under salt stress. (A): O2− production rate; (B): H2O2 content.
3.2.2. Effects of Ca2+ and NO Compound Treatment on Antioxidase Activities in R. soongarica under Salt Stress
When SOD activities were compared among different treatments at the same treatment durations, the trends of changes could be mainly divided into two types. On the 6th and 15th days, the same trend was observed. The SOD activity under salt stress alone was significantly higher than that in the CK treatment group and significantly lower than that in the exogenous Ca2+ and NO compound treatment group under salt stress. The changes on Days 3, 9 and 30 were consistent. There was no significant difference in the SOD activity under salt stress alone and in the CK treatment group, while the Ca2+ and NO compound treatment significantly increased the SOD activity in R. soongarica (Figure 3A). The POD activity changes at the five sampling times could be divided into three types (Figure 3B). On the 3rd and 15th days, the POD activity under salt stress alone was not different from that in the CK treatment group, but was significantly lower in both groups than that in the Ca2+ and NO compound treatment group under salt stress. On the 6th and 9th days, the POD activity under salt stress alone was significantly higher than that in the CK treatment group, but significantly lower than that in the Ca2+ and NO compound treatment group. The changes on the 30th day were more specific, with no difference between salt stress alone and the CK treatment group, but in both groups, the activity was significantly higher than that in the Ca2+ and NO compound treatment group. Compared with that in the CK treatment group, the salt stress significantly reduced the CAT activity in R. soongarica seedlings, with the largest decrease on the 9th day, when the activity was much lower than that at the other sampling times. Compared with that under salt stress alone, the application of Ca2+ and NO compound treatment significantly increased the CAT activity, which was related to the sampling time. The increase was consistent with that in the CK treatment group on the 3rd day, and although there were increases at the other four times, they were significantly lower than those in the CK treatment group (Figure 3C). On the 3rd day, the relief effect of the Ca2+ and NO compound treatment was not significant, and there was no significant difference in the APX activity compared with that under salt stress alone, but both activities were higher than that in the CK treatment group. On the 6th and 9th days, the APX activities were significantly higher under the Ca2+ and NO compound treatment than in the CK treatment group and under salt stress alone. Although the APX activity under salt stress alone was slightly lower than that in the CK treatment group, there was no significant difference. On the 15th and 30th days, compared with that in the CK treatment group, salt stress alone significantly reduced the APX activity in R. soongarica seedlings, while exogenous application of Ca2+ and NO compound treatment significantly increased the APX activity, to greater levels than those in the CK treatment group (Figure 3D). Compared with that in the CK treatment group, on the third day, salt stress increased the GR activity. As the stress time was prolonged, GR activity under salt stress gradually decreased compared with that in the CK treatment group at the same times. After applying the Ca2+ and NO compound treatment to alleviate salt stress, GR activity was significantly higher than that under salt stress alone, except on the 30th day, and the increase was significant. The GR activities were all higher than that in the CK treatment group at the same time (Figure 3E).
Figure 3.
Effect of Ca2+ and NO compound treatment on antioxidase activity in R. soongarica under salt stress. (A): SOD activity; (B): POD activity; (C): CAT activity; (D): APX activity; (E): GR activity.
3.2.3. Effects of Ca2+ and NO Compound Treatment on the Contents of Nonenzymatic Antioxidant Substances in R. soongarica under Salt Stress
When comparing the effects of different treatments at the same sampling time, the changes in the AsA content were consistent on the 3rd and 6th days. There was no difference between salt stress and the CK, but the content in the Ca2+ and NO compound treatment group was significantly higher than those in the first two groups. On the 9th and 30th days, the changes in the AsA content were comparable. The content under salt stress was significantly lower than that in the CK treatment group and significantly higher with the Ca2+ and NO compound treatment than in the CK treatment group. On the 15th day, there was no difference between the exogenous Ca2+ and NO compound treatment and the CK group, and both groups had significantly higher AsA contents than that under salt stress alone (Figure 4A). On the 3rd, 6th and 30th days, the changes in the GSH content were consistent; there was no difference between the CK and salt treatment groups, and all the GSH contents were lower than those with the Ca2+ and NO compound treatment. On the 9th and 15th days, the GSH contents under salt treatment were significantly higher than those in the CK treatment group, while the contents with the Ca2+ and NO compound treatment were significantly higher than those under salt stress alone (Figure 4B).
Figure 4.
Effect of Ca2+ and NO compound treatment on content of non enzymatic antioxidant substances in R. soongarica under salt stress. (A): AsA content; (B): GSH content.
3.3. Mitigation Effects of Ca2+ and NO Compound Treatment on the Carbon Compound Metabolism in R. soongarica Seedlings under Salt Stress
3.3.1. Effects of Ca2+ and NO Compound Treatment on the Accumulation of Carbon Compounds in R. soongarica under Salt Stress
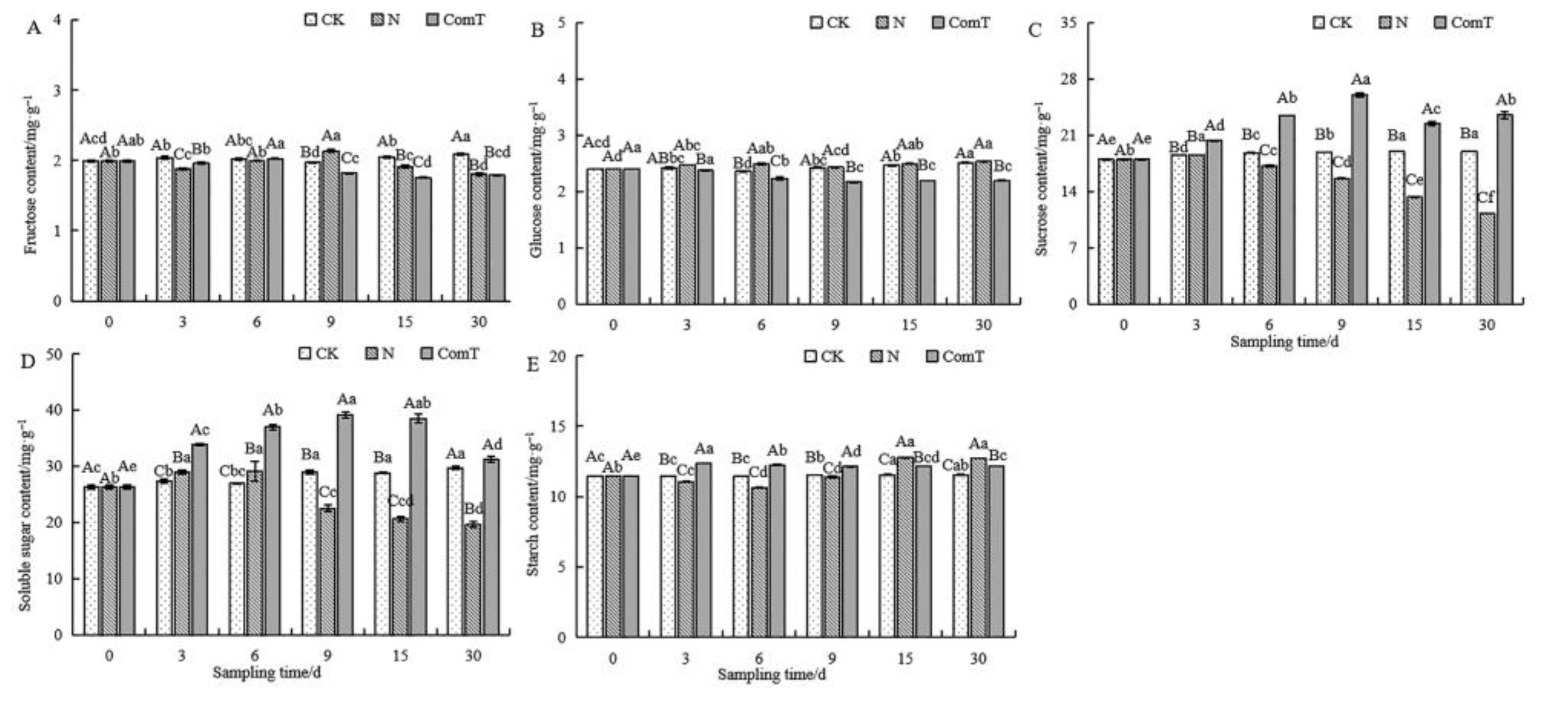
On the 3rd, 15th and 30th days, the fructose contents under salt treatment alone were significantly lower than those in the CK treatment group. However, after the application of Ca2+ and NO, the fructose content was significantly higher on the 3rd day and significantly lower on the 15th day than that under salt stress alone. On the 30th day, there were no significant differences in the fructose content between Ca2+ and NO treatment and salt stress alone, but both contents were significantly lower than that in the CK treatment group. On the 6th day, there were no significant differences in the fructose contents among the CK treatment group, salt stress alone, and Ca2+ and NO compound treatment. On the 9th day, the fructose content under salt stress alone was significantly higher than that in the CK treatment, while the Ca2+ and NO compound treatment significantly decreased the content, which was significantly lower than that in the CK treatment group (Figure 5A). Furthermore, under salt stress alone, the glucose content was significantly higher than that in the CK treatment group on the 6th day only, while there were no differences at the other four sampling times. After the Ca2+ and NO compound treatment, the glucose content was significantly lower than that under salt stress alone and in the CK treatment group (Figure 5B). When seedlings were treated with the Ca2+ and NO compounds, the sucrose content first significantly increased and then decreased, reaching its highest value on the 9th day. When comparing different treatments at the same sampling time, there was no significant difference in the sucrose content between salt stress and the CK treatment on the 3rd day. At the other four sampling times, the sucrose contents under salt stress alone were significantly lower than those in the CK treatment group. The sucrose content under the Ca2+ and NO compound treatment was significantly higher than that under the CK treatment and under salt stress alone at the same time (Figure 5C). In the short term (3rd and 6th days), compared with that under the CK treatment, the high-salt treatment significantly increased the soluble sugar content. In contrast, after the 9th day, the soluble sugar content was significantly reduced by the high-salt treatment compared with that under the CK treatment. After Ca2+ and NO compound treatment, the soluble sugar content significantly increased compared with that under salt stress alone, and, except on the 30th day, it was significantly higher than that under the CK treatment at the same sampling time (Figure 5D). In the early stages of stress (Days 3, 6 and 9), compared with that under the CK treatment, the salt treatment significantly reduced the starch content in R. soongarica seedlings. In the later stages of stress (15th and 30th days), compared with that under the CK treatment, the starch content significantly increased under salt treatment. Under Ca2+ and NO compound treatment, the changes in the starch content were opposite to those under salt stress alone. In the early stages of stress (3rd, 6th and 9th days), compared with that under salt stress alone, the Ca2+ and NO compound treatment significantly increased the starch content. In the later stages of stress (15th and 30th days), the starch content significantly decreased under the Ca2+ and NO compound treatment (Figure 5E).
Figure 5.
Effects of different treatments on carbon compounds accumulation of R. soongarica under salt stress. (A): fructose content; (B): glucose content; (C): sucrose content; (D): soluble sugar content; (E): starch content.
3.3.2. Effects of Ca2+ and NO Compound Treatment on Carbon Metabolism-Related Enzyme Activities in R. soongarica under Salt Stress
The changes in the SS activity under salt stress alone were mainly related to the sampling time. In the early sampling times (3rd and 6th days), compared with that under the CK treatment, salt stress alone significantly promoted SS activity. In the early stages of sampling (Days 6, 15 and 30), compared with that under the CK treatment, salt stress alone significantly inhibited SS activity. After the Ca2+ and NO compound treatment alleviated salt stress in R. soongarica, compared with that under salt stress alone at the same time, the SS activity was significantly increased at all sampling times, and the numerical values were also significantly higher than those under the CK treatment (Figure 6A). The results showed that salt stress alone significantly reduced the SPS activity, with a smaller decrease on the 3rd day and the largest decrease on the 30th day. After the Ca2+ and NO compound treatment, the SPS activity significantly increased compared with that under salt stress alone and increased to the same levels as those under the CK treatment on the 3rd and 6th days. The increases were significant at the other four times and were significantly higher than those under the CK treatment. When comparing different sampling times, with the delay in the sampling time, the SPS activity gradually increased, reaching its maximum value on the 15th day, and then significantly decreased on the 30th day (Figure 6B). When comparing different treatments at the same sampling time, it was found that at the early times (3rd, 6th, and 9th days), the SAI activity significantly increased under salt stress alone, while significantly decreasing in the later stages (15th and 30th days). Compared with that under salt stress alone, the SAI activity significantly increased under the exogenous Ca2+ and NO compound treatment on Days 3, 15 and 30. On the 6th and 9th days, it was significantly lower than that under salt stress alone (Figure 6C). In the early stages (3rd and 6th days), the NI activity under salt stress alone was significantly higher than that under the CK treatment. In the later stages (9th, 15th and 30th days), the NI activity under salt stress alone was significantly lower than that under the CK treatment. Compared with seedlings under the salt treatment, the Ca2+ and NO compound treatment significantly reduced the NI activity in R. soongarica seedlings in the early stages (3rd and 6th days). During the later stages (9th, 15th and 30th days), the NI activity was significantly increased (Figure 6D).
Figure 6.
Effect of Ca2+ and NO compound treatment on carbon metabolism-related enzyme activity in R. soongarica under salt stress. (A): sucrose synthetase activity (SS activity); (B): SPS activity; (C): acid invertase activity (SAI activity); (D): neutral invertase activity (NI activity).
3.4. Mitigation Effects of Ca2+ and NO Compound Treatment on the Metabolism of Nitrogen Compounds in R. soongarica Seedlings under Salt Stress
3.4.1. Effects of Ca2+ and NO Compound Treatment on the Accumulation of Nitrogen Compounds in R. soongarica under Salt Stress
At the same time point, salt stress significantly reduced the NO3− content compared with that in the CK treatment group, and after the Ca2+ and NO compound treatment, the NO3− content significantly increased compared with that under salt stress alone (Figure 7A). The NO2− content under salt stress alone significantly increased compared with that under the CK treatment, reaching its maximum value on the 15th day and significantly increasing with the prolonged sampling time, while significantly decreasing on the 30th day. After the Ca2+ and NO compound treatment alleviated salt stress, the NO2− content significantly decreased compared with that under salt stress alone and was significantly higher than that under the CK treatment at all times, except at 0 and 30 days (Figure 7B). At the same time, the NH4+ content under salt stress alone was significantly higher than that under the CK treatment on the 3rd, 15th and 30th days and significantly lower on the 6th and 9th days. The trend of the NH4+ content changes under the Ca2+ and NO compound treatment was consistent with that under salt stress alone, and both contents were significantly higher than that under the CK treatment (Figure 7C).
Figure 7.
Effect of Ca2+ and NO compound treatment on accumulation of nitrogen compounds in R. soongarica under salt stress. (A): NO3− content; (B): NO2− content; (C): NH4+ content.
3.4.2. Effects of Ca2+ and NO Compound Treatment on Nitrogen Metabolism-Related Enzyme Activities in R. soongarica under Salt Stress
Compared with that under the CK treatment, salt stress significantly reduced the NR activity, which reached its lowest level on the 9th day. After the Ca2+ and NO compound treatment, the NR activity in R. soongarica seedlings was significantly higher than that under salt stress alone, and in the early stages (3rd, 6th and 9th days), the NR activity under the Ca2+ and NO compound treatment was significantly higher than that under the CK treatment (Figure 8A). When comparing different treatments at the same time, on the 3rd day, the salt treatment alone significantly increased the NiR activity in R. soongarica compared with that under the CK treatment. At the later four sampling times, the salt treatment alone significantly reduced the NiR activity compared with that under the CK treatment; the Ca2+ and NO compound treatment significantly increased the NiR activity at the same sampling times. The NiR activity was also higher than that in the CK treatment group at the same time (Figure 8B). Compared with that in the CK treatment group, on the 3rd day, salt stress alone significantly increased the GS activity in R. soongarica. At the four sampling times in the later stage, the GS activity under salt stress alone was significantly lower than that under the CK treatment. Compared with that under salt stress treatment alone, on the 3rd day, the Ca2+ and NO compound treatment significantly increased the GS activity under salt treatment, surpassing that under the CK treatment on the 3rd, 6th and 9th days and reaching its maximum value on the 9th day (Figure 8C). Compared with that under the CK treatment, the salt treatment significantly reduced the GOGAT activity in R. soongarica. After the Ca2+ and NO compound treatment, the GOGAT activity in R. soongarica significantly increased compared with that under salt stress, but its levels were significantly lower than those under the CK treatment at the same times (Figure 8D). Regardless of whether the Ca2+ and NO compounds were applied or not, compared with that under the CK treatment, the GDH activity in R. soongarica was significantly reduced under stress. After the Ca2+ and NO compounds were applied, the GDH activity significantly increased under salt stress but was lower than that under the CK treatment at the same time (Figure 8E).
Figure 8.
Effect of Ca2+ and NO compound treatment on nitrogen metabolism-related enzyme activity in R. soongarica under salt stress. (A): nitrate reductase activity (NR activity); (B): nitrite reductase activity (NiR activity); (C): glutamine synthetase activity (GS activity); (D): glutamate synthase activity (GOGAT activity); (E): glutamate dehydrogenase activity (GDH activity).
4. Discussion
4.1. Mitigation Effects of Ca2+ and NO Compound Treatment on Plant Growth Parameters under Salt Stress
The impact of salt stress on plants is multifaceted, and the salt concentrations that different plants can withstand vary. However, when the salt content in the soil environment exceeds the range that a plant can withstand, it can harm the plant and affect its normal growth and development. Salt stress can reduce the growth rate of plant roots and aboveground parts, as well as the accumulation of fresh and dry weight, ultimately leading to a significant decrease in yield [45]. When the salt content in the soil is too high, the infiltration potential increases, affecting the water absorption by plant roots [46] and resulting in both the root system and the growth of the aboveground parts being affected. This study found that when the stress duration exceeded 6 days, salt stress significantly inhibited the growth of R. soongarica seedlings, including the plant height, root length, fresh and dry weight of aboveground and underground parts, and other indicators (Figure 1). The application of exogenous Ca2+ can effectively alleviate the growth inhibition of plants by salt stress [47]. Similarly, the application of exogenous NO can also alleviate the harm caused by salt stress to plants [48]. This study found that the combined treatment with exogenous Ca2+ and NO significantly improved the growth parameters of R. soongarica seedlings under salt stress, thereby promoting the growth of R. soongarica under salt stress (Figure 1). This indicates that the combined treatment with exogenous Ca2+ and NO is an effective method to enhance the resistance of R. soongarica to salt stress.
4.2. Effects of Exogenous Ca2+ and NO Compound Treatment on the Antioxidant System in R. soongarica Seedlings under High-Salt Stress
Under salt stress, metabolic disorder leads to the production of a large number of ROS, including O2−, H2O2, OH− and OH [49]. ROS are produced by many different enzyme reaction systems, including oxidoreductases such as SOD, POD and CAT. In addition, changing the content of nonenzymatic antioxidant substances, such as AsA and GSH, is a strategy for plants to actively respond to salt stress from the perspective of oxidative stress. Numerous studies have reported that NO can regulate plant responses to various stress conditions, including salt stress. Ca2+ can also transmit signals through changes in the concentration in plants to regulate a series of cellular and physiological responses under salt stress [50].
4.2.1. Ca2+ and NO Compound Treatment Alleviates High-Salt Stress by Reducing the Accumulation of ROS in R. soongarica Seedlings
Under salt stress conditions, plant cells produce large amounts of ROS, such as O2− and H2O2, due to metabolic hindrance, resulting in membrane system damage [51,52]. Exogenous Ca2+ and NO treatments can significantly reduce the rate of O2− production and the H2O2 content in plant leaves under salt stress, alleviating leaf oxidative damage [53]. The results of this study showed that under high-salt stress (400 mmol·L−1), the O2− production rate and the H2O2 content in R. soongarica seedlings significantly increased, reaching their highest values on the 9th day and then gradually decreasing (Figure 2). This may be because after the 9th day, R. soongarica gradually adapted to the high-salt environment, and its O2− production rate and H2O2 content began to gradually decrease. However, the Ca2+ and NO compound treatment alleviated the damage to R. soongarica under salt stress. The results showed that the rate of O2− production and the H2O2 content were significantly reduced compared with those under salt stress alone and reached their minimum values on the 9th and 6th days, respectively, but both were significantly higher than those under the CK treatment at the same sampling time (Figure 2). This indicates that the Ca2+ and NO compound treatment can reduce the rate of O2− production and the H2O2 content in R. soongarica seedlings under salt stress, thereby alleviating the oxidative damage of salt stress. The optimal effect was achieved on the 6th to 9th day, but the harm caused by salt stress could not be completely eliminated.
4.2.2. Ca2+ and NO Compound Treatment Alleviates High-Salt Stress by Increasing the Antioxidant Enzyme Activities in R. soongarica Seedlings
Antioxidant enzymes (SOD, CAT, GR, APX and POD) play an important role in plant resistance to oxidative stress and in scavenging ROS, and thus, their levels are closely related to plants’ salt resistance [54]. Under salt stress, salt-tolerant maize varieties maintain higher SOD, GR and APX activities than those in salt-sensitive varieties [55]. The overexpression of APX in the chloroplasts of transgenic tobacco (Nicotiana tabacum) plants enhanced their tolerance to salt stress [56]. If a plant is subjected to salt stress for a long time, its reactive oxygen metabolism balance is disrupted, further leading to the destruction of the antioxidant enzyme system and a decrease in antioxidant enzyme activities [57]. In this study, compared with those under the CK treatment, the activities of SOD and POD either increased or showed no significant changes under salt stress; the CAT activity was significantly lower under salt stress than under the CK treatment, while APX and GR activities increased in the early stage of stress and decreased in the later stage (Figure 3). These results are consistent with salt tolerance research results in other plants, indicating that the regulation of antioxidant enzyme activities is one of the mechanisms for R. soongarica to resist salt stress. In addition, the activities of GR and CAT were the lowest on the 9th day, while that of POD was the highest on the 9th day, indicating that the damage of salt stress to R. soongarica reached its maximum on the 9th day.
Tanou et al. [58] showed that exogenous NO could effectively induce antioxidant enzyme activities, promote the maintenance of cell redox homeostasis and alleviate oxidative damage caused by OH generation, which is mediated by the oxidative stress response under salinity. Similarly, Ca2+ has the same effect. Both exogenous Ca2+ and NO can improve plant tolerance to salt stress by altering the activities of antioxidant enzymes such as SOD, POD and APX. This study found that compared with those under salt stress alone, exogenous Ca2+ and NO compound treatment could significantly increase the SOD, CAT, APX and GR activities in R. soongarica seedlings, independently of the stress duration, indicating that the combined exogenous Ca2+ and NO treatment could eliminate the active oxygen accumulated under salt stress by increasing the activities of oxidoreductases, thereby reducing the growth inhibition of R. soongarica seedlings under salt stress. However, the POD activity was significantly higher than that under salt stress alone in the early stages of stress and lower than that under salt stress alone on the 30th day, indicating that the recovery ability of R. soongarica decreased under long-term stress (Figure 3). Even with the application of exogenous Ca2+ and NO compound treatment, the ability to clear ROS was inhibited. In addition, although CAT, POD and APX activities reached their maximum values on the 9th day, those of SOD and GR reached their maximum values on the 6th day. Combined with the changes in antioxidant enzyme activities under salt stress, the results showed that the 9th day could be the best time to study the mechanism of alleviating salt stress by the combined exogenous Ca2+ and NO treatment.
4.2.3. Ca2+ and NO Compound Treatment Alleviates High-Salt Stress by Increasing the Contents of Nonenzymatic Antioxidant Substances in R. soongarica Seedlings
Nonenzymatic antioxidant substances such as GSH and AsA play a major role in clearing ROS in plants under stress [59], and they have the strongest protective effect against stress-induced oxidative stress [60,61]. Salt stress can reduce the AsA content in the roots of salt-sensitive tomatoes (Solanum lycopersicum) [62]. Increasing the contents of AsA and GSH is a way for plants to resist salt stress. There was a certain difference in the results of this study. There was no significant difference in the AsA content in the early stage of stress compared with that in the CK treatment group, but in the later stage, it was significantly lower than that in the CK treatment group. The GSH content showed no significant difference under salt stress compared with that under CK treatment (Figure 4). This may be related to the characteristics of the R. soongarica species or may be due to the unique response exhibited by R. soongarica in extreme environments such as high-salt (400 mmol·L−1) stress. In summary, the changes in the AsA and GSH contents represent an adaptation of R. soongarica to oxidative stress under salt treatment. Previous studies have reported that as the salt stress time increases, plants are subjected to oxidative stress. At this time, exogenous substances can induce antioxidant defense systems, enhance antioxidant enzyme activities, and increase the ASA and GSH contents, thereby reducing the accumulation of H2O2 and O2−, maintaining ROS and hormone homeostasis, reducing lipid membrane peroxidation, and alleviating plant cell damage [63]. The results of this study showed that the combination of exogenous Ca2+ and NO significantly increased the ASA and GSH contents under salt stress, independent of the stress period, and the increases were very significant. The ASA and GSH contents under the Ca2+ and NO compound treatment exceeded those under the CK treatment at the same time, indicating that the effect of the Ca2+ and NO compound treatment was mainly achieved by increasing the contents of ASA and GSH while alleviating the oxidative damage to R. soongarica caused by salt stress.
4.3. Effects of Exogenous Ca2+ and NO Compound Treatment on Carbon and Nitrogen Compound Metabolism in R. soongarica Seedlings under High-Salt Stress
The key process of carbon metabolism is photosynthesis, and its final products are carbohydrates. The initial products of photosynthesis are starch and sucrose. Generally, starch can be converted into sucrose and enter storage organs or used for cellular life activities. During this process, SS and SPS play important catalytic roles in regulating osmotic balance and responding to stress [64]. Therefore, plant sucrose metabolism is often used to measure the degree of environmental stress and the adaptability of plants to the environment. There are research reports that plants under stress can synthesize more soluble small-molecule carbohydrates, regulate cell osmotic potential and thereby alleviate the damage caused by cell dehydration or live cell expansion [65]. Carbon and nitrogen are the two most abundant elements in living organisms, and their metabolism is closely coupled. Deficiency or excess of one element can affect the metabolism of the other element, and nitrogen metabolism depends on the availability of biosynthetic carbon shelves. One of the main ways for plants to cope with stress is to reduce cell membrane damage by accumulating osmotic substances, most of which are nitrogen-containing compounds. Therefore, the normal operation of nitrogen metabolism is crucial for plants to cope with stress hazards [66]. There are different levels of regulatory mechanisms within plant cells to control the absorption and assimilation of various nitrogen and carbon compounds and maintain their balance [67].
4.3.1. Effects of Exogenous Ca2+ and NO Compound Treatment on Carbon Compound Metabolism in R. soongarica Seedlings under High-Salt Stress
Starch and soluble sugars play important roles in regulating the osmotic balance of cellular tissues and are important indicators reflecting the degree of carbon metabolism in plants. The starch content shows a decreasing trend with an increasing salt stress level [42]. In this study, the starch content first decreased and then increased under salt stress, which may be a response of R. soongarica to long-term salt stress. After the application of Ca2+ and NO compound treatment, the starch content first increased and then decreased compared with that under salt stress alone, indicating that changing the starch content is also one of the ways for the Ca2+ and NO compound treatment to alleviate salt stress. One of the reasons for the decrease in photosynthesis is the negative feedback inhibition of the increase in starch and sucrose contents in leaves under various stress conditions [68]. Sucrose is the main carbohydrate transport form in plants, and its content is regulated by SPS and SS [69]. Related studies have found that under stress, the sucrose and starch contents of cotton (Gossypium herbarium), as well as SPS and SS activities, increase in both the main stem and opposite leaves [70]. In addition, studies have shown that a significant decrease in starch synthesis can maintain the sucrose content in beans (Lablab purpureus). Although osmotic stress reduces SPS activity, this only reduces the degree of starch synthesis, and therefore, the sucrose concentration can be maintained at a relatively high level [71]. This study found that under salt stress, the contents of soluble sugars and sucrose, as well as the activities of sucrose phosphate synthase and sucrose synthase, decreased in the later stage of stress, which may be related to the increase in the starch content in the later stage of salt stress. After the Ca2+ and NO compound treatment, the soluble sugar and sucrose contents and sucrose phosphate synthase and sucrose synthase activities were significantly increased compared with those under salt stress alone, indicating that the combination of exogenous Ca2+ and NO treatment can maintain higher soluble sugar and sucrose contents in R. soongarica and reduce the osmotic stress caused by salt treatment.
On the other hand, common monosaccharides such as glucose and fructose also play an important role in maintaining the overall structure and growth of plants [72,73,74] and play an osmotic protection role when plants are subjected to abiotic stress, which is part of the ROS-scavenging system [75]. Glucose can induce stomatal closure in seedlings, reduce the photosynthesis rate, maintain the leaf water content and osmotic regulation, prevent cell membrane oxidation and enhance plant adaptability to drought and salt stress [76,77]. Roatsch et al. [78] showed that extracellular invertase activity was significantly upregulated under salt stress to supply carbohydrates to storage organs. The results of this study indicated that during salt treatment, the fructose content fluctuated with the sampling time, and the glucose content showed no significant difference compared with that in the CK treatment group at the same time. The activities of both invertases in the early stage of stress were higher than those in the CK treatment group but decreased in the later stage. After exogenous Ca2+ and NO treatment, the fructose content was higher at the initial stage of stress than under salt stress alone and decreased at the later stage. The glucose content was significantly lower than that under salt stress alone at the same time. Both invertase activities fluctuated with the sampling time, indicating that different species have different responses to different abiotic stresses.
4.3.2. Effects of Exogenous Ca2+ and NO Compound Treatment on Nitrogen Compound Metabolism in R. soongarica Seedlings under High-Salt Stress
Nitrogen is known as the “life element” of plants, and the nitrogen form and enzyme activity related to nitrogen metabolism in plants can directly reflect the nitrogen metabolism situation. Under salt stress, there are significant differences in physiological characteristics among different plants, as well as differences in nitrogen metabolism pathways and their efficiency. This is because salt stress can lead to a secondary stress of nutrient deficiency in plants, leading to the disruption of nitrogen metabolism balance. NO3− and NH4+ are two effective nitrogen sources for plants. The GOGAT cycle is the most critical pathway for primary nitrogen assimilation, while NR is considered to be the rate-limiting factor for nitrogen assimilation [79,80]. Salt stress can inhibit NR, GS and GOGAT activities during ammonia assimilation in tomato seedlings, reducing the expression levels of related genes [81]. There are many similar reports, such as the research of Zaghdoud et al. [82] on Brassica oleracea and Iqbal et al. [83] on cotton. However, it is controversial whether GS and GOGAT activities in mulberry (Morus alba) seedlings significantly increase during salt treatment [84]. The results of this study showed that the changes in the nitrogen compound contents and enzyme activities related to nitrogen compound metabolism in R. soongarica seedlings under salt treatment were relatively limited, with NO3− and NO2− levels significantly reduced compared with those under the CK treatment. We speculate that this may be related to the ion antagonistic and synergistic between Na+, Cl−, Ca2+ and NO3− after the application of exogenous Ca2+ and NO compound treatment under salt stress. The NH4+ level was significantly higher than that in the CK treatment group in the early stage (3rd day) and late stage (15th and 30th days), while it significantly decreased in the middle stage (6th and 9th days). The NR, GOGAT and GDH activities all significantly decreased under salt stress; the activities of NiR and GS were significantly lower than those in the CK treatment group on the 6th, 9th, 15th and 30th days, indicating that R. soongarica seedlings actively responded to high-salt stress by reducing the nitrogen compound contents and limiting the activities of nitrogen metabolism-related enzymes.
In recent years, many studies have found that the application of exogenous substances, such as silicon, Ca2+, and H2O2, can alleviate the harm caused by salt stress by affecting the nitrogen metabolism pathways of plants, which helps enhance crop salt tolerance [85]. In this study, compared with those under salt stress alone, the NO3− content and NR, NiR, GS, GOGAT and GDH activities significantly increased after exogenous Ca2+ and NO compound treatment, while the content of NO2− significantly decreased. The NH4+ content significantly decreased in the early and late stages and significantly increased in the middle stage of stress. This indicates that exogenous Ca2+ and NO compound treatment reduces the harm of salt stress by regulating the nitrogen compound contents and nitrogen compound-related enzyme activities.
5. Conclusions
This study suggests that 400 mmol·L−1 NaCl stress has a significant inhibitory effect on the growth of R. soongarica seedlings; meanwhile, it also affects the antioxidant enzyme system, carbon metabolism and nitrogen metabolism. The application of exogenous Ca2+ and NO compound treatment can alleviate the damage caused by salt stress through changing the activity of antioxidant enzymes, the content of antioxidant substances as well as indicators related to carbon and nitrogen metabolism, thereby promoting the growth of R. soongarica under salt stress. However, research on the salt tolerance mechanism of R. soongarica is not yet complete, and the relationship between NO and Ca2+ also needs to be further explored. In the future, further exploration can be conducted on the aspects of regulating Ca2+-related genes, Ca2+ receptor proteins and salt resistance-related genes.
Author Contributions
P.C. and Z.L. conceived the research; Z.L. wrote and edited the manuscript; H.L. analyzed the data; B.T., X.W. and Z.L. performed the experiments. All authors have read and agreed to the published version of the manuscript.
Funding
This research was funded by the Gansu Province Excellent Doctoral Student Program (Funder: Zehua Liu; No. 22JR5RA836), the Gansu Province Excellent Graduate Student “Innovation Star” Program (Funder: Zehua Liu; No. 2022CXZX-643) and the National Natural Science Foundation of China (Funder: Peifang Chong; No. 32160407).
Data Availability Statement
All relevant files are included in this article.
Acknowledgments
We would like to thank Wenke Dong for helping with experimental guidance.
Conflicts of Interest
The authors declare no conflict of interest.
References
- Zhang, J.; Xing, S.; Li, J.; Makeschin, F.; Song, Y. Agroforestry and its Application in Amelioration of Saline Soils in Eastern China Coastal Region. For. Stud. China 2004, 6, 27–33. [Google Scholar] [CrossRef]
- Daliakopoulos, I.N.; Tsanis, I.K.; Koutroulis, A.; Kourgialas, N.N.; Varouchakis, A.E.; Karatzas, G.P.; Ritsema, C.J. The threat of soil salinity: A European scale review. Sci. Total Environ. 2016, 573, 727–739. [Google Scholar] [CrossRef] [PubMed]
- Jose, A.M.; Maria, O.O.; Agustina, B.V.; Pedro, D.V.; Maria, S.B.; Jose, H. Plant Responses to Salt Stress: Adaptive Mechanisms. Agronomy 2017, 7, 18. [Google Scholar]
- Muchate, N.S.; Nikalje, G.C.; Rajurkar, N.S.; Suprasanna, P.; Nikam, T.D. Plant Salt Stress: Adaptive Responses, Tolerance Mechanism and Bioengineering for Salt Tolerance. Bot. Rev. 2016, 82, 371–406. [Google Scholar] [CrossRef]
- Ashraf, M.A.; Akbar, A.; Parveen, A.; Rasheed, R.; Hussain, I.; Iqbal, M. Phenological application of selenium differentially improves growth, oxidative defense and ion homeostasis in maize under salinity stress. Plant Physiol. Biochem. 2018, 123, 268–280. [Google Scholar] [CrossRef]
- Chen, F.; Fang, P.; Zeng, W.; Ding, Y.; Zhuang, Z.; Peng, Y. Comparing transcriptome expression profiles to reveal the mechanisms of salt tolerance and exogenous glycine betaine mitigation in maize seedlings. PLoS ONE 2020, 15, e0233616. [Google Scholar] [CrossRef]
- Kusvuran, S.; Bayat, R.; ÜStÜN, A.; Ellialtioglu, S. Exogenous Proline Improves Osmoregulation, Physiological and Biochemical Responses of Eggplant under Salt Stress. Fresenius Environ. Bull. 2020, 29, 152–161. [Google Scholar]
- Saeedipour, S. The Combined Effects of Salinity and Foliar Spray of Different Hormones on Some Biological Aspects, Dry Matter Accumulation and Yield in Two Varieties of Indica Rice Differing in Their Level of Salt Tolerance. Proc. Natl. Acad. Sci. India Sect. B Biol. Sci. 2014, 84, 721–733. [Google Scholar] [CrossRef]
- Hepler, P.K. Calcium: A central regulator of plant growth and development. Plant Cell 2005, 17, 2142–2155. [Google Scholar] [CrossRef]
- Hetherington, A.M.; Brownlee, C. The generation of Ca(2+) signals in plants. Annu. Rev. Plant Biol. 2004, 55, 401–427. [Google Scholar] [CrossRef]
- Knight, H.; Knight, M.R. Abiotic stress signalling pathways: Specificity and cross-talk. Trends Plant Sci. 2001, 6, 262–267. [Google Scholar] [CrossRef] [PubMed]
- Sanders, D.; Brownlee, C.; Harper, J.F. Communicating with calcium. Plant Cell 1999, 11, 691–706. [Google Scholar] [CrossRef] [PubMed]
- Paunov, M.; Koleva, L.; Vassilev, A.; Vangronsveld, J.; Goltsev, V. Effects of Different Metals on Photosynthesis: Cadmium and Zinc Affect Chlorophyll Fluorescence in Durum Wheat. Int. J. Mol. Sci. 2018, 19, 787. [Google Scholar] [CrossRef]
- Wu, G.-Q.; Wang, S. Calcium regulates K+/Na+ homeostasis in rice (Oryza sativa L.) under saline conditions. Plant Soil Environ. 2012, 58, 121–127. [Google Scholar] [CrossRef]
- Siddiqui, M.H.; Alamri, S.A.; Al-Khaishany, M.Y.; Al-Qutami, M.A.; Ali, H.M.; Al-Rabiah, H.; Kalaji, H.M. Exogenous application of nitric oxide and spermidine reduces the negative effects of salt stress on tomato. Hortic. Environ. Biotechnol. 2017, 58, 537–547. [Google Scholar] [CrossRef]
- Xu, J.; Wei, Z.; Lu, X.; Liu, Y.; Yu, W.; Li, C. Involvement of Nitric Oxide and Melatonin Enhances Cadmium Resistance of Tomato Seedlings through Regulation of the Ascorbate-Glutathione Cycle and ROS Metabolism. Int. J. Mol. Sci. 2023, 24, 9526. [Google Scholar] [CrossRef]
- Peng, M.; Chen, Z.; Zhang, L.; Wang, Y.; Zhu, S.; Wang, G. Preharvest Application of Sodium Nitroprusside Alleviates Yellowing of Chinese Flowering Cabbage via Modulating Chlorophyll Metabolism and Suppressing ROS Accumulation. J. Agric. Food Chem. 2023, 71, 9280–9290. [Google Scholar] [CrossRef]
- Maslennikova, D.; Ivanov, S.; Petrova, S.; Burkhanova, G.; Maksimov, I.; Lastochkina, O. Components of the Phenylpropanoid Pathway in the Implementation of the Protective Effect of Sodium Nitroprusside on Wheat under Salinity. Plants 2023, 12, 2123. [Google Scholar] [CrossRef]
- Imran, M.; Hussain, S.; Iqbal, A.; Saleem, M.H.; Rehman, N.U.; Mo, Z.; Chen, X.; Tang, X. Nitric oxide confers cadmium tolerance in fragrant rice by modulating physio-biochemical processes, yield attributes, and grain quality traits. Ecotoxicol. Environ. Saf. 2023, 261, 115078. [Google Scholar] [CrossRef]
- Verma, N.; Pandey, A.; Tiwari, S.; Prasad, S.M. Calcium mediated nitric oxide responses: Acquisition of nickel stress tolerance in cyanobacterium Nostoc muscorum ATCC 27893. Biochem. Biophys. Rep. 2021, 26, 100953. [Google Scholar] [CrossRef]
- Khan, M.N.; Siddiqui, M.H.; AlSolami, M.A.; Alamri, S.; Hu, Y.; Ali, H.M.; Al-Amri, A.A.; Alsubaie, Q.D.; Al-Munqedhi, B.M.A.; Al-Ghamdi, A. Crosstalk of hydrogen sulfide and nitric oxide requires calcium to mitigate impaired photosynthesis under cadmium stress by activating defense mechanisms in Vigna radiata. Plant Physiol. Biochem. 2020, 156, 278–290. [Google Scholar] [CrossRef]
- Xie, T.; Shan, L.; Zhang, W. N addition alters growth, non-structural carbohydrates, and C:N:P stoichiometry of Reaumuria soongorica seedlings in Northwest China. Sci. Rep. 2022, 12, 15390. [Google Scholar] [CrossRef] [PubMed]
- Wang, X.; Zhang, T.; Wen, Z.; Xiao, H.; Yang, Z.; Chen, G.; Zhao, X. The chromosome number, karyotype and genome size of the desert plant diploid Reaumuria soongorica (Pall.) Maxim. Plant Cell Rep. 2011, 30, 955–964. [Google Scholar] [CrossRef] [PubMed]
- Zhang, H.; Liu, X.; Yang, X.; Wu, H.; Zhu, J.; Zhang, H. miRNA-mRNA Integrated Analysis Reveals Roles for miRNAs in a Typical Halophyte, Reaumuria soongorica, during Seed Germination under Salt Stress. Plants 2020, 9, 351. [Google Scholar] [CrossRef] [PubMed]
- Shi, Y.; Yan, X.; Zhao, P.; Yin, H.; Zhao, X.; Xiao, H.; Li, X.; Chen, G.; Ma, X.F. Transcriptomic analysis of a tertiary relict plant, extreme xerophyte Reaumuria soongorica to identify genes related to drought adaptation. PLoS ONE 2013, 8, e63993. [Google Scholar] [CrossRef]
- Lishan, S.; Yang, C.; Li, Y.; Duan, Y.; Geng, D.; Li, Z.; Zhang, R.; Duan, G.; Bacильeвич, Ж. Effects of drought stress on root physiological traits and root biomass allocation of Reaumuria soongorica. Acta Ecol. Sin. 2015, 35, 155–159. [Google Scholar] [CrossRef]
- Yan, S.; Chong, P.; Zhao, M.; Liu, H. Physiological response and proteomics analysis of Reaumuria soongorica under salt stress. Sci. Rep. 2022, 12, 2539. [Google Scholar] [CrossRef]
- Yan, S.; Chong, P.; Zhao, M. Effect of salt stress on the photosynthetic characteristics and endogenous hormones, and: A comprehensive evaluation of salt tolerance in Reaumuria soongorica seedlings. Plant Signal. Behav. 2022, 17, 2031782. [Google Scholar] [CrossRef]
- Jia, X.Y.; Chong, P.F.; Zhang, Y.J.; Li, Y.; Su, S.P. Effects of nitric oxide on physiological characteristics and growth of Reaumuria soongorica seedling under NaCl stress. Acta Agrestia Sin. 2019, 27, 628–636. [Google Scholar]
- Galmés, J.; Flexas, J.; Savé, R.; Medrano, H. Water relations and stomatal characteristics of Mediterranean plants with different growth forms and leaf habits: Responses to water stress and recovery. Plant Soil 2007, 290, 139–155. [Google Scholar] [CrossRef]
- Velikova, V.; Yordanov, I.; Edreva, A. Oxidative stress and some antioxidant systems in acid rain-treated bean plants. Plant Sci. 2000, 151, 59–66. [Google Scholar] [CrossRef]
- Alamer, K.H. Combined effect of trehalose and spermidine to alleviate zinc toxicity in Vigna radiata. 3 Biotech 2023, 13, 288. [Google Scholar] [CrossRef] [PubMed]
- Yan, X.; Miao, J.; Zhang, B.; Liu, H.; Ma, H.; Sun, Y.; Liu, P.; Zhang, X.; Wang, R.; Kan, J.; et al. Study on semi-bionic extraction of Astragalus polysaccharide and its anti-aging activity in vivo. Front. Nutr. 2023, 10, 1201919. [Google Scholar] [CrossRef] [PubMed]
- Afzali, S.F.; Sadeghi, H.; Taban, A. A comprehensive model for predicting the development of defense system of Capparis spinosa L.: A novel approach to assess the physiological indices. Sci. Rep. 2023, 13, 12413. [Google Scholar] [CrossRef]
- Shi, J.; Fu, X.Z.; Peng, T.; Huang, X.S.; Fan, Q.J.; Liu, J.H. Spermine pretreatment confers dehydration tolerance of citrus in vitro plants via modulation of antioxidative capacity and stomatal response. Tree Physiol. 2010, 30, 914–922. [Google Scholar] [CrossRef] [PubMed]
- Singh, S.; Chanotiya, C.S.; Singh, A.; Vajpayee, P.; Kalra, A. Role of ACC-deaminase synthesizing Trichoderma harzianum and plant growth-promoting bacteria in reducing salt-stress in Ocimum sanctum. Physiol. Mol. Biol. Plants Int. J. Funct. Plant Biol. 2023, 29, 815–828. [Google Scholar] [CrossRef]
- Ma, C.; Wang, Z.; Kong, B.; Lin, T. Exogenous trehalose differentially modulate antioxidant defense system in wheat callus during water deficit and subsequent recovery. Plant Growth Regul. 2013, 70, 275–285. [Google Scholar] [CrossRef]
- Dutilleul, C.; Driscoll, S.; Cornic, G.; De Paepe, R.; Foyer, C.H.; Noctor, G. Functional mitochondrial complex I is required by tobacco leaves for optimal photosynthetic performance in photorespiratory conditions and during transients. Plant Physiol. 2003, 131, 264–275. [Google Scholar] [CrossRef]
- Paradiso, A.; Berardino, R.; de Pinto, M.C.; Sanità di Toppi, L.; Storelli, M.M.; Tommasi, F.; De Gara, L. Increase in ascorbate-glutathione metabolism as local and precocious systemic responses induced by cadmium in durum wheat plants. Plant Cell Physiol. 2008, 49, 362–374. [Google Scholar] [CrossRef]
- Lacerda, C.; Cambraia, J.; Oliva, M.; Ruiz, H. Changes in growth and in solute concentration in sorghum leaves and roots during salt stress recovery. Environ. Exp. Bot. 2005, 54, 69–76. [Google Scholar] [CrossRef]
- Zhang, R. Study on the Involvement of SWEETs Transporter in Regulating the Response to Drought Stress in Kentucky bluegrass. Gansu Agricultural University, Lanzhou, China, 2022. [CrossRef]
- Dkhil, B.; Denden, M. Salt stress induced changes in germination, sugars, starch and enzyme of carbohydrate metabolism in Abelmoschus esculentus L. (Moench.) seeds. Afr. J. Agric. Res. 2010, 5, 1412–1418. [Google Scholar]
- Nielsen, T.H.; Skjærbæ, H.C.; Karlsen, P. Carbohydrate metabolism during fruit development in sweet pepper (Capsicum annuum) plants. Physiol. Plant. 1991, 82, 311–319. [Google Scholar] [CrossRef]
- Zhang, X.; He, P.; Guo, R.; Huang, K.; Huang, X. Effects of salt stress on root morphology, carbon and nitrogen metabolism, and yield of Tartary buckwheat. Sci. Rep. 2023, 13, 12483. [Google Scholar] [CrossRef] [PubMed]
- Ha-Tran, D.M.; Nguyen, T.T.M.; Hung, S.H.; Huang, E.; Huang, C.C. Roles of Plant Growth-Promoting Rhizobacteria (PGPR) in Stimulating Salinity Stress Defense in Plants: A Review. Int. J. Mol. Sci. 2021, 22, 3154. [Google Scholar] [CrossRef]
- Numan, M.; Bashir, S.; Khan, Y.; Mumtaz, R.; Shinwari, Z.K.; Khan, A.L.; Khan, A.; Al-Harrasi, A. Plant growth promoting bacteria as an alternative strategy for salt tolerance in plants: A review. Microbiol. Res. 2018, 209, 21–32. [Google Scholar] [CrossRef]
- Sadak, M.S.; Hanafy, R.S.; Elkady, F.; Mogazy, A.M.; Abdelhamid, M.T. Exogenous Calcium Reinforces Photosynthetic Pigment Content and Osmolyte, Enzymatic, and Non-Enzymatic Antioxidants Abundance and Alleviates Salt Stress in Bread Wheat. Plants 2023, 12, 1532. [Google Scholar] [CrossRef]
- Sardar, H.; Khalid, Z.; Ahsan, M.; Naz, S.; Nawaz, A.; Ahmad, R.; Razzaq, K.; Wabaidur, S.M.; Jacquard, C.; Širić, I.; et al. Enhancement of Salinity Stress Tolerance in Lettuce (Lactuca sativa L.) via Foliar Application of Nitric Oxide. Plants 2023, 12, 1115. [Google Scholar] [CrossRef]
- Mittler, R.; Vanderauwera, S.; Gollery, M.; Van Breusegem, F. Reactive oxygen gene network of plants. Trends Plant Sci. 2004, 9, 490–498. [Google Scholar] [CrossRef]
- Jiang, X.; Gao, Y.; Zhou, H.; Chen, J.; Wu, J.; Zhang, S. Apoplastic calmodulin promotes self-incompatibility pollen tube growth by enhancing calcium influx and reactive oxygen species concentration in Pyrus pyrifolia. Plant Cell Rep. 2014, 33, 255–263. [Google Scholar] [CrossRef]
- Asada, K. THE WATER-WATER CYCLE IN CHLOROPLASTS: Scavenging of Active Oxygens and Dissipation of Excess Photons. Annu. Rev. Plant Physiol. Plant Mol. Biol. 1999, 50, 601–639. [Google Scholar] [CrossRef]
- Mateo, A.; Mühlenbock, P.; Rustérucci, C.; Chang, C.C.; Miszalski, Z.; Karpinska, B.; Parker, J.E.; Mullineaux, P.M.; Karpinski, S. LESION SIMULATING DISEASE 1 is required for acclimation to conditions that promote excess excitation energy. Plant Physiol. 2004, 136, 2818–2830. [Google Scholar] [CrossRef] [PubMed]
- Xu, C. Effects of Calcium on Biomass and Antioxidant Systems in Seedlings of Malus xiaojinensis under Salt Stress. Plant Physiol. J. 2014, 6, 817–822. [Google Scholar]
- Chen, K.; Gong, H.; Wang, S. Glutathione metabolism and environmental stresses in plants. Acta Bot. Boreali-Occident. Sin. 2004, 6, 1119–1130. [Google Scholar]
- Azevedo Neto, A.; Prisco, J.T.; Enéas-Filho, J.; Abreu, C.; Gomes-Filho, E. Effect of Salt Stress on Antioxidative Enzymes and Lipid Peroxidation in Leaves and Roots of Salt-Tolerant and Salt-Sensitive Maize Genotypes. Environ. Exp. Bot. 2006, 56, 87–94. [Google Scholar] [CrossRef]
- Badawi, G.H.; Kawano, N.; Yamauchi, Y.; Shimada, E.; Sasaki, R.; Kubo, A.; Tanaka, K. Over-expression of ascorbate peroxidase in tobacco chloroplasts enhances the tolerance to salt stress and water deficit. Physiol. Plant. 2004, 121, 231–238. [Google Scholar] [CrossRef]
- Agami, R.A. Applications of ascorbic acid or proline increase resistance to salt stress in barley seedlings. Biol. Plant. 2014, 58, 341–347. [Google Scholar] [CrossRef]
- Puyaubert, J.; Fares, A.; Rézé, N.; Peltier, J.B.; Baudouin, E. Identification of endogenously S-nitrosylated proteins in Arabidopsis plantlets: Effect of cold stress on cysteine nitrosylation level. Plant Sci. Int. J. Exp. Plant Biol. 2014, 215–216, 150–156. [Google Scholar] [CrossRef]
- Bowler, C. Superoxide Dismutase and Stress Tolerance. Annu. Rev. Plant Physiol. Plant Mol. Biol. 1992, 43, 83–116. [Google Scholar] [CrossRef]
- Wang, L.; Wang, C.; Liu, X.; Cheng, J.; Li, S.; Zhu, J.K.; Gong, Z. Peroxisomal β-oxidation regulates histone acetylation and DNA methylation in Arabidopsis. Proc. Natl. Acad. Sci. USA 2019, 116, 10576–10585. [Google Scholar] [CrossRef]
- Chan, S.W.; Henderson, I.R.; Jacobsen, S.E. Gardening the genome: DNA methylation in Arabidopsis thaliana. Nature reviews. Genetics 2005, 6, 351–360. [Google Scholar] [CrossRef]
- Shalata, A.; Mittova, V.; Volokita, M.; Guy, M.; Tal, M. Response of the cultivated tomato and its wild salt-tolerant relative Lycopersicon pennellii to salt-dependent oxidative stress: The root antioxidative system. Physiol. Plant. 2001, 112, 487–494. [Google Scholar] [CrossRef] [PubMed]
- Ghorbani Javid, M.; Sorooshzadeh, A.; Moradi, F.; Modarres-Sanavy, S.A.M.; Allahdadi, I. The role of phytohormones in alleviating salt stress in crop plants. Aust. J. Crop Sci. 2011, 5, 726–734. [Google Scholar]
- Praxedes, S.; DaMatta, F.; Loureiro, M.; Ferrão, M.; Cordeiro, A. Effects of long-term soil drought on photosynthesis and carbohydrate metabolism in mature robusta coffee (Coffea canephora Pierre var. kouillou) leaves. Environ. Exp. Bot. 2006, 56, 263–273. [Google Scholar] [CrossRef]
- Beck, E.H.; Fettig, S.; Knake, C.; Hartig, K.; Bhattarai, T. Specific and unspecific responses of plants to cold and drought stress. J. Biosci. 2007, 32, 501–510. [Google Scholar] [CrossRef] [PubMed]
- Bohnert, H.J.; Nelson, D.E.; Jensen, R.G. Adaptations to Environmental Stresses. Plant Cell 1995, 7, 1099–1111. [Google Scholar] [CrossRef]
- Burnap, R.L.; Hagemann, M.; Kaplan, A. Regulation of CO2 Concentrating Mechanism in Cyanobacteria. Life 2015, 5, 348–371. [Google Scholar] [CrossRef]
- Khelil, A.; Menu, T.; Ricard, B. Adaptive response to salt involving carbohydrate metabolism in leaves of a salt-sensitive tomato cultivar. Plant Physiol. Biochem. 2007, 45, 551–559. [Google Scholar] [CrossRef]
- Kerepesi, I.; Galiba, G. Osmotic and Salt Stress-Induced Alteration in Soluble Carbohydrate Content in Wheat Seedlings. Crop Sci. 2000, 40, 482–487. [Google Scholar] [CrossRef]
- Peng, J.; Liu, J.; Zhang, L.; Luo, J.; Dong, H.; Ma, Y.; Zhao, X.; Chen, B.; Sui, N.; Zhou, Z.; et al. Effects of Soil Salinity on Sucrose Metabolism in Cotton Leaves. PLoS ONE 2016, 11, e0156241. [Google Scholar] [CrossRef]
- Al Hassan, M.; Morosan, M.; López-Gresa, M.D.; Prohens, J.; Vicente, O.; Boscaiu, M. Salinity-Induced Variation in Biochemical Markers Provides Insight into the Mechanisms of Salt Tolerance in Common (Phaseolus vulgaris) and Runner (P. coccineus) Beans. Int. J. Mol. Sci. 2016, 17, 1582. [Google Scholar] [CrossRef]
- Rosa, M.; Prado, C.; Podazza, G.; Interdonato, R.; González, J.A.; Hilal, M.; Prado, F.E. Soluble sugars—Metabolism, sensing and abiotic stress: A complex network in the life of plants. Plant Signal. Behav. 2009, 4, 388–393. [Google Scholar] [CrossRef] [PubMed]
- Ceusters, N.; Van den Ende, W.; Ceusters, J. Exploration of Sweet Immunity to Enhance Abiotic Stress Tolerance in Plants: Lessons from CAM. In Progress in Botany; Cánovas, F.M., Lüttge, U., Matyssek, R., Eds.; Springer International Publishing: Cham, Switzerland, 2017; Volume 78, pp. 145–166. [Google Scholar]
- Li, L.; Sheen, J. Dynamic and diverse sugar signaling. Curr. Opin. Plant Biol. 2016, 33, 116–125. [Google Scholar] [CrossRef]
- Hennion, N.; Durand, M.; Vriet, C.; Doidy, J.; Maurousset, L.; Lemoine, R.; Pourtau, N. Sugars en route to the roots. Transport, metabolism and storage within plant roots and towards microorganisms of the rhizosphere. Physiol. Plant. 2019, 165, 44–57. [Google Scholar] [CrossRef] [PubMed]
- Hu, M.; Shi, Z.; Zhang, Z.; Zhang, Y.; Li, H. Effects of exogenous glucose on seed germination and antioxidant capacity in wheat seedlings under salt stress. Plant Growth Regul. 2012, 68, 177–188. [Google Scholar] [CrossRef]
- Osakabe, Y.; Yamaguchi-Shinozaki, K.; Shinozaki, K.; Tran, L.P. ABA control of plant macroelement membrane transport systems in response to water deficit and high salinity. New Phytol. 2014, 202, 35–49. [Google Scholar] [CrossRef] [PubMed]
- Roitsch, T.; Balibrea, M.E.; Hofmann, M.; Proels, R.; Sinha, A.K. Extracellular invertase: Key metabolic enzyme and PR protein. J. Exp. Bot. 2003, 54, 513–524. [Google Scholar] [CrossRef] [PubMed]
- Krapp, A. Plant nitrogen assimilation and its regulation: A complex puzzle with missing pieces. Curr. Opin. Plant Biol. 2015, 25, 115–122. [Google Scholar] [CrossRef]
- Liu, C.; Wang, Y.; Pan, K.; Zhu, T.; Li, W.; Zhang, L. Carbon and Nitrogen Metabolism in Leaves and Roots of Dwarf Bamboo (Fargesia denudata Yi) Subjected to Drought for Two Consecutive Years During Sprouting Period. J. Plant Growth Regul. 2014, 33, 243–255. [Google Scholar] [CrossRef]
- Munns, R. Genes and salt tolerance: Bringing them together. New Phytol. 2005, 167, 645–663. [Google Scholar] [CrossRef]
- Zaghdoud, C.; Carvajal, M.; Ferchichi, A.; Del Carmen Martínez-Ballesta, M. Water balance and N-metabolism in broccoli (Brassica oleracea L. var. Italica) plants depending on nitrogen source under salt stress and elevated CO2. Sci. Total Environ. 2016, 571, 763–771. [Google Scholar] [CrossRef]
- Iqbal, A.; Dong, Q.; Wang, X.; Gui, H.; Zhang, H.; Zhang, X.; Song, M. Transcriptome Analysis Reveals Differences in Key Genes and Pathways Regulating Carbon and Nitrogen Metabolism in Cotton Genotypes under N Starvation and Resupply. Int. J. Mol. Sci. 2020, 21, 1500. [Google Scholar] [CrossRef] [PubMed]
- Jaleel, C.A.; Riadh, K.; Gopi, R.; Manivannan, P.; Inès, J.; Al-Juburi, H.J.; Chang-Xing, Z.; Hong-Bo, S.; Panneerselvam, R. Antioxidant defense responses: Physiological plasticity in higher plants under abiotic constraints. Acta Physiol. Plant. 2009, 31, 427–436. [Google Scholar] [CrossRef]
- Li, N.; Zhang, H.; Li, X.; Liu, C. Function of Ca2+ in salt stress in plants. Chin. Bull. Life Sci. 2015, 27, 504–508. [Google Scholar] [CrossRef]
Disclaimer/Publisher’s Note: The statements, opinions and data contained in all publications are solely those of the individual author(s) and contributor(s) and not of MDPI and/or the editor(s). MDPI and/or the editor(s) disclaim responsibility for any injury to people or property resulting from any ideas, methods, instructions or products referred to in the content. |
© 2023 by the authors. Licensee MDPI, Basel, Switzerland. This article is an open access article distributed under the terms and conditions of the Creative Commons Attribution (CC BY) license (https://creativecommons.org/licenses/by/4.0/).







