Evaluation and Modelling of Reference Evapotranspiration Using Different Machine Learning Techniques for a Brazilian Tropical Savanna
Abstract
1. Introduction
2. Material and Methods
2.1. Study Area
2.2. Data Acquisition
2.3. Penman–Monteith Method
2.4. Machine Learning Techniques
2.5. Statistical Evaluation
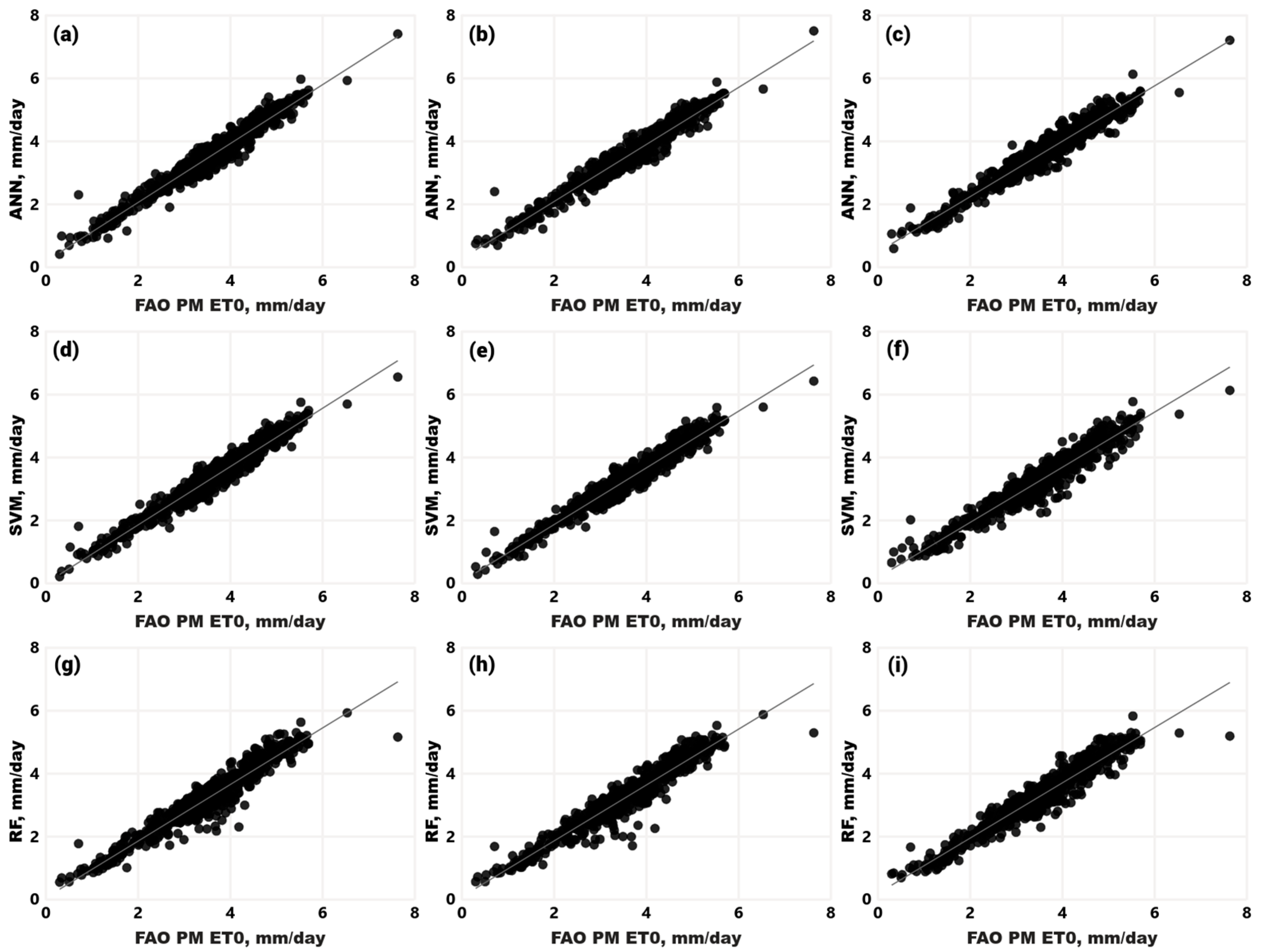
3. Results and Discussion
3.1. Analysis of Micrometeorological Parameters
3.2. Fitting the Models by Machine Learning Techniques
4. Conclusions
Author Contributions
Funding
Data Availability Statement
Acknowledgments
Conflicts of Interest
Appendix A
| Method | Parameters | R-Squared | RMSE | MAE |
|---|---|---|---|---|
| ANN | GSR + T + WS | 0.9449 | 0.4330 | 0.1875 |
| ANN | GSR + RH + WS | 0.9405 | 0.4398 | 0.1934 |
| ANN | GSR + T + RH | 0.9320 | 0.4611 | 0.2126 |
| ANN | GSR + T + RH + WS | 0.9182 | 0.4824 | 0.2327 |
| ANN | GSR + T | 0.9170 | 0.4845 | 0.2347 |
| ANN | GSR + WS | 0.9112 | 0.4853 | 0.2355 |
| ANN | GSR + RH | 0.9072 | 0.4929 | 0.2430 |
| ANN | GSR | 0.9025 | 0.5011 | 0.2511 |
| SVM | GSR + T + RH + WS | 0.8903 | 0.5310 | 0.2820 |
| SVM | GSR + T + WS | 0.8794 | 0.5443 | 0.2962 |
| SVM | GSR + RH + WS | 0.8642 | 0.5625 | 0.3164 |
| SVM | GSR + T | 0.8626 | 0.5450 | 0.2970 |
| RF | GSR + T + RH | 0.8571 | 0.5505 | 0.3030 |
| RF | GSR + T + RH + WS | 0.8535 | 0.5595 | 0.3131 |
| SVM | GSR + T + RH | 0.8471 | 0.5620 | 0.3158 |
| SVM | GSR + RH | 0.8420 | 0.5735 | 0.3289 |
| SVM | GSR + WS | 0.8411 | 0.5687 | 0.3234 |
| RF | GSR + T | 0.8314 | 0.5731 | 0.3284 |
| RF | GSR + RH | 0.8302 | 0.5756 | 0.3313 |
| RF | GSR + T + WS | 0.8261 | 0.5843 | 0.3414 |
| SVM | GSR | 0.8223 | 0.5723 | 0.3276 |
| RF | GSR + RH + WS | 0.8190 | 0.5885 | 0.3463 |
| RF | GSR | 0.7896 | 0.6019 | 0.3623 |
| RF | GSR + WS | 0.7853 | 0.6132 | 0.3760 |
| SVM | T + RH + WS | 0.7310 | 0.6205 | 0.3850 |
| SVM | T + RH | 0.7205 | 0.6305 | 0.3976 |
| SVM | RH + WS | 0.6857 | 0.6510 | 0.4238 |
| ANN | T + RH + WS | 0.6754 | 0.6530 | 0.4264 |
| RF | T + RH | 0.6734 | 0.6613 | 0.4373 |
| ANN | T + RH | 0.6624 | 0.6628 | 0.4393 |
| ANN | RH | 0.6577 | 0.6624 | 0.4388 |
| SVM | RH | 0.6574 | 0.6674 | 0.4454 |
| RF | T + RH + WS | 0.6528 | 0.6704 | 0.4494 |
| ANN | RH + WS | 0.6488 | 0.6713 | 0.4507 |
| RF | RH + WS | 0.5990 | 0.7015 | 0.4921 |
| RF | RH | 0.5881 | 0.7030 | 0.4943 |
| SVM | T | 0.5679 | 0.7161 | 0.5127 |
| SVM | T + WS | 0.5600 | 0.7080 | 0.5012 |
| ANN | T + WS | 0.5103 | 0.7437 | 0.5531 |
| RF | T + WS | 0.4762 | 0.7524 | 0.5661 |
| RF | T | 0.4742 | 0.7568 | 0.5728 |
| ANN | T | 0.4560 | 0.7774 | 0.6044 |
| SVM | WS | 0.1036 | 0.8482 | 0.7194 |
| RF | WS | 0.0812 | 0.9064 | 0.8216 |
| ANN | WS | 0.0126 | 0.8850 | 0.7832 |
References
- Fisher, J.B.; Melton, F.; Middleton, E.; Hain, C.; Anderson, M.; Allen, R.; McCabe, M.F.; Hook, S.; Baldocchi, D.; Townsend, P.A.; et al. The future of evapotranspiration: Global requirements for ecosystem functioning, carbon and climate feedbacks, agricultural management, and water resources. Water Resour. Res. 2017, 53, 2618–2626. [Google Scholar] [CrossRef]
- Marengo, A.; Alves, L.; Valverde, M.; Laborde, R.R. Eventos extremos em cenários regionalizados de clima no brasil e américa do sul para o século xxi: Projeções de clima futuro usando três modelos regionais. Relatório 2007, 5, 495–516. [Google Scholar]
- Cadavid, G.; Eduardo, A. O Clima no Pantanal Mato-Grossense; EMBRAPA-UEPAE Corumbá, Circular Técnica: Corumbá, Brazil, 1984. [Google Scholar]
- Sardinha, D.D.S.; Godoy, L.H. O Crescimento urbano e o impacto nos recursos hídricos superficiais de Uberaba (MG). Rev. Nac. Gerenc. Cid. 2016, 4, 1–20. [Google Scholar] [CrossRef]
- Tambosi, L.R.; Vidal, M.M.; Ferraz SFD, B.; Metzger, J.P. Funções eco-hidrológicas das florestas nativas e o Código Florestal. Estud. Avançados 2015, 29, 151–162. [Google Scholar] [CrossRef]
- Labedzki, L. (Ed.) Evapotranspiration; BoD–Books on Demand: Austria, Germany, 2011. [Google Scholar]
- Carvalho, W.O., Jr.; Neves, R.J.; Zocoler, J.C.; Sousa, W.H.; Oliveira, I.P. Evapotranspiration and energy balance over a seasonally flooded savanna in the Pantanal wetland. Theor. Appl. Climatol. 2020, 142, 237–250. [Google Scholar]
- Sanches, F.L.F.; Cunha, A.P.M.A.; Souza, L.C.D. Evapotranspiration in the Brazilian Pantanal: Trends and implications for water management. Water Science and Technology: Water Supply 2019, 19, 2081–2088. [Google Scholar]
- Valle Júnior, L.C.G.D.; Vourlitis, G.L.; Curado, L.F.A.; Palácios, R.D.S.; Nogueira, J.D.S.; Lobo, F.D.A.; Rodrigues, T.R. Evaluation of FAO-56 Procedures for Estimating Reference Evapotranspiration Using Missing Climatic Data for a Brazilian Tropical Savanna. Water 2021, 13, 1763. [Google Scholar] [CrossRef]
- Rodrigues, T.R.; Vourlitis, G.L.; Lobo, F.D.A.; de Oliveira, R.G.; Nogueira, J.D.S. Seasonal variation in energy balance and canopy conductance for a tropical savanna ecosystem of south-central Mato Grosso, Brazil. J. Geophys. Res. Biogeosci. 2014, 119, 1–13. [Google Scholar] [CrossRef]
- Carvalho, D.F.D.; Rocha, H.S.D.; Bonomo, R.; Souza, A.P.D. Estimativa da evapotranspiração de referência a partir de dados meteorológicos limitados. Pesqui. Agropecu. Bras. 2015, 50, 1–11. [Google Scholar] [CrossRef]
- Chattopadhyay, N.; Hulme, M. Evaporation and potential evapotranspiration in India under current and future climate change conditions. Agric. For. Meteorol. 1997, 87, 55–73. [Google Scholar] [CrossRef]
- Scher, S.; Messori, G. Predicting weather forecast uncertainty with machine learning. Q. J. R. Meteorol. Soc. 2018, 144, 2830–2841. [Google Scholar] [CrossRef]
- Tegos, A.; Stefanidis, S.; Cody, J.; Koutsoyiannis, D. On the Sensitivity of Standardized-Precipitation-Evapotranspiration and Aridity Indexes Using Alternative Potential Evapotranspiration Models. Hydrology 2023, 10, 64. [Google Scholar] [CrossRef]
- Guo, Y.; Liu, W.; Li, Y.; Hu, M.; Cheng, L.; Wang, X. Variation in evapotranspiration due to climate change and its impact on hydrological processes in the Yellow River Basin, China. Hydrol. Process. 2022, 36, 546–556. [Google Scholar]
- Li, X.; Hao, Z.; Liu, Y.; Guo, T.; Zhang, Y.; Cheng, L. Comparison of three potential evapotranspiration models in different climate zones in China. J. Hydrol. 2021, 606, 127770. [Google Scholar] [CrossRef]
- Liu, L.; Zhang, H.; Guo, S. Application of artificial neural network in the forecasting of rainfall and flood in Shenzhen. J. Phys. Conf. Ser. 2020, 1639, 012051. [Google Scholar]
- Chia, M.Y.; Huang, Y.F.; Koo, C.H.; Fung, K.F. Recent advances in evapotranspiration estimation using artificial intelligence approaches focusing on hybridization techniques—A review. Agronomy 2020, 10, 101. [Google Scholar] [CrossRef]
- Singh, Y.; Bhatia, P.K.; Sangwan, O. A review of studies on machine learning techniques. Int. J. Comput. Sci. Secur. 2007, 1, 70–84. [Google Scholar]
- Whitty, S.J.E.; Maylor, H. And then came complex project management (revised). Int. J. Proj. Manag. 2009, 27, 304–310. [Google Scholar] [CrossRef]
- Zhang, L.; Hickel, K.; Dawes, W.R.; Chiew, F.H.; Western, A.W.; Briggs, P.R. A rational function approach for estimating mean annual evapotranspiration. Water Resour. Res. 2004, 40. [Google Scholar] [CrossRef]
- Bao, Z.; Zhang, J.; Wang, G.; Guan, T.; Jin, J.; Liu, Y.; Li, M.; Ma, T. The sensitivity of vegetation cover to climate change in multiple climatic zones using machine learning algorithms. Ecol. Indic. 2021, 124, 107443. [Google Scholar] [CrossRef]
- Mosavi, A.; Ozturk, P.; Chau, K.-W. Flood Prediction Using Machine Learning Models: Literature Review. Water 2018, 10, 1536. [Google Scholar] [CrossRef]
- Zhang, Y.; Wei, Q.; Song, Y.; Li, Y. A comparison of random forest and support vector machine models for predicting river water quality. Environ. Sci. Pollut. Res. 2021, 28, 32503–32517. [Google Scholar]
- Zeng, Z.; Liu, X.; Lin, H.; Li, X.; Li, S. A comparative study of machine learning methods for predicting river water quality in the Three Gorges Reservoir, China. Environ. Sci. Pollut. Res. 2021, 28, 26946–26959. [Google Scholar]
- Lemos, F.D.O. Metodologia Para Seleção de Métodos de Previsão de Demanda; Universidade Federal do Rio Grande do Sul: Rio Grande do Sul, Brazil, 2006. [Google Scholar]
- Chiew, F.H.; Kamaladasa, N.N.; Malano, H.M.; McMahon, T.A. Penman-Monteith, FAO-24 reference crop evapotranspiration and class-A pan data in Australia. Agric. Water Manag. 1995, 28, 9–21. [Google Scholar] [CrossRef]
- Howell, T.A.; Evett, S.R. The Penman-Monteith Method; USDA-Agricultural Research Service, Conservation & Production Research Laboratory: Washington, DC, USA, 2004; Volume 14.
- Zotarelli, L.; Dukes, M.D.; Romero, C.C.; Migliaccio, K.W.; Morgan, K.T. Step-By-Step Calculation of the Penman-Monteith Evapotranspiration (FAO-56 Method); Institute of Food and Agricultural Sciences, The University of Florida: DeFuniak Springs, FL, USA, 2010; Volume 8. [Google Scholar]
- Teruel, B.J. Controle automatizado de casas de vegetação: Variáveis climáticas e fertigação. Rev. Bras. Eng. Agrícola Ambient. 2010, 14, 237–245. [Google Scholar] [CrossRef][Green Version]
- Rodrigues, T.R.; Curado, L.F.A.; Pereira, V.M.R.; Sanches, L.; Nogueira, J.S. Hourly interaction between wind speed and energy fluxes in Brazilian wetlands—Mato Grosso—Brazil. An. Acad. Bras. Cienc. 2016, 88, 2195–2209. [Google Scholar] [CrossRef]
- Alvares, C.A.; Stape, J.L.; Sentelhas, P.C.; de Moraes Gonçalves, J.L.; Sparovek, G. Köppen’s climate classification map for Brazil. Meteorol. Z. 2013, 22, 711–728. [Google Scholar] [CrossRef]
- Mendonça, F.; Danni-Oliveira, I.M. Climatologia: Noções Básicas e Climas do Brasil; Oficina de textos: São Paulo, Brazil, 2017. [Google Scholar]
- Rolim, G.D.S.; Camargo, M.B.P.D.; Lania, D.G.; Moraes, J.F.L.D. Classificação climática de Köppen e de Thornthwaite e sua aplicabilidade na determinação de zonas agroclimáticas para o estado de São Paulo. Bragantia 2007, 66, 711–720. [Google Scholar] [CrossRef]
- Novais, J.W.Z.; Sanches, L.; Silva, L.B.D.; Machado, N.G.; Aquino, A.M.; Pinto Junior, O.B. Albedo do solo abaixo do dossel em área de Vochysia Divergens Pohl no norte do Pantanal. Rev. Bras. Meteorol. 2016, 31, 157–166. [Google Scholar] [CrossRef][Green Version]
- Vourlitis, G.L.; da Rocha, H.R. Flux Dynamics in the Cerrado and Cerrado—Forest Transition of Brazil. In Ecosystem Function in Global Savannas: Measurement and Modeling at Landscape to Global Scales; Hill, M.J., Hanan, N.P., Eds.; CRC, Inc.: Boca Raton, FL, USA, 2011; pp. 97–116. [Google Scholar] [CrossRef]
- Radambrasil. Levantamentos dos Recursos Naturais Ministério das Minas de Energia; Secretaria Geral; Folha SD 21 Cuiabá; Projeto RADAMBRASIL: Rio de Janeiro, Brazil, 1982. [Google Scholar]
- Solos, E. Sistema Brasileiro de Classificação de Solos; Centro Nacional de Pesquisa de Solos: Rio de Janeiro, Brazil, 2013; Volume 3. [Google Scholar]
- Allen, R.G.; Jensen, M.E.; Wright, J.L.; Burman, R.D. Operational estimates of reference evapotranspiration. Agron. J. 1989, 81, 650–662. [Google Scholar] [CrossRef]
- Allen, R.G.; Pereira, L.S.; Raes, D.; Smith, M. Crop Evapotranspiration-Guidelines for Computing Crop Water Requirements-Fao Irrigation and Drainage Paper 56; FAO: Rome, Italy, 1998; Volume 300, p. D05109. [Google Scholar]
- Dongare, A.D.; Kharde, R.R.; Kachare, A.D. Introduction to an artificial neural network. Int. J. Eng. Innov. Technol. (IJEIT) 2012, 2, 189–194. [Google Scholar]
- Gupta, N. Artificial neural network. Netw. Complex Syst. 2013, 3, 24–28. [Google Scholar]
- Hastie, T.; Tibshirani, R.; Friedman, J. Random forests. In The Elements of Statistical Learning; Springer: New York, NY, USA, 2009; pp. 587–604. [Google Scholar]
- Breiman, L. Random forests. Mach. Learn. 2001, 45, 5–32. [Google Scholar] [CrossRef]
- Cutler, A.; Cutler, D.R.; Stevens, J.R. Random forests. In Ensemble Machine Learning; Springer: Boston, MA, USA, 2012; pp. 157–175. [Google Scholar]
- Noble, W.S. What is a support vector machine? Nat. Biotechnol. 2006, 24, 1565–1567. [Google Scholar] [CrossRef] [PubMed]
- Suthaharan, S. Support vector machine. In Machine Learning Models and Algorithms for Big DATA classification; Springer: Boston, MA, USA, 2016; pp. 207–235. [Google Scholar]
- Engelsdorff, T.S. Métodos em Machine Learning Para Construção de Curvas de Carga a Partir de Medições; Universidade de Brasília: Plano Piloto, Brazil, 2019. [Google Scholar]
- Medeiros, A.T. Estimativa da Evapotranspiração de Referência a Partir da Equação de Penman-Monteith, de Medidas Lisimétricas e de Equações Empíricas; Paraipaba, CE: Sao Paulo, Brazil, 2002; Volume 103. [Google Scholar]
- Tanaka, A.A.; Souza, A.P.D.; Klar, A.E.; Silva, A.C.D.; Gomes, A.W.A. Evapotranspiração de referência estimada por modelos simplificados para o Estado do Mato Grosso. Pesqui. Agropecu. Bras. 2016, 51, 91–104. [Google Scholar] [CrossRef][Green Version]
- Vescove, H.V.; Turco, J.E.P. Comparação de três métodos de estimativa da evapotranspiração de referência para a região de Araraquara-SP. Eng. Agrícola 2005, 25, 713–721. [Google Scholar] [CrossRef][Green Version]
- Blank, D.M.P. O contexto das mudanças climáticas e as suas vítimas. Mercator (Fortaleza) 2015, 14, 157–172. [Google Scholar] [CrossRef]
- Chambers, J.M. Software for Data Analysis: Programming with R.; Springer: New York, NY, USA, 2008. [Google Scholar]
- Matloff, N. The Art of R Programming: A Tour of Statistical Software Design; No Starch Press: Burlingame, CA, USA, 2011. [Google Scholar]
- R Core Team. R: A Language and Environment for Statistical Computing; R Foundation for Statistical Computing: Vienna, Austria, 2018. [Google Scholar]
- Lima, L.F.M.; Marson, A.; da Silva, D.V.O.; Hayashi, C.R.M.; Hayashi, M.C.P.I. Métricas científicas em estudos bibliométricos: Detecção de outliers para dados univariados. Em Questão 2017, 23, 254–273. [Google Scholar] [CrossRef]
- Bekman, O.R.; Neto, P.L.; de Oliveira, C. Análise Estatística da Decisão; Editora Blucher: São Paulo, Brazil, 2009. [Google Scholar]
- Chai, T.; Draxler, R.R. Root mean square error (RMSE) or mean absolute error (MAE)?—Arguments against avoiding RMSE in the literature. Geosci. Model Dev. 2014, 7, 1247–1250. [Google Scholar] [CrossRef]
- Martins, M.E.G.; Rodrigues, J.F. Coeficiente de correlação amostral. Rev. Ciênc. Elem. 2014, 2, 34–36. [Google Scholar]
- Machado, L.A.T.; Laurent, H.; Dessay, N.; Miranda, I. Seasonal and diurnal variability of convection over the Amazonia: A comparison of different vegetation types and large scale forcing. Theor. Appl. Climatol. 2004, 78, 61–77. [Google Scholar] [CrossRef]
- Steffen, C.A.; Solar, R.; Introdução ao Sensoriamento Remoto. Divisão de Sensoriamento Remoto. Instituto Nacional de Pesquisas Espaciais–INPE, São José dos Campos São—SP. Available online: http://www.inpe.br/unidades/cep/atividadescep/educasere/apostila.htm (accessed on 26 August 2021).
- Cavalcanti, E.P.; Silva, V.D.; de Sousa, F.D. Programa computacional para a estimativa da temperatura do ar para a região Nordeste do Brasil. Rev. Bras. Eng. Agríc. Ambient. 2006, 10, 140–147. [Google Scholar] [CrossRef]
- Salviano, M.F.; Groppo, J.D.; Pellegrino, G.Q. Análise de tendências em dados de precipitação e temperatura no Brasil. Rev. Bras. Meteorol. 2016, 31, 64–73. [Google Scholar] [CrossRef]
- Sette, D.M. Os climas do cerrado do Centro-Oeste. Rev. Bras. Climatol. 2005, 1. [Google Scholar] [CrossRef]
- Grace, J.; Malhi, Y.; Lloyd, J.; McIntyre, J.; Miranda, A.C.; Meir, P.; Miranda, H.S. The use of eddy covariance to infer the net carbon dioxide uptake of the Brazilian rain forest. Glob. Chang. Biol. 1996, 2, 209–217. [Google Scholar] [CrossRef]
- de Souza, A.; Aristone, F. Estudo da eficiência energética de células fotovoltaicas em função da radiação solar no Centro-Oeste Brasileiro. InterEspaço Rev. Geogr. Interdiscip. 2016, 2, 115–128. [Google Scholar] [CrossRef][Green Version]
- Sarra, S.R.; Mülfarth, R.C.K. Impactos das queimadas da região Centro-Oeste do Brasil sobre as cidades do estado de São Paulo. Braz. J. Dev. 2021, 7, 51237–51257. [Google Scholar]
- Shinzato, P.; Duarte, D.H.S. Impacto da vegetação nos microclimas urbanos e no conforto térmico em espaços abertos em função das interações solo-vegetação-atmosfera. Ambiente Construído 2018, 18, 197–215. [Google Scholar] [CrossRef]
- Cardoso, G.M.; Justino, F. Simulação dos componentes da evapotranspiração sob condições climáticas atuais e de cenários climáticos futuros de aquecimento global com o uso de modelos de clima-vegetação. Rev. Bras. Meteorol. 2014, 29, 85–95. [Google Scholar] [CrossRef]
- Mello, G.J. Previsão Micrometeorológica no Pantanal Mato-Grossense Pela Teoria de Sistemas Dinâmicos; Universidade Federal de Mato Grosso: Sinop-Mato Grosso, Brazil, 2013. [Google Scholar]
- Sousa, A. Coeficiente de Correlação Linear de Pearson; Departamento de Matemática, Universidade dos Açores: Ponta Delgada, Portugal, 2016. [Google Scholar]






| Technique | Parameters | R-Squared | RMSE | MAE | |
|---|---|---|---|---|---|
| 1° | ANN | GSR + T + WS | 0.9450 | 0.4329 | 0.1874 |
| 2° | ANN | GSR + RH + WS | 0.9405 | 0.4398 | 0.1934 |
| 3° | ANN | GSR + T + RH | 0.9320 | 0.4611 | 0.2126 |
| 4° | SVM | GSR + T + WS | 0.8794 | 0.5443 | 0.2962 |
| 5° | SVM | GSR + RH + WS | 0.8642 | 0.5625 | 0.3164 |
| 6° | RF | GSR + T + RH | 0.8570 | 0.5505 | 0.3030 |
| 7° | SVM | GSR + T + RH | 0.8471 | 0.5620 | 0.3158 |
| 8° | RF | GSR + T + WS | 0.8261 | 0.5843 | 0.3414 |
| 9° | RF | GSR + RH + WS | 0.8190 | 0.5885 | 0.3463 |
Disclaimer/Publisher’s Note: The statements, opinions and data contained in all publications are solely those of the individual author(s) and contributor(s) and not of MDPI and/or the editor(s). MDPI and/or the editor(s) disclaim responsibility for any injury to people or property resulting from any ideas, methods, instructions or products referred to in the content. |
© 2023 by the authors. Licensee MDPI, Basel, Switzerland. This article is an open access article distributed under the terms and conditions of the Creative Commons Attribution (CC BY) license (https://creativecommons.org/licenses/by/4.0/).
Share and Cite
Spontoni, T.A.; Ventura, T.M.; Palácios, R.S.; Curado, L.F.A.; Fernandes, W.A.; Capistrano, V.B.; Fritzen, C.L.; Pavão, H.G.; Rodrigues, T.R. Evaluation and Modelling of Reference Evapotranspiration Using Different Machine Learning Techniques for a Brazilian Tropical Savanna. Agronomy 2023, 13, 2056. https://doi.org/10.3390/agronomy13082056
Spontoni TA, Ventura TM, Palácios RS, Curado LFA, Fernandes WA, Capistrano VB, Fritzen CL, Pavão HG, Rodrigues TR. Evaluation and Modelling of Reference Evapotranspiration Using Different Machine Learning Techniques for a Brazilian Tropical Savanna. Agronomy. 2023; 13(8):2056. https://doi.org/10.3390/agronomy13082056
Chicago/Turabian StyleSpontoni, Thiago A., Thiago M. Ventura, Rafael S. Palácios, Leone F. A. Curado, Widinei A. Fernandes, Vinicius B. Capistrano, Clóvis L. Fritzen, Hamilton G. Pavão, and Thiago R. Rodrigues. 2023. "Evaluation and Modelling of Reference Evapotranspiration Using Different Machine Learning Techniques for a Brazilian Tropical Savanna" Agronomy 13, no. 8: 2056. https://doi.org/10.3390/agronomy13082056
APA StyleSpontoni, T. A., Ventura, T. M., Palácios, R. S., Curado, L. F. A., Fernandes, W. A., Capistrano, V. B., Fritzen, C. L., Pavão, H. G., & Rodrigues, T. R. (2023). Evaluation and Modelling of Reference Evapotranspiration Using Different Machine Learning Techniques for a Brazilian Tropical Savanna. Agronomy, 13(8), 2056. https://doi.org/10.3390/agronomy13082056

