Chloroplast Damage and Photosynthetic System Disorder Induced Chlorosis in the Leaves of Rice Seedlings under Excessive Biuret
Abstract
1. Introduction
2. Materials and Methods
2.1. Plant Material and Growth Conditions
2.2. Biuret Concentration in Rice Seedling Assays
2.3. Chlorophyll Abundance and Chloroplast Ultrastructure Observation
2.4. Chlorophyll Fluorescence Assays
2.5. RNA Extraction, Sequencing, and Mapping
2.6. Differentially Expressed Gene (DEG) Analysis
2.7. Quantitative Real-Time PCR (qRT-PCR) Analysis
2.8. Assay of Enzyme Activities and Membrane Permeability of Leaves
2.9. Statistics
3. Results
3.1. Biuret Caused Leaf Albinism and Destroyed the Structure of Chloroplasts
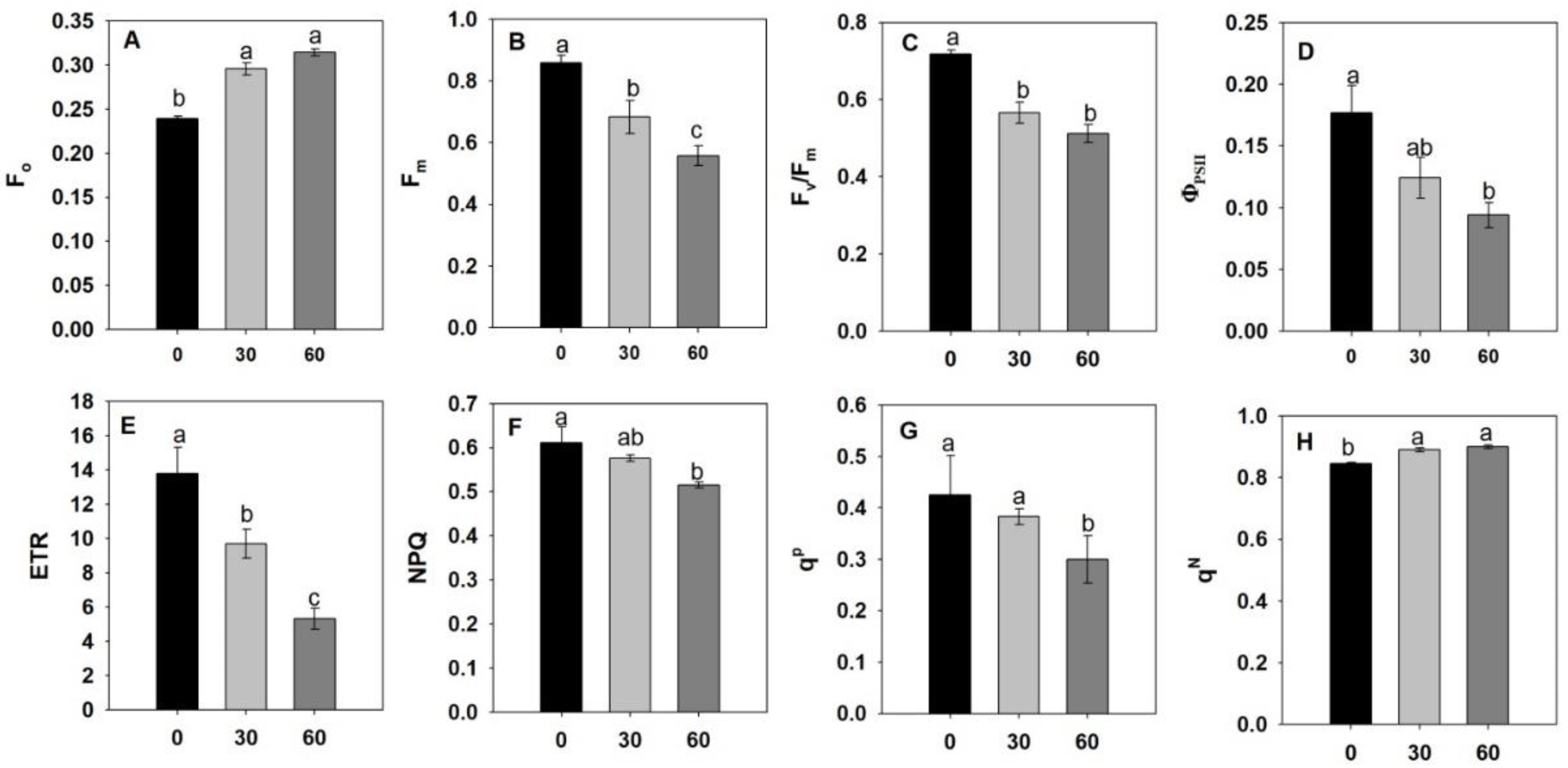
3.2. Biuret Decreased Leaf Pigment Content and Chlorophyll Fluorescence Parameters
3.3. Genes Involved in Chloroplast Biosynthesis Were Downregulated under Biuret Stress
3.4. Biuret Decreased the Enzyme Activities of Chlorophyll Biosynthesis and Chloroplast Development
4. Discussion
5. Conclusions
Supplementary Materials
Author Contributions
Funding
Data Availability Statement
Conflicts of Interest
References
- Peng, S.; Buresh, R.J.; Huang, J.; Yang, J.; Zou, Y.; Zhong, X.; Wang, G.; Zhang, F. Strategies for overcoming low agronomic nitrogen use efficiency in irrigated rice systems in China. Field Crop Res. 2006, 96, 37–47. [Google Scholar] [CrossRef]
- Huang, M.; Ibrahim, M.; Xia, B.; Zou, Y. Significance, progress and prospects for research in simplified cultivation technologies for rice in China. J. Agric. Sci. 2011, 149, 487–496. [Google Scholar] [CrossRef]
- Xue, J.; Clinton, P.W.; Sands, R.; Payn, T.W. Mineralisation and nitrification of biuret and urea nitrogen in two New Zealand forest soils. Soil Res. 2022, 61, 37–46. [Google Scholar] [CrossRef]
- Xue, J.M.; Sands, R.; Clinton, P.W.; Payn, T.W.; Skinner, M.F. Carbon and net nitrogen mineralisation in two forest soils amended with different concentrations of biuret. Soil Biol. Biochem. 2003, 35, 855–866. [Google Scholar] [CrossRef]
- Aukema, K.G.; Tassoulas, L.J.; Robinson, S.L.; Konopatski, J.F.; Bygd, M.D.; Wackett, L.P. Cyanuric acid biodegradation via Biuret: Physiology, taxonomy, and geospatial distribution. Appl. Environ. Microb. 2020, 86, e01964-19. [Google Scholar] [CrossRef]
- Ochiai, K.; Nomura, Y.; Uesugi, A.; Matoh, T. Biuret toxicity induces accumulation of nitrogen-rich compounds in rice plants. Plant Soil 2022, 485, 615–628. [Google Scholar] [CrossRef]
- Zhang, Y.; Zhu, D.; Chen, H.; Zhang, Y.; Xiang, J. Effects of biuret on seedling rate and albino seedling of rice. China Rice 2017, 23, 10–12. [Google Scholar]
- Kato, Y.; Miura, E.; Matsushima, R.; Sakamoto, W. White leaf sectors in yellow variegated2 are formed by viable cells with undifferentiated plastids. Plant Physiol. 2007, 144, 952–960. [Google Scholar] [CrossRef] [PubMed]
- Ochiai, K.; Uesugi, A.; Masuda, Y.; Nishii, M.; Matoh, T. Overexpression of exogenous biuret hydrolase in rice plants confers tolerance to biuret toxicity. Plant Direct. 2020, 4, e00290. [Google Scholar] [CrossRef]
- Achor, D.S.; Albrigo, L.G. Biuret toxicity symptoms in citrus leaves mimics cell senescence rather than nutritional deficiency chlorosis. J. Am. Soc. Hortic. Sci. 2005, 130, 667–673. [Google Scholar] [CrossRef]
- Zhang, Z.; Tan, J.; Shi, Z.; Xie, Q.; Xing, Y.; Liu, C.; Chen, Q.; Zhu, H.; Wang, J.; Zhang, J.; et al. Albino leaf 1 that encodes the sole octotricopeptide repeat protein is responsible for chloroplast development in rice. Plant Physiol. 2016, 171, 1182–1191. [Google Scholar] [CrossRef]
- Chen, G.; Bi, Y.R.; Li, N. EGY1 encodes a membrane-associated and ATP-independent metalloprotease that is required for chloroplast development. Plant J. 2010, 41, 364–375. [Google Scholar] [CrossRef] [PubMed]
- Nguyen, M.K.; Yang, C.M.; Shih, T.H.; Lin, S.H.; Giang Tuyet, P.; Hoang Chinh, N. Chlorophyll biosynthesis and transcriptome profiles of chlorophyll b-deficient type 2b rice (Oryza sativa L.). Not. Bot. Horti Agrobot. 2021, 49, 12380. [Google Scholar] [CrossRef]
- Yang, Y.; Chen, X.; Xu, B.; Li, Y.; Ma, Y.; Wang, G. Phenotype and transcriptome analysis reveals chloroplast development and pigment biosynthesis together influenced the leaf color formation in mutants of Anthurium andraeanum ‘Sonate’. Front. Plant Sci. 2015, 6, 139. [Google Scholar] [CrossRef] [PubMed]
- Arnon, D.I. Copper enzymes in isolated chloroplasts. Polyphenol oxidase in Beta vulgaris. Plant Physiol. 1949, 24, 1–15. [Google Scholar] [CrossRef] [PubMed]
- Strasser, R.J.; Srivastava, A.; Tsimilli-Michael, M. The fluorescence transient as a tool to characterize and screen photosynthetic samples. In Probing Photosynthesis: Mechanisms, Regulation and Adaptation; Taylor and Francis Press: London, UK, 2000. [Google Scholar]
- Kitajima, M.; Butler, W.L. Quenching of chlorophyll fluorescence and primary photochemistry in chloroplasts by dibromothymoquinone. Biochim. Biophys. Acta (BBA)-Bioenerg. 1975, 376, 105–115. [Google Scholar] [CrossRef]
- Genty, B.; Briantais, J.M.; Baker, N.R. The relationship between the quantum yield of photosynthetic electron transport and quenching of chlorophyll fluorescence. Biochim. Biophys. Acta (BBA)-Bioenerg. 1989, 990, 87–92. [Google Scholar] [CrossRef]
- Flexas, J.; Escalona, J.M.; Medrano, H. Water stress induces different levels of photosynthesis and electron transport rate regulation in grapevines. Plant Cell Environ. 1999, 22, 39–48. [Google Scholar] [CrossRef]
- Dewey, C.N.; Li, B. RSEM: Accurate transcript quantification from RNA-Seq data with or without a reference genome. BMC Bioinform. 2011, 12, 323. [Google Scholar]
- Zhang, Y.K.; Zhu, D.F.; Zhang, Y.P.; Chen, H.Z.; Xiang, J.; Lin, X.Q. Low pH-induced changes of antioxidant enzyme and ATPase activities in the roots of rice (Oryza sativa L.) seedlings. PLoS ONE 2015, 10, e0116971. [Google Scholar] [CrossRef]
- Pfaffl, M.W. A new mathematical model for relative quantification in real-time RT-PCR. Nucleic Acids Res. 2001, 29, 2002–2007. [Google Scholar] [CrossRef] [PubMed]
- Siegel, M.; Lane, M. Ribulose-diphosphate carboxylase from spinach leaves. Method Enzymol. 1975, 42, 472–480. [Google Scholar]
- Ferdinand, W. The isolation and specific activity of rabbit-muscle glyceraldehyde phosphate dehydrogenase. Biochem. J. 1964, 92, 578–585. [Google Scholar] [CrossRef] [PubMed]
- Chen, Y.R.; Hartman, F.C.; Lu, T.Y.S.; Larimer, F.W. D-ribulose-5-phosphate 3-epimerase: Cloning and heterologous expression of the spinach gene, and purification and characterization of the recombinant enzyme. Plant Physiol. 1998, 118, 199–207. [Google Scholar] [CrossRef][Green Version]
- Basu, S.; Roychoudhury, A.; Sanyal, S.; Sengupta, D.N. Carbohydrate content and antioxidative potential of the seed of three edible indica rice (Oryza sativa L.) cultivars. Indian J. Biochem. Bio. 2012, 49, 115–123. [Google Scholar]
- Fukasawa, A.; Suzuki, Y.; Terai, H.; Yamauchi, N. Effects of postharvest ethanol vapor treatment on activities and gene expression of chlorophyll catabolic enzymes in broccoli florets. Postharvest Biol. Tec. 2010, 55, 97–102. [Google Scholar] [CrossRef]
- Heath, R.L.; Packer, L. Photoperoxidation in isolated chloroplasts: I. Kinetics and stoichiometry of fatty acid peroxidation. Arch. Biochem. Biophys. 1968, 125, 189–198. [Google Scholar] [CrossRef]
- Yue, L.; Lian, F.; Han, Y.; Bao, Q.; Wang, Z.; Xing, B. The effect of biochar nanoparticles on rice plant growth and the uptake of heavy metals: Implications for agronomic benefits and potential risk. Sci. Total Environ. 2019, 656, 9–18. [Google Scholar] [CrossRef]
- Liu, X.; Zhang, X.; Cao, R.; Jiao, G.; Hu, S.; Shao, G.; Sheng, Z.; Xie, L.; Tang, S.; Wei, X.; et al. CDE4 encodes a pentatricopeptide repeat protein involved in chloroplast RNA splicing and affects chloroplast development under low-temperature conditions in rice. J. Integr. Plant Biol. 2021, 63, 1724–1739. [Google Scholar] [CrossRef]
- Fitter, D.W.; Martin, D.J.; Copley, M.J.; Scotland, R.W.; Langdale, J.A. GLK gene pairs regulate chloroplast development in diverse plant species. Plant J. 2010, 31, 713–727. [Google Scholar] [CrossRef]
- Liu, N.T.; Jane, W.N.; Tsay, H.S.; Wu, H.; Chang, W.C.; Lin, C.S. Chloroplast genome aberration in micropropagation-derived albino Bambusa edulis mutants, ab1 and ab2. Plant Cell Tiss. Org. 2007, 88, 147–156. [Google Scholar] [CrossRef]
- Nakamura, H. Ectopic overexpression of the transcription factor OsGLK1 induces chloroplast development in non-green rice cells. Plant Cell Physiol. 2009, 50, 1933–1949. [Google Scholar] [CrossRef] [PubMed]
- Hall, L.N.; Rossini, L.; Cribb, L.; Langdale, J.A. GOLDEN 2: A novel transcriptional regulator of cellular differentiation in the maize leaf. Plant Cell 1998, 10, 925–936. [Google Scholar] [CrossRef] [PubMed]
- Rossini, L.; Cribb, L.; Martin, D.J.; Langdale, J.A. The maize Golden2 gene defines a novel class of transcriptional regulators in plants. Plant Cell 2001, 13, 1231–1244. [Google Scholar] [CrossRef] [PubMed]
- Waters, M.T.; Wang, P.; Korkaric, M.; Capper, R.G.; Saunders, N.J.; Langdale, J.A. GLK transcription factors coordinate expression of the photosynthetic apparatus in Arabidopsis. Plant Cell 2009, 21, 1109–1128. [Google Scholar] [CrossRef]
- Langdale, J.A.; Kidner, C.A. Bundle sheath defective, a mutation that disrupts cellular differentiation in maize leaves. Dev. Blol. 1994, 120, 673–681. [Google Scholar] [CrossRef]
- Wei, Y.L. The Roles of Aldehyde Dehydrogenases (ALDHs) in Acetyl-CoA Biosynthesis and root Elongation in Arabidopsis. Master’s Thesis, Iowa State University, Ames, IA, USA, 2006. [Google Scholar]
- Lung, S.C.; Chye, M.L. Arabidopsis acyl-CoA-binding proteins regulate the synthesis of lipid signals. New Phytol. 2019, 223, 113–117. [Google Scholar] [CrossRef]
- Huner, N.P.A.; Maxwell, D.P.; Gray, G.R.; Savitch, L.V.; Falk, S. Sensing environmental temperature change through imbalances between energy supply and energy consumption: Redox state of photosystem II. Physiol. Plant. 2010, 98, 358–364. [Google Scholar] [CrossRef]
- Peterman, E.; Gradinaru, C.C.; Calkoen, F.; Borst, J.C.; Grondelle, R.V.; Amerongen, H.V. Xanthophylls in light-harvesting complex II of higher plants: Light harvesting and triplet quenching. Biochemistry 1997, 36, 12208–12215. [Google Scholar] [CrossRef]
- Zhu, X.; Mou, C.; Zhang, F.; Huang, Y.; Wan, J.; Yang, C.; Ji, J.; Liu, X.; Cao, P.; Nguyen, T.; et al. WSL9 encodes an HNH endonuclease domain-containing protein that is essential for early chloroplast development in rice. Rice 2020, 13, 45. [Google Scholar] [CrossRef]
- Du, Y.Y.; Shin, S.; Wang, K.R.; Lu, J.L.; Liang, Y.R. Effect of temperature on the expression of genes related to the accumulation of chlorophylls and carotenoids in albino tea. J. Hortic. Sci. Biotech. 2009, 84, 365–369. [Google Scholar] [CrossRef]
- Suorsa, M.; Sirpio, S.; Allahverdiyeva, Y.; Paakkarinen, V.; Mamedov, F.; Styring, S.; Aro, E.M. PsbR, a missing link in the assembly of the oxygen-evolving complex of plant photosystem II. J. Biol. Chem. 2006, 281, 145–150. [Google Scholar] [CrossRef] [PubMed]
- Allahverdiyeva, Y.; Suorsa, M.; Rossi, F.; Pavesi, A.; Kater, M.M.; Antonacci, A.; Tadini, L.; Pribil, M.; Schneider, A.; Wanner, G. Arabidopsis plants lacking PsbQ and PsbR subunits of the oxygen-evolving complex show altered PSII super-complex organization and short-term adaptive mechanisms. Plant J. 2013, 75, 671–684. [Google Scholar] [CrossRef]
- Jensen, P.E.; Bassi, R.; Boekema, E.J.; Dekker, J.P.; Jansson, S.; Leister, D.; Robinson, C.; Scheller, H.V. Structure, function and regulation of plant photosystem I. Biochim. Biophys. Acta (BBA)-Bioenerg. 2007, 1767, 335–352. [Google Scholar] [CrossRef]
- Haldrup, A.; Naver, H.; Scheller, H.V. The interaction between plastocyanin and photosystem I is inefficient in transgenic Arabidopsis plants lacking the PSI-N subunit of photosystem I. Plant J. 1999, 17, 689–698. [Google Scholar] [CrossRef] [PubMed]
- Ihalainen, J.A.; Jensen, P.E.; Haldrup, A.; Stokkum, I.H.M.V.; Dekker, J.P. Pigment organization and energy transfer dynamics in isolated photosystem I (PSI) complexes from Arabidopsis thaliana depleted of the PSI-G, PSI-K, PSI-L, or PSI-N subunit. Biophys. J. 2002, 83, 2190–2201. [Google Scholar] [CrossRef] [PubMed]
- Spreitzer, R.J.; Salvucci, M.E. Rubisco: Structure, regulatory interactions, and possibilities for a better enzyme. Annu. Rev. Plant Biol. 2002, 53, 449–475. [Google Scholar] [CrossRef]
- Su, J.; Zhu, X.Y. Study on the Subcellular Localization of GAPDH in Rice (Oryza sativa). In Proceedings of the International Conference on Biotechnology, Chemical and Materials Engineering (CBCME 2011), Kunming, China, 28–29 December 2011; pp. 988–991. [Google Scholar]








Disclaimer/Publisher’s Note: The statements, opinions and data contained in all publications are solely those of the individual author(s) and contributor(s) and not of MDPI and/or the editor(s). MDPI and/or the editor(s) disclaim responsibility for any injury to people or property resulting from any ideas, methods, instructions or products referred to in the content. |
© 2023 by the authors. Licensee MDPI, Basel, Switzerland. This article is an open access article distributed under the terms and conditions of the Creative Commons Attribution (CC BY) license (https://creativecommons.org/licenses/by/4.0/).
Share and Cite
Zhang, P.; Chen, Y.; Zhang, Y.; Xiang, J.; Wang, Y.; Wang, Z.; Chen, H.; Zhang, Y. Chloroplast Damage and Photosynthetic System Disorder Induced Chlorosis in the Leaves of Rice Seedlings under Excessive Biuret. Agronomy 2023, 13, 2052. https://doi.org/10.3390/agronomy13082052
Zhang P, Chen Y, Zhang Y, Xiang J, Wang Y, Wang Z, Chen H, Zhang Y. Chloroplast Damage and Photosynthetic System Disorder Induced Chlorosis in the Leaves of Rice Seedlings under Excessive Biuret. Agronomy. 2023; 13(8):2052. https://doi.org/10.3390/agronomy13082052
Chicago/Turabian StyleZhang, Peng, Yulin Chen, Yuping Zhang, Jing Xiang, Yaliang Wang, Zhigang Wang, Huizhe Chen, and Yikai Zhang. 2023. "Chloroplast Damage and Photosynthetic System Disorder Induced Chlorosis in the Leaves of Rice Seedlings under Excessive Biuret" Agronomy 13, no. 8: 2052. https://doi.org/10.3390/agronomy13082052
APA StyleZhang, P., Chen, Y., Zhang, Y., Xiang, J., Wang, Y., Wang, Z., Chen, H., & Zhang, Y. (2023). Chloroplast Damage and Photosynthetic System Disorder Induced Chlorosis in the Leaves of Rice Seedlings under Excessive Biuret. Agronomy, 13(8), 2052. https://doi.org/10.3390/agronomy13082052

