Frequency of Outcrossing and Isolation Distance in Faba Beans (Vicia faba L.)
Abstract
1. Introduction
2. Materials and Methods
2.1. Plant Material
2.2. Planting Arrangements and Observations
2.3. Statistical Analysis
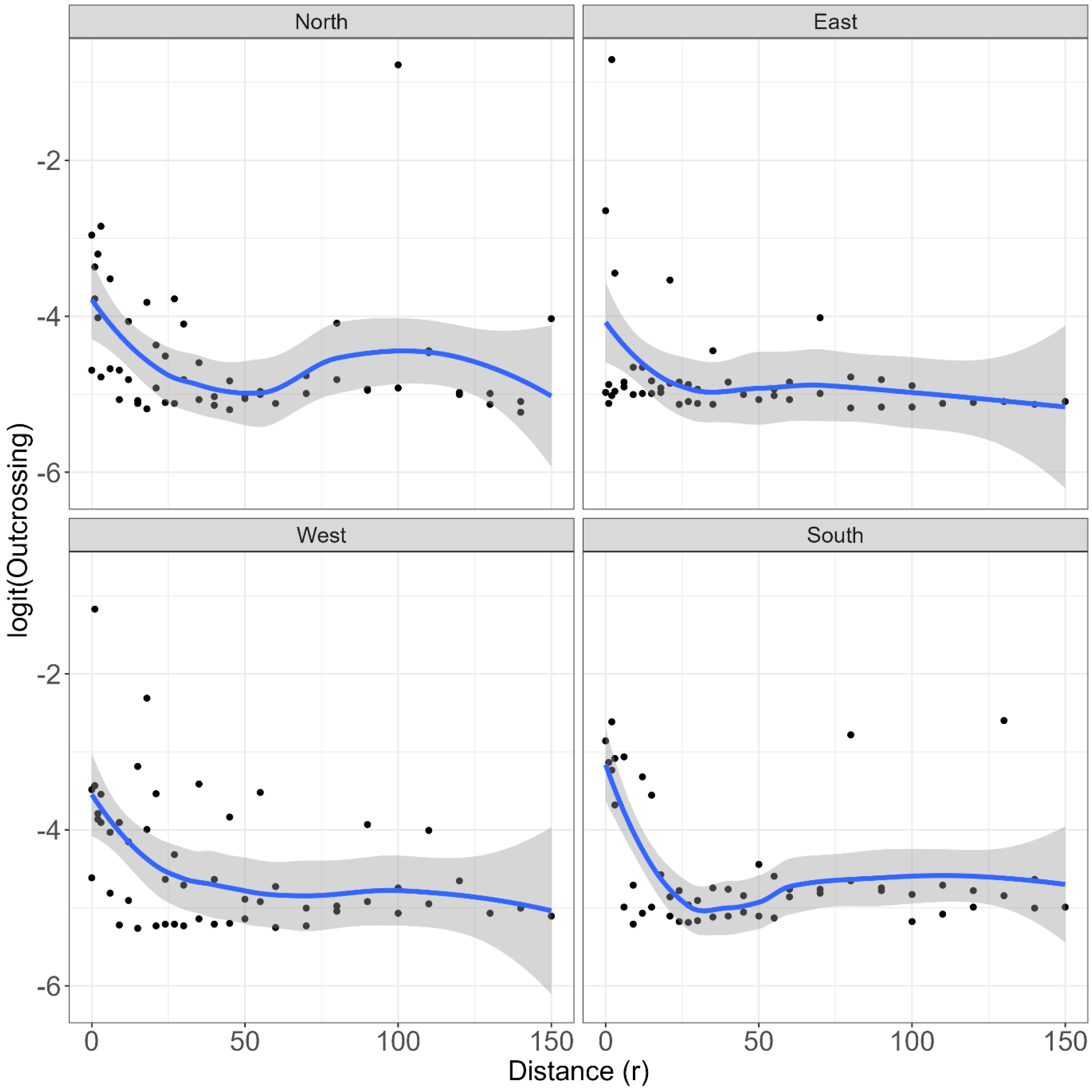
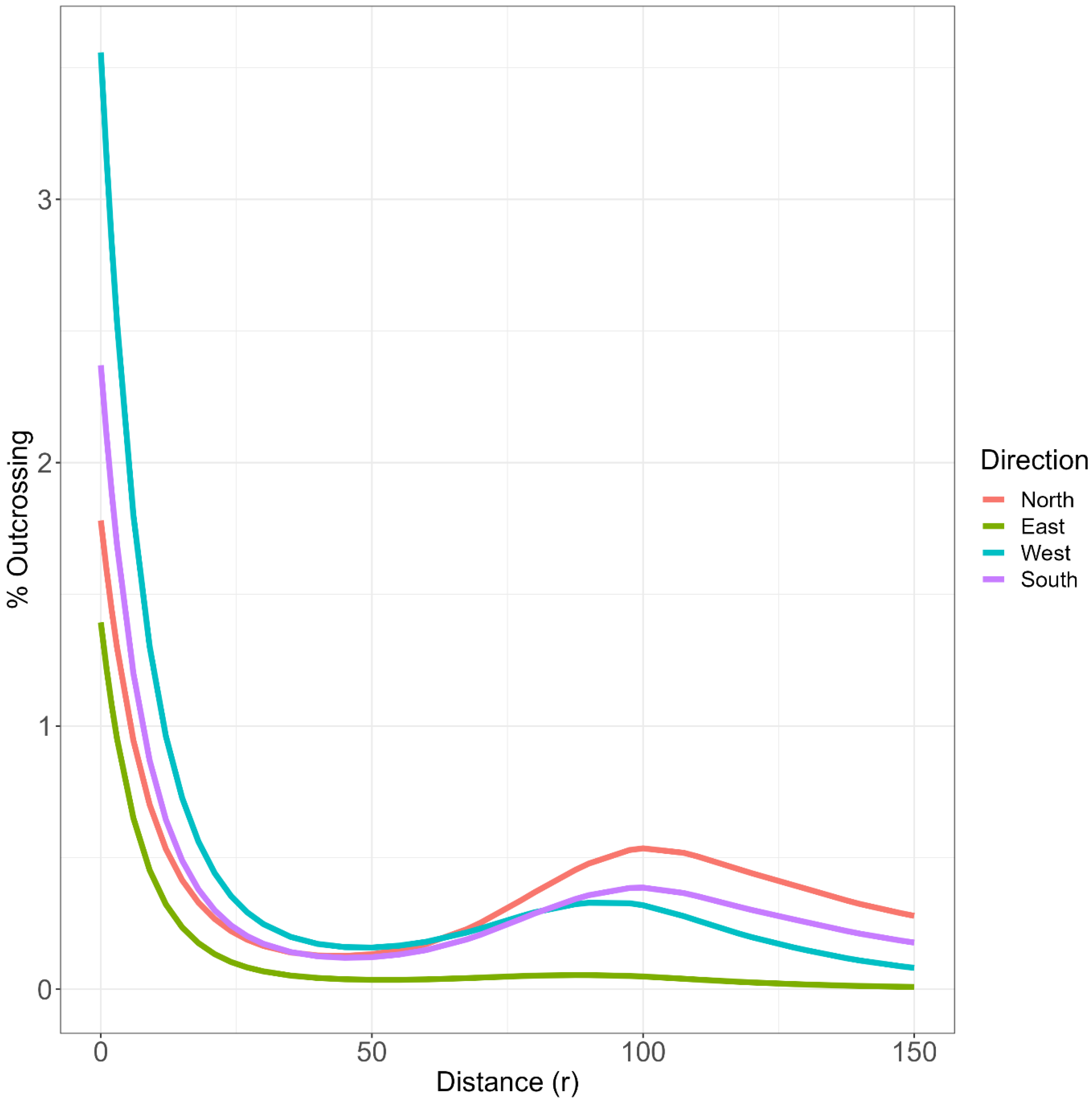
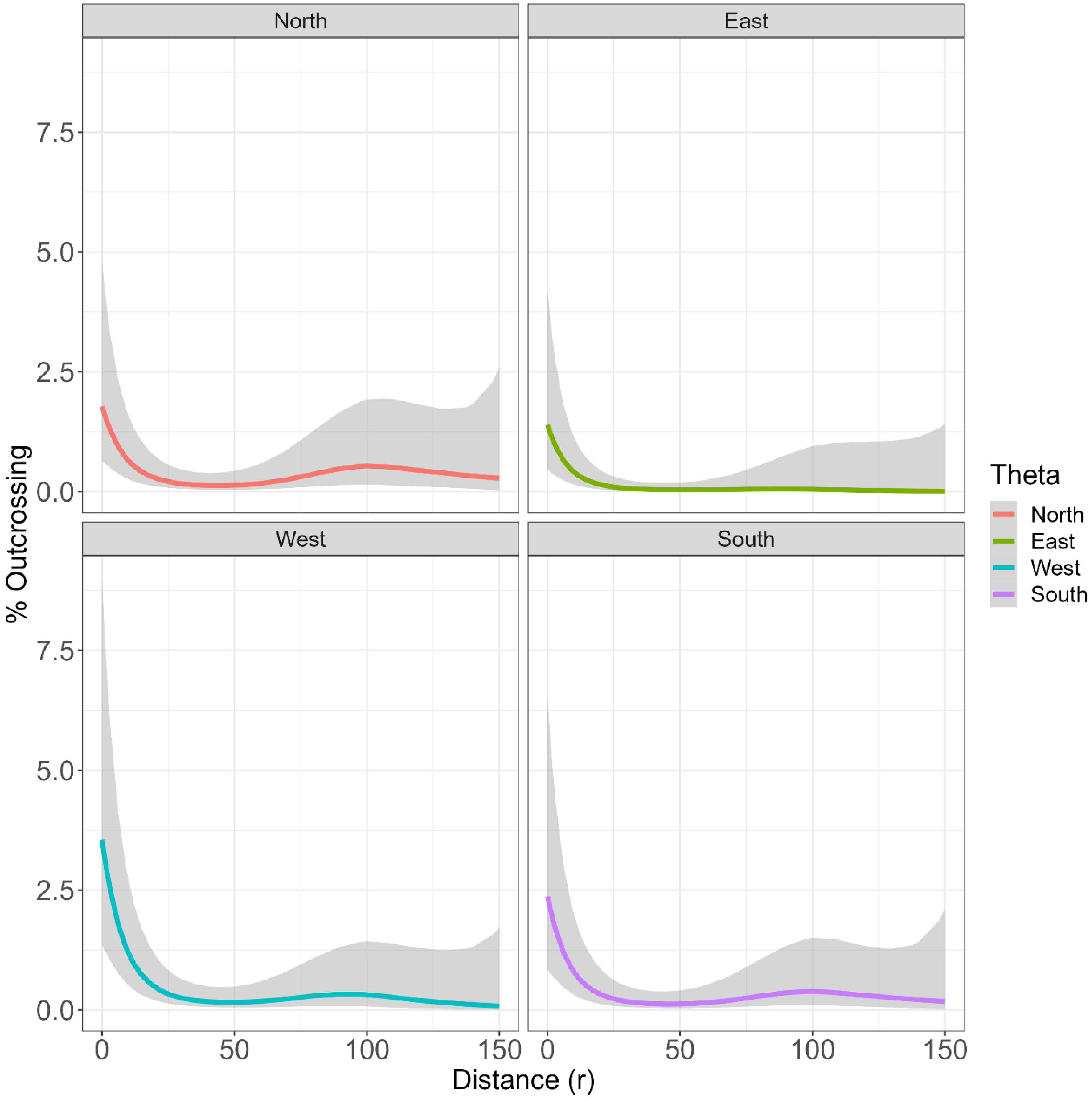
3. Results
3.1. Distance
3.2. Wind Speed and Direction
4. Discussion
4.1. Why Was Outcrossing Low?
4.1.1. Floral Synchrony
4.1.2. Density of Pollinators
4.1.3. Genotypic Differences
4.1.4. Plant Density
4.2. Future Studies
5. Conclusions
Author Contributions
Funding
Data Availability Statement
Conflicts of Interest
References
- Duc, G. Faba bean (Vicia faba L.). Field Crops Res. 1997, 53, 99–109. [Google Scholar] [CrossRef]
- Matthews, P.; Marcellos, H. Faba Bean Agfact, P4. 2.7; NSW Agriculture: Orange, NSW, Australia, 2003.
- Duc, G.; Bao, S.; Baum, M.; Redden, B.; Sadiki, M.; Suso, M.J.; Vishniakova, M.; Zong, X. Diversity maintenance and use of Vicia faba L. genetic resources. Field Crops Res. 2010, 115, 270–278. [Google Scholar] [CrossRef]
- FAOSTAT. FAOSTAT Database (2023). Available online: https://www.fao.org/faostat/en/#data/QCL (accessed on 27 June 2023).
- Drayner, J.M. Self- and cross-fertility in field beans (Vicia faba Linn.). J. Agric. Sci. 1959, 53, 387–403. [Google Scholar] [CrossRef]
- Bishop, J.; Jones, H.E.; O’Sullivan, D.M.; Potts, S.G. Elevated temperature drives a shift from selfing to outcrossing in the insect-pollinated legume, faba bean (Vicia faba). J. Exp. Bot. 2016, 68, 2055–2063. [Google Scholar] [CrossRef] [PubMed]
- Suso, M.J.; Moreno, M.T.; Melchinger, A.E. Variation in outcrossing rate and genetic structure on six cultivars of Vicia faba L. as affected by geographic location and year. Plant Breed. 1999, 118, 347–350. [Google Scholar] [CrossRef]
- Link, W. Autofertility and rate of cross-fertilization: Crucial characters for breeding synthetic varieties in faba beans (Vicia faba L.). TAG Theor. Appl. Genet. 1990, 79, 713–717. [Google Scholar] [CrossRef]
- Pope, M.; Bond, D.A. Influence of isolation distance on genetic contamination of field bean (Vicia faba L.) seed produced in small plots. J. Agric. Sci. 1975, 85, 509–513. [Google Scholar] [CrossRef]
- Bond, D.A.; Poulsen, M.H. Pollination. In The Faba Bean (Vicia faba L.); Hebblethwaite, P.D., Ed.; Butterworths: London, UK, 1983; pp. 77–101. [Google Scholar]
- Gottschalk, W. The breeding system of Vicia faba. Legume Res. 1978, 1, 69–76. [Google Scholar]
- Suso, M.J.; Pierre, J.; Moreno, M.T.; Esnault, R.; Le Guen, J. Variation in outcrossing levels in faba bean cultivars: Role of ecological factors. J. Agric. Sci. 2001, 136, 399–405. [Google Scholar] [CrossRef]
- Barrett, S.C.H.; Eckert, C.G. Variation and evolution of mating systems in seed plants. In Biological Approaches and Evolutionary Trends in Plants; Kawano, S., Ed.; Academic Press Limited: Amsterdam, The Netherlands, 1990; pp. 229–254. [Google Scholar]
- Adhikari, K.N.; Campbell, C.G. Natural outcrossing in common buckwheat. Euphytica 1998, 102, 233–237. [Google Scholar] [CrossRef]
- Adhikari, K.; Buirchell, B.; Stefanova, K. Outcrossing and isolation distance in yellow lupins. In Mexico, Where Old and New World Lupins Meet. Proceedings of the 11th International Lupins Conference; International Lupin Association: Canterbury, UK, 2006; pp. 47–49. [Google Scholar]
- Suso, M.J.; Maalouf, F. Direct and correlated responses to upward and downward selection for outcrossing in Vicia faba. Field Crops Res. 2010, 116, 116–126. [Google Scholar] [CrossRef]
- Aouar-sadli, M.; Louadi, K.; Doumandji, S.-E. Pollination of the broad bean (Vicia faba L. var. major) (Fabaceae) by wild bees and honey bees (Hymenoptera: Apoidea) and its impact on the seed production in the Tizi-Ouzou area (Algeria). Afr. J. Agric. 2008, 3, 266–272. [Google Scholar]
- Garratt, M.P.D.; Coston, D.J.; Truslove, C.L.; Lappage, M.G.; Polce, C.; Dean, R.; Biesmeijer, J.C.; Potts, S.G. The identity of crop pollinators helps target conservation for improved ecosystem services. Biol. Conserv. 2014, 169, 128–135. [Google Scholar] [CrossRef] [PubMed]
- Robertson, L.D.; Cardona, C. Studies on bee activity and outcrossing in increase plots of Vicia faba L. Field Crops Res. 1986, 15, 157–164. [Google Scholar] [CrossRef]
- Marcellos, H.; Perryman, T. Controls over pollination and ovule fertilization in Vicia faba. Euphytica 1990, 49, 5–13. [Google Scholar] [CrossRef]
- Cunningham, S.A.; Le Feuvre, D. Significant yield benefits from honeybee pollination of faba bean (Vicia faba) assessed at field scale. Field Crops Res. 2013, 149, 269–275. [Google Scholar] [CrossRef]
- Sommerville, D. Honey bees in faba bean pollination. In Agnote DAI-128; NSW Agriculture: Orange, NSW, Australia, 2002; pp. 1–4. ISSN 1034-6848. [Google Scholar]
- Stoddard, F. Pollen vectors and pollination of faba beans in southern Australia. Aust. J. Agric. Res. 1991, 42, 1173–1178. [Google Scholar] [CrossRef]
- Bishop, J.; Nakagawa, S. Quantifying crop pollinator dependence and its heterogeneity using multi-level meta-analysis. J. Appl. Ecol. 2021, 58, 1030–1042. [Google Scholar] [CrossRef]
- Bishop, J.; Garratt, M.P.D.; Breeze, T.D. Yield benefits of additional pollination to faba bean vary with cultivar, scale, yield parameter and experimental method. Sci. Rep. 2020, 10, 2102. [Google Scholar] [CrossRef]
- Adhikari, K.N.; Khazaei, H.; Ghaouti, L.; Maalouf, F.; Vandenberg, A.; Link, W.; O’Sullivan, D.M. Conventional and Molecular Breeding Tools for Accelerating Genetic Gain in Faba Bean (Vicia faba L.). Front. Plant Sci. 2021, 12. [Google Scholar] [CrossRef]
- Adcock, M.E.; Lawes, D.A. Self-fertility and the distribution of seed yield in Vicia faba L. Euphytica 1976, 25, 89–96. [Google Scholar] [CrossRef]
- Robertson, L.D.; El-Sherbeeny, M.H. Autofertility in a pure line faba bean (Vicia faba L.) germplasm collection. Genet. Resour. Crop Evol. 1995, 42, 157–163. [Google Scholar] [CrossRef]
- Pedersen, J.F.; Toy, J.J.; Johnson, B. Natural Outcrossing of Sorghum and Sudangrass in the Central Great Plains. Crop Sci. 1998, 38, 937–939. [Google Scholar] [CrossRef]
- Crofts, H.J.; Evans, L.E.; McVetty, P.B.E. Inheritance, Characterization and Selection of Tannin-Free Faba beans (Vicia faba L.). Can. J. Plant Sci. 1980, 60, 1135–1140. [Google Scholar] [CrossRef]
- Rowlands, D.G.; Corner, J.J. Genetics of pigmentation in broad beans (Vicia faba L.). In Proceedings of the 3rd Congress of Eucarpia, Paris, France, 21–28 May 1962; pp. 229–234. [Google Scholar]
- Stoddard, F.L.; Bond, D.A. The Pollination Requirements of the Faba Bean. Bee World 1987, 68, 144–152. [Google Scholar] [CrossRef]
- Picard, J. Aperçu sur l’hérédité du caractère absence de tanins dans les graines de féverole (Vicia faba L.). Ann Ame’lio Plantes 1976, 26, 101–106. [Google Scholar]
- Khazaei, H.; O’Sullivan, D.M.; Sillanpää, M.J.; Stoddard, F.L. Genetic analysis reveals a novel locus in Vicia faba decoupling pigmentation in the flower from that in the extra-floral nectaries. Mol. Breed. 2014, 34, 1507–1513. [Google Scholar] [CrossRef]
- Wilkinson, G.N.; Rogers, C.E. Symbolic Description of Factorial Models for Analysis of Variance. J. R. Stat. Soc. Ser. C Appl. Stat. 1973, 22, 392–399. [Google Scholar] [CrossRef]
- Verbyla, A.P.; Cullis, B.R.; Kenward, M.G.; Welham, S.J. The analysis of designed experiments and longitudinal data by using smoothing splines. J. R. Stat. Soc. Ser. C Appl. Stat. 1999, 48, 269–311. [Google Scholar] [CrossRef]
- Breslow, N.E.; Clayton, D.G. Approximate Inference in Generalized Linear Mixed Models. J. Am. Stat. Assoc. 1993, 88, 9–25. [Google Scholar] [CrossRef]
- Butler, D.; Cullis, B.; Gilmour, A.; Gogel, B.; Thompson, R.A.-R. Reference Manual Version 4; VSN International Ltd.: Hemel Hempstead, UK, 2017. [Google Scholar]
- Nelder, J.A.; Wedderburn, R.W.M. Generalized Linear Models. J. R. Stat. Soc. Ser. A Gen. 1972, 135, 370–384. [Google Scholar] [CrossRef]
- Anonymous. Bureau of Meteorology. Available online: http://www.bom.gov.au/climate/averages/tables/cw_053030.shtml (accessed on 25 August 2022).
- Palmer, R.G.; Perez, P.T.; Ortiz-Perez, E.; Maalouf, F.; Suso, M.J. The role of crop-pollinator relationships in breeding for pollinator-friendly legumes: From a breeding perspective. Euphytica 2009, 170, 35–52. [Google Scholar] [CrossRef]
- Aguilar-Benitez, D.; Casimiro-Soriguer, I.; Ferrandiz, C.; Torres, A.M. Study and QTL mapping of reproductive and morphological traits implicated in the autofertility of faba bean. BMC Plant Biol. 2022, 22, 175. [Google Scholar] [CrossRef]
- Anonymous. The Biology of Brassica napus (Canola); Department of Health and Ageing, Office of the Gene Technology Regulator, Australian Government: Canberra, ACT, Australia, 2011; pp. 1–72.
- Dyer, F.C. Memory and sun compensation by honey bees. J. Comp. Physiol. A 1987, 160, 621–633. [Google Scholar] [CrossRef]
- Dyer, F.C.; Gould, J.L. Honey bee orientation: A backup system for cloudy days. Science 1981, 214, 1041–1042. [Google Scholar] [CrossRef] [PubMed]
- Evangelista, C.; Kraft, P.; Dacke, M.; Labhart, T.; Srinivasan, M.V. Honeybee navigation: Critically examining the role of the polarization compass. Philos. Trans. R. Soc. Lond. B Biol. Sci. 2014, 369, 20130037. [Google Scholar] [CrossRef] [PubMed]
- Chang, J.J.; Crall, J.D.; Combes, S.A. Wind alters landing dynamics in bumblebees. J. Exp. Biol. 2016, 219, 2819–2822. [Google Scholar] [CrossRef]
- Hennessy, G.; Harris, C.; Eaton, C.; Wright, P.; Jackson, E.; Goulson, D.; Ratnieks, F.F.L.W. Gone with the wind: Effects of wind on honey bee visit rate and foraging behaviour. Anim. Behav. 2020, 161, 23–31. [Google Scholar] [CrossRef]
- Quinet, M.; Jacquemart, A.-L. Cultivar placement affects pollination efficiency and fruit production in European pear (Pyrus communis) orchards. Eur. J. Agron. 2017, 91, 84–92. [Google Scholar] [CrossRef]
- Taber, S., III. Beekeeping in the United States, 1st ed.; USDA: Tuscon, AZ, USA, 1980; pp. 33–38.
- Gealy, D.R.; Burgos, N.R.; Yeater, K.M.; Jackson, A.K. Outcrossing Potential between U.S. Blackhull Red Rice and Indica Rice Cultivars. Weed Sci. 2015, 63, 647–657. [Google Scholar] [CrossRef]
- Zuo, J.; Zhang, L.; Song, X.; Dai, W.; Qiang, S. Innate factors causing differences in gene flow frequency from transgenic rice to different weedy rice biotypes. Pest Manag. Sci 2011, 67, 677–690. [Google Scholar] [CrossRef] [PubMed]
- Jing, X.; Hong, L.; Rui, Q. Unexpectedly high outcrossing rate in both dense and sparse patches in self-compatible Pedicularis rex (Orobanchaceae). Plant Syst. Evol. 2013, 299, 49–56. [Google Scholar] [CrossRef]
- Fisogni, A.; Cristofolini, G.; Rossi, M.; Galloni, M. Pollinator directionality as a response to nectar gradient: Promoting outcrossing while avoiding geitonogamy. Plant Biol. 2011, 13, 848–856. [Google Scholar] [CrossRef] [PubMed]








| Term | #Effects | PQL (% of Total) |
|---|---|---|
| Site | 2 | 1.61 |
| Site:Direction | 8 | 0.25 |
| spl(r) | 26 | 19.58 |
| spl(r):Theta | 104 | 0.27 |
| Site:Direction:Distance | 124 | 25.9 |
| units!R | - | 52.39 |
| Term | Degree of Freedom | Wald Statistic | Pr (Chisq) |
|---|---|---|---|
| (Intercept) | 1 | 352.29 | 0 |
| r | 1 | 4.64 | 0.031 |
| Theta | 3 | 3.86 | 0.277 |
| r:Theta | 3 | 2.23 | 0.525 |
Disclaimer/Publisher’s Note: The statements, opinions and data contained in all publications are solely those of the individual author(s) and contributor(s) and not of MDPI and/or the editor(s). MDPI and/or the editor(s) disclaim responsibility for any injury to people or property resulting from any ideas, methods, instructions or products referred to in the content. |
© 2023 by the authors. Licensee MDPI, Basel, Switzerland. This article is an open access article distributed under the terms and conditions of the Creative Commons Attribution (CC BY) license (https://creativecommons.org/licenses/by/4.0/).
Share and Cite
Adhikari, K.N.; Burrows, L.; Sadeque, A.; Chung, C.; Cullis, B.; Trethowan, R. Frequency of Outcrossing and Isolation Distance in Faba Beans (Vicia faba L.). Agronomy 2023, 13, 1893. https://doi.org/10.3390/agronomy13071893
Adhikari KN, Burrows L, Sadeque A, Chung C, Cullis B, Trethowan R. Frequency of Outcrossing and Isolation Distance in Faba Beans (Vicia faba L.). Agronomy. 2023; 13(7):1893. https://doi.org/10.3390/agronomy13071893
Chicago/Turabian StyleAdhikari, Kedar N., Lucy Burrows, Abdus Sadeque, Christopher Chung, Brian Cullis, and Richard Trethowan. 2023. "Frequency of Outcrossing and Isolation Distance in Faba Beans (Vicia faba L.)" Agronomy 13, no. 7: 1893. https://doi.org/10.3390/agronomy13071893
APA StyleAdhikari, K. N., Burrows, L., Sadeque, A., Chung, C., Cullis, B., & Trethowan, R. (2023). Frequency of Outcrossing and Isolation Distance in Faba Beans (Vicia faba L.). Agronomy, 13(7), 1893. https://doi.org/10.3390/agronomy13071893

