Melatonin Mitigated Salinity Stress on Alfalfa by Improving Antioxidant Defense and Osmoregulation
Abstract
1. Introduction
2. Materials and Methods
2.1. Study Site and Plant Materials
2.2. Experimental Design
2.3. Observations and Measurements
2.4. Statistical Analyses
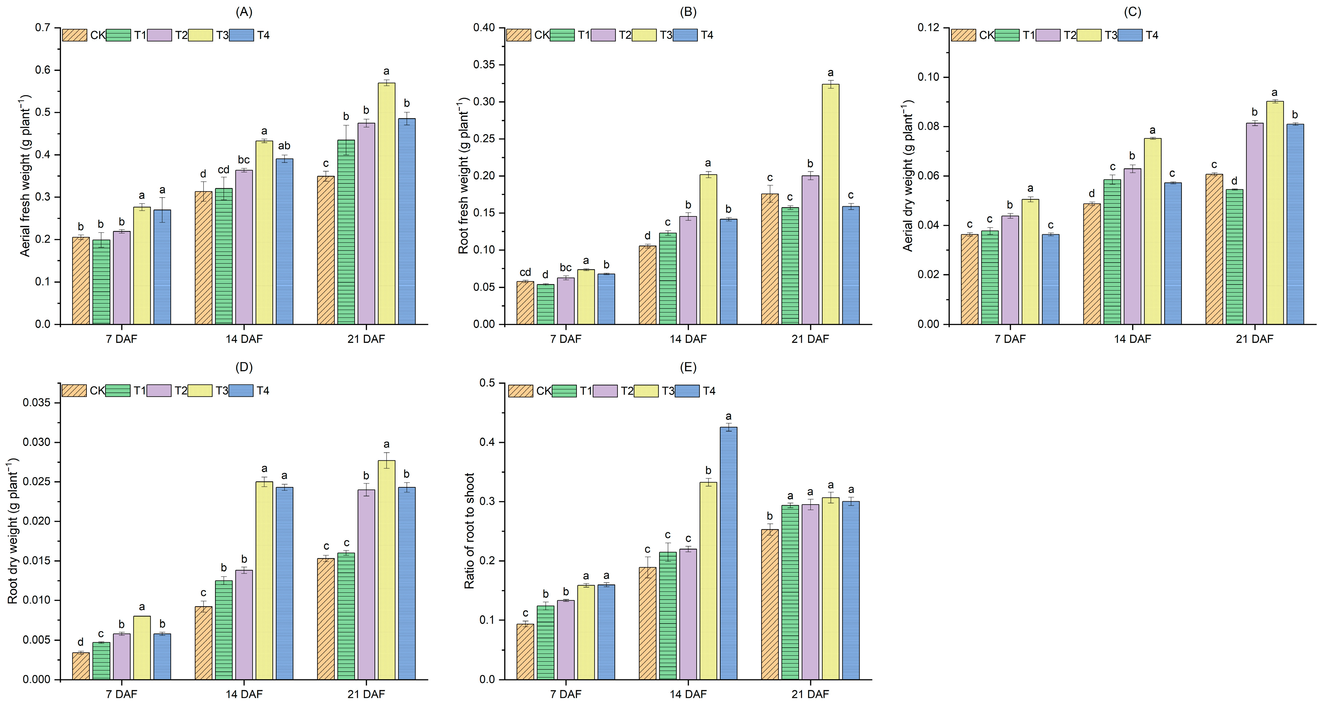
3. Results
4. Discussion
5. Conclusions
Author Contributions
Funding
Data Availability Statement
Conflicts of Interest
References
- Anower, M.R.; Peel, M.D.; Mott, I.W.; Wu, Y. Physiological processes associated with salinity tolerance in an alfalfa half-sib family. J. Agron. Crop Sci. 2017, 203, 506–518. [Google Scholar] [CrossRef]
- Zhang, C.; Shi, S.; Wang, B.; Zhao, J. Physiological and biochemical changes in different drought-tolerant alfalfa (Medicago sativa L.) varieties under PEG-induced drought stress. Acta Physiol. Plant. 2018, 40, 25. [Google Scholar] [CrossRef]
- Maas, E.V.; Grattan, S.R. Crop yields as affected by salinity. In Agronomy Monograph No. 38; Skaggs, R.W., van Schilfgaarde, J., Eds.; American Society of Agronomy, Inc.: Madison, WI, USA, 1999; pp. 55–108. [Google Scholar]
- Nabizadeh, E.; Jalilnejad, N.; Armakani, M. Effect of salinity on growth and nitrogen fixation of alfalfa (Medicago sativa L.). World Appl. Sci. J. 2011, 13, 1895–1900. [Google Scholar]
- Anower, M.R.; Mott, I.W.; Peel, M.D.; Wu, Y. Characterization of physiological responses of two alfalfa half-sib families with improved salt tolerance. Plant Physiol. Biochem. 2013, 71, 103–111. [Google Scholar] [CrossRef] [PubMed]
- Ansari, M.; Shekari, F.; Mohammadi, M.H.; Juhos, K.; Végvári, G.; Biró, B. Salt-tolerant plant growth-promoting bacteria enhanced salinity tolerance of salt-tolerant alfalfa (Medicago sativa L.) cultivars at high salinity. Acta Physiol. Plant. 2019, 41, 195. [Google Scholar] [CrossRef]
- Bansal, S.; Yin, X.H. Effects of salinity, growth condition, and soil type on shoot dry matter of Alfalfa (Medicago sativa)—A meta-analysis. Commun. Soil Sci. Plan 2021, 52, 201–211. [Google Scholar] [CrossRef]
- Singh, K.N.; Chatrath, R. Salinity tolerance. In Application of Physiology in Wheat Breeding; Reynolds, M.P., Ortiz-Monasterio, J.J., McNab, A., Eds.; CIMMYT: Texcoco, Mexico, 2001; pp. 101–110. [Google Scholar]
- Acosta-Motos, J.R.; Ortuño, M.F.; Bernal-Vicente, A.; Díaz-Vivancos, P.; Sánchez-Blanco, M.J.; Hernandez, J.A. Plant responses to salt stress: Adaptive mechanisms. Agronomy 2017, 7, 18. [Google Scholar] [CrossRef]
- Dubbels, R.; Reiter, R.J.; Klenke, E.; Goebel, A.; Schnakenberg, E.; Ehlers, C.; Schiwara, H.W.; Schloot, W. Melatonin in edible plants identified by radioimmunoassay and by high performance liquid chromatography-mass spectrometry. J. Pineal Res. 1995, 18, 28–31. [Google Scholar] [CrossRef]
- Zhao, D.; Yu, Y.; Shen, Y.; Liu, Q.; Zhao, Z.; Sharma, R.; Reiter, R.J. Melatonin Synthesis and Function: Evolutionary History in Animals and Plants. Front. Endocrinol. 2019, 10, 249. [Google Scholar] [CrossRef]
- Azizi, F.; Amiri, H.; Ismaili, A. Melatonin improves salinity stress tolerance of Phaseolus vulgaris L. cv. Pak by changing antioxidant enzymes and photosynthetic parameters. Acta Physiol. Plant. 2022, 44, 40. [Google Scholar] [CrossRef]
- Lei, Q.; Wang, L.; Tan, D.X.; Zhao, Y.; Zheng, X.D.; Chen, H.; Li, Q.T.; Zuo, B.X.; Kong, J. Identification of genes for melatonin synthetic enzymes in ‘Red Fuji’ apple (Malus domestica Borkh. cv. Red) and their expression and melatonin production during fruit development. J. Pineal Res. 2013, 55, 443–451. [Google Scholar] [CrossRef]
- Park, S.; Back, K. Melatonin promotes seminal root elongation and root growth in transgenic rice after germination. J. Pineal Res. 2012, 53, 385–389. [Google Scholar] [CrossRef]
- Tiryaki, I.; Keles, H. Reversal of the inhibitory effect of light and high temperature on germination of Phacelia tanacetifolia seeds by melatonin. J. Pineal Res. 2011, 52, 332–339. [Google Scholar] [CrossRef]
- Wang, P.; Yin, L.; Liang, D.; Li, C.; Ma, F.; Yue, Z. Delayed senescence of apple leaves by exogenous melatonin treatment: Toward regulating the ascorbate-glutathione cycle. J. Pineal Res. 2012, 53, 11–20. [Google Scholar] [CrossRef]
- Shi, H.; Wei, Y.; Wang, Q.; Reiter, R.J.; He, C. Melatonin mediates the stabilization of DELLA proteins to repress the floral transition in Arabidopsis. J. Pineal Res. 2016, 60, 373–379. [Google Scholar] [CrossRef]
- Wang, Y.; Reiter, R.J.; Chan, Z. Phytomelatonin: A universal abiotic stress regulator. J. Exp. Bot. 2017, 69, 963–974. [Google Scholar] [CrossRef]
- Arnao, M.B.; Hernández-Ruiz, J. Melatonin and its relationship to plant hormones. Ann. Bot. 2017, 121, 195–207. [Google Scholar] [CrossRef]
- Baath, G.S.; Shukla, M.K.; Bosland, P.W.; Steiner, R.L.; Walker, S.J. Irrigation water salinity influences at various growth stages of Capsicum annuum. Agric. Water Manag. 2017, 179, 246–2533. [Google Scholar] [CrossRef]
- Shiyab, S.M.; Shatnawi, M.A.; Shibli, R.A.; Smeirat, N.G.A.; Ayad, J.; Akash, M.W. Growth, nutrient acquisition, and physiological responses of hydroponic grown tomato to sodium chloride salt induced stress. J. Plant Nutr. 2013, 36, 665–676. [Google Scholar] [CrossRef]
- Gao, J.F. Plant Physiology Experiment Instruction; Higher Education Press: Beijing, China, 2006; pp. 210–211. (In Chinese) [Google Scholar]
- Zhou, Q. Plant Physiology Experiment Instruction; China Agriculture Press: Beijing, China, 2000; pp. 167–169. (In Chinese) [Google Scholar]
- Zhang, Z.L.; Zhai, W.J. Plant Physiology Experiment Instruction; Higher Education Press: Beijing, China, 2005; pp. 123–124. (In Chinese) [Google Scholar]
- Liu, Z.Q.; Zhang, S.C. Physiology of Plant Resistance; Agriculture Press: Beijing, China, 1994; pp. 371–372. (In Chinese) [Google Scholar]
- Li, H.S. Principles and Techniques of Plant Physiological and Biochemical Experiments; Higher Education Press: Beijing, China, 2001; pp. 258–260. (In Chinese) [Google Scholar]
- Sreenivasulu, N.; Grimm, B.; Wobus, U.; Weschke, W. Differential response of antioxidant compounds to salinity stress in salt-tolerant and salt-sensitive seedlings of foxtail millet (Setaria italica). Physiol. Plant. 2000, 109, 435–442. [Google Scholar] [CrossRef]
- Meftahizadeh, H.; Baath, G.S.; Saini, R.K.; Falakian, M.; Hatami, M. Melatonin-Mediated Alleviation of Soil Salinity Stress by Modulation of Redox Reactions and Phytochemical Status in Guar (Cyamopsis tetragonoloba L.). J. Plant Growth Regul. 2022, 42, 1118–1126. [Google Scholar] [CrossRef]
- Park, H.-S.; Kazerooni, E.A.; Kang, S.-M.; Al-Sadi, A.M.; Lee, I.-J. Melatonin Enhances the Tolerance and Recovery Mechanisms in Brassica juncea (L.) Czern. Under Saline Conditions. Front. Plant Sci. 2021, 12, 593717. [Google Scholar] [CrossRef]
- Ren, Z.; Shi, J.; Guo, A.; Wang, Y.; Fan, X.; Li, R.; Yu, C.; Peng, Z.; Gao, Y.; Liu, Z.; et al. Melatonin Mediates the Regulation of Morphological and Anatomical Traits in Carex leucochlora under Continuous Salt Stress. Agronomy 2022, 12, 2098. [Google Scholar] [CrossRef]
- Kamiab, F. Exogenous melatonin mitigates the salinity damages and improves the growth of pistachio under salinity stress. J. Plant Nutr. 2020, 43, 1468–1484. [Google Scholar] [CrossRef]
- Yao, X.; Zhou, M.; Ruan, J.; Peng, Y.; Ma, C.; Wu, W.; Gao, A.; Weng, W.; Cheng, J. Physiological and Biochemical Regulation Mechanism of Exogenous Hydrogen Peroxide in Alleviating NaCl Stress Toxicity in Tartary Buckwheat (Fagopyrum tataricum (L.) Gaertn). Int. J. Mol. Sci. 2022, 23, 10698. [Google Scholar] [CrossRef]
- Sharif, R.; Xie, C.; Zhang, H.; Arnao, M.B.; Ali, M.; Ali, Q.; Muhammad, I.; Shalmani, A.; Nawaz, M.A.; Chen, P.; et al. Melatonin and Its Effects on Plant Systems. Molecules 2018, 23, 2352. [Google Scholar] [CrossRef]
- Siddiqui, M.H.; Alamri, S.; Alsubaie, Q.D.; Ali, H.M. Melatonin and Gibberellic Acid Promote Growth and Chlorophyll Biosynthesis by Regulating Antioxidant and Methylglyoxal Detoxification System in Tomato Seedlings Under Salinity. J. Plant Growth Regul. 2020, 39, 1488–1502. [Google Scholar] [CrossRef]
- Siddiqui, M.H.; Alamri, S.; Khan, M.N.; Corpas, F.J.; Al-Amri, A.A.; Alsubaie, Q.D.; Ali, H.M.; Kalaji, H.M.; Ahmad, P. Melatonin and calcium function synergistically to promote the resilience through ROS metabolism under arsenic-induced stress. J. Hazard. Mater. 2020, 398, 122882. [Google Scholar] [CrossRef]
- Yang, X.; Han, Y.; Hao, J.; Qin, X.; Liu, C.; Fan, S. Exogenous spermidine enhances the photosynthesis and ultrastructure of lettuce seedlings under high-temperature stress. Sci. Hortic. 2022, 291, 110570. [Google Scholar] [CrossRef]
- Chen, L.; Liu, L.; Lu, B.; Ma, T.; Jiang, D.; Li, J.; Zhang, K.; Sun, H.; Zhang, Y.; Bai, Z.; et al. Exogenous melatonin promotes seed germination and osmotic regulation under salt stress in cotton (Gossypium hirsutum L.). PLoS ONE 2020, 15, e0228241. [Google Scholar] [CrossRef]
- Gao, W.; Feng, Z.; Bai, Q.; He, J.; Wang, Y. Melatonin-Mediated Regulation of Growth and Antioxidant Capacity in Salt-Tolerant Naked Oat under Salt Stress. Int. J. Mol. Sci. 2019, 20, 1176. [Google Scholar] [CrossRef]
- Iqbal, N.; Umar, S.; Khan, N.A.; Khan, M.I.R. A new perspective of phytohormones in salinity tolerance: Regulation of proline metabolism. Environ. Exp. Bot. 2014, 100, 34–42. [Google Scholar] [CrossRef]
- Alam, P.; Albalawi, T.H.; Altalayan, F.H.; Bakht, A.; Ahanger, M.A.; Raja, V.; Ashraf, M.; Ahmad, P. 24-Epibrassinolide (EBR) Confers Tolerance against NaCl Stress in Soybean Plants by Up-Regulating Antioxidant System, Ascorbate-Glutathione Cycle, and Glyoxalase System. Biomolecules 2019, 9, 640. [Google Scholar] [CrossRef]
- Chen, Y.-E.; Mao, J.-J.; Sun, L.-Q.; Huang, B.; Ding, C.-B.; Gu, Y.; Liao, J.-Q.; Hu, C.; Zhang, Z.-W.; Yuan, S.; et al. Exogenous melatonin enhances salt stress tolerance in maize seedlings by improving antioxidant and photosynthetic capacity. Physiol. Plant. 2018, 164, 349–363. [Google Scholar] [CrossRef]
- Wei, J.; Liang, J.; Liu, D.; Liu, Y.; Liu, G.; Wei, S. Melatonin-induced physiology and transcriptome changes in banana seedlings under salt stress conditions. Front. Plant Sci. 2022, 13, 938262. [Google Scholar] [CrossRef]
- Esboei, M.M.; Ebrahimi, A.; Amerian, M.R.; Alipour, H. Melatonin confers fenugreek tolerance to salinity stress by stimulating the biosynthesis processes of enzymatic, non-enzymatic antioxidants, and diosgenin content. Front. Plant Sci. 2022, 13, 890613. [Google Scholar] [CrossRef]



| Days | Melatonin | Root Length (cm plant−1) | Root Average Diameter (mm plant−1) | Root Surface Area (cm2 plant−1) |
|---|---|---|---|---|
| 7 DAF | CK | 24.3 b | 0.184 a | 4.17 bc |
| T1 | 24.5 b | 0.193 a | 4.23 b | |
| T2 | 26.6 a | 0.197 a | 3.95 cd | |
| T3 | 27.3 a | 0.193 a | 4.59 a | |
| T4 | 21.2 c | 0.189 a | 3.79 d | |
| 14 DAF | CK | 25.0 c | 0.240 a | 7.4 c |
| T1 | 25.9 c | 0.230 a | 8.1 bc | |
| T2 | 27.8 b | 0.233 a | 9.7 b | |
| T3 | 29.9 a | 0.238 a | 12.0 a | |
| T4 | 23.2 d | 0.232 a | 5.1 d | |
| 21 DAF | CK | 25.3 d | 0.256 ab | 10.7 bc |
| T1 | 26.8 c | 0.236 ab | 12.2 b | |
| T2 | 29.8 b | 0.220 b | 12.5 ab | |
| T3 | 33.1 a | 0.261 a | 14.7 a | |
| □ | T4 | 23.3 e | 0.229 ab | 8.6 c |
| Days | Melatonin | Height (cm) | Leaf Length (cm) | Leaf Width (cm) |
|---|---|---|---|---|
| 7 DAF | CK | 11.4 b | 1.08 b | 0.80 b |
| T1 | 12.2 b | 1.10 b | 0.85 ab | |
| T2 | 12.6 b | 1.12 ab | 0.90 ab | |
| T3 | 15.5 a | 1.22 a | 0.95 a | |
| T4 | 12.0 b | 1.08 b | 0.93 a | |
| 14 DAF | CK | 14.3 c | 1.18 c | 1.08 b |
| T1 | 14.1 c | 1.22 c | 1.15 ab | |
| T2 | 15.1 b | 1.37 ab | 1.28 a | |
| T3 | 18.7 a | 1.38 a | 1.22 ab | |
| T4 | 14.8 bc | 1.30 b | 1.18 ab | |
| 21 DAF | CK | 15.9 b | 1.22 b | 1.10 b |
| T1 | 14.2 c | 1.23 b | 1.23 a | |
| T2 | 15.7 b | 1.38 a | 1.30 a | |
| T3 | 19.8 a | 1.38 a | 1.28 a | |
| □ | T4 | 16.1 b | 1.48 a | 1.22 a |
| Melatonin | SPAD Readings | MDA (nmol mg−1) | ||||
|---|---|---|---|---|---|---|
| 7 DAF | 14 DAF | 21 DAF | 7 DAF | 14 DAF | 21 DAF | |
| CK | 33.8 b | 36.6 d | 37.6 c | 49.1 a | 73.3 a | 65.8 a |
| T1 | 34.6 b | 39.6 c | 41.2 b | 34.2 b | 52.8 b | 43.4 c |
| T2 | 35.7 b | 41.3 b | 41.8 b | 19.7 d | 42.1 c | 41.1 c |
| T3 | 43.0 a | 45.3 a | 46.7 a | 17.5 e | 31.8 d | 31.3 d |
| T4 | 40.2 a | 40.5 bc | 40.7 b | 24.1 c | 39.5 c | 52.5 b |
| Melatonin | Proline (μg g−1) | Soluble Protein (mg g−1) | ||||
|---|---|---|---|---|---|---|
| 7 DAF | 14 DAF | 21 DAF | 7 DAF | 14 DAF | 21 DAF | |
| CK | 159.9 d | 217.0 d | 367.7 d | 9.7 d | 13.0 d | 14.1 d |
| T1 | 210.0 c | 358.8 b | 402.3 c | 11.7 c | 16.1 b | 17.0 bc |
| T2 | 240.4 b | 384.0 a | 431.9 b | 13.6 b | 16.0 b | 18.1 b |
| T3 | 258.4 a | 382.7 a | 459.1 a | 18.2 a | 19.6 a | 21.9 a |
| T4 | 228.7 b | 255.8 c | 413.4 c | 14.1 b | 14.5 c | 16.3 c |
Disclaimer/Publisher’s Note: The statements, opinions and data contained in all publications are solely those of the individual author(s) and contributor(s) and not of MDPI and/or the editor(s). MDPI and/or the editor(s) disclaim responsibility for any injury to people or property resulting from any ideas, methods, instructions or products referred to in the content. |
© 2023 by the authors. Licensee MDPI, Basel, Switzerland. This article is an open access article distributed under the terms and conditions of the Creative Commons Attribution (CC BY) license (https://creativecommons.org/licenses/by/4.0/).
Share and Cite
Guo, X.; Shi, Y.; Zhu, G.; Zhou, G. Melatonin Mitigated Salinity Stress on Alfalfa by Improving Antioxidant Defense and Osmoregulation. Agronomy 2023, 13, 1727. https://doi.org/10.3390/agronomy13071727
Guo X, Shi Y, Zhu G, Zhou G. Melatonin Mitigated Salinity Stress on Alfalfa by Improving Antioxidant Defense and Osmoregulation. Agronomy. 2023; 13(7):1727. https://doi.org/10.3390/agronomy13071727
Chicago/Turabian StyleGuo, Xiaoqian, Yu Shi, Guanglong Zhu, and Guisheng Zhou. 2023. "Melatonin Mitigated Salinity Stress on Alfalfa by Improving Antioxidant Defense and Osmoregulation" Agronomy 13, no. 7: 1727. https://doi.org/10.3390/agronomy13071727
APA StyleGuo, X., Shi, Y., Zhu, G., & Zhou, G. (2023). Melatonin Mitigated Salinity Stress on Alfalfa by Improving Antioxidant Defense and Osmoregulation. Agronomy, 13(7), 1727. https://doi.org/10.3390/agronomy13071727

