Optimizing the Incorporated Amount of Chinese Milk Vetch (Astragalus sinicus L.) to Improve Rice Productivity without Increasing CH4 and N2O Emissions
Abstract
1. Introduction
2. Materials and Methods
2.1. Experimental Site
2.2. Experimental Description
2.3. Gas Sampling and Analysis
2.4. Soil Sampling and Analysis
2.5. Rice Yield Determination
2.6. Statistical Analysis
3. Results
3.1. Rice Yields and Soil Properties
3.2. CH4 and N2O Emissions
3.3. Global Warming Potential and Greenhouse Gas Intensity
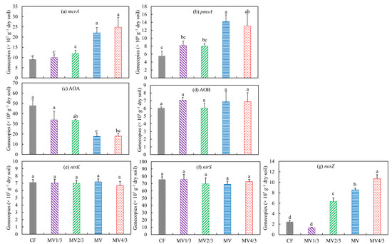
3.4. Abundances of Functional Genes
3.5. Partial Least-Squares-Path Model and Correlation Analysis
4. Discussion
4.1. Optimizing the Substitution Ratios of Urea with CMV to Improve Rice Productivity without Increasing GHG Emissions
4.2. Effects of Substituting Urea with CMV on Soil Properties and Functional Gene Abundances
4.3. Effects of Functional Gene Abundances on GHG Emissions
5. Conclusions
Supplementary Materials
Author Contributions
Funding
Data Availability Statement
Conflicts of Interest
References
- Zou, M.; Zhou, S.; Zhou, Y.; Jia, Z.; Guo, T.; Wang, J. Cadmium pollution of soil-rice ecosystems in rice cultivation dominated regions in China: A review. Environ. Pollut. 2021, 280, 116965. [Google Scholar] [CrossRef]
- Yu, H.; Zhang, G.; Ma, J.; Wang, T.; Song, K.; Huang, Q.; Zhu, C.; Jiang, Q.; Zhu, J.; Xu, H. Elevated atmospheric CO2 reduces CH4 and N2O emissions under two contrasting rice cultivars from a subtropical paddy field in China. Pedosphere 2022, 32, 707–717. [Google Scholar] [CrossRef]
- Chen, J.; Qin, W.; Chen, X.; Cao, W.; Qian, G.; Liu, J.; Xu, C. Application of Chinese milk vetch affects rice yield and soil productivity in a subtropical double-rice cropping system. J. Integr. Agric. 2020, 19, 211–2126. [Google Scholar] [CrossRef]
- Li, M.; Xue, L.; Zhou, B.; Duan, J.; He, Z.; Wang, X.; Xu, X.; Yang, L. Effects of domestic sewage from different sources on greenhouse gas emission and related microorganisms in straw-returning paddy fields. Sci. Total Environ. 2020, 718, 137407. [Google Scholar] [CrossRef]
- Lan, T.; Li, M.; Han, Y.; Deng, O.; Tang, X.; Luo, L.; Zeng, J.; Chen, G.; Yuan, S.; Wang, C.; et al. How are annual CH4, N2O, and NO emissions from rice–wheat system affected by nitrogen fertilizer rate and type? Appl. Soil Ecol. 2020, 150, 103469. [Google Scholar] [CrossRef]
- Aljerib, Y.M.; Geng, M.; Xu, P.; Li, D.; Rana, M.S.; Zhu, Q. Equivalent incorporation of Chinese milk vetch and rice straw enhanced nutrient mineralization and reduced greenhouse gas emissions. Soil Sci. Plant Nutr. 2022, 68, 167–174. [Google Scholar] [CrossRef]
- Yang, W.; Yao, L.; Zhu, M.; Li, C.; Li, S.; Wang, B.; Dijkstra, P.; Liu, Z.; Zhu, B. Replacing urea-N with Chinese milk vetch (Astragalus sinicus L.) mitigates CH4 and N2O emissions in rice paddy. Agric. Ecosyst. Environ. 2022, 336, 108033. [Google Scholar] [CrossRef]
- Kim, S.Y.; Gutierrez, J.; Kim, P.J. Considering winter cover crop selection as green manure to control methane emission during rice cultivation in paddy soil. Agric. Ecosyst. Environ. 2012, 161, 130–136. [Google Scholar] [CrossRef]
- Cai, Z.; Tsuruta, H.; Rong, X.; Xu, H.; Yuan, Z. CH4 emissions from rice paddies managed according to farmer’s practice in Hunan, China. Biogeochemistry 2001, 56, 75–91. [Google Scholar] [CrossRef]
- Hou, P.; Xue, L.; Wang, J.; Petropoulos, E.; Deng, X.; Qiao, J.; Xue, L.; Yang, L. Continuous milk vetch amendment in rice-fallow rotation improves soil fertility and maintains rice yield without increasing CH4 emissions: Evidence from a long-term experiment. Agric. Ecosyst. Environ. 2022, 325, 107774. [Google Scholar] [CrossRef]
- Zhong, C.; Liu, Y.; Xu, X.; Yang, B.; Aamer, M.; Zhang, P.; Huang, G. Paddy-upland rotation with Chinese milk vetch incorporation reduced the global warming potential and greenhouse gas emissions intensity of double rice cropping system. Environ. Pollut. 2021, 276, 116696. [Google Scholar] [CrossRef] [PubMed]
- Liu, Y.; Tang, H.; Muhammad, A.; Huang, G. The effects of Chinese milk vetch returning with nitrogen fertilizer on rice yield and greenhouse gas emissions. Greenh. Gases Sci. Technol. 2019, 9, 743–753. [Google Scholar] [CrossRef]
- Ma, Q.; Li, J.; Aamer, M.; Huang, G. Increasing methane (CH4) emissions and altering rhizosphere microbial diversity in paddy soil by combining Chinese milk vetch and rice straw. PeerJ 2020, 8, e9653. [Google Scholar] [CrossRef]
- Zhou, G.; Gao, S.; Xu, C.; Dou, F.; Shimizu, K.-Y.; Cao, W. Rational utilization of leguminous green manure to mitigate methane emissions by influencing methanogenic and methanotrophic communities. Geoderma 2020, 361, 114071. [Google Scholar] [CrossRef]
- Fan, Y.; Hao, X.; Carswell, A.; Misselbrook, T.; Ding, R.; Li, S.; Kang, S. Inorganic nitrogen fertilizer and high N application rate promote N2O emission and suppress CH4 uptake in a rotational vegetable system. Soil Tillage Res. 2021, 206, 104848. [Google Scholar] [CrossRef]
- Ishii, S.; Ikeda, S.; Minamisawa, K.; Senoo, K. Nitrogen cycling in rice paddy environments: Past achievements and future challenges. Microbes Environ. 2011, 26, 282–292. [Google Scholar] [CrossRef]
- Xu, X.; Zhang, M.; Xiong, Y.; Shaaban, M.; Yuan, J.; Hu, R. Comparison of N2O emissions from cold waterlogged and normal paddy fields. Front. Environ. Sci. 2021, 9, 660133. [Google Scholar] [CrossRef]
- Uchida, Y.; Moriizumi, M.; Shimotsuma, M. Effects of rice husk biochar and soil moisture on the accumulation of organic and inorganic nitrogen and nitrous oxide emissions during the decomposition of hairy vetch (Vicia villosa) mulch. Soil Sci. Plant Nutr. 2019, 65, 409–418. [Google Scholar] [CrossRef]
- Zhu, B.; Yi, L.; Hu, Y.; Zeng, Z.; Tang, H.; Yang, G.; Xiao, X. Effects of Chinese milk vetch (Astragalus sinicus L.) residue incorporation on CH4 and N2O emission from a double-rice paddy soil. J. Integr. Agric. 2012, 11, 1537–1544. [Google Scholar] [CrossRef]
- Xiong, Z.Q.; Xing, G.X.; Tsuruta, H.; Shen, G.Y.; Shi, S.L.; Du, L.J. Measurement of nitrous oxide emissions from two rice-based cropping systems in China. Nutr. Cycl. Agroecosyst. 2002, 64, 125–133. [Google Scholar] [CrossRef]
- Li, J.; Wang, S.; Shi, Y.; Zhang, L.; Wu, Z. Do fallow season cover crops increase N2O or CH4 emission from paddy soils in the mono-rice cropping system? Agronomy 2021, 11, 199. [Google Scholar] [CrossRef]
- Raheem, A.; Zhang, J.; Huang, J.; Jiang, Y.; Siddik, M.A.; Deng, A.; Gao, J.; Zhang, W. Greenhouse gas emissions from a rice-rice-green manure cropping system in South China. Geoderma 2019, 353, 331–339. [Google Scholar] [CrossRef]
- Zhou, G.; Gao, S.; Lu, Y.; Liao, Y.; Nie, J.; Cao, W. Co-incorporation of green manure and rice straw improves rice production, soil chemical, biochemical and microbiological properties in a typical paddy field in southern China. Soil Tillage Res. 2020, 197, 104499. [Google Scholar] [CrossRef]
- Hwang, H.Y.; Kim, G.W.; Lee, Y.B.; Kim, P.J.; Kim, S.Y. Improvement of the value of green manure via mixed hairy vetch and barley cultivation in temperate paddy soil. Field Crops Res. 2015, 183, 138–146. [Google Scholar] [CrossRef]
- Lin, S.; Wang, W.; Peñuelas, J.; Sardans, J.; Fernández-Martínez, M.; Su, C.; Xu, X.; Singh, B.P.; Fang, Y. Combined slag and biochar amendments to subtropical paddy soils lead to a short-term change of bacteria community structure and rise of soil organic carbon. Appl. Soil Ecol. 2022, 179, 104593. [Google Scholar] [CrossRef]
- Cai, Q.; Xu, M.; Ma, J.; Zhang, X.; Yang, G.; Long, L.; Chen, C.; Wu, J.; Song, C.; Xiao, Y. Improvement of cadmium immobilization in contaminated paddy soil by using ureolytic bacteria and rice straw. Sci. Total Environ. 2023, 874, 162594. [Google Scholar] [CrossRef]
- Li, D.; Li, H.; Chen, D.; Xue, L.; He, H.; Feng, Y.; Ji, Y.; Yang, L.; Chu, Q. Clay-hydrochar composites mitigated CH4 and N2O emissions from paddy soil: A whole rice growth period investigation. Sci. Total. Environ. 2021, 780, 146532. [Google Scholar] [CrossRef]
- Wang, J.; Zhang, L.; Lu, Q.; Raza, W.; Huang, Q.; Shen, Q. Ammonia oxidizer abundance in paddy soil profile with different fertilizer regimes. Appl. Soil Ecol. 2014, 84, 38–44. [Google Scholar] [CrossRef]
- Rodrigues, V.S.; do Valle Júnior, R.F.; Sanches Fernandes, L.F.; Pacheco, F.A.L. The assessment of water erosion using Partial Least Squares-Path Modeling: A study in a legally protected area with environmental land use conflicts. Sci. Total Environ. 2019, 691, 1225–1241. [Google Scholar] [CrossRef]
- Islam, M.M.; Urmi, T.A.; Rana, M.S.; Alam, M.S.; Haque, M.M. Green manuring effects on crop morpho-physiological characters, rice yield and soil properties. Physiol. Mol. Biol. Plants 2019, 25, 303–312. [Google Scholar] [CrossRef]
- Fan, Q.; Xu, C.; Zhang, L.; Xie, J.; Zhou, G.; Liu, J.; Hu, F.; Gao, S.; Cao, W. Application of milk vetch (Astragalus sinicus L.) with reduced chemical fertilizer improves rice yield and nitrogen, phosphorus, and potassium use efficiency in southern China. Eur. J. Agron. 2023, 144, 126762. [Google Scholar] [CrossRef]
- Zhu, B.; Yi, L.; Hu, Y.; Zeng, Z.; Lin, C.; Tang, H.; Yang, G.; Xiao, X. Nitrogen release from incorporated 15N-labelled Chinese milk vetch (Astragalus sinicus L.) residue and its dynamics in a double rice cropping system. Plant Soil 2014, 374, 331–344. [Google Scholar] [CrossRef]
- Wang, Z.H.; Wang, L.H.; Liang, H.; Peng, T.; Xia, G.P.; Zhang, J.; Zhao, Q.Z. Methane and nitrous oxide emission characteristics of high-yielding rice field. Environ. Sci. Pollut. Res. 2021, 28, 15021–15031. [Google Scholar] [CrossRef]
- Dong, D.; Li, J.; Ying, S.; Wu, J.; Han, X.; Teng, Y.; Zhou, M.; Ren, Y.; Jiang, P. Mitigation of methane emission in a rice paddy field amended with biochar-based slow-release fertilizer. Sci. Total Environ. 2021, 792, 148460. [Google Scholar] [CrossRef]
- Cai, Z.; Xing, G.; Yan, X.; Xu, H.; Tsuruta, H.; Yagi, K.; Minami, K. Methane and nitrous oxide emissions from rice paddy fields as affected by nitrogen fertilisers and water management. Plant Soil 1997, 196, 7–14. [Google Scholar] [CrossRef]
- Yao, Z.; Zheng, X.; Dong, H.; Wang, R.; Mei, B.; Zhu, J. A 3-year record of N2O and CH4 emissions from a sandy loam paddy during rice seasons as affected by different nitrogen application rates. Agric. Ecosyst. Environ. 2012, 152, 1–9. [Google Scholar] [CrossRef]
- Yang, W.; Yao, L.; Ji, X.; Zhu, M.; Li, C.; Li, S.; Wang, B.; Liu, Z.; Zhu, B. Does replacing chemical fertilizer with ryegrass (Lolium multiflorum Lam.) mitigate CH4 and N2O emissions and reduce global warming potential from paddy soil? Plant Soil 2023, 483, 71–83. [Google Scholar] [CrossRef]
- Wang, W.; Sardans, J.; Wang, C.; Zeng, C.; Tong, C.; Asensio, D.; Peñuelas, J. Relationships between the potential production of the greenhouse gases CO2, CH4 and N2O and soil concentrations of C, N and P across 26 paddy fields in southeastern China. Atmos. Environ. 2017, 164, 458–467. [Google Scholar] [CrossRef]
- Win, E.P.; Win, K.K.; Bellingrath-Kimura, S.D.; Oo, A.Z. Influence of rice varieties, organic manure and water management on greenhouse gas emissions from paddy rice soils. PLoS ONE 2021, 16, e0253755. [Google Scholar] [CrossRef]
- Fageria, N.K.; dos Santos, A.B.; Moraes, M.F. Influence of urea and ammonium sulfate on soil acidity indices in lowland rice production. Commun. Soil Sci. Plant Anal. 2010, 41, 1565–1575. [Google Scholar] [CrossRef]
- Guo, J.H.; Liu, X.J.; Zhang, Y.; Shen, J.L.; Han, W.X.; Zhang, W.F.; Christie, P.; Goulding, K.W.; Vitousek, P.M.; Zhang, F.S. Significant acidification in major Chinese croplands. Science 2010, 327, 1008–1010. [Google Scholar] [CrossRef]
- Wang, Y.; Liu, X.; Butterly, C.; Tang, C.; Xu, J. pH change, carbon and nitrogen mineralization in paddy soils as affected by Chinese milk vetch addition and soil water regime. J. Soils Sediments 2013, 13, 654–663. [Google Scholar] [CrossRef]
- Fang, C.; Gao, Y.; Zhang, J.; Lu, Y.; Liao, Y.; Xie, X.; Xiao, J.; Yu, Z.; Liu, F.; Yuan, H.; et al. Combined utilization of Chinese milk vetch, rice straw, and lime reduces soil available Cd and Cd accumulation in rice grains. Agronomy 2023, 13, 910. [Google Scholar] [CrossRef]
- Yu, Q.; Hu, X.; Ma, J.; Ye, J.; Sun, W.; Wang, Q.; Lin, H. Effects of long-term organic material applications on soil carbon and nitrogen fractions in paddy fields. Soil Tillage Res. 2020, 196, 104483. [Google Scholar] [CrossRef]
- Zhang, W.; Sheng, R.; Zhang, M.; Xiong, G.; Hou, H.; Li, S.; Wei, W. Effects of continuous manure application on methanogenic and methanotrophic communities and methane production potentials in rice paddy soil. Agric. Ecosyst. Environ. 2018, 258, 121–128. [Google Scholar] [CrossRef]
- Wang, Z.P.; DeLaune, R.D.; Patrick, W.H., Jr.; Masscheleyn, P.H. Soil redox and pH effects on methane production in a flooded rice soil. Soil Sci. Soc. Am. J. 1993, 57, 382–385. [Google Scholar] [CrossRef]
- Kim, C.; Walitang, D.I.; Roy Choudhury, A.; Lee, Y.; Lee, S.; Chun, H.; Heo, T.Y.; Park, K.; Sa, T. Changes in soil chemical properties due to long-term compost fertilization regulate methane turnover related gene abundances in rice paddy. Appl. Sci. 2022, 12, 2652. [Google Scholar] [CrossRef]
- Wu, Z.; Zhang, X.; Dong, Y.; Xu, X.; Xiong, Z. Microbial explanations for field-aged biochar mitigating greenhouse gas emissions during a rice-growing season. Environ. Sci. Pollut. Res. 2018, 25, 31307–31317. [Google Scholar] [CrossRef]
- Liang, Y.; Wu, C.; Wei, X.; Liu, Y.; Chen, X.; Qin, H.; Wu, J.; Su, Y.; Ge, T.; Hu, Y. Characterization of nirS- and nirK-containing communities and potential denitrification activity in paddy soil from eastern China. Agric. Ecosyst. Environ. 2021, 319, 107561. [Google Scholar] [CrossRef]
- Luo, D.; Li, Y.; Yao, H.; Chapman, S.J. Effects of different carbon sources on methane production and the methanogenic communities in iron rich flooded paddy soil. Sci. Total Environ. 2022, 823, 153636. [Google Scholar] [CrossRef]
- Ye, R.; Horwath, W.R. Influence of rice straw on priming of soil C for dissolved organic C and CH4 production. Plant Soil 2017, 417, 231–241. [Google Scholar] [CrossRef]
- Seo, J.; Jang, I.; Gebauer, G.; Kang, H. Abundance of methanogens, methanotrophic bacteria, and denitrifiers in rice paddy soils. Wetlands 2014, 34, 213–223. [Google Scholar] [CrossRef]
- Xu, X.; Zhang, M.; Xiong, Y.; Yuan, J.; Shaaban, M.; Zhou, W.; Hu, R. The influence of soil temperature, methanogens and methanotrophs on methane emissions from cold waterlogged paddy fields. J. Environ. Manag. 2020, 264, 110421. [Google Scholar] [CrossRef]
- Murrell, J.C.; McDonald, I.R.; Bourne, D.G. Molecular methods for the study of methanotroph ecology. FEMS Microbiol. Ecol. 1998, 27, 103–114. [Google Scholar] [CrossRef]
- Pan, F.; Chapman, S.J.; Li, Y.; Yao, H. Straw amendment to paddy soil stimulates denitrification but biochar amendment promotes anaerobic ammonia oxidation. J. Soils Sediments 2017, 17, 2428–2437. [Google Scholar] [CrossRef]
- Sheng, R.; Chen, A.; Zhang, M.; Whiteley, A.S.; Kumaresan, D.; Wei, W. Transcriptional activities of methanogens and methanotrophs vary with methane emission flux in rice soils under chronic nutrient constraints of phosphorus and potassium. Biogeosciences 2016, 13, 6507–6518. [Google Scholar] [CrossRef]
- Morris, R.L.; Tale, V.P.; Mathai, P.P.; Zitomer, D.H.; Maki, J.S. mcrA Gene abundance correlates with hydrogenotrophic methane production rates in full-scale anaerobic waste treatment systems. Lett. Appl. Microbiol. 2016, 62, 111–118. [Google Scholar] [CrossRef]
- McDonald, I.R.; Murrell, J.C. The particulate methane monooxygenase gene pmoA and its use as a functional gene probe for methanotrophs. FEMS Microbiol. Lett. 1997, 156, 205–210. [Google Scholar] [CrossRef]
- Wang, H.; Zheng, T.; Yang, X. Molecular ecology research progress for soil denitrification and research status for its influencing factors. J. Agro-Environ. Sci. 2013, 32, 1915–1924. [Google Scholar]
- Li, S.; Liang, H.; Wang, Y.; Zhang, Z.; Zhang, L.; Zhou, G.; Gao, S.; Cao, W. Responses of functional genes involved in nitrogen cycling to green manuring in different paddy soils in south China. Plant Soil 2022, 478, 519–532. [Google Scholar] [CrossRef]







| Treatment | CMV | Urea | Total N (kg ha−1) | MV:CF (%) | |||
|---|---|---|---|---|---|---|---|
| Application Rate (t ha−1) | N Input (kg ha−1) | Application Rate (kg ha−1) | Substituted by CMV (kg ha−1) | N Input (kg ha−1) | |||
| CF | 0.0 | 0.0 | 480.0 | 0.0 | 220.8 | 220.8 | 0.0 |
| MV25 | 7.5 | 17.7 | 441.4 | 38.6 | 203.1 | 220.8 | 8.7 |
| MV50 | 15.0 | 35.5 | 402.9 | 77.1 | 185.3 | 220.8 | 19.1 |
| MV75 | 22.5 | 53.2 | 364.3 | 115.7 | 167.6 | 220.8 | 31.7 |
| MV100 | 30.0 | 70.9 | 325.8 | 154.2 | 149.9 | 220.8 | 47.3 |
| Treatment | pH | SOC 1 (g kg−1) | DOC (mg kg−1) | TN (g kg−1) | AN (mg kg−1) | AP (mg kg−1) | AK (mg kg−1) |
|---|---|---|---|---|---|---|---|
| CF | 6.03 ± 0.07 c | 16.11 ± 0.78 c | 98.29 ± 13.13 c | 1.88 ± 0.12 a | 159.31 ± 4.23 a | 11.28 ± 0.66 b | 74.2 ± 2.05 b |
| MV1/3 | 6.14 ± 0.06 bc | 18.17 ± 0.53 bc | 104.19 ± 6.32 c | 1.86 ± 0.09 a | 159.38 ± 10.46 a | 14.21 ± 0.53 b | 80.42 ± 4.26 ab |
| MV2/3 | 6.17 ± 0.09 bc | 20.77 ± 1.34 ab | 142.10 ± 24.01 bc | 1.95 ± 0.1 a | 155.7 ± 5.13 a | 15.63 ± 1.8 ab | 88.16 ± 3.85 a |
| MV | 6.31 ± 0.02 ab | 20.83 ± 1.08 ab | 173.55 ± 8.15 ab | 2.08 ± 0.03 a | 157.61 ± 14.77 a | 18.64 ± 2.16 a | 89.78 ± 5.45 a |
| MV4/3 | 6.44 ± 0.07 a | 21.53 ± 1.25 a | 218.92 ± 30.41 a | 2.00 ± 0.25 a | 164.44 ± 13.19 a | 19.16 ± 1.00 a | 91.46 ± 2.99 a |
| Treatment | CH4-Induced GWP | N2O-Induced GWP | Total GWP (T CO2 eq ha−1) | GHGI (kg CO2 eq kg−1 Yield) | ||
|---|---|---|---|---|---|---|
| GWP (T CO2 eq ha−1) | Account for Total GWP (%) | GWP (T CO2 eq ha−1) | Account for Total GWP (%) | |||
| 2019 | ||||||
| CF | 5.08 c | 93.47 | 0.36 a | 6.53 | 5.44 c | 0.64 b |
| MV1/3 | 5.14 c | 93.81 | 0.34 ab | 6.19 | 5.48 c | 0.58 b |
| MV2/3 | 5.01 c | 94.72 | 0.28 b | 5.28 | 5.29 c | 0.47 c |
| MV | 6.54 b | 97.27 | 0.19 c | 2.73 | 6.72 b | 0.56 bc |
| MV4/3 | 9.43 a | 97.94 | 0.20 c | 2.06 | 9.63 a | 0.82 a |
| 2020 | ||||||
| CF | 4.92 c | 92.77 | 0.38 a | 7.23 | 5.3 c | 0.59 b |
| MV1/3 | 5.15 c | 93.35 | 0.36 ab | 6.65 | 5.39 c | 0.58 b |
| MV2/3 | 5.04 c | 93.98 | 0.32 b | 6.02 | 5.36 c | 0.46 c |
| MV | 6.35 b | 96.34 | 0.25 c | 3.66 | 6.76 b | 0.60 b |
| MV4/3 | 10 a | 97.99 | 0.21 c | 2.01 | 10.2 a | 0.94 a |
| 2021 | ||||||
| CF | 4.70 c | 92.38 | 0.38 a | 7.62 | 5.08 b | 0.58 b |
| MV1/3 | 4.75 bc | 92.69 | 0.37 a | 7.31 | 5.13 b | 0.57 b |
| MV2/3 | 4.99 bc | 94.32 | 0.30 b | 5.68 | 5.29 b | 0.47 b |
| MV | 6.06 b | 96.21 | 0.24 b | 3.79 | 6.3 b | 0.56 b |
| MV4/3 | 9.54 a | 98.23 | 0.17 c | 1.77 | 9.71 a | 0.89 a |
Disclaimer/Publisher’s Note: The statements, opinions and data contained in all publications are solely those of the individual author(s) and contributor(s) and not of MDPI and/or the editor(s). MDPI and/or the editor(s) disclaim responsibility for any injury to people or property resulting from any ideas, methods, instructions or products referred to in the content. |
© 2023 by the authors. Licensee MDPI, Basel, Switzerland. This article is an open access article distributed under the terms and conditions of the Creative Commons Attribution (CC BY) license (https://creativecommons.org/licenses/by/4.0/).
Share and Cite
Zhou, N.; Jiang, T.; Wang, J.; Chen, Y.; Yang, W.; Tang, S.; Han, S.; Wang, Y. Optimizing the Incorporated Amount of Chinese Milk Vetch (Astragalus sinicus L.) to Improve Rice Productivity without Increasing CH4 and N2O Emissions. Agronomy 2023, 13, 1636. https://doi.org/10.3390/agronomy13061636
Zhou N, Jiang T, Wang J, Chen Y, Yang W, Tang S, Han S, Wang Y. Optimizing the Incorporated Amount of Chinese Milk Vetch (Astragalus sinicus L.) to Improve Rice Productivity without Increasing CH4 and N2O Emissions. Agronomy. 2023; 13(6):1636. https://doi.org/10.3390/agronomy13061636
Chicago/Turabian StyleZhou, Nannan, Tengfei Jiang, Jiajia Wang, Yujiao Chen, Wenbin Yang, Shan Tang, Shang Han, and Ying Wang. 2023. "Optimizing the Incorporated Amount of Chinese Milk Vetch (Astragalus sinicus L.) to Improve Rice Productivity without Increasing CH4 and N2O Emissions" Agronomy 13, no. 6: 1636. https://doi.org/10.3390/agronomy13061636
APA StyleZhou, N., Jiang, T., Wang, J., Chen, Y., Yang, W., Tang, S., Han, S., & Wang, Y. (2023). Optimizing the Incorporated Amount of Chinese Milk Vetch (Astragalus sinicus L.) to Improve Rice Productivity without Increasing CH4 and N2O Emissions. Agronomy, 13(6), 1636. https://doi.org/10.3390/agronomy13061636
