Effect of Mulching on Soil Quality in an Agroforestry System Irrigated with Reused Water
Abstract
1. Introduction
2. Materials and Methods
2.1. Site Description and Climatic Conditions
2.2. Quality of Irrigation Water
2.3. Mulching
2.4. Treatments
2.5. Sampling and Analytics
2.6. Statistical Analyses
3. Results
3.1. The Effect of Mulching and Irrigation on Soil Parameters
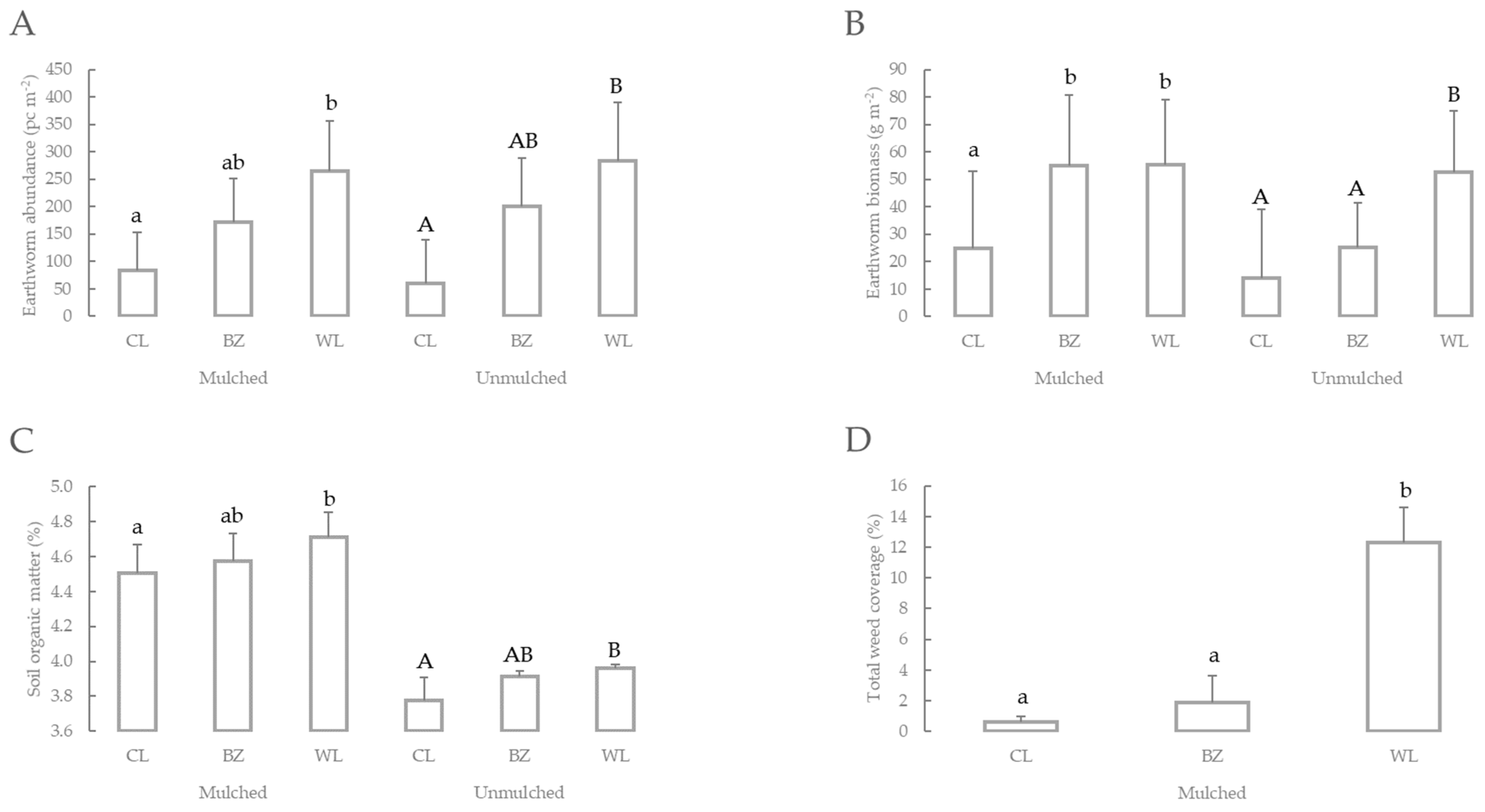
3.2. Earthworm Abundance and Biomass
3.3. Soil Organic Matter Content and Total Weed Coverage
4. Discussion
4.1. Anthropogenic Soil Salinization due to Irrigation Water Quality
4.2. Relationship between Earthworm Abundance, Biomass and Soil Organic Matter Content and Total Weed Coverage
5. Conclusions
Author Contributions
Funding
Data Availability Statement
Conflicts of Interest
References
- UNESCO The United Nations World Water Development Report 2017. Wastewater: The Untapped Resource. Future Food J. Food Agric. Soc. 2017, 5, 80–81. [Google Scholar]
 - Ward, F.A. Enhancing Climate Resilience of Irrigated Agriculture: A Review. J. Environ. Manag. 2022, 302, 114032. [Google Scholar] [CrossRef] [PubMed]
 - Khan, M.M.; Siddiqi, S.A.; Farooque, A.A.; Iqbal, Q.; Shahid, S.A.; Akram, M.T.; Rahman, S.; Al-Busaidi, W.; Khan, I. Towards Sustainable Application of Wastewater in Agriculture: A Review on Reusability and Risk Assessment. Agronomy 2022, 12, 1397. [Google Scholar] [CrossRef]
 - Liu, X.; Li, L.; Wang, M. Analysis on the Knowledge Evolution Path of Public Acceptance of Reclaimed Water Research. Water 2022, 14, 2300. [Google Scholar] [CrossRef]
 - Hussain, M.I.; Farooq, M.; Muscolo, A.; Rehman, A. Crop Diversification and Saline Water Irrigation as Potential Strategies to Save Freshwater Resources and Reclamation of Marginal Soils—A Review. Environ. Sci. Pollut. Res. 2020, 27, 28695–28729. [Google Scholar] [CrossRef]
 - Cavalcante, E.S.; Lacerda, C.F.; Mesquita, R.O.; De Melo, A.S.; Da Silva Ferreira, J.F.; Dos Santos Teixeira, A.; Lima, S.C.R.V.; Da Silva Sales, J.R.; De Souza Silva, J.; Gheyi, H.R. Supplemental Irrigation with Brackish Water Improves Carbon Assimilation and Water Use Efficiency in Maize under Tropical Dryland Conditions. Agriculture 2022, 12, 544. [Google Scholar] [CrossRef]
 - Hasamuzzaman, M.; Fujita, M.; Islam, M.N.; Ahamed, K.U.; Nahar, K. Performance of Four Irrigated Rice Varieties under Different Levels of Salinity Stress. Int. J. Integr. Biol. 2009, 6, 85–90. [Google Scholar]
 - Liu, B.; Wang, S.; Kong, X.; Liu, X.; Sun, H. Modeling and Assessing Feasibility of Long-Term Brackish Water Irrigation in Vertically Homogeneous and Heterogeneous Cultivated Lowland in the North China Plain. Agric. Water Manag. 2019, 211, 98–110. [Google Scholar] [CrossRef]
 - Sun, G.; Zhu, Y.; Ye, M.; Yang, J.; Qu, Z.; Mao, W.; Wu, J. Development and Application of Long-Term Root Zone Salt Balance Model for Predicting Soil Salinity in Arid Shallow Water Table Area. Agric. Water Manag. 2019, 213, 486–498. [Google Scholar] [CrossRef]
 - El-Beltagi, H.S.; Basit, A.; Mohamed, H.I.; Ali, I.; Ullah, S.; Kamel, E.A.R.; Shalaby, T.A.; Ramadan, K.M.A.; Alkhateeb, A.A.; Ghazzawy, H.S. Mulching as a Sustainable Water and Soil Saving Practice in Agriculture: A Review. Agronomy 2022, 12, 1881. [Google Scholar] [CrossRef]
 - Clare, A.; Shackley, S.; Joseph, S.; Hammond, J.; Pan, G.; Bloom, A. Competing Uses for China’s Straw: The Economic and Carbon Abatement Potential of Biochar. GCB Bioenergy 2015, 7, 1272–1282. [Google Scholar] [CrossRef]
 - Akter, M.; Oue, H. Effect of Saline Irrigation on Accumulation of Na+, K+, Ca2+, and Mg2+ Ions in Rice Plants. Agriculture 2018, 8, 164. [Google Scholar] [CrossRef]
 - Sarangi, S.K.; Maji, B.; Sharma, P.C.; Digar, S.; Mahanta, K.K.; Burman, D.; Mandal, U.K.; Mandal, S.; Mainuddin, M. Potato (Solanum Tuberosum L.) Cultivation by Zero Tillage and Paddy Straw Mulching in the Saline Soils of the Ganges Delta. Potato Res. 2021, 64, 277–305. [Google Scholar] [CrossRef]
 - Römbke, J.; Jänsch, S.; Didden, W. The Use of Earthworms in Ecological Soil Classification and Assessment Concepts. Ecotoxicol. Environ. Saf. 2005, 62, 249–265. [Google Scholar] [CrossRef]
 - Ahmed, S.; Marimuthu, N.; Tripathy, B.; Julka, J.M.; Chandra, K. Earthworm Community Structure and Diversity in Different Land-Use Systems along an Elevation Gradient in the Western Himalaya, India. Appl. Soil Ecol. 2022, 176, 104468. [Google Scholar] [CrossRef]
 - Lavelle, P.; Blanchart, E.; Martin, A.; Spain, A.V.; Martin, S. Impact of Soil Fauna on the Properties of Soils in the Humid Tropics. In SSSA Special Publications; Lal, R., Sanchez, P.A., Eds.; Soil Science Society of America and American Society of Agronomy: Madison, WI, USA, 2015; pp. 157–185. ISBN 978-0-89118-924-4. [Google Scholar]
 - González, G.; Zou, X.; Borges, S. Earthworm Abundance and Species Composition in Abandoned Tropical Croplands: Comparison of Tree Plantation and Secondary Forests. Pedobiologia 1996, 40, 385–391. [Google Scholar]
 - Melnichuk, R.D.S.; Tecimen, H.B.; Görres, J.H. Do the Invasive Earthworms Amynthas Agrestis (Oligochaeta: Megascolecidae) and Lumbricus Rubellus (Oligochaeta: Lumbricidae) Stimulate Oxalate-Based Browser Defenses in Jack-in-the-Pulpit (Arisaema Triphyllum) by Their Presence or Their Soil Biogeochemical Activity? Soil Syst. 2022, 6, 11. [Google Scholar] [CrossRef]
 - Bisht, R.; Pandey, H.; Bharti, D.; Kaushal, B.R. Population Dynamics of Earthworms (Oligochaeta) in Cultivated Soils of Central Himalayan Tarai Region. Trop. Ecol. 2003, 44, 229–234. [Google Scholar]
 - Charbonnier, F.; Roupsard, O.; Le Maire, G.; Guillemot, J.; Casanoves, F.; Lacointe, A.; Vaast, P.; Allinne, C.; Audebert, L.; Cambou, A.; et al. Increased Light-Use Efficiency Sustains Net Primary Productivity of Shaded Coffee Plants in Agroforestry System: NPP and LUE in a Coffee Agroforestry System. Plant Cell Environ. 2017, 40, 1592–1608. [Google Scholar] [CrossRef]
 - Rao, M.R.; Nair, P.K.R.; Ong, C.K. Biophysical Interactions in Tropical Agroforestry Systems. Agrofor. Syst. 1997, 38, 3–50. [Google Scholar] [CrossRef]
 - Mainardis, M.; Boscutti, F.; Rubio Cebolla, M.D.M.; Pergher, G. Comparison between Flaming, Mowing and Tillage Weed Control in the Vineyard: Effects on Plant Community, Diversity and Abundance. PLoS ONE 2020, 15, e0238396. [Google Scholar] [CrossRef] [PubMed]
 - Boinot, S.; Fried, G.; Storkey, J.; Metcalfe, H.; Barkaoui, K.; Lauri, P.-É.; Mézière, D. Alley Cropping Agroforestry Systems: Reservoirs for Weeds or Refugia for Plant Diversity? Agric. Ecosyst. Environ. 2019, 284, 106584. [Google Scholar] [CrossRef]
 - Schumacher, M.; Ohnmacht, S.; Rosenstein, R.; Gerhards, R. How Management Factors Influence Weed Communities of Cereals, Their Diversity and Endangered Weed Species in Central Europe. Agriculture 2018, 8, 172. [Google Scholar] [CrossRef]
 - Petrikovszki, R.; Zalai, M.; Tóthné Bogdányi, F.; Tóth, F. The Effect of Organic Mulching and Irrigation on the Weed Species Composition and the Soil Weed Seed Bank of Tomato. Plants 2020, 9, 66. [Google Scholar] [CrossRef] [PubMed]
 - IUSS Working Group WRB World Reference Base for Soil Resources. International Soil Classification System for Naming Soils and Creating Legends for Soil Maps, 4th ed.; International Union of Soil Sciences (IUSS): Vienna, Austria, 2022; ISBN 979-8-9862451-1-9. [Google Scholar]
 - Berzi-Nagy, L.; Mozsár, A.; Tóth, F.; Gál, D.; Nagy, Z.; Nagy, S.A.; Kerepeczki, É.; Antal, L.; Sándor, Z.J. Effects of Different Fish Diets on the Water Quality in Semi-Intensive Common Carp (Cyprinus Carpio) Farming. Water 2021, 13, 1215. [Google Scholar] [CrossRef]
 - Tóth, F.; Zsuga, K.; Kerepeczki, É.; Berzi-Nagy, L.; Körmöczi, L.; Lövei, G.L. Seasonal Differences in Taxonomic Diversity of Rotifer Communities in a Hungarian Lowland Oxbow Lake Exposed to Aquaculture Effluent. Water 2020, 12, 1300. [Google Scholar] [CrossRef]
 - Richards, L.A. Diagnosis and Improvement of Saline and Alkali Soils. In Agricultural Handbook; United Sates Department of Agriculture: Washington, DC, USA, 1954. [Google Scholar]
 - James, M. Gregory Soil Cover Prediction with Various Amounts and Types of Crop Residue. Trans. ASAE 1982, 25, 1333–1337. [Google Scholar] [CrossRef]
 - Stefanovits, P.; Filep, G.; Füleky, G. Talajtan; Mezőgazda Kiadó: Budapest, Magyarország, 2010; ISBN 978-963-286-563-8. [Google Scholar]
 - Zhang, Z.; Zhang, Z.; Feng, G.; Lu, P.; Huang, M.; Zhao, X. Biochar Amendment Combined with Straw Mulching Increases Winter Wheat Yield by Optimizing Soil Water-Salt Condition under Saline Irrigation. Agriculture 2022, 12, 1681. [Google Scholar] [CrossRef]
 - Samui, I.; Skalicky, M.; Sarkar, S.; Brahmachari, K.; Sau, S.; Ray, K.; Hossain, A.; Ghosh, A.; Nanda, M.K.; Bell, R.W.; et al. Yield Response, Nutritional Quality and Water Productivity of Tomato (Solanum Lycopersicum L.) Are Influenced by Drip Irrigation and Straw Mulch in the Coastal Saline Ecosystem of Ganges Delta, India. Sustainability 2020, 12, 6779. [Google Scholar] [CrossRef]
 - Huang, M.; Zhang, Z.; Zhai, Y.; Lu, P.; Zhu, C. Effect of Straw Biochar on Soil Properties and Wheat Production under Saline Water Irrigation. Agronomy 2019, 9, 457. [Google Scholar] [CrossRef]
 - Li, R.; Hou, X.; Jia, Z.; Han, Q.; Ren, X.; Yang, B. Effects on Soil Temperature, Moisture, and Maize Yield of Cultivation with Ridge and Furrow Mulching in the Rainfed Area of the Loess Plateau, China. Agric. Water Manag. 2013, 116, 101–109. [Google Scholar] [CrossRef]
 - Chen, Y.; Wen, X.; Sun, Y.; Zhang, J.; Wu, W.; Liao, Y. Mulching Practices Altered Soil Bacterial Community Structure and Improved Orchard Productivity and Apple Quality after Five Growing Seasons. Sci. Hortic. 2014, 172, 248–257. [Google Scholar] [CrossRef]
 - Prosdocimi, M.; Tarolli, P.; Cerdà, A. Mulching Practices for Reducing Soil Water Erosion: A Review. Earth-Sci. Rev. 2016, 161, 191–203. [Google Scholar] [CrossRef]
 - Jodaugiené, D.; Pupaliené, R.; Sinkeviciené, A.; Marcinkeviciené, A.; Zebrauskaité, K.; Baltaduonyté, M.; Cepuliené, R. The Influence of Organic Mulches on Soil Biological Properties. Zemdirb. -Agric. 2010, 97, 33–40. [Google Scholar]
 - Kahlon, M.S.; Lal, R.; Ann-Varughese, M. Twenty Two Years of Tillage and Mulching Impacts on Soil Physical Characteristics and Carbon Sequestration in Central Ohio. Soil Tillage Res. 2013, 126, 151–158. [Google Scholar] [CrossRef]
 - Tian, G.; Kang, B.T.; Brussaard, L. Effect of Mulch Quality on Earthworm Activity and Nutrient Supply in the Humid Tropics. Soil Biol. Biochem. 1997, 29, 369–373. [Google Scholar] [CrossRef]
 - Simon, B.; Boziné Pullai, K.; Selmeczi, D.; Sebők, A.; Tóthné Bogdányi, F.; Weldmichael, T.G.; Zalai, M.; Nsima, J.P.; Tóth, F. Green Corridors May Sustain Habitats for Earthworms in A Partially Converted Grassland. Agronomy 2022, 12, 793. [Google Scholar] [CrossRef]
 - Radics, Z.; Dekemati, I.; Gyuricza, C.; Simon, B.; Ibrahim, H.; Vinogradov, S.; Birkás, M. Effects of Irrigation and Organic Mulchingon the Abundance and Biomass of Earthworms. Pol. J. Environ. Stud. 2022, 31, 2811–2821. [Google Scholar] [CrossRef]
 - Norgrove, L.; Csuzdi, C.; Hauser, S. Effects of Cropping and Tree Density on Earthworm Community Composition and Densities in Central Cameroon. Appl. Soil Ecol. 2011, 49, 268–271. [Google Scholar] [CrossRef]
 




| Wastewater | ||
|---|---|---|
| pH | 7.81 | |
| EC | μS cm−1 | 1215 | 
| HCO3− | mg dm−3 | 853.5 | 
| NH4+ | mg dm−3 | 27.8 | 
| NO3− | mg dm−3 | 0.557 | 
| NO2− | mg dm−3 | 0.256 | 
| Total inorganic N | mg dm−3 | 21.65 | 
| Total organic N | mg dm−3 | 10.39 | 
| Total N | mg dm−3 | 32.05 | 
| PO43− | mg dm−3 | 4.99 | 
| Total P | mg dm−3 | 3.14 | 
| Cl− | mg dm−3 | 36.2 | 
| SO42− | mg dm−3 | 51.25 | 
| Total suspended solids | mg dm−3 | 54.3 | 
| Ca2+ | mg dm−3 | 27.15 | 
| Mg2+ | mg dm−3 | 9.15 | 
| K+ | mg dm−3 | 5.81 | 
| Na+ | mg dm−3 | 240.5 | 
| SAR | 10.57 | 
| Soil Parameter | Mulching | Period * | ||||
|---|---|---|---|---|---|---|
| MANOVA | Mean ± SD | MANOVA | ||||
| F Value | p Value | Unmulched | Mulched | F Value | p Value | |
| EC 1:5 [mS cm−1] | 9.595 | 0.003 | 185.9 ± 16.6 | 177.0 ± 14.6 | 26.127 | <0.001 | 
| Nitrite + Nitrate Nitrogen (KCl) [mg kg−1] | 4.512 | 0.038 | 7.0 ± 3.3 | 9.0 ± 4.5 | 4.013 | 0.012 | 
| Na (AL) [mg kg−1] | 6.596 | 0.013 | 293.0 ± 75.0 | 260.4 ± 64.6 | 18.212 | <0.001 | 
| Na (BaCl2) [mg kg−1] | 1.858 | n.s. | 406.3 ± 165.5 | 362.0 ± 142.0 | 9.949 | <0.001 | 
| Na (BaCl2) [mEq 100 g−1] | 1.864 | n.s. | 1.77 ± 0.72 | 1.57 ± 0.62 | 9.954 | <0.001 | 
| K (BaCl2) [mg kg−1] | 2.673 | n.s. | 181.4 ± 42.7 | 169.0 ± 34.1 | 13.566 | <0.001 | 
| K (BaCl2) [mEq 100 g−1] | 2.707 | n.s. | 0.46 ± 0.11 | 0.43 ± 0.09 | 13.641 | <0.001 | 
| Ca (BaCl2) [mg kg−1] | 0.825 | n.s. | 6269 ± 1104 | 5997 ± 1399 | 1.882 | n.s. | 
| Ca (BaCl2) [mEq 100 g−1] | 0.831 | n.s. | 31.3 ± 5.5 | 29.9 ± 7.0 | 1.885 | n.s. | 
| Mg (BaCl2) [mg kg−1] | 0.744 | n.s. | 1220 ± 231 | 1261 ± 208 | 8.261 | <0.001 | 
| Mg (BaCl2) [mEq 100 g−1] | 0.706 | n.s. | 10.0 ± 1.9 | 10.4 ± 1.7 | 8.349 | <0.001 | 
| ESP [%] | 0.679 | n.s. | 4.13 ± 1.64 | 3.85 ± 1.63 | 11.353 | <0.001 | 
| Soil Parameter | ANOVA | Survey Period (Mean ± SD; Tukey Post Hoc Test) | ||||
|---|---|---|---|---|---|---|
| F Value | p Value | 2019 Spring | 2019 Autumn | 2020 Autumn | 2021 Autumn | |
| EC 1:5 [mS cm−1] | 17.058 | <0.001 | 168.9 ± 10.4 a | 177.8 ± 10.0 ab | 189.0 ± 8.8 b | 204.1 ± 12.2 c | 
| Nitrite + Nitrate Nitrogen (KCl) [mg kg−1] | 1.907 | n.s. | 8.1 ± 4.8 | 5.5 ± 1.6 | 8.5 ± 3.1 | 5.7 ± 2.2 | 
| Na (AL) [mg kg−1] | 6.764 | 0.001 | 249.9 ± 87.7 a | 240.9 ± 65.8 a | 345.1 ± 40.2 b | 336.1 ± 28.4 b | 
| Na (BaCl2) [mg kg−1] | 5.609 | 0.004 | 318.8 ± 71.2 ab | 295.0 ± 105.9 a | 505.4 ± 58.8 b | 506.1 ± 236.7 b | 
| Na (BaCl2) [mEq 100 g−1] | 5.612 | 0.004 | 1.39 ± 0.31 ab | 1.28 ± 0.46 a | 2.20 ± 0.25 b | 2.20 ± 1.03 b | 
| K (BaCl2) [mg kg−1] | 5.424 | 0.005 | 147.2 ± 36.4 a | 174.1 ± 46.1 ab | 186.1 ± 38.0 ab | 218.3 ± 14.9 b | 
| K (BaCl2) [mEq 100 g−1] | 5.470 | 0.004 | 0.38 ± 0.09 a | 0.45 ± 0.12 ab | 0.48 ± 0.10 ab | 0.56 ± 0.04 b | 
| Ca (BaCl2) [mg kg−1] | 1.659 | n.s. | 6804 ± 1516 | 5671 ± 1280 | 6118 ± 658 | 6485 ± 466 | 
| Ca (BaCl2) [mEq 100 g−1] | 1.661 | n.s. | 33.9 ± 7.6 | 28.3 ± 6.4 | 30.5 ± 3.3 | 32.4 ± 2.3 | 
| Mg (BaCl2) [mg kg−1] | 5.671 | 0.004 | 1331 ± 252 bc | 1385 ± 176 c | 1059 ± 140 a | 1107 ± 184 ab | 
| Mg (BaCl2) [mEq 100 g−1] | 5.684 | 0.004 | 11.0 ± 2.1 bc | 11.4 ± 1.4 c | 8.7 ± 1.2 a | 9.1 ± 1.5 ab | 
| ESP [%] | 4.606 | 0.010 | 3.1 ± 1.2 a | 3.3 ± 1.6 a | 5.3 ± 0.6 b | 4.8 ± 1.9 ab | 
| Soil Parameter | ANOVA | Survey Period (Mean ± SD; Tukey Post Hoc Test) | ||||
|---|---|---|---|---|---|---|
| F Value | p Value | 2019 Spring | 2019 Autumn | 2020 Autumn | 2021 Autumn | |
| EC 1:5 [mS cm−1] | 12.665 | <0.001 | 158.9 ± 8.2 a | 178.9 ± 7.3 b | 187.3 ± 7.0 b | 183.1 ± 15.2 b | 
| Nitrite + Nitrate Nitrogen (KCl) [mg kg−1] | 2.186 | n.s. | 10.9 ± 6.6 | 7.2 ± 2.3 | 10.9 ± 4.1 | 6.9 ± 2.7 | 
| Na (AL) [mg kg−1] | 18.716 | <0.001 | 204.3 ± 52.1 a | 239.5 ± 35.1 a | 344.9 ± 27.1 b | 253.1 ± 38.2 a | 
| Na (BaCl2) [mg kg−1] | 4.642 | 0.009 | 260.6 ± 51.6 a | 308.3 ± 73.0 ab | 459.4 ± 50.8 b | 419.6 ± 221.6 ab | 
| Na (BaCl2) [mEq 100 g−1] | 4.643 | 0.009 | 1.13 ± 0.22 a | 1.34 ± 0.32 ab | 2.00 ± 0.32 b | 1.83 ± 0.96 ab | 
| K (BaCl2) [mg kg−1] | 11.382 | 0.000 | 133.4 ± 9.8 a | 183.3 ± 38.4 bc | 159.9 ± 24.6 ab | 199.4 ± 12.2 c | 
| K (BaCl2) [mEq 100 g−1] | 11.417 | 0.000 | 0.34 ± 0.02 a | 0.47 ± 0.10 bc | 0.41 ± 0.06 ab | 0.51 ± 0.03 c | 
| Ca (BaCl2) [mg kg−1] | 2.322 | n.s. | 6459 ± 1405 | 6684 ± 2104 | 5135 ± 603 | 5710 ± 418 | 
| Ca (BaCl2) [mEq 100 g−1] | 2.329 | n.s. | 32.2 ± 7.0 | 33.4 ± 10.5 | 25.6 ± 3.0 | 28.5 ± 2.1 | 
| Mg (BaCl2) [mg kg−1] | 3.096 | 0.043 | 1353 ± 236 ab | 1368 ± 107 b | 1202 ± 178 ab | 1125 ± 212 a | 
| Mg (BaCl2) [mEq 100 g−1] | 3.155 | 0.040 | 11.1 ± 1.9 ab | 11.3 ± 0.9 b | 9.9 ± 1.5 ab | 9.2 ± 1.7 a | 
| ESP [%] | 7.078 | 0.001 | 2.6 ± 0.8 a | 3.1 ± 1.3 ab | 5.3 ± 0.4 c | 4.4 ± 2.1 bc | 
| Earthworm Abundance | ||||||
|---|---|---|---|---|---|---|
| Variable | df | MANOVA | Tukey Comparison | |||
| F | p-Value | Group | Avg Value (pc m−2) | Sign. Class | ||
| Mulching | 1 | 0.051 | ns | - | ||
| Habitat | 2 | 10.825 | 0.001 | WL | 274.00 | b | 
| BZ | 186.00 | b | ||||
| CL | 72.00 | a | ||||
| Earthworm Biomass | ||||||
| Variable | df | MANOVA | Tukey Comparison | |||
| F | p-Value | Group | Avg Value (g m−2) | Sign. Class | ||
| Mulching | 1 | 1.849 | ns | - | ||
| Habitat | 2 | 3.573 | 0.049 | WL | 54.00 | b | 
| BZ | 40.01 | ab | ||||
| CL | 19.39 | a | ||||
| Soil Organic Matter | ||||||
| Variable | df | MANOVA | Tukey Comparison/t-Test | |||
| F | p-Value | Group | Avg Value (%) | Sign. Class | ||
| Mulching | 1 | 155.451 | <0.001 | mulched | 4.597 | b | 
| un-mulched | 3.883 | a | ||||
| Habitat | 2 | 3.879 | 0.050 | WL | 4.336 | b | 
| BZ | 4.244 | ab | ||||
| CL | 4.140 | a | ||||
| Total Weed Coverage | ||||||
| Variable | df | ANOVA | Tukey Comparison | |||
| F | p-Value | Group | Avg Value (%) | Sign. Class | ||
| Habitat | 2 | 6.184 | 0.020 | WL | 12.303 | b | 
| BZ | 1.913 | a | ||||
| CL | 0.608 | a | ||||
Disclaimer/Publisher’s Note: The statements, opinions and data contained in all publications are solely those of the individual author(s) and contributor(s) and not of MDPI and/or the editor(s). MDPI and/or the editor(s) disclaim responsibility for any injury to people or property resulting from any ideas, methods, instructions or products referred to in the content.  | 
© 2023 by the authors. Licensee MDPI, Basel, Switzerland. This article is an open access article distributed under the terms and conditions of the Creative Commons Attribution (CC BY) license (https://creativecommons.org/licenses/by/4.0/).
Share and Cite
Kun, Á.; Simon, B.; Zalai, M.; Kolozsvári, I.; Bozán, C.; Jancsó, M.; Körösparti, J.T.; Kovács, G.P.; Gyuricza, C.; Bakti, B. Effect of Mulching on Soil Quality in an Agroforestry System Irrigated with Reused Water. Agronomy 2023, 13, 1622. https://doi.org/10.3390/agronomy13061622
Kun Á, Simon B, Zalai M, Kolozsvári I, Bozán C, Jancsó M, Körösparti JT, Kovács GP, Gyuricza C, Bakti B. Effect of Mulching on Soil Quality in an Agroforestry System Irrigated with Reused Water. Agronomy. 2023; 13(6):1622. https://doi.org/10.3390/agronomy13061622
Chicago/Turabian StyleKun, Ágnes, Barbara Simon, Mihály Zalai, Ildikó Kolozsvári, Csaba Bozán, Mihály Jancsó, János Tamás Körösparti, Gergő Péter Kovács, Csaba Gyuricza, and Beatrix Bakti. 2023. "Effect of Mulching on Soil Quality in an Agroforestry System Irrigated with Reused Water" Agronomy 13, no. 6: 1622. https://doi.org/10.3390/agronomy13061622
APA StyleKun, Á., Simon, B., Zalai, M., Kolozsvári, I., Bozán, C., Jancsó, M., Körösparti, J. T., Kovács, G. P., Gyuricza, C., & Bakti, B. (2023). Effect of Mulching on Soil Quality in an Agroforestry System Irrigated with Reused Water. Agronomy, 13(6), 1622. https://doi.org/10.3390/agronomy13061622
        
