Soil Aggregates Stability Response to Summer Fallow Tillage in Rainfed Winter Wheat Fields on the Loess Plateau
Abstract
1. Introduction
2. Materials and Methods
2.1. Experimental Site Description
2.2. Experimental Design
2.3. Sampling and Determination Methods
2.4. Statistical Analysis
3. Results
3.1. Compositions of MSA
3.2. Compositions of WSA
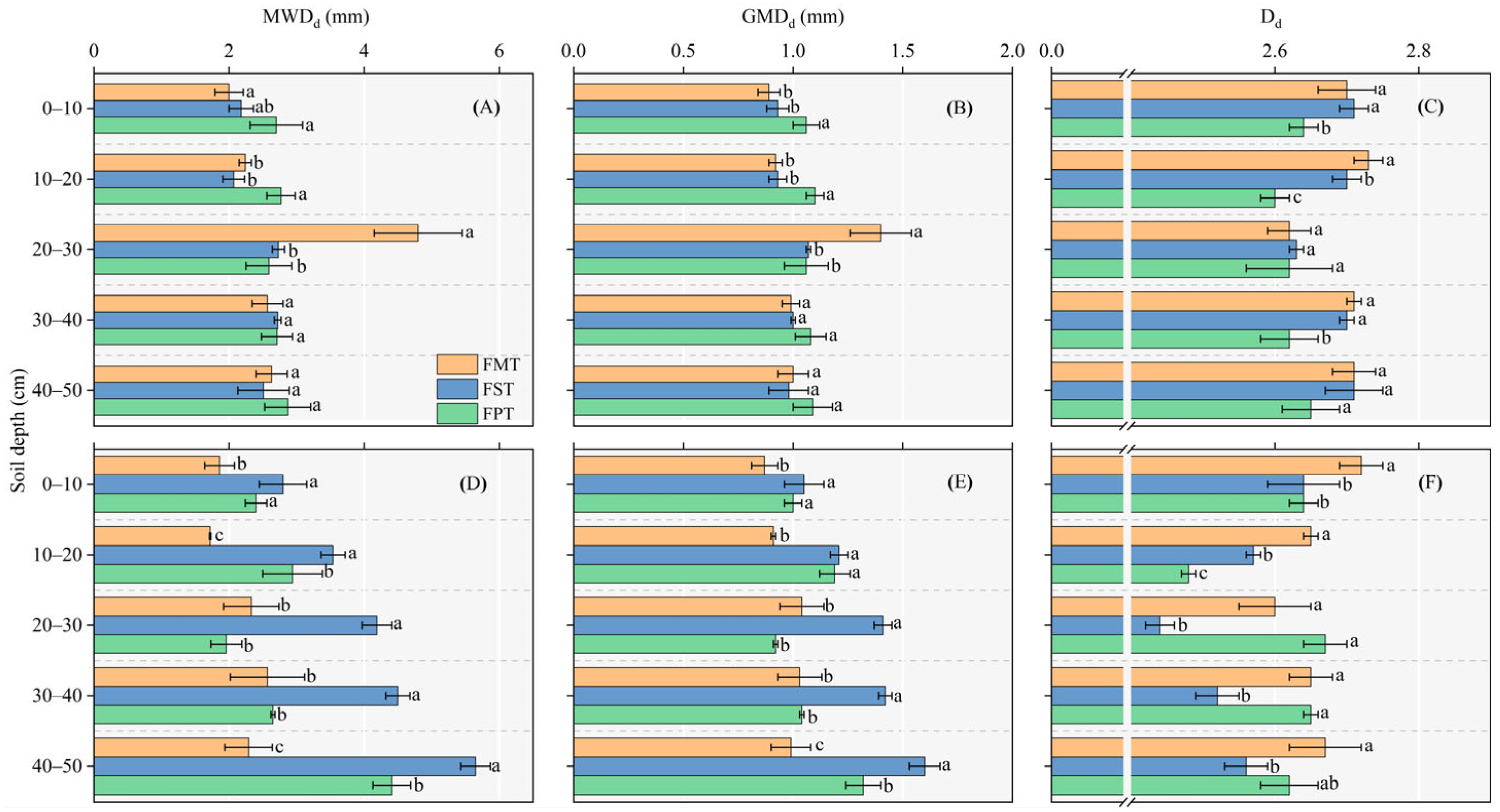
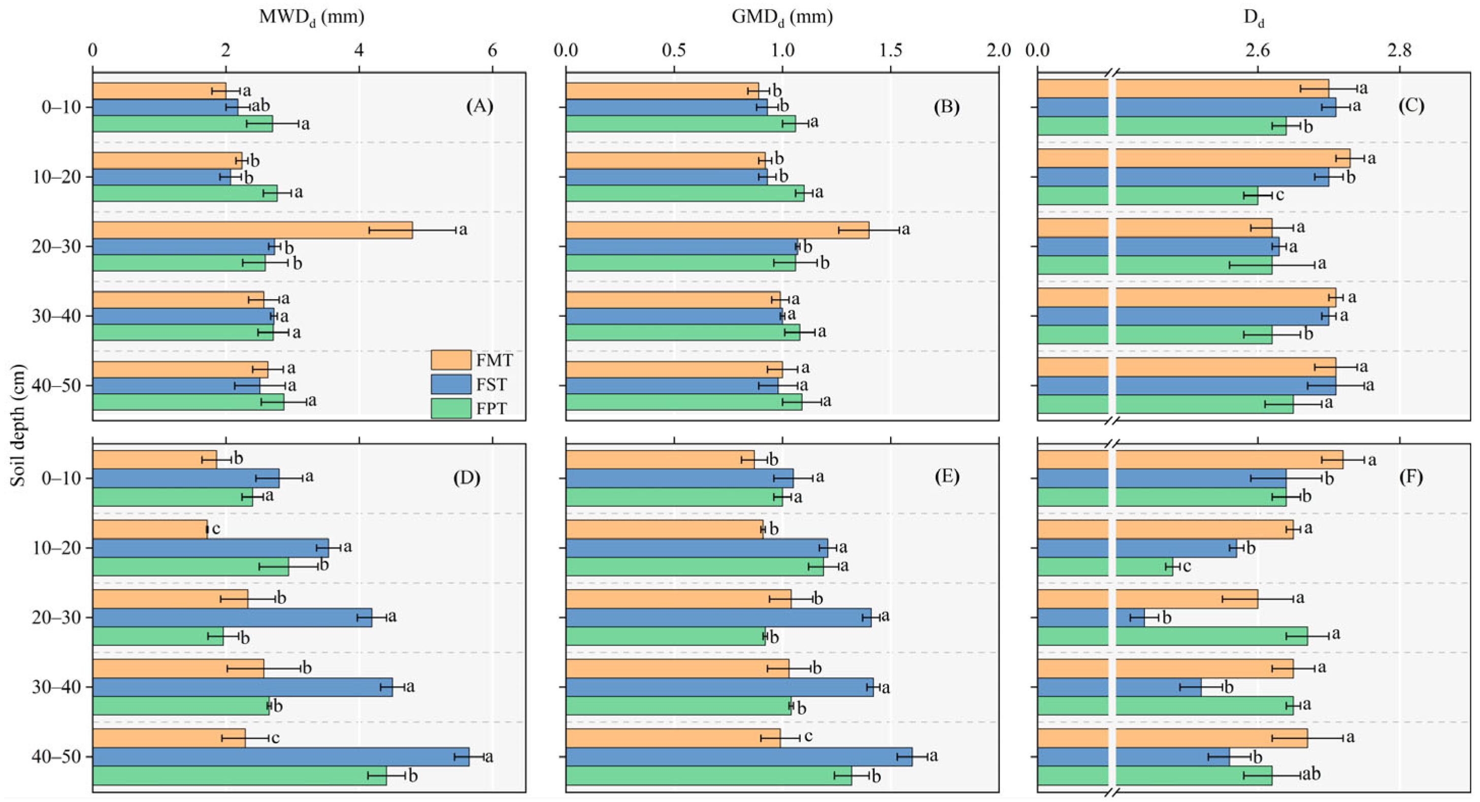
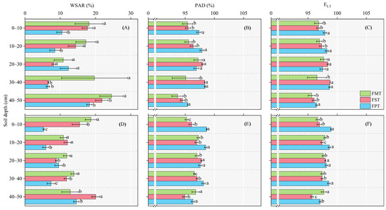
3.3. The Stability of MSA
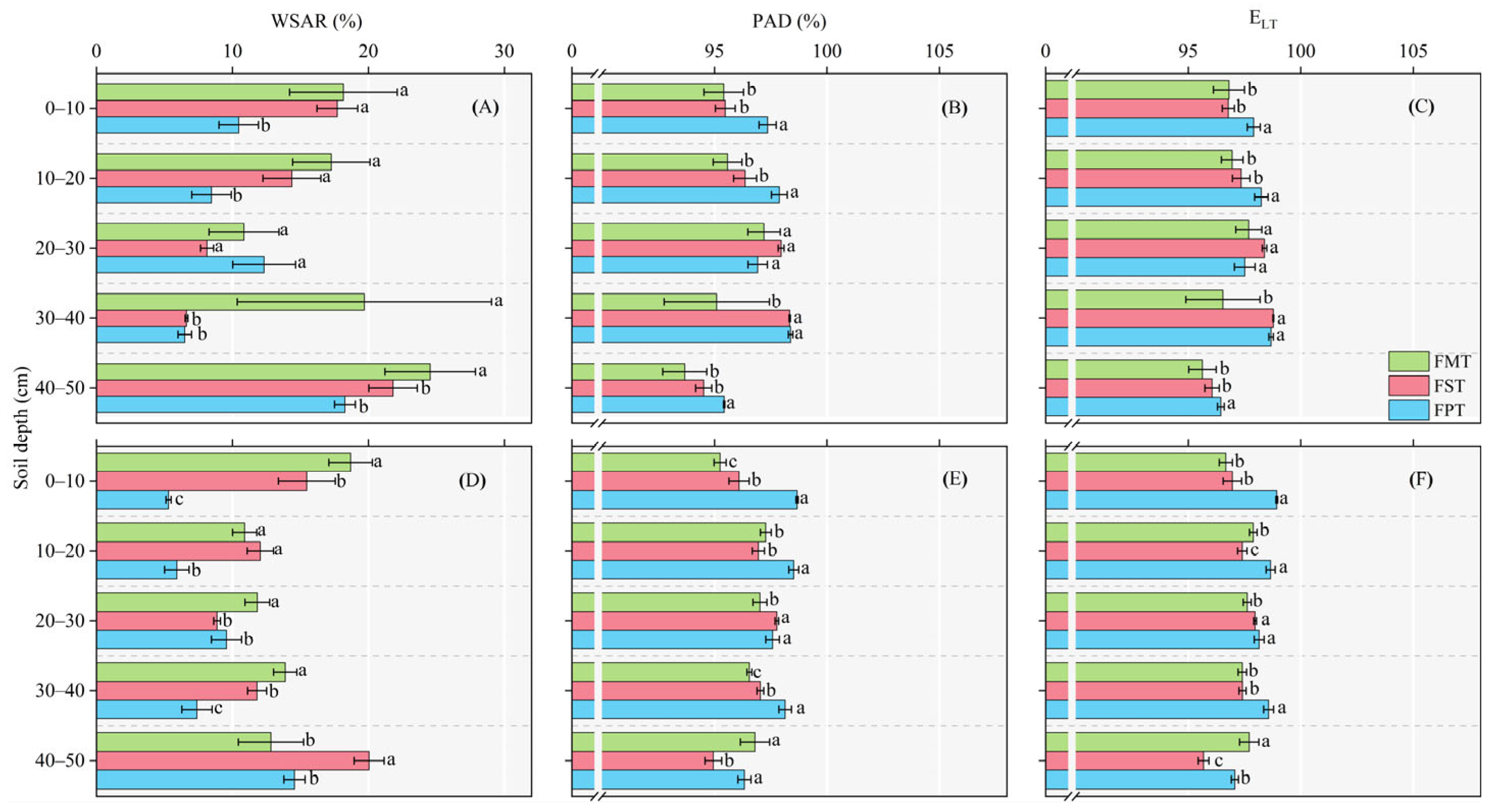
3.4. The Stability of WSA
4. Discussion
4.1. Compositions of Soil Aggregates and Summer Fallow Tillage
4.2. The Stability of MSA and Summer Fallow Tillage
4.3. The Stability of WSA and Summer Fallow Tillage
4.4. Limitations
5. Conclusions
Author Contributions
Funding
Institutional Review Board Statement
Informed Consent Statement
Data Availability Statement
Conflicts of Interest
References
- Lal, R. Carbon cycling in global drylands. Curr. Clim. Chang. Rep. 2019, 5, 221–232. [Google Scholar] [CrossRef]
- Li, Y.; Chen, Y.; Li, Z. Dry/wet pattern changes in global dryland areas over the past six decades. Glob. Planet. Chang. 2019, 178, 184–192. [Google Scholar] [CrossRef]
- Huang, J.; Yu, H.; Guan, X.; Wang, G.; Guo, R. Accelerated dryland expansion under climate change. Nat. Clim. Chang. 2015, 6, 166–171. [Google Scholar] [CrossRef]
- Xinhua News Agency. The Main Data Bulletin of the Third National Land Use Survey for China. 2021. Available online: http://www.gov.cn/xinwen/2021-08/26/content_5633490.htm (accessed on 12 January 2023).
- Peng, X.; Zhang, B.; Zhao, Q. A review on relationship between soil organic carbon pools and soil structure stability. Acta Pedol. Sin. 2004, 41, 618–623. [Google Scholar]
- Mustafa, A.; Xu, M.; Shah, S.A.A.; Abrar, M.M.; Sun, N.; Wang, B.; Cai, Z.; Saeed, Q.; Naveed, M.; Mehmood, K.; et al. Soil aggregation and soil aggregate stability regulate organic carbon and nitrogen storage in a red soil of southern China. J. Environ. Manag. 2020, 270, 110894. [Google Scholar] [CrossRef]
- Wilpiszeski, R.L.; Aufrecht, J.A.; Retterer, S.T.; Sullivan, M.B.; Graham, D.E.; Pierce, E.M.; Zablocki, O.D.; Palumbo, A.V.; Elia, D.A. Soil aggregate microbial communities: Towards understanding microbiome interactions at biologically relevant scales. Appl. Environ. Microbiol. 2019, 85, e00324-19. [Google Scholar] [CrossRef]
- Basset, C.; Najm, M.A.; Ghezzehei, T.; Hao, X.; Daccache, A. How does soil structure affect water infiltration? A meta-data systematic review. Soil Tillage Res. 2023, 226, 105577. [Google Scholar] [CrossRef]
- Zotarelli, L.; Alves, B.J.R.; Urquiaga, S.; Boddey, R.M.; Six, J. Impact of tillage and crop rotation on light fraction and intra-aggregate soil organic matter in two Oxisols. Soil Tillage Res. 2007, 95, 196–206. [Google Scholar] [CrossRef]
- Wang, H.; Wang, S.; Wang, R.; Zhang, Y.; Wang, X.; Li, J. Direct and indirect linkages between soil aggregates and soil bacterial communities under tillage methods. Geoderma 2019, 354, 113879. [Google Scholar] [CrossRef]
- Farahani, E.; Emami, H.; Forouhar, M. Effects of tillage systems on soil organic carbon and some soil physical properties. Land Degrad. Dev. 2022, 33, 1307–1320. [Google Scholar] [CrossRef]
- Veloso, M.G.; Cecagno, D.; Bayer, C. Legume cover crops under no-tillage favor organomineral association in microaggregates and soil C accumulation. Soil Tillage Res. 2019, 190, 139–146. [Google Scholar] [CrossRef]
- Chen, S.; Cao, Y.; Zhang, T.; Cui, J.; Guo, L.; Shen, Y.; Zhou, P.; Han, H.; Ning, T. Improvement of soil aggregate-associated carbon sequestration capacity after 14 years of conservation tillage. Exp. Agric. 2022, 58, e55. [Google Scholar] [CrossRef]
- Xie, J.; Wang, L.; Li, L.; Coulter, J.A.; Chai, Q.; Zhang, R.; Luo, Z.; Carberry, P.; Rao, K.P.C. Subsoiling increases grain yield, water use efficiency, and economic return of maize under a fully mulched ridge-furrow system in a semiarid environment in China. Soil Tillage Res. 2020, 199, 104584. [Google Scholar] [CrossRef]
- Grandinetti, L.; Cantero-Martínez, C.; Ramos, M.C. Aggregate stability and soil surface sealing in irrigated soils under no-tillage versus conventional tillage. Land Degrad. Dev. 2022, 33, 2379–2389. [Google Scholar] [CrossRef]
- Patra, S.; Parihar, C.M.; Mahala, D.M.; Singh, D.; Nayak, H.S.; Patra, K.; Reddy, K.S.; Pradhan, S.; Sena, D.R. Influence of long-term tillage and diversified cropping systems on hydro-physical properties in a sandy loam soil of North-Western India. Soil Tillage Res. 2023, 229, 105655. [Google Scholar] [CrossRef]
- Somasundaram, J.; Reeves, S.; Wang, W.; Heenan, M.; Dalal, R. Impact of 47 years of no-tillage and stubble retention on soil aggregation and carbon distribution in a Vertisol. Land Degrad. Dev. 2017, 28, 1589–1602. [Google Scholar] [CrossRef]
- Deng, Z.; Huang, M.; Zhang, W.; Wang, G.; Huang, X.; Liang, G.; Li, N. Effects of five years conservation tillage for hedging against drought, stabilizing maize yield, and improving soil environment in the drylands of northern China. PLoS ONE 2023, 18, e0282359. [Google Scholar] [CrossRef]
- Li, J.; Wu, H.; Wu, X.; Cai, D.; Yao, Y.; Lu, J.; Zheng, K.; Liu, Z. Impact of long-term conservation tillage on soil aggregate formation and aggregate organic carbon contents. Plant Nutr. Fert. Sci. 2015, 21, 378–386. [Google Scholar]
- Sun, L.; Li, J.; Wang, Q.; Zhang, Y.; Xu, Z.; Wang, R.; Wang, X.; Jia, G.; Zhang, X. The effects of eight years of conservation tillage on the soil physicochemical properties and bacterial communities in a rain-fed agroecosystem of the loess plateau, China. Land Degrad. Dev. 2020, 31, 2475–2489. [Google Scholar] [CrossRef]
- Shanxi Provincial Bureau of Statistics, Survey Office of the National Bureau of Statistics in Shanxi. Shanxi Statistical Yearbook 2022; China Statistics Press: Beijing, China, 2023.
- Li, T.L.; Xie, Y.H.; Hong, J.P.; Feng, Q.; Sun, C.H.; Wang, Z.W. Effects of nitrogen application rate on photosynthetic characteristics, yield, and nitrogen utilization in rainfed winter wheat in Southern Shanxi. Acta Agron. Sin. 2013, 39, 704–711. [Google Scholar] [CrossRef]
- Sun, M.; Ren, A.; Gao, Z.; Wang, P.; Mo, F.; Xue, L.; Lei, M. Long-term evaluation of tillage methods in fallow season for soil water storage, wheat yield and water use efficiency in semiarid Southeast of the Loess Plateau. Field Crops Res. 2018, 218, 24–32. [Google Scholar] [CrossRef]
- Xue, J.; Ren, A.; Li, H.; Gao, Z.; Du, T. Soil physical properties response to tillage practices during summer fallow of dryland winter wheat field on the Loess Plateau. Environ. Sci. Pollut. Res. 2018, 25, 1070–1078. [Google Scholar] [CrossRef]
- China Meteorological Science Data Sharing Service Network. Daily Dataset of Ground Climate Data for China. Available online: http://cdc.cma.gov.cn/home.do (accessed on 31 December 2022).
- NY/T 1121.19-2008; Soil Testing—Part 19: Method for Determination of Soil Water Stable Macro-Aggregates Distribution. Ministry of Agriculture of the People’s Republic of China: Beijing, China, 2008.
- Barzegar, A.R.; Hashemi, A.M.; Herbert, S.J.; Asoodar, M.A. Interactive effects of tillage system and soil water content on aggregate size distribution for seedbed preparation in Fluvisols in southwest Iran. Soil Tillage Res. 2004, 78, 45–52. [Google Scholar] [CrossRef]
- Nouri, A.; Lee, J.; Yin, X.; Tyler, D.D.; Saxton, A.M. Thirty-four years of no-tillage and cover crops improve soil quality and increase cotton yield in Alfisols, Southeastern USA. Geoderma 2019, 337, 998–1008. [Google Scholar] [CrossRef]
- Hati, K.M.; Jha, P.; Dalal, R.C.; Jayaraman, S.; Dang, Y.P.; Kopittke, P.M.; Kirchhof, G.; Menzies, N.W. 50 years of continuous no-tillage, stubble retention and nitrogen fertilization enhanced macro-aggregate formation and stabilisation in a Vertisol. Soil Tillage Res. 2021, 214, 105163. [Google Scholar] [CrossRef]
- Ciric, V.; Manojlovic, M.; Nesic, L.; Belic, M. Soil dry aggregate size distribution: Effects of soil type and land use. J. Soil Sci. Plant Nutr. 2012, 12, 689–703. [Google Scholar] [CrossRef]
- Nimmo, J.R.; Perkins, K.S. Aggregate Stability and Size Distribution. In Methods of Soil Analysis. Part 4. Physical Methods; Dane, J.H., Topp, G.C., Eds.; SSSA Book Series 5; SSSA: Madison, WI, USA, 2002; pp. 317–327. [Google Scholar]
- Six, J.; Bossuyt, H.; Degryze, S.; Denef, K. A history of research on the link between (micro)aggregates, soil biota, and soil organic matter dynamics. Soil Tillage Res. 2004, 79, 7–31. [Google Scholar] [CrossRef]
- Chen, H.; Hou, R.; Gong, Y.; Li, H.; Fan, M.; Kuzyakov, Y. Effects of 11 years of conservation tillage on soil organic matter fractions in wheat monoculture in Loess Plateau of China. Soil Tillage Res. 2009, 106, 85–94. [Google Scholar] [CrossRef]
- Zhang, Y.; Li, X.J.; Gregorich, E.G.; McLaughlin, N.B.; Zhang, X.P.; Guo, Y.F.; Liang, A.Z.; Fan, R.Q.; Sun, B.J. No-tillage with continuous maize cropping enhances soil aggregation and organic carbon storage in Northeast China. Geoderma 2018, 330, 204–211. [Google Scholar] [CrossRef]
- Zheng, W.; Morris, E.K.; Lehmann, A.; Rillig, M.C. Interplay of soil water repellency, soil aggregation and organic carbon. A meta-analysis. Geoderma 2016, 283, 39–47. [Google Scholar] [CrossRef]
- Yan, L.; Jiang, X.; Ji, X.; Zhou, L.; Li, S.; Chen, C.; Li, P.; Zhu, Y.; Dong, T.; Meng, Q. Distribution of water-stable aggregates under soil tillage practices in a black soil hillslope cropland in Northeast China. J. Soils Sediments 2020, 20, 24–31. [Google Scholar] [CrossRef]
- Tagar, A.A.; Adamowski, J.; Memon, M.S.; Do, M.C.; Mashori, A.S.; Soomro, A.S.; Bhayo, W.A. Soil fragmentation and aggregate stability as affected by conventional tillage implements and relations with fractal dimensions. Soil Tillage Res. 2020, 197, 104494. [Google Scholar] [CrossRef]
- Denef, K.; Six, J. Clay mineralogy determines the importance of biological versus abiotic processes for macroaggregate formation and stabilization. Eur. J. Soil Sci. 2005, 56, 469–479. [Google Scholar] [CrossRef]
- Tian, S.; Zhu, B.; Yin, R.; Wang, M.; Jiang, Y.; Zhang, C.; Li, D.; Chen, X.; Kardol, P.; Liu, M. Organic fertilization promotes crop productivity through changes in soil aggregation. Soil Biol. Biochem. 2022, 165, 108533. [Google Scholar] [CrossRef]
- Zhou, S.N.; Wilson, C.G.; Hathaway, J.M.; Schaeffer, S.M. Tracking in-situ soil aggregate turnover under raindrop impact and wetting-drying cycles using rare earth elements. Catena 2022, 213, 106227. [Google Scholar] [CrossRef]
- He, Y.; Xu, C.; Gu, F.; Wang, Y.; Chen, J. Soil aggregate stability improves greatly in response to soil water dynamics under natural rains in long-term organic fertilization. Soil Tillage Res. 2018, 184, 281–290. [Google Scholar] [CrossRef]
- Ren, A.; Sun, M.; Xue, L.; Deng, Y.; Wang, P.; Lei, M.; Xue, J.; Lin, W.; Yang, Z.; Gao, Z. Spatio-temporal dynamics in soil water storage reveals effects of nitrogen inputs on soil water consumption at different growth stages of winter wheat. Agric. Water Manag. 2019, 216, 379–3893. [Google Scholar] [CrossRef]
- Kemper, W.D.; Rosenau, R.C. Soil cohesion as affected by time and water content. Soil Sci. Soc. Am. J. 1984, 48, 1001–1006. [Google Scholar] [CrossRef]
- Algayer, B.; Le Bissonnais, Y.; Darboux, F. Short-term dynamics of soil aggregate stability in the field. Soil Sci. Soc. Am. J. 2014, 78, 1168–1176. [Google Scholar] [CrossRef]
- Ma, R.M.; Cai, C.F.; Li, Z.X.; Wang, J.G.; Feng, J.Y.; Wu, X.L.; Zhu, H.R. Effect of antecedent soil moisture on aggregate stability and splash erosion of krasnozem. Trans. Chin. Soc. Agric. Eng. 2014, 30, 95–103. [Google Scholar]
- Xue, L.; Khan, S.; Sun, M.; Anwar, S.; Ren, A.; Gao, Z.; Lin, W.; Xue, J.; Yang, Z.; Deng, Y. Effects of tillage practices on water consumption and grain yield of dryland winter wheat under different precipitation distribution in the loess plateau of China. Soil Tillage Res. 2019, 191, 66–74. [Google Scholar] [CrossRef]
- Gyssels, G.; Poesen, J.; Bochet, E.; Li, Y. Impact of plant roots on the resistance of soils to erosion by water: A review. Prog. Phys. Geogr. 2005, 29, 189–217. [Google Scholar] [CrossRef]
- Li, Q.; Liu, G.B.; Zhang, Z.; Tuo, D.F.; Bai, R.R.; Qiao, F.F. Relative contribution of root physical enlacing and biochemistrical exudates to soil erosion resistance. Catena 2017, 153, 61–65. [Google Scholar] [CrossRef]
- Liu, J.; Zhou, Z.; Su, X. Review of the mechanism of root system on the formation of soil aggregates. J. Soil Water Conserv. 2020, 34, 267–273. [Google Scholar]
- Wang, Z.H.; Fang, H.; Chen, M.H. Effects of root exudates of woody species on the soil anti-erodibility in the rhizosphere in a karst region, China. Peer J. 2017, 5, e3029. [Google Scholar] [CrossRef]
- Luo, Y.Q.; Zhao, X.Y.; Li, Y.Q.; Zuo, X.A.; Lian, J.; Wang, T. Root decomposition of Artemisia halogendron and its effect on soil nitrogen and soil organic carbon in the Horqin Sandy land, northeastern China. Ecol. Res. 2016, 31, 535–545. [Google Scholar] [CrossRef]
- Xiao, L.; Yao, K.; Li, P.; Liu, Y.; Chang, E.; Zhang, Y.; Zhu, T. Increased soil aggregate stability is strongly correlated with root and soil properties along a gradient of secondary succession on the Loess Plateau. Ecol. Eng. 2020, 143, 105671. [Google Scholar] [CrossRef]
- Eynard, A.; Schumacher, T.E.; Lindstrom, M.J.; Malo, D.D. Aggregate sizes and stability in cultivated South Dakota Prairie Ustolls and Usterts. Soil Sci. Soc. Am. J. 2004, 68, 1360–1365. [Google Scholar] [CrossRef]
- Niu, Z.R.; Su, Y.Z.; An, F.J.; Liu, T.N. Changes in soil carbon and nitrogen content, associated with aggregate fractions, after conversion of sandy desert to irrigation farmland, northwest China. Soil Use Manag. 2022, 38, 396–410. [Google Scholar] [CrossRef]
- Zhang, Z.D.; Yang, X.M.; Drury, C.F.; Reynolds, W.D.; Zhao, L.P. Mineralization of active soil organic carbon in particle size fractions of a Brookston clay soil under no-tillage and mouldboard plough tillage. Can. J. Soil Sci. 2010, 90, 551–557. [Google Scholar] [CrossRef]
- Marinari, S.; Radicetti, E.; Petroselli, V.; Allam, M.; Mancinelli, R. Microbial indices to assess soil health under different tillage and fertilization in potato (Solanum tuberosum L.) crop. Agriculture 2022, 12, 415. [Google Scholar] [CrossRef]
- Zhang, X.; Xin, X.; Zhu, A.; Yang, W.; Zhang, J.; Ding, S.; Mu, L.; Shao, L. Linking macroaggregation to soil microbial community and organic carbon accumulation under different tillage and residue managements. Soil Tillage Res. 2018, 178, 99–107. [Google Scholar] [CrossRef]
- Blanco-Canqui, H.; Lal, R. Soil structure and organic carbon relationships following 10 years of wheat straw management in no-till. Soil Tillage Res. 2007, 95, 240–254. [Google Scholar] [CrossRef]







| Soil Depth | Treatments | Percentage of Soil Aggregates of Different Particle Sizes (%) | ||||||
|---|---|---|---|---|---|---|---|---|
| >5 mm | 3–5 mm | 2–3 mm | 1–2 mm | 0.5–1 mm | 0.25–0.5 mm | <0.25 mm | ||
| 0–10 cm | FMT | 0.56 ± 0.53 a | 0.69 ± 0.26 a | 1.14 ± 0.15 a | 1.46 ± 0.03 a | 4.38 ± 1.25 a | 9.93 ± 2.42 a b | 81.834 ± 3.96 b |
| FST | 0.48 ± 0.42 a | 0.40 ± 0.13 b | 0.44 ± 0.10 b | 0.65 ± 0.17 b | 3.35 ± 0.31 a b | 12.39 ± 1.03 a | 82.29 ± 1.50 b | |
| FPT | 0.52 ± 0.49 a | 0.69 ± 0.16 a | 0.37 ± 0.10 b | 0.33 ± 0.04 c | 1.64 ± 0.27 b | 6.91 ± 1.04 b | 89.54 ± 1.45 a | |
| 10–20 cm | FMT | 1.87 ± 1.09 a | 0.92 ± 0.32 a | 0.92 ± 0.35 a | 1.26 ± 0.25 a | 3.78 ± 0.71 a | 8.51 ± 1.68 a | 82.73 ± 2.85 b |
| FST | 0.01 ± 0.02 b | 0.42 ± 0.36 a | 0.52 ± 0.25 a | 0.66 ± 0.27 b | 3.30 ± 0.47 b | 9.47 ± 1.82 a | 85.63 ± 2.13 b | |
| FPT | 0.00 ± 0.00 b | 0.30 ± 0.28 a | 0.40 ± 0.13 a | 0.40 ± 0.07 b | 1.54 ± 0.28 b | 5.83 ± 1.00 b | 91.54 ± 1.44 a | |
| 20–30 cm | FMT | 1.44 ± 0.94 a | 0.40 ± 0.36 a | 0.65 ± 0.11 a | 0.57 ± 0.13 a | 1.97 ± 0.53 a | 5.81 ± 1.59 b | 89.15 ± 2.57 a |
| FST | 0.19 ± 0.34 a | 0.18 ± 0.11 a | 0.23 ± 0.07 b | 0.36 ± 0.11 b | 1.32 ± 0.17 a | 5.84 ± 0.63 b | 91.87 ± 0.48 a | |
| FPT | 0.28 ± 0.44 a | 0.32 ± 0.47 a | 0.19 ± 0.04 b | 0.50 ± 0.23 a b | 1.96 ± 0.20 a | 9.08 ± 1.44 a | 87.67 ± 2.31 a | |
| 30–40 cm | FMT | 1.08 ± 0.95 a | 1.51 ± 1.05 a | 0.92 ± 0.44 a | 1.17 ± 0.40 a | 4.15 ± 1.98 a | 10.87 ± 7.60 a | 80.30 ± 9.35 b |
| FST | 0.01 ± 0.02 a | 0.44 ± 0.51 a | 0.12 ± 0.06 b | 0.16 ± 0.05 b | 0.88 ± 0.05 b | 5.01 ± 0.59 a | 93.38 ± 0.10 a | |
| FPT | 0.25 ± 0.22 a | 0.14 ± 0.13 a | 0.51 ± 0.41 a b | 0.23 ± 0.03 b | 0.98 ± 0.04 b | 4.38 ± 0.63 a | 93.51 ± 0.50 a | |
| 40–50 cm | FMT | 2.43 ± 1.07 a | 1.28 ± 0.46 a | 0.87 ± 0.79 a | 1.62 ± 1.30 a | 4.03 ± 0.94 a | 14.31 ± 1.31 a b | 75.46 ± 3.33 b |
| FST | 0.44 ± 0.77 a | 0.25 ± 0.43 b | 0.21 ± 0.10 a | 0.59 ± 0.47 a | 4.36 ± 0.45 a | 15.96 ± 2.03 a | 78.19 ± 1.78 a b | |
| FPT | 1.76 ± 0.07 a | 0.61 ± 0.18 b | 0.67 ± 0.41 a | 0.77 ± 0.04 a | 2.87 ± 0.36 b | 11.59 ± 0.60 b | 81.73 ± 0.77 a | |
| Soil Depth | Treatments | Percentage of Soil Aggregates of Different Particle Sizes (%) | ||||||
|---|---|---|---|---|---|---|---|---|
| >5 mm | 3–5 mm | 2–3 mm | 1–2 mm | 0.5–1 mm | 0.25–0.5 mm | <0.25 mm | ||
| 0–10 cm | FMT | 1.03 ± 0.06 a | 0.86 ± 0.12 a | 1.07 ± 0.22 a | 1.13 ± 0.09 a | 3.91 ± 0.42 a | 10.68 ± 0.38 a | 81.31 ± 1.59 c |
| FST | 0.51 ± 0.07 a | 0.31 ± 0.04 b | 0.29 ± 0.13 b | 0.37 ± 0.04 b | 2.15 ± 0.11 b | 11.83 ± 1.46 a | 84.53 ± 2.09 b | |
| FPT | 0.00 ± 0.00 a | 0.06 ± 0.01 b | 0.23 ± 0.15 b | 0.38 ± 0.11 b | 1.13 ± 0.13 c | 3.51 ± 0.26 b | 94.70 ± 0.19 a | |
| 10–20 cm | FMT | 0.41 ± 0.37 a | 0.53 ± 0.43 a | 0.80 ± 0.21 a | 0.71 ± 0.05 a | 2.54 ± 0.17 a | 5.92 ± 0.22 b | 89.10 ± 0.90 b |
| FST | 0.53 ± 0.51 a | 0.20 ± 0.18 a | 0.25 ± 0.05 b | 0.53 ± 0.06 b | 2.16 ± 0.12 a | 8.39 ± 0.30 a | 87.95 ± 0.97 a | |
| FPT | 0.22 ± 0.04 a | 0.40 ± 0.20 a | 0.21 ± 0.18 b | 0.57 ± 0.03 b | 1.41 ± 0.30 b | 3.10 ± 0.58 c | 94.09 ± 0.89 a | |
| 20–30 cm | FMT | 0.47 ± 0.24 a | 1.05 ± 0.43 a | 1.14 ± 0.44 a | 0.67 ± 0.05 b | 2.20 ± 0.38 a | 6.31 ± 0.35 a | 88.17 ± 0.92 b |
| FST | 0.76 ± 0.34 a | 0.40 ± 0.33 b | 0.37 ± 0.14 b | 0.23 ± 0.01 c | 1.10 ± 0.02 b | 6.00 ± 0.17 a | 91.13 ± 0.26 a | |
| FPT | 0.18 ± 0.03 a | 0.37 ± 0.09 b | 0.89 ± 0.25 a b | 0.86 ± 0.14 a | 1.93 ± 0.18 a | 5.33 ± 0.99 a | 90.44 ± 1.12 a | |
| 30–40 cm | FMT | 0.66 ± 0.35 a | 1.29 ± 0.67 a | 0.88 ± 0.25 a | 1.05 ± 0.13 a | 2.16 ± 0.15 a | 7.84 ± 0.29 a | 86.11 ± 0.86 c |
| FST | 1.29 ± 1.07 a | 0.69 ± 0.36 a | 0.49 ± 0.01 b | 0.29 ± 0.06 b | 1.19 ± 0.23 b | 7.87 ± 1.50 a | 88.19 ± 0.70 b | |
| FPT | 1.16 ± 1.00 a | 0.68 ± 0.12 a | 0.35 ± 0.16 b | 0.36 ± 0.08 b | 1.34 ± 0.09 b | 3.51 ± 0.45 b | 92.61 ± 1.11 a | |
| 40–50 cm | FMT | 0.51 ± 0.09 a | 0.66 ± 0.47 a | 1.09 ± 0.03 a | 0.89 ± 0.19 a | 2.16 ± 0.22 b | 7.51 ± 1.42 c | 87.17 ± 2.41 a |
| FST | 1.45 ± 0.93 a | 0.47 ± 0.24 a | 0.60 ± 0.33 a | 0.75 ± 0.12 a | 3.20 ± 0.35 a | 13.60 ± 0.19 a | 79.94 ± 1.10 b | |
| FPT | 0.62 ± 0.53 a | 0.35 ± 0.22 a | 1.01 ± 0.35 a | 0.77 ± 0.18 a | 2.58 ± 0.18 b | 9.24 ± 0.32 b | 85.44 ± 0.77 a | |
Disclaimer/Publisher’s Note: The statements, opinions and data contained in all publications are solely those of the individual author(s) and contributor(s) and not of MDPI and/or the editor(s). MDPI and/or the editor(s) disclaim responsibility for any injury to people or property resulting from any ideas, methods, instructions or products referred to in the content. |
© 2023 by the authors. Licensee MDPI, Basel, Switzerland. This article is an open access article distributed under the terms and conditions of the Creative Commons Attribution (CC BY) license (https://creativecommons.org/licenses/by/4.0/).
Share and Cite
Qi, Z.; Cui, W.; Tian, Z.; Li, J.; Wang, Y.; Wu, P.; Gao, Z.; Xue, J. Soil Aggregates Stability Response to Summer Fallow Tillage in Rainfed Winter Wheat Fields on the Loess Plateau. Agronomy 2023, 13, 1413. https://doi.org/10.3390/agronomy13051413
Qi Z, Cui W, Tian Z, Li J, Wang Y, Wu P, Gao Z, Xue J. Soil Aggregates Stability Response to Summer Fallow Tillage in Rainfed Winter Wheat Fields on the Loess Plateau. Agronomy. 2023; 13(5):1413. https://doi.org/10.3390/agronomy13051413
Chicago/Turabian StyleQi, Zewei, Weihua Cui, Zimeng Tian, Jiahua Li, Yuechao Wang, Peng Wu, Zhiqiang Gao, and Jianfu Xue. 2023. "Soil Aggregates Stability Response to Summer Fallow Tillage in Rainfed Winter Wheat Fields on the Loess Plateau" Agronomy 13, no. 5: 1413. https://doi.org/10.3390/agronomy13051413
APA StyleQi, Z., Cui, W., Tian, Z., Li, J., Wang, Y., Wu, P., Gao, Z., & Xue, J. (2023). Soil Aggregates Stability Response to Summer Fallow Tillage in Rainfed Winter Wheat Fields on the Loess Plateau. Agronomy, 13(5), 1413. https://doi.org/10.3390/agronomy13051413

