Enhancing Rice Yield and Nitrogen Utilization Efficiency through Optimal Planting Density and Reduced Nitrogen Rates
Abstract
1. Introduction
2. Materials and Methods
2.1. Field Experiments
2.2. Sampling and Measurement
2.3. Data Analysis
3. Results
3.1. Effect of Nitrogen Rate and Transplanting Density on Grain Yield
3.2. Effect of Nitrogen Rate and Transplanting Density on Yield Components
3.3. Effect of Nitrogen Rate and Transplanting Density on SPAD
3.4. Effect of Nitrogen Rate and Transplanting Density on Leaf Area Index
3.5. Effect of Nitrogen Rate and Transplanting Density on the Aboveground Total Dry Weight
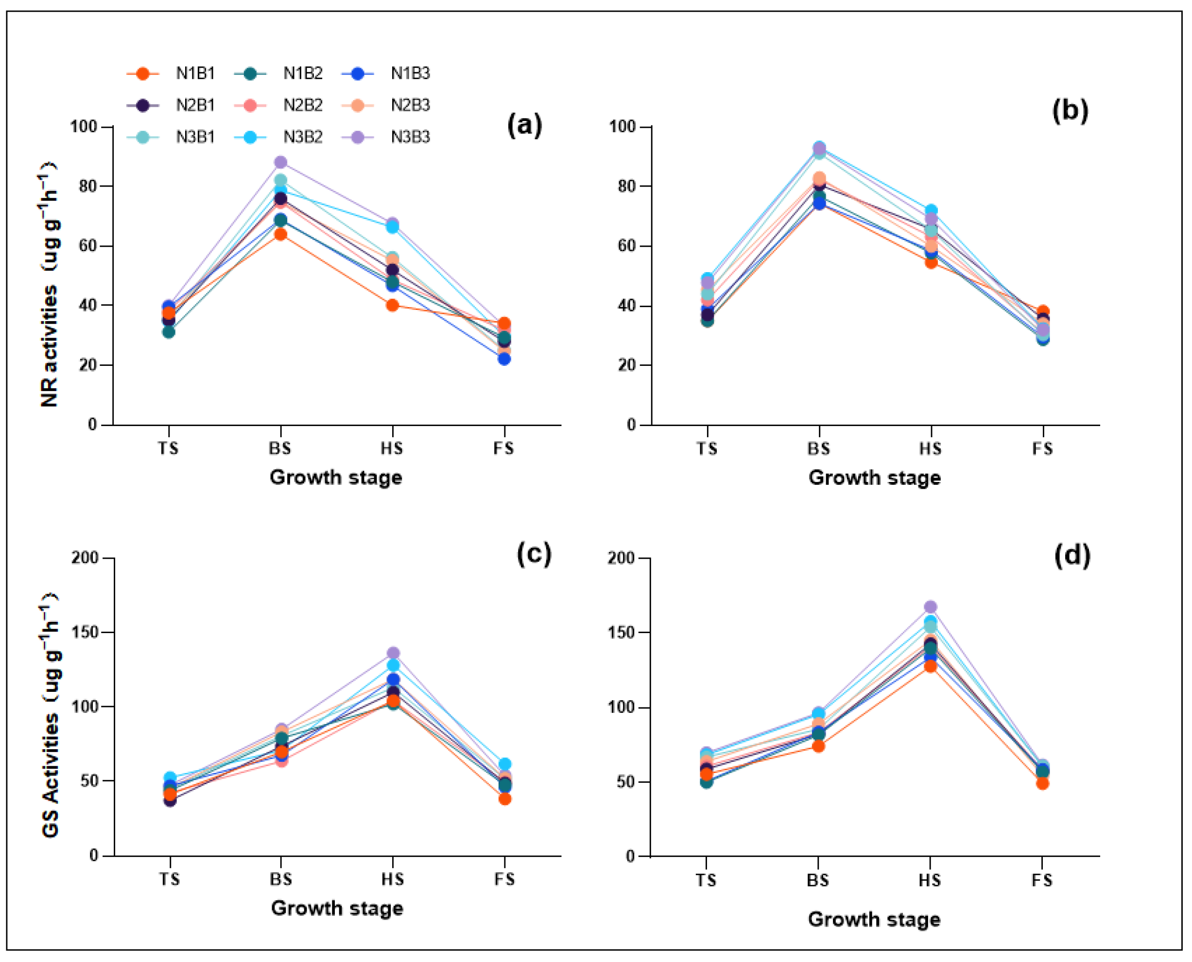
3.6. Effect of Nitrogen Rate and Transplanting Density on Nitrate Reductase and Glutamine Synthetase
3.7. Effect of Nitrogen Rate and Transplanting Density on Nitrogen Uptake and Use Efficiency
4. Discussion
5. Conclusions
Author Contributions
Funding
Institutional Review Board Statement
Informed Consent Statement
Data Availability Statement
Acknowledgments
Conflicts of Interest
References
- Huang, M.; Shan, S.L.; Xie, X.B.; Cao, F.B.; Zou, Y.B. Why high grain yield can be achieved in single seedling machine-transplanted hybrid rice under dense planting conditions? J. Integr. Agric. 2018, 17, 1299–1306. [Google Scholar] [CrossRef]
- Mueller, N.D.; Gerber, J.S.; Johnston, M.; Ray, D.K.; Ramankutty, N.; Foley, J.A. Closing yield gaps through nutrient and water management. Nature 2012, 490, 254–257. [Google Scholar] [CrossRef] [PubMed]
- Huang, M.; Liu, Y.; Cao, F.B.; Chen, J.N. Residual Effects of Nitrogen Application for Six Consecutive Crop Seasons on Soil Nitrogen Mineralization and the Succeeding Crop Yield in a Rice Paddy. J. Soil Sci. Plant Nutr. 2022, 22, 1052–1059. [Google Scholar] [CrossRef]
- Zheng, H.B.; Chen, Y.W.; Chen, Q.M.; Li, B.; Zhang, Y.S.; Jia, W.; Mo, W.W.; Tang, Q.Y. High-density planting with lower nitrogen application increased early rice production in a double-season rice system. Agron. J. 2020, 112, 205–214. [Google Scholar] [CrossRef]
- Huang, M.; Tang, Q.Y.; Ao, H.J.; Zou, Y.B. Yield potential and stability in super hybrid rice and its production strategies. J. Integr. Agric 2017, 16, 1009–1017. [Google Scholar] [CrossRef]
- Saudy, H.S.; El-Metwally, I.M. Effect of Irrigation, Nitrogen Sources, and Metribuzin on Performance of Maize and Its Weeds. Commun. Soil Sci. Plant Anal. 2023, 54, 22–35. [Google Scholar] [CrossRef]
- Aghaee, M.A.; Espino, L.; Goding, K.; Goldman, E.; Godfrey, L.D. Effects of Seeding Rates and Rice Water Weevil (Coleoptera: Curculionidae) Density on Damage in Two Medium Grain Varieties of Rice. J. Econ. Entomol. 2016, 109, 667–675. [Google Scholar] [CrossRef]
- Ma, S.H.; Wang, G.B.; Su, S.M.; Lu, J.W.; Ren, T.; Cong, R.H.; Lu, Z.F.; Zhang, Y.Y.; Liao, S.P.; Li, X.K. Effects of optimized nitrogen fertilizer management on the yield, nitrogen uptake, and ammonia volatilization of direct-seeded rice. J. Sci. Food Agric 2023. [Google Scholar] [CrossRef]
- Amanullah; Iqbal, A.; Ali, A.; Fahad, S.; Parmar, B. Nitrogen Source and Rate Management Improve Maize Productivity of Smallholders under Semiarid Climates. Front. Plant Sci. 2016, 7, 1773. [Google Scholar] [CrossRef]
- Anand, T.; Srinivasan, A.; Padmavathy, P.; Jawahar, P.; Sampathkumar, J.S. Structure, proximate composition, nutrient dynamics and growth characteristics of Penaeus vannamei in indoor biofloc systems with three different salinities and carbon sources. Isr. J. Aquacult. Bamid. 2021, 73, 1–16. [Google Scholar] [CrossRef]
- Ding, J.F.; Li, F.J.; Le, T.; Xu, D.Y.; Zhu, M.; Li, C.Y.; Zhu, X.K.; Guo, W.S. Tillage and seeding strategies for wheat optimizing production in harvested rice fields with high soil moisture. Sci. Rep. 2021, 11, 1–12. [Google Scholar] [CrossRef] [PubMed]
- Gong, Y.L.; Lei, Y.; Zhang, X.P.; Yan, B.C.; Ju, X.T.; Cheng, X.Y.; Zhang, J.D.; Sun, X.Y.; Xu, H.; Chen, W.F. Nitrogen rate and plant density interaction enhances grain yield by regulating the grain distribution of secondary branches on the panicle axis and photosynthesis in japonica rice. Photosynthetica 2022, 60, 179–189. [Google Scholar] [CrossRef]
- Li, J.; Feng, Y.H.; Wang, X.K.; Xu, G.L.; Luo, Z.F.; Peng, J.F.; Luo, Q.X.; Lu, W.; Han, Z.L. High nitrogen input increases the total spikelets but decreases the high-density grain content in hybrid indica rice. Field Crop Res. 2022, 288, 108679. [Google Scholar] [CrossRef]
- Feng, H.Y.; Li, Y.Z.; Yan, Y.F.; Wei, X.H.; Yang, Y.H.; Zhang, L.; Ma, L.; Li, W.; Tang, X.R.; Mo, Z.W. Nitrogen Regulates the Grain Yield, Antioxidant Attributes, and Nitrogen Metabolism in Fragrant Rice Grown Under Lead-Contaminated Soil. J. Soil Sci. Plant Nutr. 2020, 20, 2099–2111. [Google Scholar] [CrossRef]
- Liu, W.Y.; Bao, S.Y.; Lu, Y.Y.; Zhang, Q.; Geng, Y.Q.; Shao, X.W.; Guo, L.Y. Effects of Dense Planting with Less Nitrogen Fertilization on Rice Yield and Nitrogen Use Efficiency in Northeast China. Int. J. Plant Prod. 2021, 15, 625–634. [Google Scholar] [CrossRef]
- Xue, J.F.; Pu, C.; Liu, S.L.; Chen, Z.D.; Chen, F.; Xiao, X.P.; Lal, R.; Zhang, H.L. Effects of tillage systems on soil organic carbon and total nitrogen in a double paddy cropping system in Southern China. Soil Tillage Res. 2015, 153, 161–168. [Google Scholar] [CrossRef]
- Chen, C.; Zhu, H.X.; Lv, Q.; Tang, Q. Impact of biochar on red paddy soil physical and hydraulic properties and rice yield over 3 years. J. Soils Sediments 2022, 22, 607–616. [Google Scholar] [CrossRef]
- Huang, M.; Jiang, P.; Zhou, X.F.; Zou, Y.B. No-tillage increases nitrogen scavenging by fallow weeds in a double-season rice cropping system in China. Weed Biol. Manag. 2018, 18, 105–109. [Google Scholar] [CrossRef]
- Fu, Y.Q.; Zhong, X.H.; Zeng, J.H.; Liang, K.M.; Pan, J.F.; Xin, Y.F.; Liu, Y.Z.; Hu, X.Y.; Peng, B.L.; Chen, R.B.; et al. Improving grain yield, nitrogen use efficiency and radiation use efficiency by dense planting, with delayed and reduced nitrogen application, in double cropping rice in South China. J. Integr. Agric. 2021, 20, 565–580. [Google Scholar] [CrossRef]
- Zhu, H.J.; Zhang, T.; Zhang, C.L.; He, X.E.; Shi, A.L.; Tan, W.J.; Yi, Z.X.; Wang, X.H. Optimizing Irrigation and Nitrogen Management to Increase Yield and Nitrogen Recovery Efficiency in Double-Cropping Rice. Agronomy 2022, 12, 1190. [Google Scholar] [CrossRef]
- Hirooka, Y.; Homma, K.; Shiraiwa, T. Parameterization of the vertical distribution of leaf area index (LAI) in rice (Oryza sativa L.) using a plant canopy analyzer. Sci. Rep. 2018, 8, 6387. [Google Scholar] [CrossRef] [PubMed]
- Zhu, H.J.; Fu, H.Y.; Wang, X.H.; Cui, G.X.; Shi, A.L.; Xue, W.C. Preliminary Study on the Intertemporal Predictability of the Physiological Index of Early Rice Based on Hyperspectral. Spectrosc. Spect. Anal. 2022, 42, 170–175. [Google Scholar]
- Meng, T.Y.; Zhang, X.B.; Ge, J.L.; Chen, X.; Zhu, G.L.; Chen, Y.L.; Zhou, G.S.; Wei, H.H.; Dai, Q.G. Improvements in grain yield and nutrient utilization efficiency of japonica inbred rice released since the 1980s in eastern China. Field Crop Res. 2022, 277, 108427. [Google Scholar] [CrossRef]
- Liu, X.M.; Zhang, L.G.; Yu, Y.; Qian, C.R.; Li, C.F.; Wei, S.; Li, C.F.; Gu, W.R. Nitrogen and Chemical Control Management Improve Yield and Quality in High-Density Planting of Maize by Promoting Root-Bleeding Sap and Nutrient Absorption. Front. Plant Sci. 2022, 13, 754232. [Google Scholar] [CrossRef] [PubMed]
- Liu, H.Y.; He, A.B.; Jiang, G.L.; Hussain, S.; Wang, W.Q.; Sun, H.J.; Jiang, M.; Nie, L.X. Faster leaf senescence after flowering in wet direct-seeded rice was mainly regulated by decrease in cytokinin content as compared with transplanted-flooded rice. Food Energy Secur. 2020, 9, 4. [Google Scholar] [CrossRef]
- Hu, Q.J.; Lin, C.; Guan, Y.J.; Sheteiwy, M.S.; Hu, W.M.; Hu, J. Inhibitory effect of eugenol on seed germination and pre-harvest sprouting of hybrid rice (Oryza sativa L.). Sci. Rep. 2017, 7, 1–9. [Google Scholar] [CrossRef]
- Huang, M.; Chen, J.N.; Cao, F.B.; Zou, Y.B. Increased hill density can compensate for yield loss from reduced nitrogen input in machine-transplanted double-cropped rice. Field Crop Res. 2018, 221, 333–338. [Google Scholar] [CrossRef]
- Xu, L.; Yuan, S.; Wang, X.Y.; Chen, Z.F.; Li, X.X.; Cao, J.; Wang, F.; Huang, J.L.; Peng, S.B. Comparison of yield performance between direct-seeded and transplanted double-season rice using ultrashort-duration varieties in central China. Crop J. 2022, 10, 515–523. [Google Scholar] [CrossRef]
- Choi, E.S.; Sukweenadhi, J.; Kim, Y.J.; Jung, K.H.; Koh, S.C.; Hoang, V.A.; Yang, D.C. The effects of rice seed dressing with Paenibacillus yonginensis and silicon on crop development on South Korea’s reclaimed tidal land. Field Crop Res. 2016, 188, 121–132. [Google Scholar] [CrossRef]
- Mirtaleb, S.H.; Niknejad, Y.; Fallah, H. Effect of Foliar Sprays of Amino Acids and Potassium on Nitrogen-Metabolising Enzymes, Growth and Yield of Rice. Biol. Environ. 2021, 121, 123–131. [Google Scholar] [CrossRef]
- Mahmood, H.; Cai, J.; Zhou, Q.; Wang, X.; Samo, A.; Huang, M.; Dai, T.B.; Jahan, M.S.; Jiang, D. Optimizing Nitrogen and Seed Rate Combination for Improving Grain Yield and Nitrogen Uptake Efficiency in Winter Wheat. Plants 2022, 11, 1745. [Google Scholar] [CrossRef] [PubMed]
- Meng, S.; Zhang, C.X.; Su, L.; Li, Y.M.; Zhao, Z. Nitrogen uptake and metabolism of Populus simonii in response to PEG-induced drought stress. Environ. Exp. Bot. 2016, 123, 78–87. [Google Scholar] [CrossRef]
- Wang, J.L.; Fu, Z.S.; Chen, G.F.; Zou, G.Y.; Song, X.F.; Liu, F.X. Runoff nitrogen (N) losses and related metabolism enzyme activities in paddy field under different nitrogen fertilizer levels. Environ. Sci. Pollut. Res. 2018, 25, 27583–27593. [Google Scholar] [CrossRef] [PubMed]






| pH | Organic Matter (gkg−1) | Total Nitrogen (gkg−1) | Olsen Phosphorus (mgkg−1) | Alkali-Hydrolysis Nitrogen (mgkg−1) | Exchangeable Potassium (mgkg−1) |
|---|---|---|---|---|---|
| 5.2 | 36.6 | 1.1 | 132.5 | 186.6 | 136.5 |
| Cultivar | Growth Duration (d) | ||
|---|---|---|---|
| SS-HS | HS-MS | SS-MS | |
| 2021 | 88 | 32 | 120 |
| 2022 | 84 | 35 | 119 |
| Year | Treatment | Panicles (×104 ha−1) | Spikelet Filling (%) | Grain Weight (mg) | Spikelets Panicle−1 |
|---|---|---|---|---|---|
| 2021 | N1B1 | 204.7 e | 78.8 a | 25.9 a | 157.5 b |
| N1B2 | 247.6 d | 75 b | 25.5 b | 141.9 cd | |
| N1B3 | 268.5 d | 73.5 bc | 25.3 c | 133.9 d | |
| N2B1 | 252.6 b | 76.7 b | 25.9 a | 174.3 a | |
| N2B2 | 335.5 d | 71.8 c | 25.4 c | 145.9 c | |
| N2B3 | 426.2 a | 70.5 d | 25.4 c | 125.4 d | |
| N3B1 | 296.6 c | 76.6 b | 25.4 c | 150.7 c | |
| N3B2 | 365.5 b | 70.9 cd | 25.3 c | 131 d | |
| N3B3 | 423.4 a | 69.4 e | 25.1 c | 122 d | |
| 2022 | N1B1 | 216.6 e | 84.7 a | 25.4 a | 147.9 b |
| N1B2 | 258.8 d | 81.1 bc | 25.2 b | 140.2 c | |
| N1B3 | 284.5 d | 80.3 c | 24.9 c | 133.7 c | |
| N2B1 | 269.3 d | 80.1 c | 25.2 b | 160.4 a | |
| N2B2 | 336.8 c | 80.8 c | 24.9 c | 132.6 c | |
| N2B3 | 444.2 a | 80.1 c | 24.7 cd | 113.2 e | |
| N3B1 | 324.5 c | 82.2 b | 24.7 cd | 135.3 c | |
| N3B2 | 399.4 b | 75.5 d | 24.5 d | 121.6 d | |
| N3B3 | 426 ab | 76.3 d | 24.8 cd | 116.9 de | |
| SOV | N | ** | ns | ns | ** |
| B | ** | ** | ** | ** | |
| N × B | ** | * | * | ns | |
| N × B × Y | ns | ns | ns | ns |
| Year | Treatment | NGE | NHI | NRE | AE | PE | PFP |
|---|---|---|---|---|---|---|---|
| (kg kg−1) | (%) | % | (kg kg−1) | (kg kg−1) | (kg kg−1) | ||
| 2021 | N1B1 | 63.7 e | 77.5 a | ||||
| N1B2 | 66.8 e | 80.1 a | |||||
| N1B3 | 66.9 e | 80.7 a | |||||
| N2B1 | 99.2 cd | 63.0 c | 39.9 b | 10.4 b | 39.4 b | 53.8 a | |
| N2B2 | 111.4 c | 61.5 c | 39.8 b | 10.4 b | 40.4 a | 54 a | |
| N2B3 | 114.9 c | 80.4 a | 41.3 a | 11.3a | 41.1 a | 52.2 b | |
| N3B1 | 123.2 c | 55.6 d | 33.9 c | 7.4 d | 26.7 d | 41.8 d | |
| N3B2 | 139.2 b | 57.8 cd | 34.4 c | 7.2 d | 28.4 c | 44.4 c | |
| N3B3 | 168.6 a | 68.3 b | 34.6 c | 8.5 c | 28.4 c | 44.0 c | |
| 2022 | N1B1 | 68.0 e | 83.4 a | ||||
| N1B2 | 61.2 e | 82.5 a | |||||
| N1B3 | 68.2 e | 84.4 a | |||||
| N2B1 | 106.5 d | 72.1 b | 40.9 b | 10.1 a | 38.9 b | 59.4 a | |
| N2B2 | 114.3 d | 76.8 b | 41.6 ab | 10.2 a | 41.1 a | 60.6 a | |
| N2B3 | 127 c | 82.6 a | 42.5 a | 10.6 a | 41.4 a | 60.6 a | |
| N3B1 | 135.6 bc | 59.4 d | 36.1 c | 7.9 b | 30.8 c | 47.5 c | |
| N3B2 | 148.4 b | 59.4 d | 36.3 c | 8.0 b | 31.0 c | 47.2 c | |
| N3B3 | 179.7 a | 66.2 c | 37.5 c | 8.4 b | 30.8 c | 49.3 b | |
| SOV | N | ** | ** | ** | ** | ** | ** |
| B | * | ** | ns | ns | ns | ns | |
| N × B | * | ** | * | * | * | * | |
| N × B × Y | * | ns | ns | ns | ns | ns |
Disclaimer/Publisher’s Note: The statements, opinions and data contained in all publications are solely those of the individual author(s) and contributor(s) and not of MDPI and/or the editor(s). MDPI and/or the editor(s) disclaim responsibility for any injury to people or property resulting from any ideas, methods, instructions or products referred to in the content. |
© 2023 by the authors. Licensee MDPI, Basel, Switzerland. This article is an open access article distributed under the terms and conditions of the Creative Commons Attribution (CC BY) license (https://creativecommons.org/licenses/by/4.0/).
Share and Cite
Zhu, H.; Wen, T.; Sun, M.; Ali, I.; Sheteiwy, M.S.; Wahab, A.; Tan, W.; Wen, C.; He, X.; Wang, X. Enhancing Rice Yield and Nitrogen Utilization Efficiency through Optimal Planting Density and Reduced Nitrogen Rates. Agronomy 2023, 13, 1387. https://doi.org/10.3390/agronomy13051387
Zhu H, Wen T, Sun M, Ali I, Sheteiwy MS, Wahab A, Tan W, Wen C, He X, Wang X. Enhancing Rice Yield and Nitrogen Utilization Efficiency through Optimal Planting Density and Reduced Nitrogen Rates. Agronomy. 2023; 13(5):1387. https://doi.org/10.3390/agronomy13051387
Chicago/Turabian StyleZhu, Haijun, Tian Wen, Manwen Sun, Izhar Ali, Mohamed S. Sheteiwy, Abdul Wahab, Weijian Tan, Can Wen, Xiaoe He, and Xuehua Wang. 2023. "Enhancing Rice Yield and Nitrogen Utilization Efficiency through Optimal Planting Density and Reduced Nitrogen Rates" Agronomy 13, no. 5: 1387. https://doi.org/10.3390/agronomy13051387
APA StyleZhu, H., Wen, T., Sun, M., Ali, I., Sheteiwy, M. S., Wahab, A., Tan, W., Wen, C., He, X., & Wang, X. (2023). Enhancing Rice Yield and Nitrogen Utilization Efficiency through Optimal Planting Density and Reduced Nitrogen Rates. Agronomy, 13(5), 1387. https://doi.org/10.3390/agronomy13051387

