Abstract
Between July and September 2021, researchers collected 100 specimens of the Spanish slug, Arion vulgaris, and dissected their cadavers to examine them for parasitic nematodes. Molecular techniques were used to identify the nematodes, which confirmed the presence of Oscheius myriophilus, marking the first recorded instance of this nematode in a gastropod host. To test the virulence of Slovenian strains of O. myriophilus and Phasmarhabditis papillosa and their effects on the feeding behavior of the Spanish slug, grey field slug (Deroceras reticulatum), and vineyard snail (Cernuella virgata), laboratory bioassays were conducted using nematodes grown in vivo. Nematodes were applied at various doses ranging from 10 to 500 nematodes/gastropod. The results showed that O. myriophilus and P. papillosa caused significant mortality (82.5% ± 2.5% at 15 °C) of the Spanish slug while being less effective against the vineyard snail and grey field slug. Nematodes were more virulent at a lower temperature (15 °C) than at the higher temperature (20 °C) tested in the experiment. Additionally, both nematode species significantly reduced gastropod herbivory. The potential use of O. myriophilus and P. papillosa as biological control agents against gastropods is discussed.
1. Introduction
Slugs and snails (Mollusca: Gastropoda) are a major concern for horticulturists worldwide, as they are among the most destructive pests in greenhouses, home gardens, nurseries, landscapes, and field crops [1]. These generalist feeders have a wide range of diet preferences and tend to target succulent foliage, making them serious pests for seedlings, herbaceous plants, and fruit ripening close to the ground [2]. Some gastropod species are even known to damage stored products [1]. In Europe, 11 species of gastropods need to be controlled in cultivated plants, including Deroceras reticulatum (Müller), Arion distinctus Mabille, Arion hortensis (Férussac), Arion intermedius Normand, Arion rufus (L.), Arion vulgaris Moquin-Tandon, Tandonia budapestensis Hazay, Cornu aspersum (Müller), Cepaea hortensis (Müller), Cepaea nemoralis (L.), and Cernuella virgata (Da Costa) [1,2,3].
Chemical molluscicides are currently the primary means of controlling gastropod pests. Three types of pellets based on carbamates, metaldehyde, or iron phosphate are commonly used [4]. However, carbamates, such as methiocarb, are effective but also kill beneficial insects, such as carabid beetles [5]. Metaldehyde targets the mucus-producing cells of slugs and snails and causes their death through contact or ingestion. Iron phosphate pellets, on the other hand, are approved for organic farming and interfere with calcium metabolism in the gut of the target host, leading to death within a few days [6]. Although iron phosphate is less toxic to animals than other molluscicides, it has been observed to cause increased mortality, decreased mass, and reduced surface foraging in earthworms [7]. Chemical control options for gastropod pests are becoming more limited due to the removal of methiocarb from the European market and the ban on the outdoor use of metaldehyde in the UK in 2022, following recommendations from the Health and Safety Executive and the UK Expert Committee on Pesticides [4]. To address this issue, farmers and growers are exploring sustainable control methods, such as biorational products, physical barriers, agronomic practices, cultural control, monitoring, and biological control [8,9,10].
The use of molluscicidal nematodes as a biological control measure against pest gastropods is a promising approach. The parasitic nematode Phasmarhabditis hermaphrodita Schneider (Rhabditidae) has been sold in Europe as Nemaslug® and SlugTech® and has shown great potential as a slug biological control agent for over thirty years [8]. However, regulations and restrictions on the use of only indigenous species in certain countries have limited the use of P. hermaphrodita, necessitating the search for alternative nematode species [11,12,13]. Currently, there are 16 nominal species of Phasmarhabditis worldwide, all of which have demonstrated the ability to specifically target and kill gastropods and protect crops [14,15,16,17,18].
The gastropod–parasitic nematode Phasmarhabditis papillosa (Schneider) Andrássy, 1983 has been isolated from various gastropod species, such as Arion circumscriptus Johnston, Arion ater L., Deroceras laeve (Müller), Limax cinereoniger Wolf, Limax tenellus (Müller) [19], Deroceras invadens Reise, Hutchinson, Schunack and Schlitt [11], D. reticulatum [13], and A. vulgaris [12]. Recent studies have shown that P. papillosa is capable of causing significant mortality in Deroceras panormitanum (Lessona and Pollonera) and A. vulgaris, which highlights its potential as a new biological control agent against gastropods and warrants further investigation.
The Rhabditidae family comprises free-living nematodes that feed on bacteria, and Oscheius is a genus within this family [20]. The genus is divided into two groups, Insectivora and Dolichura [21], and it includes 45 described species [22]. Studies have shown that Oscheius nematodes exhibit entomopathogenic or scavenging behavior and can serve as effective biological control agents against various invertebrate pests [22,23,24]. Recently, Oscheius has gained increasing attention. For example, Oscheius myriophilus Poinar was found to be associated with garden millipedes in California, as well as millipedes in South Australia, the European mole cricket in Turkey, and sugar cane crop soil in Mexico [24,25,26,27].
The opportunity to investigate the potential biocontrol efficacy of O. myriophilus against various gastropod species arose when it was isolated from a Spanish slug (A. vulgaris). In this study, we also included the recently confirmed slug parasitic nematode P. papillosa from Slovenia [12]. Our objective was to evaluate and compare the pathogenicity of Slovenian native strains of O. myriophilus and P. papillosa against three gastropod species (A. vulgaris, D. reticulatum, and C. virgata) under controlled laboratory conditions.
2. Materials and Methods
2.1. Nematode Isolation from Slugs and Culture Maintenance
Between July and September 2021, Arion vulgaris specimens were collected in Ljubljana, Slovenia, near the river Glinščica (46°03′ N, 14°28′ E). This species is known to be the most common and harmful slug pest in Europe [28]. Species identification of collected slugs (n = 100) was performed using identification charts [2]. The slugs were then rinsed with 0.9% saline solution using the protocol described by Pieterse et al. [11] and dissected alive to isolate nematodes. Recovered nematodes were maintained in a laboratory culture on freeze-killed A. vulgaris slugs, and nematodes needed for identification were preserved in 80% ethanol for molecular analysis [11]. The nematode cultures were washed after 10 days using a sodium hypochlorite solution (5%) and distilled water, with the goal of obtaining infective juveniles (IJs) for use in the experiment. The IJs were stored in M9 buffer at 4 °C, and only those less than two weeks old with a viability of over 95% were utilized. Native populations of Phasmarhabditis papillosa (GenBank accession number MT800511.1) were also subcultured for use in this study, as the species was recently confirmed in Slovenia [12].
2.2. Molecular Identification
Individual nematodes were used for genomic DNA extraction, and the internal transcribed spacer (ITS) region and small subunit rRNA gene (SSU) were amplified through polymerase chain reaction (PCR) using primers TW81 and AB28 per Hominick et al. [29] and Liu et al. [30], respectively. The PCR products were then purified using the QIAquick Gel Extraction Kit (Qiagen) from a 1% TAE-buffered agarose gel. The purified samples were sent to the laboratory of Microsynth AG for sequencing. The obtained DNA sequences were compared with the National Centre for Biotechnology Information (NCBI) database using the BLAST search tool.
2.3. Laboratory Bioassay
The Laboratory of Entomology of the Biotechnical Faculty (Dept. of Agronomy, University of Ljubljana, Ljubljana, Slovenia) was used to conduct experiments to test the potential gastropod control ability of O. myriophilus and P. papillosa. In June and July 2022, Arion vulgaris and Deroceras reticulatum slugs were collected from the laboratory field of the Biotechnical Faculty in Ljubljana, Slovenia (46°04′ N, 14°31′ E, 299 m a.s.l.), while Cernuella virgata snails were collected in a vineyard near the city of Miren, Slovenia (45°53′ N, 13°35′ E, 45 m a.s.l.) in July and August 2022. The collected gastropods were identified using identification charts [2] and were of different sizes and stages to obtain a representative sample of the outdoor population of gastropods. Prior to the experiment, the gastropods were starved for 48 h [12]. The average weight of A. vulgaris, D. reticulatum, and C. virgata used in this study was 6.3 ± 1.3 g, 1.8 ± 0.4 g, and 3.1 ± 0.2 g, respectively.
The study was conducted in plastic Petri dishes (150 × 20 mm) for 28 days. The experiment comprised six different treatments (control, 10, 50, 100, 200, and 500 IJs/gastropod), and each treatment was carried out with 20 slugs (1 slug per Petri dish). The laboratory experiments were performed in a growth chamber (type: RK-900 CH, manufactured by Kambič laboratorijska oprema d.o.o., Semič) at 15 and 20 °C, with 12/12 h photoperiod, and 75% relative air humidity. A total of 480 individuals of each gastropod species (6 treatments x 20 replicates x 2 temperatures x 2 nematode species) were used in the study. The experiment utilized 1440 slugs and snails of various sizes and stages. Moistened filter paper and fresh lettuce leaves were placed in plastic Petri dishes. One ml of the nematode suspension was dripped directly on moistened filter paper, and the nematodes were applied only once during the experiment. The number of nematodes was determined in a previously prepared suspension, and the sample was diluted or concentrated as required to achieve the necessary dose. The control received the same amount of water without nematodes added to the moistened filter paper. Lettuce leaf discs of approximately 5 cm in diameter were offered to the slugs as a food source. The survival and feeding of slugs were monitored on 2, 4, 7, 10, 14, 17, 21, 25, and 28 days after treatment (DAT), while fresh food (i.e., lettuce leaves) and additional moisture were added to the filter paper. The leaf area eaten by the gastropods was visually assessed, and the percentage of gastropods that consumed food was calculated. To confirm the pathogenicity of nematodes, dead gastropods were transferred to modified white traps, and nematode progeny were observed under the microscope [12].
2.4. Statistical Analyses
A multifactor analysis of variance (ANOVA) was conducted to assess the differences in mortality and feeding of gastropods under different variables, such as nematode species, nematode dose, mollusk species, temperatures, days after treatment (DAT), and replication. Data obtained at 0, 7, 14, 21, and 28 DAT were used for statistical analysis after testing each variable for homogeneity of treatment variances. Mortality in all nematode treatments was higher than that in the control treatments; therefore, the treatment values were corrected for natural mortality. Mean differences among the tested variables were separated using Duncan’s multiple range test (p < 0.05). The data are presented as the mean ± S.E. Statistical analyses were performed using Statgraphics Plus for Windows 4.0 (Statistical Graphics Corp., Manugistics, Inc., Rockville, MD, USA). The Kaplan–Meier method and the Mantel–Cox log rank test were used to estimate the gastropod survival rate. GraphPad Prism 9 was used to generate the figures and perform the analyses.
3. Results
3.1. Molecular Identification
The 1510 bp long 18S RNA gene sequence obtained from the Slovenian nematode isolate shows 100% identity with the U81588 sequence (sequence coverage is 100%). U81588 was deposited as the Rhabditis myriophila (syn. Oscheius myriophilus) strain DF5020, which was originally isolated by Poinar [25]. The SSU sequence identity with other Oscheius species is less than 99%. In the GenBank database, there are 22 different sequences concerning the internal transcribed spacer 1 and 2 regions of O. myriophilus showing >90% sequence coverage with the 819 bp long sequence obtained from the Slovenian nematode isolate. The identity values are 99.14–99.88%, while the two sequences representing O. microvilli, the closest relative of O. myriophilus, show 99.15% and 99.76% identity with the Slovenian isolate. The ITS 1 and 2 sequence similarity with other Oscheius species is less than 90%. These results confirmed the isolated nematode species is conspecific to O. myriophilus [25]. The sequences obtained for the Slovenian O. myriophilus isolate were deposited in GenBank under accession numbers OP684306 (ITS) and OP684313 (SSU).
3.2. Laboratory Bioassay
Analyses of the pooled results showed that the mortality of the gastropods was influenced by all tested factors except the nematode species: the dose of nematodes (F5,7199 = 52.8; p < 0.0001); DAT (F4, 7199 = 189.1; p < 0.0001); the gastropod species (F2, 7199 = 321.2; p < 0.0001); temperature (F1, 7199 = 419.0; p < 0.0001); replication (F19, 7199 = 2.2; p = 0.0021); and interaction between the nematode species and temperature (F1, 7199 = 25.4; p < 0.0001).
Analyses of the pooled results showed that gastropod feeding was influenced by the nematode species (F1, 7199 = 8.8; p = 0.0031); the dose of nematodes (F5,7199 = 140.9; p < 0.0001); DAT (F4, 7199 = 421.9; p < 0.0001); the gastropod species (F2, 7199 = 137.8; p < 0.0001); temperature (F1, 7199 = 272.7; p < 0.0001); replication (F19, 7199 = 2.1; p = 0.0037); interaction between the nematode species and temperature (F1, 7199 = 15.7; p = 0.001); and interaction between the nematode species and the gastropod species (F2, 7199 = 3.1; p = 0.0432).
At a lower temperature of 15 °C, both nematode species caused higher mortality rates in the gastropods. On average, 18.9% ± 0.7% of gastropods died at 15 °C compared to only 5.1% ± 0.4% at 20 °C. A. vulgaris had the highest mortality rates caused by both nematode species (23.4% ± 0.9%) compared to the other gastropods tested (D. reticulatum (9.7% ± 0.6%); C. virgata (2.9% ± 0.4%)). On the other hand, C. virgata had the greatest reduction in gastropod feeding caused by both species (43.6% ± 1.0%) compared to A. vulgaris (23.7% ± 0.9%) and D. reticulatum (35.4% ± 1.0%). The reduction in gastropod feeding was more pronounced at lower temperatures (15 °C). In the nematode treatments, gastropod feeding was reduced on average to 42.6% ± 0.8% at 15 °C compared to a reduction of 26.1% ± 0.7% at 20 °C.
3.2.1. The Spanish Slug (A. vulgaris)
Analyses of the pooled results showed that the mortality of the Spanish slug was influenced by the dose of nematodes (F5, 2399 = 57.9; p < 0.0001); DAT (F4, 2399 = 217.5; p < 0.0001); temperature (F1, 2399 = 1033.4; p < 0.0001); interaction between the nematode species and the dose of nematodes (F5, 2399 = 2.4; p = 0.0324); and interaction between the nematode species and temperature (F1, 2399 = 5.1; p = 0.0234). The feeding of the Spanish slug was influenced by the dose of nematodes (F5,2399 = 58.0; p < 0.0001); DAT (F4, 2399 = 216.3; p < 0.0001); temperature (F1, 2399 = 971.3; p < 0.0001); and interaction between the nematode species and temperature (F1, 2399 = 8.0; p = 0.0046).
No significant differences in mortality rates were observed among the tested nematode species for the Spanish slug. However, both O. myriophilus and P. papillosa were found to cause significantly higher mortality rates and reduced feeding of the slugs at lower temperatures (15 °C) than at higher temperatures (20 °C). At 15 °C, mortality rates for the Spanish slug were 43.5% ± 1.4% compared to only 3.3% ± 0.5% at 20 °C. Similarly, gastropod feeding was reduced by 43.5% ± 1.4% at 15 °C compared to only 4.0% ± 0.4% at 20 °C.
The survival of Spanish slugs was analyzed using the Kaplan–Meier survival curve and log rank test. The results showed that the overall survival time was significantly lower (p < 0.0001) for slugs treated with nematodes at 15 °C than at 20 °C (p = 0.0165 for P. papillosa and p = 0.0218 for O. myriophilus). The survival curves demonstrated that the most rapid rates of Spanish slug mortality occurred with 50 IJs of P. papillosa per slug (Figure 1B) and only 10 IJs of O. myriophilus per slug (Figure 1D) at 7 DAT. The slug population had a survival rate of 50% in P. papillosa treatments after 17 DAT and in O. myriophilus treatments after 19 DAT. The differences in survival curves among treatments with both nematode species at 15 °C were significant based on the Mantel–Cox log rank test (p < 0.0001). At 20 °C, the lowest dose of O. myriophilus (10 IJs per slug) caused the greatest mortality at 21 DAT. Both nematodes caused significant differences in Spanish slug mortality at 20 °C, but the slug survival probability was high.
Figure 1.
(A–D) Kaplan Meier curves showing the percent survival of the Spanish slug (A. vulgaris) after treatments with 0, 10, 50, 100, 250 or 500 nematodes per slug displaying a significant difference Mantel Cox log rank test: * indicates a p value of <0.05, and **** indicates a p value < 0.0001 compared to the slug only control). (A)—The slug survival after P. papillosa infection at 20 °C. The slug mortality caused by nematode infection is significantly different between 250 IJs dose and other treatments since 21 DAT. (B)—The slug survival after P. papillosa infection at 15 °C. The slug mortality caused by nematode infection is significantly different between 50 IJs and other treatments since 7 DAT. (C)—The slug survival after O. myriophilus infection at 20 °C. The slug mortality caused by nematode infection is significantly different between 100 IJs dose and other treatments, except 10 IJs dose since 14 DAT. (D)—The slug survival after O. myriophilus infection at 15 °C. The slug mortality caused by nematode infection is significantly different between all nematode treatments and control since 14 DAT.
The mortality of the Spanish slug did not differ significantly among the nematode species tested at 15 °C (O. myriophilus 41.7% ± 2.0%; P. papillosa 45.3% ± 2.0%), irrespective of other variables. However, the virulence of the nematodes was influenced by the duration of exposure, as the mortality rate increased with time: 8.8% ± 1.8% at 7 DAT, 51.7% ± 3.2% at 14 DAT, 74.6% ± 2.8% at 21 DAT, and 82.5% ± 2.5% at 28 DAT. Furthermore, the inhibition of gastropod feeding was significantly affected by the time of exposure to nematodes, with a reduction of feeding observed at 8.7% ± 1.8% after 7 DAT, 51.3% ± 3.2% at 14 DAT, 74.6% ± 2.8% at 21 DAT, and 82.5% ± 2.5% at 28 DAT.
Observations of slug mortality at 15 °C indicated that differences were present between doses of O. myriophilus at 7 and 14 days after treatment (Figure 1D). However, the dose of nematodes did not have a significant impact on slug mortality at 21 and 28 days after treatment. Similar results were observed with P. papillosa (Figure 1B). The most significant difference in gastropod feeding reduction between nematode doses for both species was observed at 7 and 14 days after treatment (Table 1). There was no significant influence on gastropod feeding at 21 and 28 days after treatment with varying doses of nematodes.
Table 1.
Effect of parasitic nematodes on feeding inhibition of the Spanish slug at 15 °C.
There were no significant differences in the mortality of the Spanish slug among the nematode species at 20 °C (O. myriophilus 4.3% ± 1.8%; P. papillosa 4.3% ± 1.8%) (Figure 1A,C). The time of exposure (DAT) was the most important factor influencing gastropod mortality, independent of other tested factors. The mortality of the Spanish slug increased gradually over time: 7 DAT 0.0% ± 0.0%, 14 DAT 2.1% ± 0.9%, 21 DAT 5.8% ± 1.5%, and 28 DAT 8.8% ± 1.8%. At 20 °C, the mortality and feeding reduction of the Spanish slug were slightly affected, and the nematode dose was not a significant factor (Table 2; Figure 1A,C).
Table 2.
Effect of parasitic nematode feeding inhibition of the Spanish slug at 20 °C.
3.2.2. The Grey Field Slug (Deroceras reticulatum)
Analyses of the pooled results showed that the mortality of the grey field slug was influenced by the nematode species (F1, 2399 = 8.1; p = 0.0045); the dose of nematodes (F5,2399 = 15.3; p < 0.0001); DAT (F4, 2399 = 47.6; p < 0.0001); temperature (F1, 2399 = 10.8; p = 0.0010); interaction between the nematode species and the dose of nematodes (F5, 2399 = 6.3; p < 0.0001); and interaction between the nematode species and temperature (F1, 2399 = 62.8; p < 0.0001). The feeding of the grey field slug was influenced by the dose of nematodes (F5,2399 = 73.4; p < 0.0001) and DAT (F4, 2399 = 122.8; p < 0.0001).
The mortality rates of the grey field slug caused by both nematode species were similar (O. myriophilus 11.3% ± 0.9%; P. papillosa 8.1% ± 0.8%). A higher mortality rate was observed at a higher temperature (20 °C). The mortality rate of the grey field slug at 20 °C was 11.5% ± 0.9% independent of other tested factors, while at 15 °C, only 7.8% ± 0.7% of the slugs died.
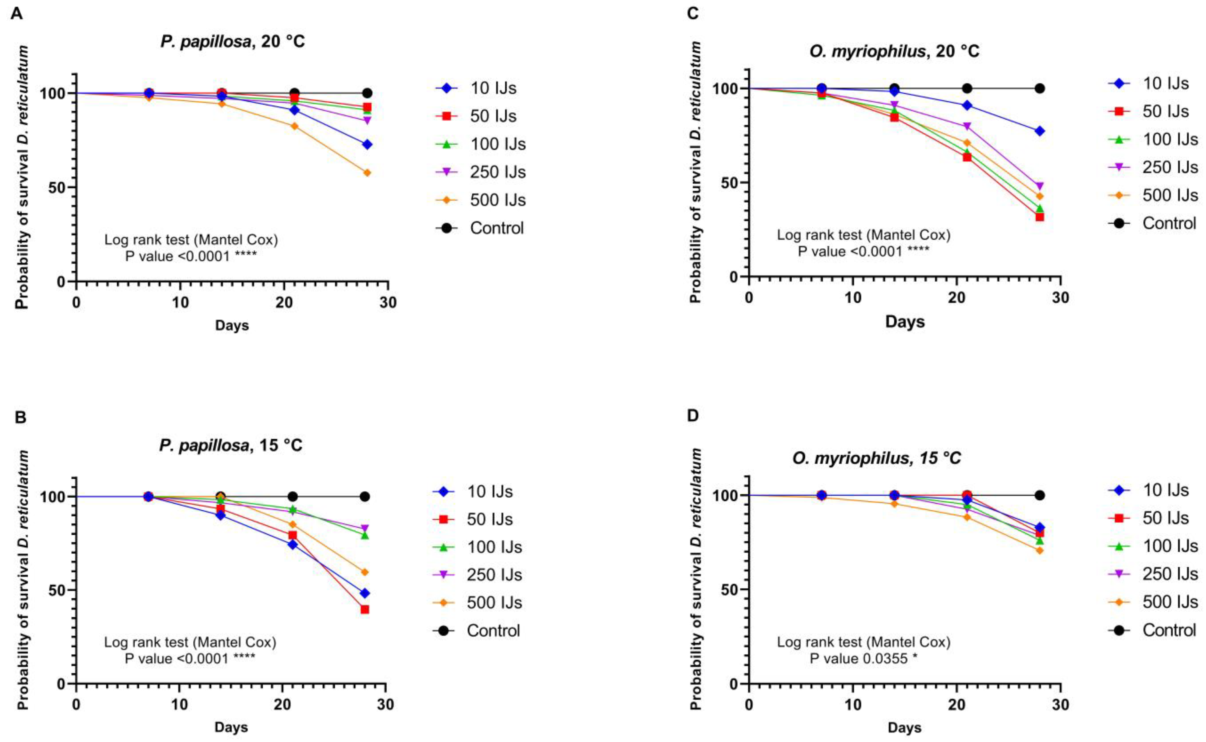
The Kaplan–Meier survival curve showed that the grey field slug had significantly lower survival time when treated with P. papillosa at both tested temperatures (p < 0.0001; Figure 2A,B). However, the survival rate of the slug was lower at 20 °C when treated with O. myriophilus (Figure 1C). The survival curves suggest that lower doses of P. papillosa were more effective at reducing slug survival rates at 15 °C from 14 DAT (Figure 2B). In P. papillosa treatments, 50% of the slug population had a survival rate of 26 DAT (15 °C) and 24 DAT (20 °C) in O. myriophilus treatments (Figure 2C). The differences in survival curves between treatments with both nematode species were highly significant according to the Mantel–Cox log rank test; however, the slug survival probability was high in treatments with O. myriophilus at 15 °C (Figure 2D) and P. papillosa at 20 °C (Figure 2A).
Figure 2.
(A–D) Kaplan Meier curves showing the percent survival of the grey field slug (D. reticulatum) after treatments with 0, 10, 50, 100, 250 or 500 nematodes per slug displaying a significant difference Mantel Cox log rank test: * indicates a p value of <0.05, and **** indicates a p value < 0.0001 compared to the slug only control). (A)—The slug survival after P. papillosa infection at 20 °C. The slug mortality caused by nematode infection with dose 10 IJs and 500 IJs is significantly different between other treatments since 14 DAT. (B)—The slug survival after P. papillosa infection at 15 °C. The slug mortality caused by nematode infection is significantly different between all treatments and control, except 500 IJs dose since 14 DAT. (C)—The slug survival after O. myriophilus infection at 20 °C. The slug mortality caused by nematode infection is significantly different between all treatments and control, except 10 IJs since 7 DAT. (D)—The slug survival after O. myriophilus infection at 15 °C. The slug mortality caused by nematode infection is significantly different between 500 IJs and other treatments since 14 DAT.
The effectiveness of both nematodes against the grey field slug varied at 15 °C, with O. myriophilus causing mortality in an average of 5.0% ± 0.9% of the tested slugs, while P. papillosa caused mortality in an average of 10.6% ± 1.3%. The mortality of the grey field slug was influenced by DAT, irrespective of other factors, with 0.4% ± 0.4% mortality at 7 DAT, 6.3% ± 1.6% mortality at 14 DAT, 13.3% ± 2.2% mortality at 21 DAT, and 19.2% ± 2.5% mortality at 28 DAT. Additionally, DAT significantly influenced the inhibition of the grey field slug feeding, with feeding inhibition being 39.6% ± 3.2% at 7 DAT, 51.3% ± 3.2% at 14 DAT, 41.3% ± 3.2% at 21 DAT, and 51.6% ± 3.2% at 28 DAT.
The mortality of the grey field slug was significantly affected by the dose of O. myriophilus at 21 and 28 DAT at 15 °C. However, the highest nematode dose (500 IJs per slug) also caused significant mortality at 14 DAT compared to other treatments (Figure 2D). On the other hand, the dose of P. papillosa was an important factor in causing mortality of the grey field slug at 14 DAT (Figure 2B). The results of the feeding inhibition of the grey field slug at 15 °C can be found in Table 3.
Table 3.
Effect of parasitic nematodes on feeding inhibition of the grey field slug at 15 °C.
At a temperature of 20 °C, the effectiveness of the two nematodes against the grey field slug varied. O. myriophilus resulted in a mortality rate of 17.5% ± 1.6% among the tested slugs, whereas P. papillosa only caused a mortality rate of 5.5% ± 0.9%. The duration after treatment (DAT) was found to be a significant factor independent of the other factors tested. The mortality rate of the grey field slug was 5.0% ± 1.4% at 7 DAT, 12.5% ± 2.1% at 14 DAT, 18.3% ± 2.5% at 21 DAT, and 21.7% ± 2.7% at 28 DAT.
Table 4 and Figure 2A–D depict the impact of various factors on the mortality and feeding inhibition of the grey field slug at 20 °C. Significant differences in slug mortality were noted, with at least 50 IJs of O. myriophilus per slug, starting from 7 DAT (Figure 2C). From 21 DAT, the mortality of slugs was influenced by the dosage of P. papillosa (Figure 2A), with significant differences noted among nematode doses at all exposure times, albeit with low mortality rates. Table 4 presents the results of feeding inhibition caused by O. myriophilus and P. papillosa nematodes at 20 °C, indicating that the nematode dosage affected feeding inhibition during all four weeks of the experiment.
Table 4.
Effect of parasitic nematodes on feeding inhibition of the grey field slug at 20 °C.
3.2.3. The Vineyard Snail (Cernuella virgata)
Analyses of the pooled results showed that the mortality of the vineyard snail was influenced by the dose of nematodes (F5, 2399 = 4.7; p = 0.0003); DAT (F4, 2399 = 7.2; p < 0.0001); temperature (F1, 2399 = 52.0; p < 0.0001); and interaction between the nematode species and temperature (F1, 2399 = 5.1; p = 0.0252). The feeding of the vineyard snail was influenced by the dose of nematodes (F5, 2399 = 33.8; p < 0.0001); DAT (F4, 2399 = 187.6; p < 0.0001); temperature (F1, 2399 = 6.2; p = 0.0129); the nematode species (F1, 2399 = 12.0; p = 0.0005); and interaction between the nematode species and temperature (F1, 2399 = 14.8; p < 0.0001).
At 20 °C, the overall survival time of vineyard snails treated with both nematodes was slightly impacted, as depicted by the Kaplan–Meier survival curve (Figure 3A,C). Conversely, at 15 °C, the survival chances of vineyard snails treated with O. myriophilus rapidly declined with increasing DAT (Figure 3D). The survival curves indicate that lower doses of P. papillosa were effective in reducing the snail survival rates at 15 °C, starting from 14 DAT (Figure 3B). The differences in survival curves between treatments with both nematode species were only significant in treatments with O. myriophilus at 15 °C according to the Mantel–Cox log rank test (p = 0.0015); however, snail survival at the end of the experiment was still high.
Figure 3.
(A–D) Kaplan Meier curves showing the percent survival of the vineyard snail (C. virgata) after treatments with 0, 10, 50, 100, 250 or 500 nematodes per snail (displaying a significant difference, Mantel Cox log rank test: ** indicates a p value of <0.01 compared to the slug only control). (A)—The snail survival after P. papillosa infection at 20 °C. The snail mortality caused by nematode infection was slightly affected by the highest nematode dose, but the mean differences among the treatments were not significant. (B)—The snail survival after P. papillosa infection at 15 °C. The snail mortality caused by nematode infection was not significantly different between the nematode’s doses. (C)—The snail survival after O. myriophilus infection at 20 °C. The snail mortality caused by nematode infection slightly affected by the highest nematode dose, but the mean differences among the treatments were not significant. (D)—The snail survival after O. myriophilus infection at 15 °C. The snail mortality caused by nematode infection with 100 IJs per snail was significantly different treatment between and 10 and 250 IJs since 14 DAT.
Irrespective of other tested factors, no significant differences were observed in the mortality of the vineyard snail between the nematode species (O. myriophilus 3.5% ± 1.5%; P. papillosa 2.3% ± 0.4%). Both nematodes exhibited higher efficacy against the vineyard snail at a lower temperature (15 °C). At a temperature of 15°C, regardless of the other factors tested, the average mortality rate of the vineyard snail was 5.3% ± 0.6%, whereas the mortality rate was 0.5% ± 0.2% at 20°C.
At 15 °C, O. myriophilus caused snail mortality of 6.7% ± 1.0%, while P. papillosa caused mortality of 4.0% ± 0.8%. The duration of exposure to nematodes greatly influenced the inhibition of vineyard snail feeding. After 7 days, feeding of the vineyard snail was reduced by 49.2% ± 3.2%, at 14 DAT 53.8% ± 3.2%, at 21 DAT 69.2% ± 3.0%, and at 28 DAT 51.7% ± 3.2%. Significant differences in snail mortality caused by O. myriophilus between the doses of 100, 250, and 500 IJs per snail and the control were observed at 7 DAT. The dose of P. papillosa did not significantly influence the mortality of the vineyard snail at 15 °C. However, statistically significant differences in the reduction of vineyard snail feeding were observed among the doses of both nematode species at all exposure times (Table 5) at 15 °C.
Table 5.
Effect of parasitic nematodes on feeding inhibition of the vineyard snail at 15 °C.
The mortality of the vineyard snail did not differ between the two tested nematode species at 20 °C, with both O. myriophilus and P. papillosa causing low mortality rates of 0.3% ± 0.2% and 0.7% ± 0.3%, respectively. Additionally, the dose of nematodes did not have a significant impact on vineyard snail mortality during the 4-week experiment. However, significant differences in the reduction of vineyard snail feeding at 20 °C were observed among the different doses of both nematode species at all exposure times, as presented in Table 6.
Table 6.
Effect of parasitic nematodes on feeding inhibition of the vineyard snail at 20 °C.
4. Discussion
Parasitic nematodes are known to infect a wide range of organisms, including gastropods [14,15]. The evaluation of the best gastropod parasitic nematode for biocontrol involves assays to ensure that the nematodes are effective, safe, and economically viable. The promising nematode candidates for use in biocontrol against gastropods possess traits, such as host-specificity, high virulence, reduction of gastropod feeding, low impact on nontarget organisms, fast reproduction rates and short generation times, and environmental tolerance. Other desirable nematode traits include persistence in the environment, compatibility with other control methods, and efficient and cost-effective large-scale production [14,15].
In general, the mortality of gastropods can vary widely depending on the species of nematode, the species and age of the gastropod, and the environmental conditions [8,15,17]. It is important to note that gastropod mortality should not be used as a sole criteria in determining the potential of nematodes as biocontrol agents. Nematode host specificity, reduction in gastropod feeding, environmental safety, economic viability, and other traits are equally important [8,15]. For instance, nematodes could cause low mortality rates of gastropods but may still be effective if the nematode causes sublethal effects, such as reduced feeding, or affects the gastropod life cycle.
This publication represents the first report of O. myriophilus in Slovenia and the first record of this nematode species in the gastropod host, A. vulgaris, the Spanish slug, as well as its virulence against gastropods. O. myriophilus has been confirmed in various host species, mainly invertebrates, and has shown potential as an entomopathogenic nematode [24,25,26,27]. Recent studies identified Serratia nematodiphila and Serratia marcescens [24] as associated bacteria. In Mexico, S. marcescens isolated from O. myriophilus caused 100% mortality of Galleria mellonella larvae, demonstrating its potential as a biocontrol agent [24]. Previous studies have classified Oscheius species as entomopathogens, but their classification as such has been contested [24,31,32]. Our results suggest that O. myriophilus should be reconsidered only as parasitic, and further investigation is necessary to confirm this hypothesis. This species is essential for experimental evolution studies of the process of symbiosis and parasitism.
Traditionally, chemical bait pellets are used to control slug populations. However, an alternative method is biological control using the gastropod–parasitic nematode P. hermaphrodita, which has been found to be effective against several species of slugs and snails [14,15,33]. Despite this, various studies have reported low efficacy of P. hermaphrodita against certain Arionidae species [15], including A. vulgaris [33]. Some studies suggest that the nematode is only effective against younger stages of A. vulgaris [34]. Additionally, A. hortensis and A. distinctus have shown low susceptibility to P. hermaphrodita [15]. However, our study found that Slovenian strains of P. papillosa and O. myriophilus were capable of causing mortality in A. vulgaris, even when the specimens weighed over 1 g (the average weight in our study was over 5 g). Both nematodes were less effective against C. virgata and D. reticulatum. Other studies have shown that P. papillosa is lethal to D. panormitanum and has potential for commercial use against invasive gastropods in high-value crops [11]. Furthermore, P. papillosa has been found to be highly effective against D. reticulatum, causing over 60% mortality after only 4 days [17]. In a related study, P. hermaphrodita, P. californica, and P. papillosa were found to be equally as lethal as the recommended molluscicide Sluggo Plus® against white garden snails [18]. Our investigation found that, even at extremely low doses (from 0.15 to 7.9 nematodes/cm2), P. papillosa and O. myriophilus were effective against A. vulgaris at 15 °C and could reduce the costs of nematode application while still providing significant plant protection comparable to chemical molluscicides.
Using nematodes as a substitute for chemical molluscicides can be limited due to their higher cost [15]. However, studies by the authors of [8] showed that certain slug species, such as D. reticulatum and A. ater, avoid areas treated with nematodes (P. hermaphrodita) at rates of 38 IJs/cm2 and 120 IJs/cm2, suggesting a potential deterrent effect. Additionally, hosts may quickly identify high populations of pathogenic nematodes and either avoid them or activate defensive behaviors (e.g., rubbing against surfaces) on the first day after application. Cutler et al. [35] also reported that P. hermaphrodita could attract gastropods. In our study, the better effect of the low dose of O. myriophilus and P. papillosa could be attributed to intraspecific competition among nematodes [36]. However, the optimal number of nematodes for host infection and mortality varies among nematode and host species [37,38]. Moreover, Kruitbos et al. [39] demonstrated that nematode behavior is substrate-specific and varies by species. Therefore, to support our findings, future tests should be conducted on more appropriate substrates than the moistened filter paper used in our investigation [40].
Temperature and moisture are critical factors for both gastropods and nematodes. Slugs require a lot of water for locomotion, as they consume water through mucus production and lose it when breathing. They are highly susceptible to drying conditions [2]. Phasmarhabditis nematodes are intolerant of moderately high temperatures [8] and are very sensitive to desiccation and exposure to ultraviolet light when applied to the soil surface [15]. Our investigation results indicate that both nematodes (P. papillosa and O. myriophilus) perform better at lower temperatures (15 °C) than at higher temperatures (20 °C). Although the thermal ecology of Phasmarhabditis and Oscheius nematodes is not well understood, Wilson and Rae [8] demonstrated that nematodes are less tolerant to increasing temperatures from 14 to 24 °C than the host slug D. reticulatum. Our findings also support previous studies by the authors of [8] indicating that the optimal temperature range for population growth of Phasmarhabditis nematodes is between 12 and 18 °C.
Our investigation found that using P. papillosa and O. myriophilus resulted in a significant decrease in mollusk herbivory. This aligns with previous studies that tested P. hermaphrodita against A. vulgaris slugs and observed a decrease in herbivory [10,15]. However, it is important to note that information on the effectiveness of P. papillosa against other slug/snail species is lacking [11]. While Dörler et al. [10] suggested that avoidance behavior could explain the reduction in herbivory, this was not applicable in our experiment as the slugs were confined to the experimental arena and unable to seek food elsewhere.
Developing biological control products using natural enemies of pests rather than chemical pesticides offers numerous advantages. One of the main benefits is greater specificity, which reduces the risk of harming nontarget organisms [8]. This approach also helps to decrease the use of toxic agrochemicals, thus promoting ecologically safe food production [41]. Additionally, the development of new synthetic pesticides has become increasingly challenging and costly compared to biopesticides [42]. The existence of organic growers who avoid synthetic pesticides has created a niche market for biopesticides based on natural enemies, such as P. papillosa and O. myriophillus. Furthermore, strict residue limits imposed by regulatory bodies, the food industry, and supermarkets have driven the use of biopesticides [9]. Biopesticides are also a necessary tool in integrated pest management programs to prevent pest resistance [8]. However, in the case of gastropod pests, the lack of studies on the efficacy of other beneficial organisms and the reluctance of major agrochemical producers to develop new active ingredients for a fragmented market are key drivers for the development of new nematode-based biomolluscicides.
5. Conclusions
In summary, this report provides the first record of the nematode species O. myriophilus from the gastropod host, A. vulgaris, also known as the Spanish slug. The results suggest that O. myriophilus has virulence against gastropods and may have potential as a biocontrol agent against insect species. Furthermore, the study shows that the Slovenian strains of P. papillosa and O. myriophilus are capable of causing mortality of the Spanish slug, even when the slug specimens were over 1 g, demonstrating their potential as an alternative to chemical molluscicides. However, further investigation is needed to confirm the hypothesis that O. myriophilus should be classified only as parasitic, rather than entomopathogenic. Overall, this study highlights the potential of O. myriophilus and P. papillosa as model organisms for experimental evolution studies of the process of symbiosis and parasitism.
Author Contributions
Ž.L. and I.M. designed the project; Ž.L., S.T., T.T., S.Á., T.L. and I.M. conducted the experiment and analyzed the data. Ž.L. and I.M. wrote the paper. All authors have read and agreed to the published version of the manuscript.
Funding
This work was conducted within projects J4-3090 and P4-0431, funded by the Slovenian Research Agency. Part of this research was funded within Professional Tasks from the Field of Plant Protection, a program funded by the Ministry of Agriculture, Forestry, and Food of Phytosanitary Administration of the Republic of Slovenia.
Data Availability Statement
The data presented in this study are available on request from the corresponding author.
Acknowledgments
Special thanks are given to Lea Lukič, Luka Batistič, Matej Podgornik Milosavljević, and Jaka Rupnik for their technical assistance.
Conflicts of Interest
The authors declare no conflict of interest.
References
- Barker, G.M. Molluscs as Crop Pests; CABI Publishing: Wallingford, UK, 2002. [Google Scholar]
- Rowson, B.; Turner, J.; Anderson, R.; Symondson, B. Slugs of Britain and Ireland; Rowson, B., Turner, J., Anderson, R., Symondson, B., Eds.; FSC Publications: Telford, UK, 2014; p. 136. [Google Scholar]
- Glen, D.M.; Moens, R. Agriolimacidae, Arionidae and Milacidae as pests in west European cereals. In Molluscs as Crop Pests; Barker, G.M., Ed.; CABI Publishing: Wallingford, UK, 2002; pp. 271–300. [Google Scholar]
- Ross, J.L. Riding the Slime Wave: Gathering Global Data on Slug Control; Nuffield Farming Scholarships Trust Report; The Nuffield Farming Scholarships Trust Southill Farm, Staple Fitzpaine: Taunton, UK, 2019. [Google Scholar]
- Purvis, G.; Bannon, J.W. Non-target effects of repeated methiocarb slug pellets application on carabid beetle (Coleoptera, Carabidae) activity in winter-sown cereals. Ann. Appl. Biol. 1992, 121, 215–223. [Google Scholar] [CrossRef]
- Buhl, K.; Bond, C.; Stone, D. Iron Phosphate General Fact Sheet; National Pesticide Information Center, Oregon State University Extension Services: Corvallis, OR, USA, 2013; Available online: http://npic.orst.edu/factsheets/ironphosphategen.html (accessed on 8 January 2019).
- Langan, A.M.; Shaw, E.M. Responses of the earthworm Lumbricus terrestris (L.) to iron phosphate and metaldehyde slug pellet formulations. Appl. Soil Ecol. 2006, 34, 184–189. [Google Scholar] [CrossRef]
- Wilson, M.J.; Rae, R. Phasmarhabditis hermaphrodita as a control agent for Slugs. In Nematode Pathogenesis of Insects and Other Pests; Campos-Herrera, R., Ed.; Springer International Publishing: Cham, Switzerland, 2015; pp. 509–521. [Google Scholar]
- Laznik, Ž.; Trdan, S. Is a combination of different natural substances suitable for slug (Arion spp.) control? Span. J. Agric. Res. 2016, 14, e1004. [Google Scholar] [CrossRef]
- Dörler, D.; Scheucher, A.; Zaller, J.G. Efficacy of chemical and biological slug control measures in response to watering and earthworms. Sci. Rep. 2019, 9, 2954. [Google Scholar] [CrossRef] [PubMed]
- Pieterse, A.; Tiedt, L.R.; Malan, A.P.; Ross, J.L. First record of Phasmarhabditis papillosa (Nematoda: Rhabditidae) in South Africa and its virulence against the invasive slug, Deroceras panormitanum. Nematology 2017, 19, 1035–1050. [Google Scholar] [CrossRef]
- Laznik, Ž.; Majić, I.; Trdan, S.; Malan, A.; Pieterse, A.; Ross, J.L. Is Phasmarhabditis papillosa (Nematoda: Rhabditidae) a possible biological control agent against the Spanish slug, Arion vulgaris (Gastropoda: Arionidae)? Nematology 2020, 23, 577–585. [Google Scholar] [CrossRef]
- Tandingan De Ley, I.; Holovachov, O.; Mc Donnell, R.J.; Bert, W.; Paine, T.D.; De Ley, P. Description of Phasmarhabditis californica n. sp. and first report of P. papillosa (Nematoda: Rhabditidae) from invasive slugs in the USA. Nematology 2016, 18, 175–193. [Google Scholar] [CrossRef]
- Wilson, M.J.; Glen, D.M.; George, S.K. The rhabditid nematode Phasmarhabditis hermaphrodita as a potential biological control agent for slugs. Biocontrol Sci. Technol. 1993, 3, 503–511. [Google Scholar] [CrossRef]
- Rae, R.; Verdun, C.; Grewal, P.S.; Robertson, J.F.; Wilson, M.J. Biological control of terrestrial molluscs using Phasmarhabditis hermaphrodita—Progress and prospects. Pest Manag. Sci. 2007, 63, 1153–1164. [Google Scholar] [CrossRef]
- Nermut’, J.; Půža, V.; Mekete, T.; Mráček, Z. Phasmarhabditis bohemica n. sp. (Nematoda: Rhabditidae), a slug-parasitic nematode from the Czech Republic. Nematology 2016, 19, 93–107. [Google Scholar] [CrossRef]
- McDonnell, R.J.; Colton, A.J.; Howe, D.K.; Denver, D.R. Lethality of four species of Phasmarhabditis (Nematoda: Rhabditidae) to the invasive slug, Deroceras reticulatum (Gastropoda: Agriolimacidae) in laboratory infectivity trials. Biol. Control 2020, 150, e104349. [Google Scholar] [CrossRef]
- Tandingan De Ley, I.; Schurkman, J.; Wilen, C.; Dillman, A.R. Mortality of the invasive white garden snail Theba pisana exposed to three US isolates of Phasmarhabditis spp (P. hermaphrodita, P. californica, and P. papillosa). PLoS ONE 2020, 15, e0225244. [Google Scholar] [CrossRef] [PubMed]
- Mengert, H. Nematoden und Schnecken. Z. Morphol. Ökol. Tiere 1953, 4, 311–349. [Google Scholar] [CrossRef]
- Andrássy, I. A Taxonomic Review of the Suborder Rhabditina (Nematoda: Secernentia); ORSTOM: Paris, France, 1983; p. 241. [Google Scholar]
- Sudhaus, W.; Hooper, D.J. Rhabditis (Oscheius) guentheri sp. n., an unusual species with reduced posterior ovary, with observations on the Dolichura and Insectivora groups (Nematoda: Rhabditidae). Nematologica 1994, 40, 508–533. [Google Scholar] [CrossRef]
- Kumar, P.; Jamal, W.; Somvanshi, V.S.; Chauhan, K.; Mumtaz, S. Description of Oscheius indicus n. sp. (Rhabditidae: Nematoda) from India. J. Nematol. 2019, 51, e2019-04. [Google Scholar] [CrossRef]
- Campos-Herrera, R.; Půža, V.; Jaffuel, G.; Blanco-Pérez, R.; Čepulyte Rakauskiene, R.; Turlings, T. Unraveling the intraguild competition between Oscheius spp. nematodes and entomopathogenic nematodes: Implications for their natural distribution in Swiss agricultural soils. J. Invertebr. Pathol. 2015, 132, 216–227. [Google Scholar] [CrossRef]
- Castro-Ortega, I.R.; Caspeta-Mandujano, J.M.; Suárez-Rodríguez, R.; Peña-Chora, G.; Ramírez Trujillo, J.A.; Cruz-Pérez, K.; Sosa, I.A.; Hernández-Velázquez, V.M. Oscheius myriophilus (Nematoda: Rhabditida) isolated in sugar cane soils in Mexico with potential to be used as entomopathogenic nematode. J. Nematol. 2020, 52, 1–8. [Google Scholar] [CrossRef]
- Poinar, G.O. Rhabditis myriophila sp. n., (Rhabditidae: Rhabditida), associated with the millipede, Oxidis gracilis (Polydesmida: Diplepoda). Proc. Helminthol. Soc. Wash. 1986, 53, 232–236. [Google Scholar]
- Sudhaus, W.; Schulte, F. Rhabditis (Rhabditis) necronema sp. n., (Nematoda: Rhabditidae), from southern Australian diplopoda with notes on its riblings R. myriophila, Poinar, 1986 and R. caulloryi, Maupas, 1919. Nematologica 1989, 35, 15–24. [Google Scholar]
- Erbaş, Z.; Demir, İ.; Demirbağ, Z. Isolation and characterization of a parasitic nematode, Oscheius myriophila (Nematoda: Rhabditida), associated with European Mole Cricket, Gryllotalpa gryllotalpa (Orthoptera: Gryllotalpidae). Hacet. J. Biol. Chem. 2017, 45, 197–203. [Google Scholar] [CrossRef]
- Zemanova, M.A.; Knop, E.; Heckel, G. Phylogeographic past and invasive presence of Arion pest slugs in Europe. Mol. Ecol. 2016, 25, 5747–5764. [Google Scholar] [CrossRef] [PubMed]
- Hominick, W.M.; Briscoe, B.R.; del Pino, F.G.; Heng, J.; Hunt, D.J.; Kozodoy, E.; Mracek, Z.; Nguyen, K.B.; Reid, A.P.; Spiridonov, S.; et al. Biosystematics of entomopathogenic nematodes: Current status, protocols and definitions. J. Helminthol. 1997, 71, 271–298. [Google Scholar] [CrossRef] [PubMed]
- Liu, J.; Berry, R.E.; Moldenke, A.F. Phylogenetic relationships of entomopathogenic nematodes (Heterorhabditidae and Steinernematidae) inferred from partial 18S rRNA gene sequences. J. Invertebr. Pathol. 1997, 69, 246–252. [Google Scholar] [CrossRef]
- Rae, R.; Sommer, R.J. Bugs don’t make worms kill. J. Exp. Biol. 2011, 214, 1053. [Google Scholar] [CrossRef] [PubMed]
- Ye, W.; Foye, S.H.; MacGuidwin, A.E.; Steffan, S.H. Incidence of Oscheius onirici (Nematoda: Rhabditidae), a potentially entomopathogenic nematode from the marshlands of Wisconsin, USA. J. Nematol. 2018, 50, 9–26. [Google Scholar] [CrossRef]
- Speiser, B.; Zaller, J.G.; Neudecker, A. Size-specific susceptibility of the pest slugs Deroceras reticulatum and Arion lusitanicus to the nematode biocontrol agent Phasmarhabditis hermaphrodita. Biol. Control 2001, 46, 311–320. [Google Scholar]
- Grimm, B.; Schaumberger, K. Daily activity of the pest slug Arion lusitanicus under laboratory conditions. Ann. Appl. Biol. 2002, 141, 35–44. [Google Scholar] [CrossRef]
- Cutler, J.; Williamson, S.M.; Rae, R. The effect of sertraline, haloperidol and apomorphine on the behavioural manipulation of slugs (Deroceras invadens) by the nematode Phasmarhabditis hermaphrodita. Behav. Process. 2019, 165, 1–3. [Google Scholar] [CrossRef]
- Nermut’, J.; Půža, V.; Mráček, Z. The effect of intraspecific competition on the development and quality of Phasmarhabditis hermaphrodita (Rhabditida: Rhabditidae). Biocontrol Sci. Technol. 2012, 22, 1389–1397. [Google Scholar] [CrossRef]
- Koppenhöfer, A.M.; Kaya, H.K. Density-dependent effects on Steinernema glaseri (Nematoda: Steinernematidae) within an insect host. J. Parasitol. 1995, 81, 797–799. [Google Scholar] [CrossRef]
- Půža, V.; Mráček, Z. Seasonal dynamics of entomopathogenic nematodes of the genera Steinernema and Heterorhabditis as a response to abiotic factors and abundance of insect hosts. J. Invertebr. Pathol. 2005, 89, 116–122. [Google Scholar] [CrossRef] [PubMed]
- Kruitbos, L.M.; Heritage, S.; Hapca, S.; Wilson, M.J. Influence of substrate on the body–waving behaviour of nematodes. Nematology 2009, 11, 917–925. [Google Scholar] [CrossRef]
- Majić, I.; Sarajlić, A.; Lakatos, T.; Tóth, T.; Raspudić, E.; Puškadija, Z.; Kanižai Šarić, G.; Laznik, Ž. Virulence of new strain of Heterorhabditis bacteriophora from Croatia against Lasioptera rubi. Plant Prot. Sci. 2019, 55, 134–141. [Google Scholar] [CrossRef]
- Nicolopoulou-Stamati, P.; Maipas, S.; Kotampasi, C.; Stamatis, P.; Hens, L. Chemical pesticides and human health: The urgent need for a new concept in agriculture. Front. Public Health 2016, 4, 148. [Google Scholar] [CrossRef] [PubMed]
- Glare, T.; Caradus, J.; Gelernter, W.; Jackson, T.; Keyhani, N.; Köhl, J.; Marrone, P.; Morin, L.; Stewart, A. Have biopesticides come of age? Trends Biotechnol. 2012, 30, 250–258. [Google Scholar] [CrossRef]
Disclaimer/Publisher’s Note: The statements, opinions and data contained in all publications are solely those of the individual author(s) and contributor(s) and not of MDPI and/or the editor(s). MDPI and/or the editor(s) disclaim responsibility for any injury to people or property resulting from any ideas, methods, instructions or products referred to in the content. |
© 2023 by the authors. Licensee MDPI, Basel, Switzerland. This article is an open access article distributed under the terms and conditions of the Creative Commons Attribution (CC BY) license (https://creativecommons.org/licenses/by/4.0/).


