Under a Tropical Climate and in Sandy Soils, Bat Guano Mineralises Very Quickly, Behaving More like a Mineral Fertiliser than a Conventional Farmyard Manure
Abstract
1. Introduction
2. Materials and Methods
2.1. Site Description
2.2. Experimental Design and Organic Amendments
2.3. Management of the Field Experiments
2.4. Field Determinations
2.5. Pot Experiment
2.6. Laboratory Analyses
2.7. Data Analysis
Nutrient recovered in the control treatment)/Nutrient applied as an organic amendment].
3. Results
3.1. Maize Dry Matter Yield and Plant Height
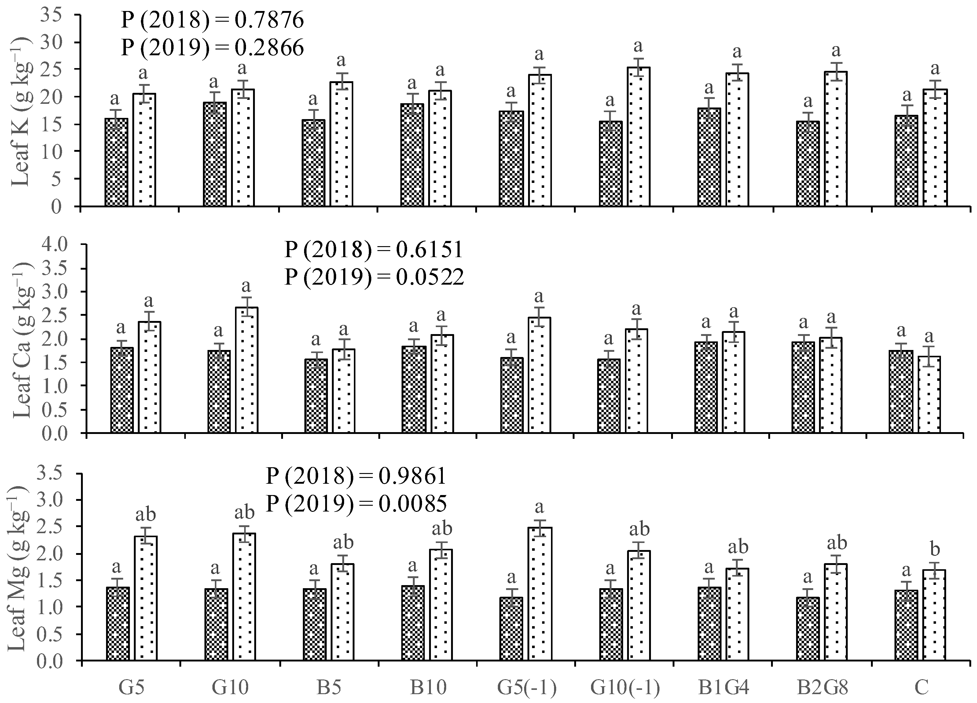
3.2. Plant Nutritional Status and Residual Effects of Applications of Amendments
3.3. Nutrient Removal in Maize Aboveground Biomass and Apparent Nutrient Recovery
3.4. Soil Properties
4. Discussion
4.1. Guano Applied at Sowing
4.2. Guano Applied One Month before Sowing
4.3. Biochar Effect on Soil and Plants
4.4. Residual Fertilising Effect of Soil Amendments
5. Conclusions
Author Contributions
Funding
Data Availability Statement
Conflicts of Interest
References
- United Nations Department of Economic and Social Affairs, Population Division. World Population Prospects 2022: Summary of Results. UN DESA/POP/2022/TR/NO. 3. 2022. Available online: https://www.un.org/development/desa/pd/sites/www.un.org.development.desa.pd/files/wpp2022_summary_of_results.pdf (accessed on 9 May 2023).
- Bezner Kerr, R.; Hasegawa, T.; Lasco, R.; Bhatt, I.; Deryng, D.; Farrell, A.; Gurney-Smith, H.; Ju, H.; Lluch-Cota, S.; Meza, F.; et al. Food, fibre, and other ecosystem products. In Climate Change 2022: Impacts, Adaptation, and Vulnerability. Contribution of Working Group II to the Sixth Assessment Report of the Intergovernmental Panel on Climate Change; Cambridge University Press: Cambridge, UK; New York, NY, USA, 2022; pp. 713–906. [Google Scholar]
- Lal, R. Food security in a changing climate. Ecohydrol. Hydrobiol. 2013, 13, 8–21. [Google Scholar] [CrossRef]
- Recha, J.W.; Ambaw, G.; Nigussie, A.; Radeny, M.; Solomon, D. Soil nutrient contents in east African climate-smart villages: Effects of climate-smart agriculture interventions. Agriculture 2022, 12, 499. [Google Scholar] [CrossRef]
- Weil, R.R.; Brady, N.C. The Nature and Properties of Soils, 15th ed.; Pearson: Columbus, OH, USA, 2017. [Google Scholar]
- Afonso, S.; Arrobas, M.; Pereira, E.L.; Rodrigues, M.A. Recycling nutrient-rich hop leaves by composting with wheat straw and farmyard manure in suitable mixtures. J. Environ. Manag. 2021, 284, 112105. [Google Scholar] [CrossRef] [PubMed]
- Arrobas, M.; Carvalho, J.T.N.; Raimundo, S.; Poggere, G.; Rodrigues, M.A. The safe use of compost derived from municipal solid waste depends on its composition and conditions of application. Soil Use Manag. 2022, 38, 917–928. [Google Scholar] [CrossRef]
- Zavale, H.; Matchaya, G.; Vilissa, D.; Nhemachena, C.; Nhlengethwa, S.; Wilson, D. Dynamics of the fertilizer value chain in Mozambique. Sustainability 2020, 12, 4691. [Google Scholar] [CrossRef]
- Krause, A.; Rotter, V.S. Recycling improves soil fertility management in smallholdings in Tanzania. Agriculture 2018, 8, 31. [Google Scholar] [CrossRef]
- Evangelou, E.; Tsadilas, C.; Giourga, C. Seasonal variation of soil microbial biomass carbon and nitrogen as affected by land use in a mediterranean agro ecosystem. Commun. Soil Sci. Plant Anal. 2021, 52, 222–234. [Google Scholar] [CrossRef]
- Bhanwaria, R.; Singh, B.; Musarella, C.M. Effect of organic manure and moisture regimes on soil physiochemical properties, microbial biomass Cmic:Nmic:Pmic turnover and yield of mustard grains in arid climate. Plants 2022, 11, 722. [Google Scholar] [CrossRef]
- Nalivata, P.; Kibunja, C.; Mutegi, J.; Tetteh, F.; Tarfa, B.; Dicko, M.K.; Ouattara, K.; Cyamweshi, R.A.; Nouri, M.K.; Bayu, W.; et al. Integrated soil fertility management in sub-Saharan Africa. In Fertilizer Use Optimization in Sub-Saharan Africa; Wortmann, C.S., Sones, K., Eds.; CABI: Wallingford, UK, 2017; pp. 25–39. [Google Scholar] [CrossRef]
- Hoffmann, M.P.; Swanepoel, C.M.; Nelson, W.C.D.; Beukes, D.J.; van der Laan, M.; Hargreaves, J.N.G.; Rötter, R.P. Simulating medium-term effects of cropping system diversification on soil fertility and crop productivity in southern Africa. Eur. J. Agron. 2020, 119, 126089. [Google Scholar] [CrossRef]
- Bese, D.; Zwane, E.; Cheteni, P. The use of sustainable agricultural methods amongst smallholder farmers in the Eastern Cape province, South Africa. Afr. J. Sci. Technol. Innov. Dev. 2021, 13, 261–271. [Google Scholar] [CrossRef]
- Atandi, J.G.; Adamtey, N.; Kiriga, A.W.; Karanja, E.N.; Musyoka, M.W.; Matheri, F.M.; Tanga, C.M.; Coyne, D.L.; Fiaboe, K.K.M.; Bautze, D.; et al. Organic maize and bean farming enhances free-living nematode dynamics in sub-Saharan Africa. Agric. Ecosyst. Environ. 2022, 327, 107846. [Google Scholar] [CrossRef]
- Martini, J.; Kavalieris, I. Mineralogy of the Transvaal caves. Tram. Geol. Soc. S. Afr. 1978, 81, 47–54. [Google Scholar]
- Palita, S.K.; Panigrahi, R.; Panda, D. Potentiality of bat guano as organic manure for improvement of growth and photosynthetic response in crop plants. Proc. Natl. Acad. Sci. India Sect. B 2021, 91, 185–193. [Google Scholar] [CrossRef]
- Gallant, L.R.; Grooms, C.; Kimpe, L.E.; Smol, J.P.; Bogdanowicz, W.; Stewart, R.S.; Clare, E.L.; Fenton, M.B.; Blais, J.M. A bat guano deposit in Jamaica recorded agricultural changes and metal exposure over the last > 4300 years. Palaeogeogr. Paleoclimatol. Palaeoecol. 2020, 538, 109470. [Google Scholar] [CrossRef]
- Ünal, M.; Can, O.; Can, B.A.; Poyraz, K. The effect of bat guano applied to the soil in different forms and doses on some plant nutrient contents. Commun. Soil Sci. Plant Anal. 2018, 49, 708–716. [Google Scholar] [CrossRef]
- Audra, P.; Heresanu, V.; Barriquand, L.; Boutchich, M.E.K.; Jaillet, S.; Pons-Branchu, E.; Bosak, P.; Cheng, H.; Edwards, R.L.; Renda, M. Bat guano minerals and mineralization processes in Chameau Cave, Eastern Morocco. Int. J. Speleol. 2021, 50, 91–109. [Google Scholar] [CrossRef]
- Karagöz, K.; Hanay, A. Effects of bat guano on some yield parameters of wheat. Acad. J. Environ. Sci. 2017, 5, 200–206. [Google Scholar]
- Ojobor, S.A.; Omovie-Stephen, O.F. Influence of formulated palm mill effluent and bat guano mixture on maize performance and soil chemical properties in Delta State, Nigeria. Indian J. Agric. Res. 2021, 56, 28–32. [Google Scholar] [CrossRef]
- Nyambo, P.; Chiduza, C.; Araya, T. Carbon input and maize productivity as influenced by tillage, crop rotation, residue management and biochar in a semiarid region in South Africa. Agronomy 2020, 10, 705. [Google Scholar] [CrossRef]
- Arrobas, M.; Decker, J.V.; Feix, B.L.; Godoy, W.I.; Casali, C.A.; Correia, C.M.; Rodrigues, M.A. Biochar and zeolites did not improve phosphorus uptake or crop productivity in a field trial performed in an irrigated intensive farming system. Soil Use Manag. 2022, 38, 564–575. [Google Scholar] [CrossRef]
- Joseph, S.; Cowie, A.L.; Van Zwieten, L.; Bolan, N.; Budai, A.; Buss, W.; Cayuela, M.L.; Graber, E.R.; Ippolito, J.A.; Kuzyakov, Y.; et al. How biochar works, and when it doesn’t: A review of mechanisms controlling soil and plant responses to biochar. GCB Bioenergy 2021, 13, 1731–1764. [Google Scholar] [CrossRef]
- Lopes, J.I.; Arrobas, M.; Raimundo, S.; Gonçalves, A.; Brito, C.; Martins, S.; Pinto, L.; Moutinho-Pereira, J.; Correia, C.M.; Rodrigues, M.A. Photosynthesis, yield, nutrient availability and soil properties after biochar, zeolites or mycorrhizal inoculum application to a mature rainfed olive orchard. Agriculture 2022, 12, 171. [Google Scholar] [CrossRef]
- Chun, Y.; Lee, S.K.; Yoo, H.Y.; Kim, S.W. Recent advancements in biochar production according to feedstock classification, pyrolysis conditions, and applications: A review. Bioresources 2021, 16, 6512–6547. [Google Scholar] [CrossRef]
- Pasley, H.R.; Camberato, J.J.; Cairns, J.E.; Zaman-Allah, M.; Das, B.; Vyn, T.J. Nitrogen rate impacts on tropical maize nitrogen use efficiency and soil nitrogen depletion in eastern and southern Africa. Nutr. Cycl. Agroecosyst. 2020, 116, 397–408. [Google Scholar] [CrossRef] [PubMed]
- FAOSTAT. Land, Inputs and Sustainability-Fertilizers Indicators. 2022. Available online: https://www.fao.org/faostat/en/#home (accessed on 20 December 2022).
- Beck, H.E.; Zimmermann, N.E.; McVicar, T.R.; Vergopolan, N.; Berg, A.; Wood, E.F. Present and future Köppen-Geiger climate classification maps at 1-km resolution. Sci. Data 2018, 5, 180214. [Google Scholar] [CrossRef]
- MAE. Perfil do Distrito de Vilankulo Província de Inhambane; Ministério da Administração Estatal: Vilankulo, Mozanbique, 2014. [Google Scholar]
- CLIMATE DATA, 2022. Dados Climáticos para Vilanculos (1991–2021). Available online: https://pt.climate-data.org/africa/mocambique/inhambane/vilanculos-52395/ (accessed on 20 December 2022).
- WRB. World Reference Base for Soil Resources 2014, Update 2015. In International Soil Classification System for Naming Soils and Creating Legends for Soil Maps; World Soil Resources Reports No. 106; FAO: Rome, Italy, 2015. [Google Scholar]
- Meier, U. Growth Stages of Mono and Dicotyledonous Plants; Julius Kühn-Institut: Quedlinburg, Germany, 2018. [Google Scholar] [CrossRef]
- Van Reeuwijk, L.P. Procedures for Soil Analysis, 6th ed.; Technical Paper 9. ISRIC; FAO: Rome, Italy, 2002. [Google Scholar]
- FAO. Standard Operating Procedure for Soil Available Micronutrients (Cu, Fe, Mn, Zn) and Heavy Metals (Ni, Pb, Cd), DTPA Extraction Method. Rome. 2022. Available online: https://www.fao.org/3/cc0048en/cc0048en.pdf (accessed on 9 May 2023).
- Temminghoff, E.E.; Houba, V.J. Plant Analysis Procedures, 2nd ed.; Temminghoff, E.E., Houba, V.J., Eds.; Kluwer Academic Publishers: London, UK, 2004. [Google Scholar] [CrossRef]
- Weil, R.R.; Magdoff, F. Significance of Soil Organic Matter to Soil Quality and Health. In Soil Organic Matter in Sustainable Agriculture; CRC Press: Boca Raton, FL, USA, 2004; pp. 1–43. [Google Scholar]
- Rodrigues, M.A.; Ladeira, L.C.; Arrobas, M. Azotobacter-enriched organic manures to increase nitrogen fixation and crop productivity. Eur. J. Agron. 2018, 93, 88–94. [Google Scholar] [CrossRef]
- Murtaza, B.; Zaman, G.; Imran, M.; Shah, G.M.; Amjad, M.; Ahmad, N.; Naeem, M.A.; Zakir, A.; Farooq, A.; Ahmad, S.; et al. Municipal solid waste compost improves crop productivity in saline-sodic soil: A multivariate analysis of soil chemical properties and yield response. Commun. Soil Sci. Plant Anal. 2019, 50, 1013–1029. [Google Scholar] [CrossRef]
- Hawkesford, M.; Horst, W.; Kichey, T.; Lambers, H.; Schjoerring, J.; Skrumsager, M.; White, P. Function of macronutrients. In Marschner’s Mineral Nutrition of Higher Plants; Marschner, P., Ed.; Elsevier: Amsterdam, The Netherlands, 2012; pp. 135–189. [Google Scholar]
- Myrold, D.D.; Bottomley, P.Y. Nitrogen mineralization and immobilization. In Nitrogen in Agricultural Systems; Schepers, J., Raun, W.R., Eds.; Agronomy Monograph n.º 49; ASA, CSSA, SSSA: Madison, WI, USA, 2008; pp. 157–172. [Google Scholar]
- Havlin, J.L.; Beaton, J.D.; Tisdale, S.L.; Nelson, W.L. Soil Fertility and Fertilizers: An Introduction to Nutrient Management, 8th ed.; Pearson, Inc.: Chennai, India, 2017. [Google Scholar]
- Dridi, I.; Gueddari, M. Field and laboratory study of nitrogen mineralization dynamics in four Tunisian soils. J. Afr. Earth Sci. 2019, 154, 101–110. [Google Scholar] [CrossRef]
- Mouhamad, R.; Atiyah, A.; Mohammad, R.; Iqbal, M. Decomposition of organic matter under different soil textures. Curr. Sci. Perspect. 2015, 1, 22–25. [Google Scholar]
- Favre, F.; Tessier, D.; Abdelmoula, M.; Génin, J.M.; Gates, W.P.; Boivin, P. Iron reduction and changes in cation exchange capacity in intermittently waterlogged soil. Eur. J. Soil Sci. 2002, 53, 175–183. [Google Scholar] [CrossRef]
- Afonso, S.; Arrobas, M.; Rodrigues, M.A. Twenty-years of hop irrigation by flooding the inter-row did not cause a gradient along the row in soil properties, plant elemental composition and dry matter yield. Horticulturae 2021, 7, 194. [Google Scholar] [CrossRef]
- Sigler, W.A.; Ewing, S.A.; Jones, C.A.; Payn, R.A.; Miller, P.; Maneta, M. Water and nitrate loss from dryland agricultural soils is controlled by management, soils, and weather. Agric. Ecosyst. Environ. 2020, 304, 107158. [Google Scholar] [CrossRef]
- Coyne, M.S. Biological denitrification. In Nitrogen in Agricultural Systems; Schepers, J., Raun, W.R., Eds.; Agronomy Monograph n.º 49; ASA, CSSA, SSSA: Madison, WI, USA, 2008; pp. 201–253. [Google Scholar]
- Kavitha, B.; Reddy, P.V.L.; Kim, B.; Lee, S.S.; Pandey, S.K.; Kim, K.-H. Benefits and limitations of biochar amendment in agricultural soils: A review. J. Environ. Manag. 2018, 227, 146–154. [Google Scholar] [CrossRef]
- Bian, R.; Joseph, S.; Shi, W.; Li, L.; Taherymoosavi, S.; Pan, G. Biochar DOM for plant promotion but not residual biochar for metal immobilization depended on pyrolysis temperature. Sci. Total. Environ. 2019, 662, 571–580. [Google Scholar] [CrossRef]
- Arif, M.; Ilyas, M.; Riaz, M.; Ali, K.; Shah, K.; Haq, I.U.; Fahad, S. Biochar improves phosphorus use efficiency of organic-inorganic fertilizers, maize-wheat productivity and soil quality in a low fertility alkaline soil. Field Crop. Res. 2017, 214, 25–37. [Google Scholar] [CrossRef]
- Shaaban, M.; Zwieten, L.V.; Bashir, S.; Younas, A.; Núñez-Delgado, A.; Chhajro, M.A.; Kubar, K.A.; Ali, U.; Rana, M.S.; Mehmood, M.A.; et al. A concise review of biochar application to agricultural soils to improve soil conditions and fight pollution. J. Environ. Manag. 2018, 228, 429–440. [Google Scholar] [CrossRef]
- Gul, S.; Whalen, J.K.; Thomas, B.W.; Sachdeva, V.; Deng, H. Physico-chemical properties and microbial responses in biochar-amended soils: Mechanisms and future directions. Agric. Ecosyst. Environ. 2015, 206, 46–59. [Google Scholar] [CrossRef]
- Langeroodi, A.R.S.; Campiglia, E.; Mancinelli, R.; Radicetti, E. Can biochar improve pumpkin productivity and its physiological characteristics under reduced irrigation regimes? Sci. Hortic. 2019, 247, 195–204. [Google Scholar] [CrossRef]
- Esfandbod, M.; Phillips, I.R.; Miller, B.; Rashti, M.R.; Lan, Z.; Srivastava, P.; Singh, B.; Chen, C.R. Aged acidic biochar increases nitrogen retention and decreases ammonia volatilization in alkaline bauxite residue sand. Ecol. Eng. 2017, 98, 157–165. [Google Scholar] [CrossRef]
- Li, S.; Wang, S.; Shangguan, Z. Combined biochar and nitrogen fertilization at appropriate rates could balance the leaching and availability of soil nitrogen. Agric. Ecosyst. Environ. 2019, 276, 21–30. [Google Scholar] [CrossRef]
- Liu, S.; Meng, J.; Jiang, L.; Yang, X.; Lan, Y.; Cheng, X.; Chen, W. Rice husk biochar impacts soil phosphorous availability, phosphatase activities and bacterial community characteristics in three different soil types. Appl. Soil Ecol. 2017, 116, 12–22. [Google Scholar] [CrossRef]
- Wong, J.T.F.; Chen, X.; Deng, W.; Chai, Y.; Ng, C.W.W.; Wong, M.H. Effects of biochar on bacterial communities in a newly established landfill cover topsoil. J. Environ. Qual. 2019, 236, 667–673. [Google Scholar] [CrossRef] [PubMed]
- Palansooriya, K.N.; Ok, Y.S.; Awad, Y.M.; Lee, S.S.; Sung, J.-K.; Koutsospyros, A.; Moon, D.H. Impacts of biochar application on upland agriculture: A review. J. Environ. Manag. 2019, 234, 52–64. [Google Scholar] [CrossRef] [PubMed]
- Si, L.; Xie, Y.; Ma, Q.; Wu, L. The short-term effects of rice straw biochar, nitrogen and phosphorus fertilizer on rice yield and soil properties in a cold waterlogged paddy field. Sustainability 2018, 10, 537. [Google Scholar] [CrossRef]
- Rodrigues, M.Â.; Torres, L.N.D.; Damo, L.; Raimundo, S.; Sartor, L.; Cassol, L.C.; Arrobas, M. Nitrogen use efficiency and crop yield in four successive crops following application of biochar and zeolites. J. Soil Sci. Plant Nutr. 2021, 21, 1053–1065. [Google Scholar] [CrossRef]
- Arif, M.; Ikramullah; Jan, T.; Riaz, M.; Akhtar, K.; Ali, S.; Shah, S.; Jalal, F.; Mian, I.A.; Dawar, K.M.; et al. Biochar and leguminous cover crops as an alternative to summer fallowing for soil organic carbon and nutrient management in the wheat-maize-wheat cropping system under semiarid climate. J. Soils Sediments 2021, 21, 1395–1407. [Google Scholar] [CrossRef]
- Rodrigues, M.A.; Dimande, P.; Pereira, E.; Ferreira, I.Q.; Freitas, S.; Correia, C.M.; Moutinho-Pereira, J.; Arrobas, M. Early-maturing annual legumes: An option for cover cropping in rainfed olive orchards. Nutr. Cycl. Agroecosyst. 2015, 103, 153–166. [Google Scholar] [CrossRef]
- Daudén, A.; Quílez, D.; Martínez, C. Residual effect of pig slurry applied to a Mediterranean soil on yield and N uptake of a subsequent wheat crop. Soil Use Manag. 2004, 20, 156–162. [Google Scholar] [CrossRef]
- Mallory, E.B.; Griffin, T.S.; Porter, G.A. Seasonal nitrogen availability from current and past applications of manure. Nutr. Cycl. Agroecosyst. 2010, 88, 351–360. [Google Scholar] [CrossRef]
- Sanoussi, S.I.M.; Dougbedji, F.; Matthew, E.; Okhimamhe, A.A.; Ibrahim, A.; Sule, I. Assessing soil nutrient change under long-term application of mineral fertilizer micro-dosing to pearl millet [Pennisetum glaucum (L.) R. Br.] on a sahelian sandy soil. Eurasian J. Soil Sci. 2020, 9, 34–42. [Google Scholar] [CrossRef]









| Soil Properties | 2017/2018 | 2019 |
|---|---|---|
| 1 Organic carbon (g kg−1) | 3.9 ± 0.30 | 9.4 ± 0.86 |
| 2 pH (H2O) | 6.8 ± 0.07 | 6.4 ± 0.16 |
| 3 Extract. phosphorus (mg kg−1, P2O5) | 34.7 ± 10.17 | 38.0 ± 6.90 |
| 3 Extract. potassium (mg kg−1, K2O) | 97.2 ± 11.72 | 86.3 ± 16.24 |
| 4 Exchang. calcium (cmolc kg−1) | 2.8 ± 0.08 | 6.1 ± 0.72 |
| 4 Exchang. magnesium (cmolc kg−1) | 1.9 ± 0.17 | 2.4 ± 0.17 |
| 4 Exchang. potassium (cmolc kg−1) | 0.3 ± 0.03 | 0.2 ± 0.03 |
| 4 Exchang. sodium (cmolc kg−1) | 0.6 ± 0.12 | 0.7 ± 0.11 |
| 5 Exchang. acidity (cmolc kg−1) | 0.1 ± 0.06 | 0.2 ± 0.06 |
| 6 CEC (cmolc kg−1) | 5.7 ± 0.07 | 9.5 ± 0.50 |
| 7 Sand | 91.0 ± 0.60 | 83.7 ± 0.98 |
| 7 Silt | 1.1 ± 0.21 | 5.2 ± 0.50 |
| 7 Clay | 7.9 ± 0.70 | 11.1 ± 1.17 |
| 8 Texture | Sandy | Loamy-sand |
| Guano | Biochar | |||
|---|---|---|---|---|
| Properties | 2017/2018 | 2019 | 2017/2018 | 2019 |
| Moisture (%) | 9.1 ± 1.50 | 8.0 ± 1.73 | 35.5 ± 3.70 | 33.9 ± 2.71 |
| 1 Organic carbon (g kg−1) | 59.8 ± 2.47 | 57.5 ± 2.87 | 534.5 ± 14.12 | 538.2 ± 16.53 |
| 2 pH(H2O) | 7.5 ± 0.17 | 7.3 ± 0.20 | 9.2 ± 0.24 | 9.3 ± 0.20 |
| 3 Nitrogen (g kg−1) | 4.5 ± 0.55 | 4.2 ± 0.47 | 3.3 ± 0.28 | 5.0 ± 0.35 |
| 4 Phosphorus (g kg−1) | 10.1 ± 1.65 | 8.4 ± 1.01 | 0.8 ± 0.10 | 0.9 ± 0.09 |
| 4 Boron (mg kg−1) | 13.7 ± 2.55 | 15.5 ± 3.59 | 28.5 ± 2.70 | 34.6 ± 3.92 |
| 5 Potassium (g kg−1) | 2.9 ± 0.20 | 3.9 ± 0.67 | 3.6 ± 0.52 | 4.0 ± 0.59 |
| 6 Calcium (g kg−1) | 0.7 ± 0.08 | 0.5 ± 0.06 | 4.3 ± 0.68 | 4.8 ± 0.34 |
| 6 Magnesium (g kg−1) | 0.9 ± 0.06 | 1.1 ± 0.15 | 1.6 ± 0.17 | 1.9 ± 0.24 |
| 6 Iron (mg kg−1) | 28,188.0 ± 2720.97 | 45,606.2 ± 4732.90 | 3637.3 ± 539.37 | 5679.6 ± 316.57 |
| 6 Manganese (mg kg−1) | 168.2 ± 17.59 | 286.3 ± 71.07 | 364.1 ± 34.16 | 388.5 ± 43.65 |
| 6 Zinc (mg kg−1) | 109.7 ± 33.04 | 112.6 ± 19.19 | 27.2 ± 5.06 | 42.1 ± 8.39 |
| 6 Copper (mg kg−1) | 72.8 ± 14.29 | 113.3 ± 13.07 | 72.2 ± 27.81 | 23.6 ± 4.60 |
| Nitrogen (kg ha−1) | Phosphorus (kg ha−1) | Potassium (kg ha−1) | ||||
|---|---|---|---|---|---|---|
| Treatments | 2018 | 2019 | 2018 | 2019 | ||
| G5 | 20.5 | 19.3 | 45.9 | 38.6 | 13.2 | 17.9 |
| G10 | 40.9 | 38.6 | 91.8 | 77.2 | 26.4 | 35.9 |
| B5 | 10.6 | 16.5 | 2.6 | 3.0 | 11.6 | 13.2 |
| B10 | 21.3 | 33.1 | 5.2 | 6.0 | 23.2 | 26.4 |
| G5(-1) | 20.5 | 19.3 | 45.9 | 38.6 | 13.2 | 17.9 |
| G10(-1) | 40.9 | 38.6 | 91.8 | 77.3 | 26.4 | 35.9 |
| B1G4 | 20.6 | 22.1 | 37.8 | 32.1 | 15.2 | 19.6 |
| B2G8 | 41.2 | 44.1 | 75.4 | 64.2 | 30.4 | 39.3 |
| Nitrogen | Phosphorus | Potassium | Calcium | Magnesium | |
|---|---|---|---|---|---|
| % | |||||
| G5 | 96.0 | 21.3 | 77.2 | 121.0 | 64.2 |
| G10 | 105.1 | 13.0 | 77.2 | 90.0 | 63.8 |
| B5 | 25.7 | 101.2 | 38.2 | 12.2 | 37.2 |
| B10 | 36.5 | 68.7 | 19.1 | 6.6 | 30.9 |
| G5(-1) | 32.9 | 7.1 | 14.7 | 19.6 | 27.6 |
| G10(-1) | 30.6 | 6.5 | 24.9 | 18.8 | 22.7 |
| B1G4 | 78.2 | 18.6 | 68.9 | 30.0 | 53.9 |
| B2G8 | 91.5 | 19.3 | 102.0 | 39.9 | 60.9 |
| TOC (g kg−1) | EOC (g kg−1) | pH (H2O) | P (mg kg−1, P2O5) | K (mg kg−1, K2O) | ||||||
|---|---|---|---|---|---|---|---|---|---|---|
| 2018 | 2019 | 2018 | 2019 | 2018 | 2019 | 2018 | 2019 | 2018 | 2019 | |
| G5 | 8.7 a | 12.2 a | 4.0 a | 10.2 a | 6.6 a | 6.2 a | 21.1 b | 49.1 a | 108.3 ab | 96.0 a |
| G10 | 9.0 a | 12.3 a | 3.9 a | 10.4 a | 6.8 a | 6.2 a | 51.0 ab | 64.7 a | 130.3 a | 86.2 a |
| B5 | 9.4 a | 13.0 a | 4.0 a | 11.4 a | 6.9 a | 6.5 a | 33.4 b | 29.2 a | 83.3 ab | 101.7 a |
| B10 | 9.5 a | 13.5 a | 4.1 a | 12.3 a | 6.8 a | 6.5 a | 33.5 b | 75.1 a | 100.7 ab | 114.0 a |
| G5(-1) | 8.6 a | 11.2 ab | 3.9 a | 10.9 a | 6.7 a | 6.2 a | 43.5 ab | 86.4 a | 103.3 ab | 86.3 a |
| G10(-1) | 9.1 a | 11.2 ab | 3.7 a | 11.0 a | 6.7 a | 6.2 a | 30.9 b | 54.9 a | 104.3 ab | 101.3 a |
| B1G4 | 9.3 a | 11.6 ab | 3.7 a | 11.1 a | 6.8 a | 6.4 a | 31.1 b | 63.1 a | 83.7 ab | 103.3 a |
| B2G8 | 9.4 a | 13.0 a | 4.2 a | 11.0 a | 6.9 a | 6.3 a | 81.1 a | 66.8 a | 105.7 ab | 93.0 a |
| C | 7.7 a | 9.6 b | 3.9 a | 9.4 a | 6.8 a | 6.2 a | 15.0 b | 18.4 a | 76.7 b | 81.0 a |
| Prob > P | 0.0713 | 0.0014 | 0.1301 | 0.9795 | 0.6878 | 0.0563 | 0.0011 | 0.1138 | 0.0379 | 0.2182 |
| Std. error | 0.38 | 0.52 | 0.13 | 1.69 | 0.11 | 0.08 | 8.16 | 15.45 | 9.94 | 8.41 |
| Ca2+ (cmolc kg−1) | Mg2+ (cmolc kg−1) | K+ (cmolc kg−1) | CEC (cmolc kg−1) | |||||
|---|---|---|---|---|---|---|---|---|
| 2018 | 2019 | 2018 | 2019 | 2018 | 2019 | 2018 | 2019 | |
| G5 | 2.62 a | 5.64 b | 0.81 a | 2.38 a | 0.28 a | 0.16 a | 4.26 a | 9.18 a |
| G10 | 3.01 a | 5.91 ab | 0.97 a | 2.35 a | 0.37 a | 0.12 a | 5.08 a | 9.24 a |
| B5 | 3.17 a | 7.61 ab | 1.00 a | 2.28 a | 0.21 a | 0.21 a | 5.08 a | 11.03 a |
| B10 | 2.91 a | 8.88 a | 0.94 a | 2.10 a | 0.23 a | 0.18 a | 4.82 a | 12.02 a |
| G5(-1) | 2.56 a | 6.83 ab | 0.88 a | 2.33 a | 0.28 a | 0.16 a | 4.24 a | 10.16 a |
| G10(-1) | 2.44 a | 6.50 ab | 0.90 a | 2.14 a | 0.26 a | 0.17 a | 4.14 a | 9.75 a |
| B1G4 | 2.76 a | 8.07 ab | 0.90 a | 2.58 a | 0.22 a | 0.20 a | 4.39 a | 11.66 a |
| B2G8 | 3.10 a | 7.34 ab | 0.98 a | 2.36 a | 0.27 a | 0.16 a | 5.03 a | 10.63 a |
| C | 2.94 a | 6.07 ab | 0.95 a | 2.51 a | 0.21 a | 0.16 a | 4.78 a | 9.61 a |
| Prob > P | 0.1319 | 0.0307 | 0.491 | 0.5722 | 0.0877 | 0.0884 | 0.2662 | 0.0715 |
| Std. error | 0.186 | 0.640 | 0.062 | 0.168 | 0.035 | 0.018 | 0.332 | 0.690 |
Disclaimer/Publisher’s Note: The statements, opinions and data contained in all publications are solely those of the individual author(s) and contributor(s) and not of MDPI and/or the editor(s). MDPI and/or the editor(s) disclaim responsibility for any injury to people or property resulting from any ideas, methods, instructions or products referred to in the content. |
© 2023 by the authors. Licensee MDPI, Basel, Switzerland. This article is an open access article distributed under the terms and conditions of the Creative Commons Attribution (CC BY) license (https://creativecommons.org/licenses/by/4.0/).
Share and Cite
Dimande, P.; Arrobas, M.; Rodrigues, M.Â. Under a Tropical Climate and in Sandy Soils, Bat Guano Mineralises Very Quickly, Behaving More like a Mineral Fertiliser than a Conventional Farmyard Manure. Agronomy 2023, 13, 1367. https://doi.org/10.3390/agronomy13051367
Dimande P, Arrobas M, Rodrigues MÂ. Under a Tropical Climate and in Sandy Soils, Bat Guano Mineralises Very Quickly, Behaving More like a Mineral Fertiliser than a Conventional Farmyard Manure. Agronomy. 2023; 13(5):1367. https://doi.org/10.3390/agronomy13051367
Chicago/Turabian StyleDimande, Paulo, Margarida Arrobas, and Manuel Ângelo Rodrigues. 2023. "Under a Tropical Climate and in Sandy Soils, Bat Guano Mineralises Very Quickly, Behaving More like a Mineral Fertiliser than a Conventional Farmyard Manure" Agronomy 13, no. 5: 1367. https://doi.org/10.3390/agronomy13051367
APA StyleDimande, P., Arrobas, M., & Rodrigues, M. Â. (2023). Under a Tropical Climate and in Sandy Soils, Bat Guano Mineralises Very Quickly, Behaving More like a Mineral Fertiliser than a Conventional Farmyard Manure. Agronomy, 13(5), 1367. https://doi.org/10.3390/agronomy13051367

