Abstract
A distributed seed delivery system is the most important component of a pneumatic central-cylinder seeder. We performed a fluent simulation analysis for seed-drop tubes at different parameters and airflow velocities, and with an increase in air velocity, the larger the angle is, the easier it is to produce a vortex, which considerably changes the angle, with the little bend tube improving the uniformity of seeding performance. The distribution of rice seeds in the seeding furrow using seed-drop tubes of different angles was also analyzed, and with an increase in delivery airflow velocity, the rice-sowing belts aggregated toward the seeding furrow central line, and with an increase in the forward speed, the seed distribution in the forward-speed direction presented an aggregation and then dispersion trend. The field experiment and physiological indices show that the yield of germination acceleration by seed pelleting can reach 7.92 t. ha−1, which was significantly higher than the yields with other treatments.
1. Introduction
Rice-planting mechanization is a considerable aspect of completely mechanizing rice production. Rice-planting mechanization mainly includes three patterns: mechanized transplanting, throwing, and direct seeding. Chinese mechanized direct-sowing technology for rice has undergone significant development in recent years, with precision rice hill–drop drilling technology being promoted for use over a wide area due to its advantages of saving time and labor, ensuring well-ventilated fields, fewer pests, low-tillering nodes in rice, and even growth [1,2,3,4]. Because of the strong tillering ability and high production capability, hybrid rice is becoming increasingly popular in China. The planting area of hybrid rice has reached 16.1787 million hectares, accounting for 53.37% of the total planting area of rice in China [5]. The mean yield of rice in China is 7059.20 [6]. Current mechanical seed-metering devices are mainly designed for medium or large seeding-amount requirements, meaning it is hard to meet the technical requirements of hybrid rice’s precise seeding.
A pneumatic seed-metering device is suitable for precise seeding due to its characteristics of less bud damage and strong adaptability to the dimensions of rice seeds. To improve the performance of the seed-metering device, intensive studies have been conducted to analyze the distribution and suction mechanisms of material particles in the seed-blowing process of seed-metering devices. Pneumatic conveyance is an integral part of seeding in agriculture. In the context of air seeding, seeds are subjected to various pneumatic conveyance situations including horizontal flow, horizontal-vertical elbow transitions, and distribution into multiple outlets [7]. This type of collision with tube inner surfaces may result in mechanical damage [8] and influence important seed attributes, such as seed germination and vigor index [9]. A better understanding of gas–solid flow characteristics in pneumatic conveyance has the potential to influence the approach to designing the seeding machinery. A series of computational fluid dynamics–discrete element method (CFD-DEM) simulations were applied to seed flow in horizontal-vertical 90-degree elbows about the seed flow in horizontal-vertical tube transition, simulation results indicated that one-way coupling could be suitable to describe seed flow when two-way coupling may not be possible or practical. The discrete element method has been applied to perform a simulated analysis on the seed dispersion in the seed-metering device, the acting force between the seeds, and the moving speed of the seeds [10,11,12,13,14]. Extensive studies have been conducted on the working parameters of airflow distribution device of pneumatic Seeder did not involve hybrid rice [15,16,17,18,19,20,21,22,23,24,25].
A reasonable combination of distributed conveyor-type seed-drop tubes and airflow parameters is critical to determine the seed-metering evenness of a pneumatic central-cylinder direct-seeding machine. This paper aims to design an experimental distributed seed delivery system with a pneumatic central-cylinder seeder.
2. Materials and Methods
2.1. Overall Structure of Distributed Seed-Drop Tubes
Based on previous research foundation [26,27], the seed-drop tubes (inner diameter 40 mm) were symmetrically distributed, with central tube A vertically downward designed, and tubes B and C at different angles arranged on the left and right sides of the central cylinder (Figure 1).
Figure 1.
The schematic diagram of direct seeder and distributed seed-drop tubes; (a) main structure of rice-direct seeder. 1. seed metering device 2. gasoline engine 3. centrifugal fan 4. riding rice transplanter head; (b) seed metering device with distributed seed-drop tubes.
The working principle is the power take-off drives the inner (bigger vacuum holes) and outer cylinder to rotate, and the axial fixed-ventilation shell has positive- and negative-pressure cavities. The cylinder’s suction holes in the negative-pressure cavity suck rice seeds into the seed box, and excess rice seeds fall into the seed box under the action of the seed-cleaning mechanism. The sucked rice seeds enter the positive-pressure cavity with the rotation of the cylinder, falling into the seeding tubes under self-weight and positive pressure, then falling into the sowing furrows.
2.2. Simulation Analysis of Airflow in Seed Delivery Tube
Computational fluid dynamics (CFD) simulation analyses of tubes C and B were conducted to calculate in-tube airflow [28,29,30], and the seed delivery velocity of 8~40 m s−1 was selected as the variation range for the airflow velocity of the two tubes in Figure 1 (tubes C and B) according to the analysis and calculation with the above airflow delivery theory. The arrangement of the experiment is shown in Table 1.
Table 1.
The arrangement of air computational fluid dynamics experiments for seed delivery tubes.
Taking the airflow distributions of tubes C and B under different seed delivery airflow velocities as the indicators, the possible airflow velocity dead zone in the flow field of the tubes was analyzed to reduce the retention of rice seeds in the tube through parameter optimization, improving seeding precision.
Figure 2 shows that for tube C, which has the largest angle opening, the airflow velocity had a sharp increase at the position with the largest change in angle from the straight part to the bending part of the tube when the inlet velocity increased from 8 to 40 m s−1; in Figure 3 for tube B, there was little change in the airflow velocity when the inlet velocity increased from 8 to 40 m s−1, with only a small surge at the lower bending part.
Figure 2.
The cloud map of airflow distribution at different inlet velocities of tube C.
Figure 3.
The cloud map of airflow distribution at different inlet velocities of tube B.
To sum up, when the high-speed airflow enters the seed delivery tube, due to the continuous expansion and contraction of the tube’s cross-section diameter, the extrusion and stretching effect on the flow field increases [11], and with the increase in air velocity, the larger the angle is, and the easier it is to produce a vortex where the angle considerably changes. Furthermore, the little bend tube can improve the uniformity of seeding performance.
Air distribution in the seed delivery tube affected the seed-movement state, which was directly reflected in the collision law [26] in the tubes and the distribution state in the seeding ditch. Therefore, studying the internal relationship between the collision law and the distribution of rice seeds in the seeding ditch is crucial.
2.3. On the Field Distribution of Rice Seeds
Negative-pressure seed-suction, forward-speed, and seed-drop tubes all influence the distribution of rice seeds in the seeding furrow when the pneumatic central-cylinder direct-seeding machine is working. Therefore, we performed a field rice seed distribution experiment. The experiment was arranged according to the previous test results and the rice ride transplanter’s forward speeds, as shown in Table 2 [26,27].
Table 2.
Experimental design for various seed arrangements involving forward speed and vacuum pressure in the field.
The field experiments were carried out at Cencun Teaching and Scientific Farm, the South China Agricultural University, China. The area of the plots was about two acres. The plots were soaked, rotary-tilled, leveled, and precipitated prior to the field experiments. The experiment seeds were the Indica two-line hybrid rice variety Jingliangyou 1212, which has a growth period of 116.9 d. The sowing machine was a hill–drop pneumatic central-cylinder direct-seeding machine for hybrid rice, and the row spacing was 200 mm (Figure 4).
Figure 4.
The investigation on the coordinate distribution of rice seeds.
The field rice seed distribution experiment was performed according to the arrangement shown in Table 2. The airflow velocity was set as 40 m s−1. The 2D coordinates of 1000 continual rice seeds in each rice-sowing belt were obtained. The sowing belts corresponding to the three-angle seed-drop tubes were recorded. A scatter plot was drawn using the data statistical analysis software Origin Pro 9.1.
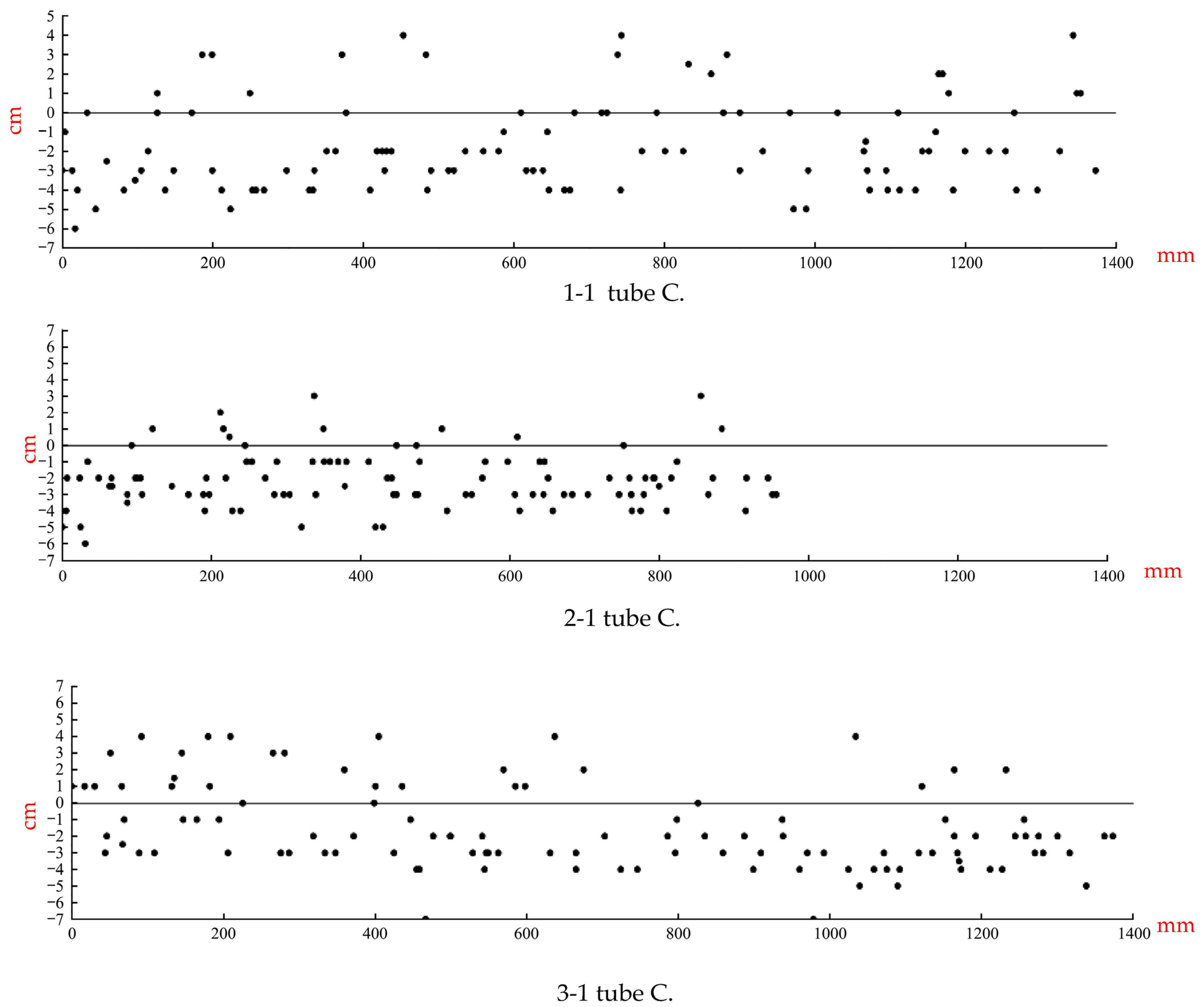
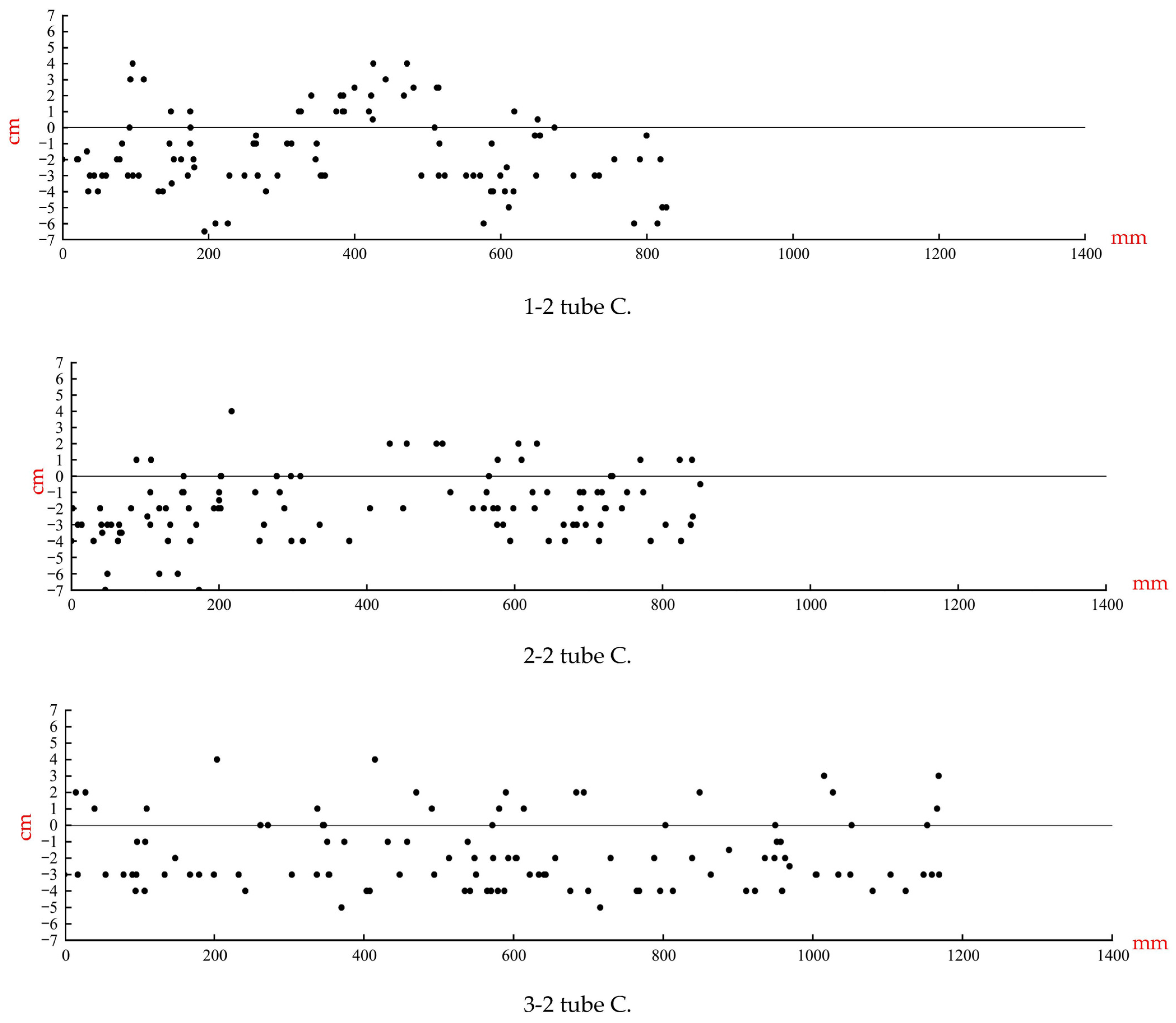
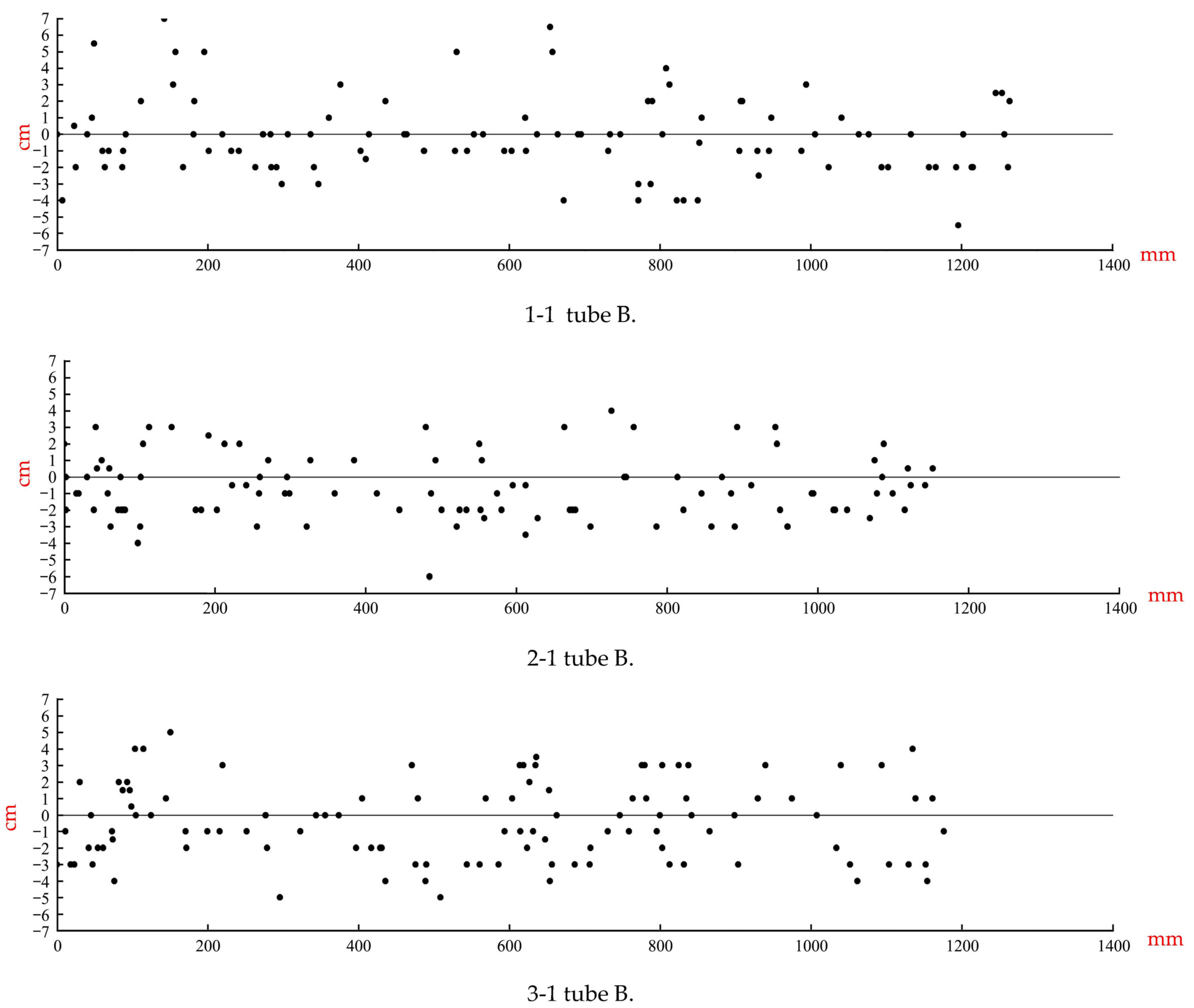
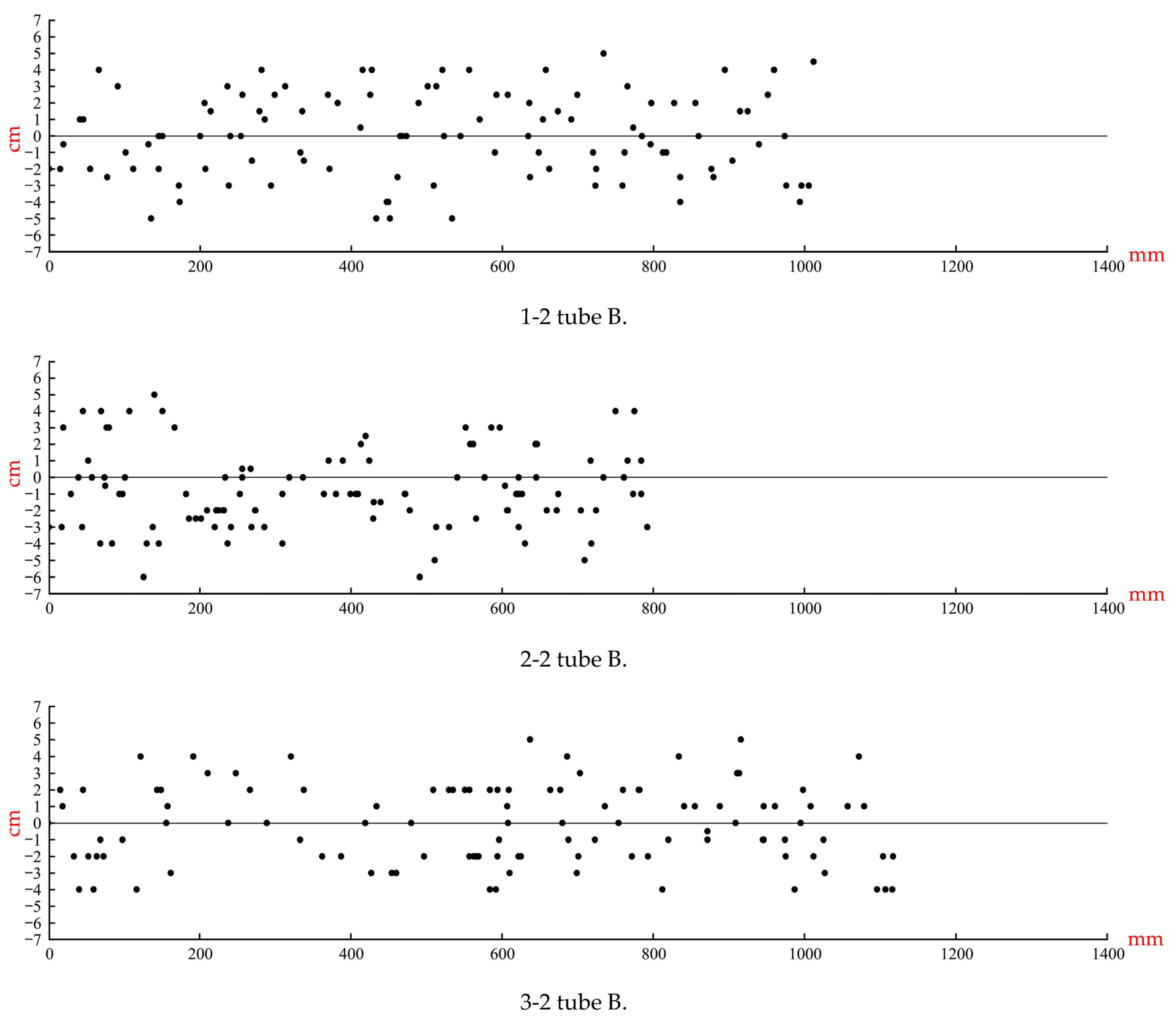
The rice seed coordinates with different treatments and in different guide tubes are shown in Figure 5, Figure 6, Figure 7 and Figure 8.
Figure 5.
The distribution of rice seeds in response to different velocities under the same vacuum pressure of 2.7 kPa in tube C.
Figure 6.
The distribution of rice seeds in response to different velocities under the same vacuum pressure of 4.0 kPa in tube C.
Figure 7.
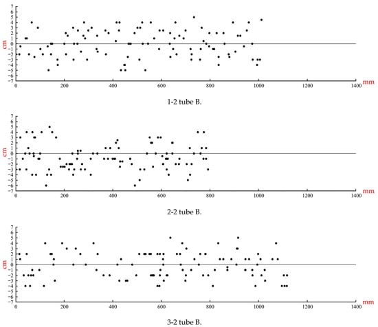
The distribution of rice seeds in response to different velocities under the same vacuum pressure of 2.7 kPa in tube B.
Figure 8.
The distribution of rice seeds in response to different velocities under the same vacuum pressure of 4.0 kPa in tube B.
The seed-suction negative pressure for tubes C and B was 2.7 and 4.0 kPa, respectively. Judging the lateral distribution of the rice seeds, with the increase in delivery airflow velocity, the rice-sowing belts aggregated toward the seeding furrow’s central line, presenting an aggregation effect. The delivery airflow velocity had a considerable impact on the distribution of rice seeds in the seeding furrow. With the increase in the forward speed, the seed distribution in the forward-speed direction presented an aggregation and then dispersion trend. As the forward speed increased, the linear velocity of the rice seeds leaving the roller increased, and the distribution length in the forward direction decreased when the number of rice seeds was the same; as the rice drill velocity increased from a medium to a high level under certain amounts of delivery airflow, the increase in the forward velocity was larger than the linear velocity increase due to the increase in roller revolving velocity, and the sowing belt was longer.
2.4. Field Validation
The field experiments were conducted at Cencun Teaching and Scientific Farm, the South China Agricultural University, China. The seeding time was 24 March 2018 (early season rice). The area of the plots was four mu. The plots were soaked, rotary-tilled, leveled, and precipitated. The experiment seeds were the Indica two-line hybrid rice variety Jingliangyou 1212, with a growth period of 116.9 d. The seeds were treated with coating and pelleting, respectively, as shown in Figure 9. The sowing machine was a hill–drop pneumatic central-cylinder direct-seeding machine for hybrid rice, and the row spacing was 200 mm. The operation of the field experiments is shown in Figure 10.
Figure 9.
The pre-treatment of coating and pelleting forseed (a) coating treatment; (b) pelleting treatment.
Figure 10.
The plot establishment in the paddy field at sowing stage (a) seeding in paddy field; (b) the sampling plot establishment.
The experiments include ten treatments, with three operating speeds, namely, low speed (0.3–0.4 m s−1), medium speed (0.6–0.7 m s−1), and high speed (0.9–1.0 m s−1), and two seed-suction negative pressures of 2.7 kPa and 4.0 kPa. The experiment arrangement is shown in Table 3.
Table 3.
Experimental factors for different forward speeds, pressures, and seed pre-treatments for seed sowing in the field experiment.
During the field experiments, three sampling plots were randomly set up for each treatment, in total of 30 sampling plots were established for all ten treatments, as shown in Figure 10.
3. Results and Discussion
The seedling emergence rate and yield of rice were the key factors to indicate the seeding performance, and the rice growth vigor in the experiment plots was tracked and recorded throughout the experiment. The rice growth vigor in the whole growth period is shown in Figure 11:
Figure 11.
The picture of rice plants at different growing stages in early cropping season. DAS: Days after sowing.
3.1. Slip Ratio Experiment
As the direct-seeding machine operates in a soft and slippery field, the soil providing thrust would show shear deformation, and the ground-contacting surface of the driving wheel would have a backwards slide over the ground, which is called wheel slip. The slip not only affects the average speed but also consumes more fuel; therefore, we conducted slip ratio experiments for different treatments. To reduce experimental errors, the actual distance traveled in each treatment and the number of revolutions of the rear wheels were used to measure the slip ratio of the whole machine, and the low, medium, and high speeds of the direct-seeding machine were 0.35 m s−1, 0.65 m s−1, and 0.95 ms−1, respectively. The experiment results are shown in Table 4.
Table 4.
The slip ratio (%) of the direct-seeding machine in response to different forward speeds, pressures, and seed pre-treatments in the field experiment.
Table 4 shows that the average slip ratios of the low, medium, and high forward speeds were 22.43%, 25.97%, and 28.18%, respectively, and the slip ratios increased with the rise in the forward speed. A considerable reduction in the operating speed can decrease the slip ratio.
3.2. Investigation of Seeding Number
The seeding number is a critical index to evaluate the performance of the direct-seeding machine. We randomly selected a 1 m seeding length for each treatment, checked the dibbling grain number in length, repeated three times for each treatment, and took the average value. The seeding rate in response to different forward speeds, pressures, and seed pre-treatments in the field experiment in Table 5 shows that the coefficient of variation with coating (pelleting) was 18%.
Table 5.
The seeding rate (1 m length) of the direct-seeding machine in response to different forward speeds, pressures, and seed pre-treatments in the field experiment.
One-way ANOVA was carried out using SPSS 11.0 for Windows. The results are shown in Table 6. The error bar chart is shown in Figure 12 (the significance level of the mean difference is 0.05).
Table 6.
One-way ANOVA analysis.
Figure 12.
The seeding rate error bar chart. Vertical bars above mean values indicate standard error. Different letters indicate significant difference according to the LSD (0.05) test.
3.3. Emergence Rate
The emergence rate is the ratio between the number of seedlings that grow normally and the number of seeds sown within a specified time and conditions. Usually, seedlings have the ability to grow into normal plants under good soil and suitable moisture, temperature, and light conditions.
The field emergence rate is a comprehensive evaluation of the seeding machine’s seeding quality, the natural environmental conditions in the field, the germination characteristics of the seeds, and the effects of different treatments of rice seeds, as well as a prerequisite for the overall growth and yield assurance of rice in the later stage. The experiments in this part were conducted to investigate normally grown seedlings on the basis of the field seeding rates after being sown as described above. The experiment data and results are shown in Table 7.
Table 7.
The number of emerged seedlings (no. m−2) in response to different forward speeds, pressures, and seed pre-treatments in the field experiment.
A one-way ANOVA was carried out using SPSS 11.0 for Windows; the results are shown in Table 7. The error bar chart is shown in Figure 13 (the significance level of the mean difference is 0.05).
Figure 13.
The error bar chart for emerged seedings. Vertical bars above mean values indicate standard error. Different letters indicate significant difference according to the LSD (0.05) test.
One-way ANOVA was carried out using SPSS 11.0 for Windows. The results are shown in Table 8.
Table 8.
One-way ANOVA analysis.
Table 9 shows the seeding emergence percentage (%) in response to different forward speeds, pressures, and seed pre-treatments in the field experiment.
Table 9.
The seeding emergence percentage (%) in response to different forward speeds, pressures, and seed pre-treatments in the field experiment.
3.4. Yield Measurement
Yield experiments were conducted by combining sampling plots and the actual harvest. Sampling methods: we used a manual sampling plot experiment with a 1 m × 1 m sampling frame, with three sampling plots randomly selected for each treatment, and the seed heads were cut off and put into the net bag, as shown in Figure 14.
Figure 14.
The calculation of seed yields through artificial harvesting.
A one-way ANOVA was carried out with SPSS 11.0 for Windows; the results are shown in Table 10 (the significance level of the mean difference is 0.05).
Table 10.
One-way ANOVA analysis.
Table 11 shows a statistical analyses of rice panicles cut in each sampling plot. Among them, the effective panicles of both the germination acceleration treatment and the coating germination acceleration treatment of Jingliangyou 1212 were between 220 and 240 panicles, while the effective panicles of the coating without germination acceleration treatment were between 180 and 190 panicles. In the direct seeding of hybrid rice, soaking in germination acceleration treatment until chest burst (turn white) has a greater effect on the seedling rate.
Table 11.
The number of effective panicles (no. m−2) in response to different forward speeds, pressures, and seed pre-treatments in the field experiment.
A one-way ANOVA was carried out with SPSS 11.0 for Windows; the analysis results are shown in Table 12 (the significance level of the mean difference is 0.05).
Table 12.
One-way ANOVA analysis.
Table 13 shows the seed setting rate of the sampling plots of each treatment, and the setting rates of the germination acceleration treatment and the coating germination acceleration treatment of Jingliangyou 1212 both exceeded 80%, while the setting rate of the coating without germination acceleration treatment was below 80%. This showed that soaking germination acceleration treatment until chest burst (turn white) also has a greater effect on the seed setting rate.
Table 13.
The seed setting rate (%) of the field experiment in response to different forward speeds, pressures, and seed pre-treatments.
One of the main reasons for the high yield of hybrid rice is its higher amount of dry matter compared with common rice varieties. During the experiments, the above-ground parts of the plants in each sampling plot were harvested, fully dried, weighed, and measured. Table 14 shows that the dry matter accumulation under a seed-suction vacuum pressure of 4 kPa was significantly higher than that at 2.7 kPa, and the dry matter weights of both the germination acceleration treatment and the coating germination acceleration treatment of Jingliangyou 1212 were above 665 g, whereas the seed setting rate of the coating without germination acceleration treatment was less than 625 g. This indicated that soaking in germination acceleration treatment until chest burst (turning white) for direct seeding would also affect the dry matter accumulation in plant stems.
Table 14.
The biomass production (g m−2) at maturity stage in response to different forward speeds, pressures, and seed pre-treatments in the field experiment.
A one-way ANOVA was carried out with SPSS 11.0 for Windows; the analysis results are shown in Table 15; the errors bar chart is shown in Figure 15 (the significance level of the mean difference is 0.05).
Table 15.
One-way ANOVA analysis.
Figure 15.
Error bar chart of biomass production. Vertical bars above mean values indicate standard error. Different letters indicate significant difference according to the LSD (0.05) test. Vertical bars above mean values indicate standard error. Different letters indicate significant difference according to the LSD (0.05) test.
The rice seeds from the three sampling plots were treated, respectively, based on the data in Table 16. The results are converted to the standard yield experiment moisture content of 13.5% by winnowing and water content determination. Then, the final results are averaged, yielding the following data:
Table 16.
The yield (t. ha−1) in response to different forward speeds, pressures, and seed pre-treatments in field experiment.
For a seed-suction vacuum pressure of 2.7 kPa, the yields of Jingliangyou 1212 rice seeds with a coating germination acceleration treatment at low, medium, and high velocities were 7.73/t. ha−1, 7.44/t. ha−1, and 7.31/t. ha−1, respectively.
For a seed-suction vacuum pressure of 4.0 kPa, the yields of Jingliangyou 1212 rice seeds with a coating germination acceleration treatment at low, medium, and high velocities were 7.44/t. ha−1, 7.80/t. ha−1, and 7.60/t. ha−1, respectively.
For rice seeds with a coating (pelleting) and a soaking germination acceleration treatment, the yield was 7.88/t. ha−1 when the seed-suction vacuum pressure was under 2.7 kPa, yielding 7.92/t. ha−1 when the seed-suction vacuum pressure was under 4.0 kPa.
For rice seeds with a coating (pelleting) treatment without soaking germination acceleration, the yield was 5.76/t. ha−1 when the seed-suction vacuum pressure was under 2.7 kPa, yielding 7.11/t. ha−2 when the seed-suction vacuum pressure was under 4.0 kPa.
With late rice (sowing on 8 August 2018) using the same rice varieties of Jingliangyou 1212, the other treatments were the same as with 4-1, with a yield of 7.80/t. ha−1.
The above data showed that the yield of Jingliangyou 1212 with coating (pelleting) and soaking germination acceleration treatment was obviously higher than other treatments.
4. Discussion and Conclusions
To promote the simplified mechanization of hybrid rice direct seeding, this paper adopted a combination of CFD simulation, mechanism design, and experimental analysis to perform a CFD analysis and experimental study on a distributed seed delivery system with a pneumatic central-cylinder seeder.
- Direct seeder technology for a paddy omits the step of seeding and planting, and it is a new technology for mechanized operations, saving both time and labor and increasing production and efficiency. Air-blown seeding technology is an important way to achieve precision seeding. This article is based on a pneumatic drum-centralized rice precision direct seeder with different angles of air blown through tubes. The distribution of rice seeds in the field is considerably affected by the different angles of the seed delivery tubes, the larger the angle, the higher the probability of in-tube rice seed collisions. Therefore, increasing the delivery airflow velocity in high-angled tubes can reduce the accumulation and collision of rice seeds. In terms of field experiments, different angles, and airflow velocities had considerable influences on the distribution of the rice seeds in the furrow. Therefore, the optimized distributed tube structure is the key to achieving the proper distribution of seeds.
- Regarding the growth of rice in the field, for treatment (4-1), the seeding rate variation coefficient between the ten seeding rows of rice seeds germinated by coating (pelleting) was 18%, which is considerably better than other combinations, and the error variance between seeding rows 1 and 5, 2 and 5, 3 and 5, 4 and 5, 5 and 7, 5 and 8, 5 and 9, and 9 and 10 are significant. The coating treatment presented good effects on the emergence of rice seeds, and the emergence rates under two different vacuum pressures reached 81.77% and 78.21%, respectively, and the error variance between seeding rows 1 and 4, 2 and 4, 3 and 4, 4 and 5, 4 and 6, 4 and 7, 4 and 8, and 5 and 9 are significant. Regarding the seeding emergence percentage (%) in response to different forward speeds, pressures, and seed pre-treatments in the field experiment, the sig value of 0.096 is not significant between seeding rows. The effective panicles of both the germination acceleration treatment and the coating germination acceleration treatment of Jingliangyou 1212 were between 220 and 240 panicles, while the effective panicles of the coating without germination acceleration treatment were between 180 and 190 panicles, and the sig value of 0.082 is not significant between the different seeding rows.
The seed setting rates of the sampling plots of each treatment corresponding with the setting rates of the germination acceleration treatment and the coating germination acceleration treatment of Jingliangyou 1212 both exceeded 80%, while the setting rate of the coating without the germination acceleration treatment was below 80%. This showed that soaking germination acceleration treatment until chest burst (turning white) also has a greater effect on the seed setting rate, and the sig value of 0.905 is not significant between different seeding rows. The dry matter accumulation under a seed-suction vacuum pressure of 4 kPa was significantly higher than that at 2.7 kPa, and the dry matter weights of both the germination acceleration treatment and the coating germination acceleration treatment of Jingliangyou 1212 were above 665 g, whereas the seed setting rate of the coating without germination acceleration treatment was less than 625 g. This indicated that soaking germination acceleration treatment until chest burst (turning white) for direct seeding would also affect the dry matter accumulation in plant stems, and the error variance between rows 1 and 4, 4 and 7, 4 and 9, and 4 and 10 are significant.
The seed germination, seedling formation, growth parameters, and biomass production are important evaluation indicator, which needs to be explored in depth. phenotypic information, most severe, etc.
- 3.
- For rice seeds with a coating (pelleting) and soaking germination acceleration treatment, the yield was 7.88/t. ha−1 when the seed-suction vacuum pressure was under 2.7 kPa, yielding 7.92/t. ha−1 when the seed-suction vacuum pressure was under 4.0 kPa. The above data showed that the yield of Jingliangyou 1212 with a coating (pelleting) and soaking germination acceleration treatment was obviously higher than other treatments.
In summary, the different variable parameters have a significant impact on yield and biological indicators. Achieving a high yield based on specific parameter combinations is particularly crucial in the next study. The experimental data and results of this paper can provide the basis for the optimization of the structural parameters of a pneumatic central-cylinder seeder. The yield data and biological indicators showed that the yield of Jingliangyou 1212 with a coating (pelleting) and soaking germination acceleration treatment was obviously higher than that with other treatments. Further development of the technique would be desirable to facilitate its applicability for the mechanized direct seeding of hybrid rice.
5. Patents
Three patents have been applied for in China for this manuscript: No. ZL201610027389.8, ZL201721420260.X, and ZL 201620577827.3.
Author Contributions
Conceptualization, X.L.; methodology, B.W.; software, M.C.; validation, Y.N.; formal analysis, B.W.; investigation, Y.P.; resources, X.L.; data curation, J.L.; writing—original draft preparation, Y.N.; writing—review and editing, B.W.; visualization, Z.G.; project administration, X.L.; funding acquisition, W.W. All authors have read and agreed to the published version of the manuscript.
Funding
This research was supported by Hainan Provincial Natural Science Foundation of China, grant number 323RC415.
Institutional Review Board Statement
Not applicable.
Informed Consent Statement
Not applicable.
Data Availability Statement
All data are presented in this article in the form of figures and tables.
Acknowledgments
We would like to thank the innovation and utilization team of tropical melon crop genetic germplasm, Hainan University.
Conflicts of Interest
The authors declare no conflict of interest.
Abbreviations
| CFD | Computational Fluid Dynamics |
| DEM | Discrete element method |
References
- Luo, X.; Jiang, E.; Wang, Z.; Tang, X.; Li, J.; Chen, W. Precision rice drilling machine. Trans. Chin. Soc. Agric. Eng. 2008, 24, 52–56. [Google Scholar]
- Nie, L.; Peng, S. Rice Production in China. In Rice Production Worldwide; Chauhan, B., Jabran, K., Mahajan, G., Eds.; Springer: Berlin/Heidelberg, Germany, 2017. [Google Scholar] [CrossRef]
- Tao, Y.; Chen, Q.; Peng, S.; Wang, W.; Nie, L. Lower global warming potential and higher yield of wet direct-seeded rice in Central China. Agron. Sustain. Dev. 2016, 36, 24. [Google Scholar] [CrossRef]
- Li, S.; Lu, Z.; Zhao, J.; Luo, M.; Chen, F.; Chu, Q. Changes in planting methods will change the potential distribution of rice in South China under climate warming. Agric. For. Meteorol. 2023, 331, 109335. [Google Scholar] [CrossRef]
- National Bureau of Statistics of the People’s Republic of China. Annual Data, Rice Sown Area and Mean Yield (2019). Available online: https://data.stats.gov.cn/easyquery.htm?cn=C01/ (accessed on 6 May 2023). (In Chinese)
- Hu, Z.; Tian, Y.; Xu, Q. Review of Extension and Analysis on Current Status of Hybrid Rice in China. Hybrid Rice 2016, 312, 1–8. [Google Scholar]
- Yatskul, A.; Lemiere, J.P.; Cointault, F. Influence of the Divider Head Functioning Conditions and Geometry on the Seed’s Distribution Accuracy of the Air-Seeder. Biosyst. Eng. 2017, 161, 120–134. [Google Scholar] [CrossRef]
- Baryeh, E.A. A Simple Grain Impact Damage Assessment Device for Developing Countries. J. Food Eng. 2003, 56, 37–42. [Google Scholar] [CrossRef]
- Güner, M. Pneumatic Conveying Characteristics of Some Agricultural Seeds. J. Food Eng. 2007, 80, 904–913. [Google Scholar] [CrossRef]
- Guzman, L.; Chen, Y.; Landry, H. Coupled CFD-DEM Simulation of Seed Flow in Horizontal-Vertical Tube Transition. Processes 2023, 11, 909. [Google Scholar] [CrossRef]
- Kuang, S.; Li, K.; Yu, A. CFD-DEM Simulation of Large-Scale Dilute-Phase Pneumatic Conveying System. Ind. Eng. Chem. Res. 2020, 59, 4150–4160. [Google Scholar] [CrossRef]
- Laín, S.; Sommerfeld, M. Characterisation of Pneumatic Conveying Systems Using the Euler/Lagrange Approach. Powder Technol. 2013, 235, 764–782. [Google Scholar] [CrossRef]
- Klinzing, G.E. A Review of Pneumatic Conveying Status, Advances and Projections. Powder Technol. 2018, 333, 78–90. [Google Scholar] [CrossRef]
- Zhang, J.; Hou, Y.; Ji, W.; Zheng, P.; Yan, S.; Hou, S.; Cai, C. Evaluation of a Real-Time Monitoring and Management System of Soybean Precision Seed Metering Devices. Agronomy 2023, 13, 541. [Google Scholar] [CrossRef]
- Li, Z.; Zhang, H.; Xie, R.; Gu, X.; Du, J.; Chen, Y. Evaluation on the Performance of Airflow Distribution Device of Pneumatic Seeder for Rapeseed through CFD Simulations. Agriculture 2022, 12, 1781. [Google Scholar] [CrossRef]
- Lei, X.L.; Hu, H.J.; Yang, W.H.; Liu, L.Y.; Liao, Q.X.; Ren, W.J. Seeding performance of air-assisted centralized seed-metering device for rapeseed. Int. J. Agric. Biol. Eng. 2021, 14, 79–87. [Google Scholar] [CrossRef]
- Ahmad, F.; Adeel, M.; Qiu, B.J.; Ma, J.; Shoaib, M.; Shakoor, A.; Chandio, F.A. Sowing uniformity of bed-type pneumatic maize planter at various seedbed preparation levels and machine travel speeds. Int. J. Agric. Biol. Eng. 2021, 14, 165–171. [Google Scholar] [CrossRef]
- Liu, J.X.; Wang, Q.J.; Li, H.W.; He, J.; Lu, C.Y. Numerical analysis and experiment on pneumatic loss characteristic of pinhole-tube wheat uniform seeding mechanism. Trans. Chin. Soc. Agric. Mach. 2020, 51, 29–37. [Google Scholar]
- Santo, N.; Portnikov, D.; Eshel, I.; Taranto, R.; Kalman, H. Experimental study on particle steady state velocity distribution in horizontal dilute phase pneumatic conveying. Chem. Eng. Sci. 2018, 187, 354–366. [Google Scholar] [CrossRef]
- Li, Z.D.; He, S.; Zhong, J.Y.; Han, J.F.; Chen, Y.X.; Song, Y. Parameter optimization and experiment of the disturbance air-suction hole metering device for rapeseed. Trans. Chin. Soc. Agric. Mach. 2021, 37, 1–11. [Google Scholar]
- Zhang, M.; Wu, C.Y.; Zhang, W.Y. Airflow field simulation on suction nozzle of cupule-type disseminator for rice seedling. Trans. Chin. Soc. Agric. Mach. 2011, 27, 162–167. [Google Scholar]
- Ma, X.; Gong, Q.; Wang, Q.; Xu, D.; Zhou, Y.; Chen, G.; Cao, X.; Wang, L. Design of an Air Suction Wheel-Hole Single Seed Drill for a Wheat Plot Dibbler. Agriculture 2022, 12, 1735. [Google Scholar] [CrossRef]
- Shang, S.; Wu, X.; Yang, R. Research Status and Prospect of Plot-sowing Equipment and Technology. Trans. Chin. Soc. Agric. Mach. 2021, 52, 2. [Google Scholar]
- Yang, W.; Li, J.; Fang, X.; Shang, S.; Du, W. Domestic and Foreign Current Situation and Development Trend of Seeding Mechanization in Maize Breeding. Agric. Eng. 2018, 8, 9–15. [Google Scholar]
- Zhang, H.; Zhao, J.; Hu, G.; Bo, L.; Wang, Z.; Qi, C.; Han, B.; Chen, J. Parameter Optimization of Wheat Seeding Device with Nest Round Wheel. J. Agric. Mech. Res. 2020, 42, 139–144. [Google Scholar] [CrossRef]
- Wang, B.; Na, Y.; Pan, Y.; Ge, Z.; Liu, J.; Luo, X. CFD Simulation and Experiments of Pneumatic Centralized Cylinder Metering Device Cavity and Airflow Distributor. Agronomy 2022, 12, 1775. [Google Scholar] [CrossRef]
- Wang, B.; Na, Y.; Liu, J.; Wang, Z. Design and Evaluation of Vacuum Central Drum Seed Metering Device. Appl. Sci. 2022, 12, 2159. [Google Scholar] [CrossRef]
- Wang, B.; Liao, Q.; Wang, L.; Shu, C.; Cao, M.; Du, W. Design and Test of Air-Assisted Seed-Guiding Device of Precision Hill-Seeding Centralized Seed-Metering Device for Sesame. Agriculture 2023, 13, 393. [Google Scholar] [CrossRef]
- Liu, R.; Liu, L.; Li, Y.; Liu, Z.; Zhao, J.; Liu, Y.; Zhang, X. Numerical Simulation of Seed-Movement Characteristics in New Maize Delivery Device. Agriculture 2022, 12, 1944. [Google Scholar] [CrossRef]
- Xiao, Y.; Ma, Z.; Wu, M.; Luo, H. Numerical Study of Pneumatic Conveying of Rapeseed through a Pipe Bend by DEM-CFD. Agriculture 2022, 12, 1845. [Google Scholar] [CrossRef]
Disclaimer/Publisher’s Note: The statements, opinions and data contained in all publications are solely those of the individual author(s) and contributor(s) and not of MDPI and/or the editor(s). MDPI and/or the editor(s) disclaim responsibility for any injury to people or property resulting from any ideas, methods, instructions or products referred to in the content. |
© 2023 by the authors. Licensee MDPI, Basel, Switzerland. This article is an open access article distributed under the terms and conditions of the Creative Commons Attribution (CC BY) license (https://creativecommons.org/licenses/by/4.0/).














