Effect of Ecologically Restored Vegetation Roots on the Stability of Shallow Aggregates in Ionic Rare Earth Tailings Piles
Abstract
1. Introduction
2. Materials and Methods
2.1. Study Area and Grass Selection
2.2. Sample Collection and Parameters
2.3. Root System Characteristic Parameters
2.4. Sieve Test for Aggregates Content
2.5. Correlation Analysis Method Selection
2.6. Introduction of Stability Evaluation Index
3. Results
3.1. Effect of Root System Parameters on the Physical Properties of Rare Earth Tailings
3.2. Effect of Root System on the Stability of Mechanical Aggregates
3.2.1. Distribution Characteristics of Aggregates at the Same Depth
- Horizon 0–10 cm:
- Horizon 10–20 cm:
- Horizon 20–30 cm:
3.2.2. Effect of Root System of Different Species on Aggregate Characteristics and Distribution
- Paspalum notatum Flugge:
- Setaria viridis:
- Cynodon dactylon (L.):
4. Discussion
4.1. Analysis of the Effect of Root System Action on the Stability of Rare Earth Tailings
4.2. Mechanisms of the Influence of Root Characteristic Parameters on the Stability of Tailings’ Aggregates
5. Conclusions
- The vegetation roots effectively improved shallow aggregates’ content and spatial distribution in the rare earth-tailing pile. The vegetation root system is not limited to transforming small aggregates and sticking to large aggregates but changes the distribution of soil aggregates according to its own growth needs. By changing the content and distribution of aggregates, the root system changes the soil of rare earth tailings from disorderly to orderly, thus relieving soil erosion and improving the overall stability of shallow soil. This shows that the rare earth tailings pile can improve the overall stability of the soil through afforestation during ecological restoration.
- An analysis of stability indicators of rare earth tailings’ aggregates under the influence of root systems found that the vegetation root system effectively improved the stability of rare earth tailing pile aggregates, enhanced their ability to resist external forces, hydraulic dispersion or changes in external hydrological conditions while maintaining their original form, increased the corrosion resistance of their aggregates, optimized spatial distribution, improved physical properties and enhanced structural stability. The stability index of rootless tailings’ aggregates varies haphazardly. The stability of root-containing tailings’ aggregates shows a continuous weakening with increasing depth until it tends to be similar to rootless tailings, indicating that the vegetation root system has a specific improvement effect on the aggregates at their depths and gradually weakens with depth downward, and does not significantly modify the aggregates below their root distribution areas.
- Statistical analysis of root system characteristic parameters and aggregates stability was performed. It was found that the root system of Paspalum notatum Flugge is superior to other root systems in maintaining the stability of rare earth tailings, because all of its root parameters are greater than those of other root systems. Different root parameters played different roles in the stability index of the aggregates, and the root length density, RL, is the critical factor affecting the stability of the aggregates. Therefore, when we carry out ecological restoration of rare earth tailings piles, we can prioritize Paspalum notatum Flugge with long roots for ecological restoration.
Supplementary Materials
Author Contributions
Funding
Data Availability Statement
Acknowledgments
Conflicts of Interest
References
- Xiao, Z.J.; Liu, Z.W.; Zhang, N. Environmental impact analysis and control technology of ion rare earth mining in south of Jiangxi Province. Chin. Rare Earths 2014, 35, 56–61. [Google Scholar]
- Zou, G.L.; Yi-Ding, W.U.; Cai, S.J. Impacts of ion-adsorption rare earth’s leaching process on resources and environment. Nonferrous Met. Sci. Eng. 2014, 5, 100–106. [Google Scholar]
- Li, S.Y.; Li, H.K.; Xu, F. Comparison of Remote Sensing Monitoring Methods for Land Desertification in Ion-adsorption Rare Earth Mining Areas. Chin. Rare Earths 2021, 12, 9–20. [Google Scholar]
- Shi, X.Y.; Chen, H.W. Contamination and Restoration of Abandoned Pool and Heap Leaching Sites of Rare Earth Mine. J. Chin. Soc. Rare Earths 2019, 37, 409–417. [Google Scholar]
- Zhang, C.Y.; Li, J.; Lei, S.G.; Yang, J.Z.; Yang, N. Progress and Prospect of the Quantitative Remote Sensing for Monitoring the Eco-environment in Mining Area. J. Met. Mater. Min. 2022, 3, 1–27. [Google Scholar]
- Guo, Z.; Zhang, L.; Yang, W.; Hua, L.; Cai, C. Aggregate Stability under Long-Term Fertilization Practices: The Case of Eroded Ultisols of South-Central China. Sustainability 2019, 11, 1169. [Google Scholar] [CrossRef]
- Saha, J.K.; Selladurai, R.; Coumar, M.V.; Dotaniya, M.L.; Kundu, S.; Patra, A.K. Assessment of Heavy Metals Contamination in Soil. Soil Pollut. Emerg. Threat Agric. 2017, 10, 155–191. [Google Scholar]
- Tiller, K.G. Heavy Metals in Soils and Their Environmental Significance. Adv. Soil Sci. 1989, 9, 113–142. [Google Scholar]
- Zhang, P.; Yang, F.L.; Lan, M.M.; Liu, W.S.; Yang, W.J.; Teng, Y.T.; Qiu, R.L. Phytostabilization with tolerant plants and soil amendments of the tailings of the Dabaoshan polymetallic mine in Guangdong Province. Huanjing Kexue Xuebao 2019, 39, 545–552. [Google Scholar]
- Li, H.X.; Wang, B.; Wang, Y.J.; Wang, Y.Q. Impact of different forest types on stability and organic carbon of soil aggregates. J. Beijing For. Univ. 2016, 5, 84–91. [Google Scholar]
- Cui, H.B.; Li, H.T.; Zhang, S.W.; Yi, Q.T.; Zhou, J.; Fang, G.D.; Zhou, J. Bioavailability and mobility of copper and cadmium in polluted soil after phytostabilization using different plants aided by limestone. Chemosphere 2020, 242, 1252521–1252528. [Google Scholar] [CrossRef] [PubMed]
- Hao, H.X.; Di, H.Y.; Jiao, X.; Wang, J.G.; Shi, Z.H. Fine roots benefit soil physical properties key to mitigate soil detachment capacity following the restoration of eroded land. Plant Soil 2020, 446, 487–501. [Google Scholar] [CrossRef]
- Le Bissonnais, Y.; Prieto, I.; Roumet, C.; Nespoulous, J.; Metayer, J.; Huon, S.; Villatoro, M.; Stokes, A. Soil aggregate stability in Mediterranean and tropical agro-ecosystems: Effect of plant roots and soil characteristics. Plant Soil 2018, 424, 303–317. [Google Scholar] [CrossRef]
- Greinwald, K.; Gebauer, T.; Treuter, L.; Kolodziej, V.; Musso, A.; Maier, F.; Lustenberger, F.; Scherer-Lorenzen, M. Root density drives aggregate stability of soils of different moraine ages in the Swiss Alps. Plant Soil 2021, 468, 439–457. [Google Scholar] [CrossRef]
- Wang, X.J.; Zhuo, Y.L.; Deng, S.Q.; Li, Y.X.; Zhong, W.; Zhao, K. Experimental Research on the Impact of Ion Exchange and Infiltration on the Microstructure of Rare Earth Orebody. Adv. Mater. Sci. Eng. 2017, 1, 1–8. [Google Scholar] [CrossRef]
- Zhou, L.B.; Wang, X.J.; Zhuo, Y.L.; Hu, K.J.; Zhong, W.; Huang, G.L. Dynamic pore structure evolution of the ion adsorbed rare earth ore during the ion exchange process. R. Soc. Open Sci. 2019, 6, 213–224. [Google Scholar] [CrossRef] [PubMed]
- Rao, Y.Z.; Jiang, F.C.; Chen, J.L.; Yu, B. Research on Fractal Characteristics of Shear Strength for Ion-absorbed Rare Earth Deposits in Column Leaching Test. Min. Res. Dev. 2018, 38, 35–39. [Google Scholar]
- Hong, B.G.; Hu, S.L.; Luo, S.H.; Wang, Y.L.; Wang, G.S. Dilatancy behaviors and construction of elastoplastic constitutive model of ion-absorbed rare earth orebody. Chin. J. Nonferrous Met. 2020, 30, 1957–1966. [Google Scholar]
- Cao, X.Z.; Li, X.Q.; Chi, M.R.; Zhang, G.N.; Chen, C.C. Comparison of planting suitability of four herbaceeous plants on rare earth tailings in south china. Acta Agric. Univ. Jiangxiensis 2012, 34, 35–41. [Google Scholar]
- Jiao, P.P. Study of Plant Roots Affecting Soil Strength and Creep Properties. Ph.D. Thesis, China University of Mining and Technology, Beijing, China, 2019. [Google Scholar]
- Guan, X.; Yang, P.T.; Lu, Y. Relationships between soil particle size distribution and soil physical properties based on multifractal. Trans. Chin. Soc. Agric. Mach. 2011, 42, 44–50. [Google Scholar]
- Hao, Y.Z.; Zhao, J.Y.; Lu, M.; Wang, Q.; Peng, W.Q.; Chen, Z. Effect of Plant Roots on River Bank Stabilization after Composite Vegetation Planting. J. Hydroecol. 2020, 41, 42–50. [Google Scholar]
- Black, C.K.; Masters, M.D.; Lebauer, D.S.; Anderson-Teixeira, K.J.; Delucia, E.H. Root volume distribution of maturing perennial grasses revealed by correcting for minirhizotron surface effects. Plant Soil 2017, 419, 391–404. [Google Scholar] [CrossRef]
- Saha, R.; Ginwal, H.S.; Chandra, G.; Barthwal, S. Root distribution, orientation and root length density modelling in Eucalyptus and evaluation of associated water use efficiency. New For. 2020, 51, 1023–1037. [Google Scholar] [CrossRef]
- Peng, X.; Hu, D.; Zeng, W.Z.; Wu, J.w.; Huang, J.S. Estimating soil moisture from hyperspectra in saline soil based on EPO-PLS regression. Trans. Chin. Soc. Agric. Eng. 2016, 32, 167–173. [Google Scholar]
- Dong, H.H.; ShangGuan, D.H. Spatial Distribution of Precipitation in Shiyang River Basin Based on PLS Regression Model. Mt. Res. Dev. 2016, 34, 591–598. [Google Scholar]
- Chaplot, V.; Cooper, M. Soil aggregate stability to predict organic carbon outputs from soils. Geoderma 2015, 243, 205–213. [Google Scholar] [CrossRef]
- Liu, Y.; Zha, T.-G.; Wang, Y.-K.; Wang, G.-M. Soil aggregate stability and soil organic carbon characteristics in Quercus variabilis and Pinus tabulaeformis plantations in Beijing area. Yingyong Shengtai Xuebao 2013, 24, 607–613. [Google Scholar]
- He, Y.J.; Lv, D.Y. Fractal expression of soil particle-size distribution at the basin scale. Open Geosci. 2022, 14, 70–78. [Google Scholar] [CrossRef]
- Yu, J.; Miao, S.J.; Qiao, Y.F. The stabilization mechanism of different types of soil aggregates. Chin. Agric. Sci. Bull. 2022, 38, 89–95. [Google Scholar]
- Pinheiro, E.F.M.; Pereira, M.G.; Anjos, L.H.C. Aggregate distribution and soil organic matter under different tillage systems for vegetable crops in a Red Latosol from Brazil. Soil Tillage Res. 2003, 77, 79–84. [Google Scholar] [CrossRef]
- Guo, Z.L.; Chang, C.P.; Zou, X.Y.; Wang, R.D.; Li, J.F.; Li, Q. A model for characterizing dry soil aggregate size distribution. Catena 2021, 198, 105018. [Google Scholar] [CrossRef]














| Vegetation Sample | Feature Description |
|---|---|
| Paspalum notatum Flugge | The vegetation has a well-developed root system, suitable for tropical and subtropical growth, drought-resistant and erosion-resistant root system and a high foliage survival rate. |
| Setaria viridis | This annual herbaceous vegetation has well-developed fibrous roots, wide rhizomes, a warm and temperate climate, strong water absorption and good survival ability. |
| Cynodon dactylon (L.) | Growing in warm areas and wasteland slopes, its rhizome has a robust spreading ability, strong resistance, high coverage and a good function of fixing and retaining soil. |
| Sample Type | Depth /cm | Length of Horizontal Extension /cm | Number of Root Systems /Root | Average Diameter /cm | Root Depth /cm |
|---|---|---|---|---|---|
| Root of Setaria viridis | 0–10 | 16.0 | 103 | 0.371 | 29 |
| 10–20 | 9.3 | 49 | 0.283 | ||
| 20–30 | 8.3 | 28 | 0.226 | ||
| Root of Cynodon dactylon (L.) | 0–10 | 18.0 | 116 | 0.419 | 26 |
| 10–20 | 11.9 | 52 | 0.297 | ||
| 20–30 | 9.6 | 28 | 0.187 | ||
| Root of Paspalum notatum Flugge | 0–10 | 18.5 | 122 | 0.436 | 33 |
| 10–20 | 14.6 | 75 | 0.302 | ||
| 20–30 | 9.8 | 42 | 0.251 |
| Sample Type | Depth /cm | Weight Capacity /g·cm−3 | Water Content /% | Porosity /% |
|---|---|---|---|---|
| Tailings with Paspalum notatum Flugge root system | 0–10 | 1.31 | 11.0 | 37.4 |
| 10–20 | 1.46 | 15.2 | 35.3 | |
| 20–30 | 1.54 | 18.1 | 34.1 | |
| Tailings with Setaria viridis root system | 0–10 | 1.34 | 10.5 | 36.5 |
| 10–20 | 1.58 | 12.5 | 34.5 | |
| 20–30 | 1.62 | 17.1 | 33.4 | |
| Tailings with Cynodon dactylon (L.) root system | 0–10 | 1.32 | 9.7 | 37.2 |
| 10–20 | 1.48 | 10.3 | 34.9 | |
| 20–30 | 1.58 | 11.8 | 33.8 | |
| Rootless tailings | 0–10 | 1.62 | 4.5 | 33.4 |
| 10–20 | 1.77 | 5.4 | 33.2 | |
| 20–30 | 1.73 | 7.8 | 33.3 |
| Root Samples | Depth /cm | RL /cm·cm−3 | RD /Root·cm−3 | RV /cm3·cm−3 |
|---|---|---|---|---|
| Root of Paspalum notatum Flugge | 0–10 | 2.26 | 0.120 | 0.334 |
| 10–20 | 1.10 | 0.075 | 0.078 | |
| 20–30 | 0.41 | 0.042 | 0.020 | |
| Root of Setaria viridis | 0–10 | 1.65 | 0.103 | 0.178 |
| 10–20 | 0.46 | 0.063 | 0.029 | |
| 20–30 | 0.23 | 0.053 | 0.010 | |
| Root of Cynodon dactylon (L.) | 0–10 | 2.09 | 0.116 | 0.288 |
| 10–20 | 0.42 | 0.052 | 0.043 | |
| 20–30 | 0.27 | 0.028 | 0.007 |
| Parameter Type | Relevance | RL | RD | RV | Bulk Density | Water Content | Porosity |
|---|---|---|---|---|---|---|---|
| RL | Correlation coefficient | 1.000 ** | 0.998 ** | 0.979 * | −0.961 * | −0.999 ** | 0.998 ** |
| value of p | 0.000 | 0.002 | 0.021 | 0.037 | 0.001 | 0.002 | |
| RD | Correlation coefficient | 0.998 ** | 1.000 ** | 0.966 * | −0.918 | −0.902 | 0.998 ** |
| value of p | 0.002 | 0.000 | 0.034 | 0.082 | 0.082 | 0.002 | |
| RV | Correlation coefficient | 0.979 * | 0.966 * | 1.000 ** | −0.851 | −0.969 * | 0.971* |
| value of p | 0.021 | 0.034 | 0.000 | 0.149 | 0.031 | 0.029 | |
| Bulk density | Correlation coefficient | −0.961 * | −0.918 | −0.851 | 1.000 ** | 0.920 | −0.935 |
| value of p | 0.037 | 0.082 | 0.149 | 0.000 | 0.080 | 0.065 | |
| Water content | Correlation coefficient | −0.999 ** | −0.902 | −0.969 * | 0.920 | 1.000 ** | −0.998 ** |
| value of p | 0.001 | 0.082 | 0.031 | 0.080 | 0.000 | 0.002 | |
| Porosity | Correlation coefficient | 0.998 ** | 0.998 ** | 0.971 * | −0.935 | −0.998 ** | 1.000 ** |
| value of p | 0.002 | 0.002 | 0.029 | 0.065 | 0.002 | 0.000 |
| Parameter Type | Relevance | RLRD | RLRV | RDRL | RDRV | RVRL | RVRD |
|---|---|---|---|---|---|---|---|
| Bulk density | Correlation coefficient | 0.898 * | −0.418 | 0.653 | −0.409 | 0.893 | 0.865 |
| value of p | 0.038 | 0.484 | 0.232 | 0.495 | 0.052 | 0.078 | |
| Water content | Correlation coefficient | −0.656 | 0.332 | 0.873 | 0.982 ** | −0.870 * | 0.830 |
| value of p | 0.229 | 0.586 | 0.053 | 0.003 | 0.049 | 0.082 | |
| Porosity | Correlation coefficient | 0.976 ** | −0.654 | −0.651 | −0.936 * | 0.965 * | 0.945 * |
| value of p | 0.003 | 0.231 | 0.234 | 0.042 | 0.035 | 0.038 |
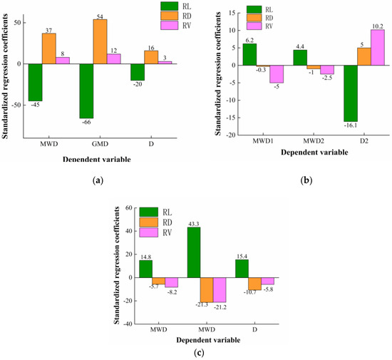
| Root | Dependent Variable | Relational Equation of the Independent Variable |
|---|---|---|
| Paspalum notatum Flugge | MWD | MWD = −45 × RL + 37 × RD + 8 × RV (R2 = 0.973 SEE = 21) |
| GMD | GMD = −66 × RL + 54 × RD + 12 × RV (R2 = 0.965 SEE = 26) | |
| D | D = −20 × RL + 16 × RD + 3 × RV (R2 = 0.975 SEE = 20) | |
| Setaria viridis | MWD | MWD = 6.161 × RL − 0.267 × RD − 4.980 × RV (R2 = 0.962 SEE = 30) |
| GMD | GMD = −6.439 × RL + 4.606 × RD + 2.802 × RV (R2 = 0.981 SEE = 15) | |
| D | D = −4.556 × RL + 0.343 × RD + 3.250 × RV (R2 = 0.959 SEE = 35) | |
| Cynodon dactylon (L.) | MWD | MWD = 14.802 × RL − 5.698 × RD − 8.186 × RV (R2 = 0.963 SEE = 28) |
| GMD | GMD = 29.903 × RL − 12.271 × RD − 16.839 × RV (R2 = 0.978 SEE = 19) | |
| D | D = −87.427 × RL + 41.237 × RD + 45.778 × RV (R2 = 0.983 SEE = 13) |
Disclaimer/Publisher’s Note: The statements, opinions and data contained in all publications are solely those of the individual author(s) and contributor(s) and not of MDPI and/or the editor(s). MDPI and/or the editor(s) disclaim responsibility for any injury to people or property resulting from any ideas, methods, instructions or products referred to in the content. |
© 2023 by the authors. Licensee MDPI, Basel, Switzerland. This article is an open access article distributed under the terms and conditions of the Creative Commons Attribution (CC BY) license (https://creativecommons.org/licenses/by/4.0/).
Share and Cite
Zhong, W.; Shuai, Q.; Zeng, P.; Guo, Z.; Hu, K.; Wang, X.; Zeng, F.; Zhu, J.; Feng, X.; Lin, S.; et al. Effect of Ecologically Restored Vegetation Roots on the Stability of Shallow Aggregates in Ionic Rare Earth Tailings Piles. Agronomy 2023, 13, 993. https://doi.org/10.3390/agronomy13040993
Zhong W, Shuai Q, Zeng P, Guo Z, Hu K, Wang X, Zeng F, Zhu J, Feng X, Lin S, et al. Effect of Ecologically Restored Vegetation Roots on the Stability of Shallow Aggregates in Ionic Rare Earth Tailings Piles. Agronomy. 2023; 13(4):993. https://doi.org/10.3390/agronomy13040993
Chicago/Turabian StyleZhong, Wen, Qi Shuai, Peng Zeng, Zhongqun Guo, Kaijian Hu, Xiaojun Wang, Fangjin Zeng, Jianxin Zhu, Xiao Feng, Shengjie Lin, and et al. 2023. "Effect of Ecologically Restored Vegetation Roots on the Stability of Shallow Aggregates in Ionic Rare Earth Tailings Piles" Agronomy 13, no. 4: 993. https://doi.org/10.3390/agronomy13040993
APA StyleZhong, W., Shuai, Q., Zeng, P., Guo, Z., Hu, K., Wang, X., Zeng, F., Zhu, J., Feng, X., Lin, S., & Feng, Z. (2023). Effect of Ecologically Restored Vegetation Roots on the Stability of Shallow Aggregates in Ionic Rare Earth Tailings Piles. Agronomy, 13(4), 993. https://doi.org/10.3390/agronomy13040993
