Improved Water Use of the Maize Soil–Root–Shoot System under the Integrated Effects of Organic Manure and Plant Density
Abstract
1. Introduction
2. Materials and Methods
2.1. Field Experimental Sites
2.2. Experimental Design and Plot Arrangement
2.3. Leaf Area Index (LAI) Measurement
2.4. Root Length Density (RLD) and Root Hydraulic Conductivity (Lpr) Measured
2.5. Stem Sap Flow Measurement
2.6. Evapotranspiration (ET) and Water Use Efficiency (WUE) Calculated
2.7. Data Analysis and Statistics
3. Results
3.1. Soil Water Content at Harvest Stage
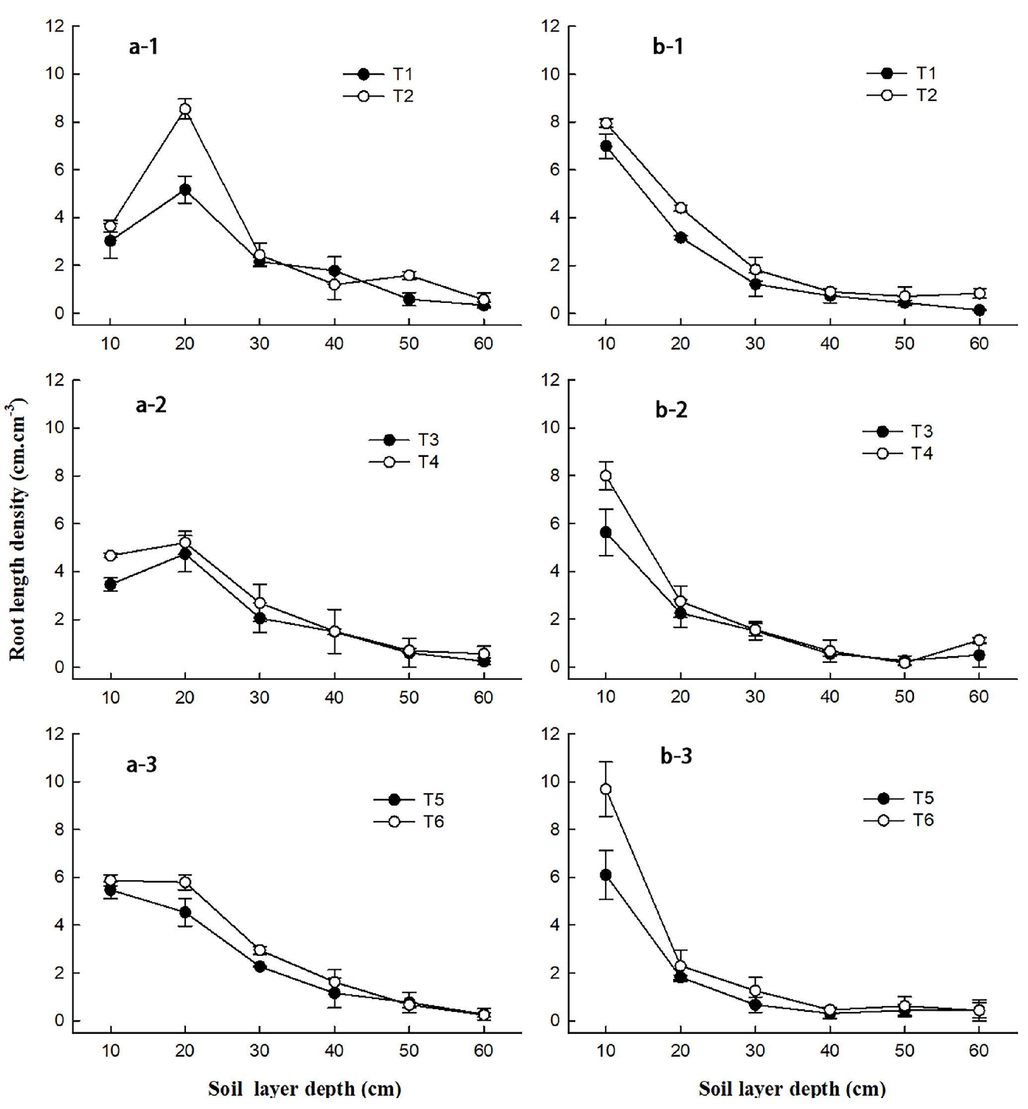
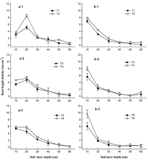
3.2. Root Length Density (RLD)
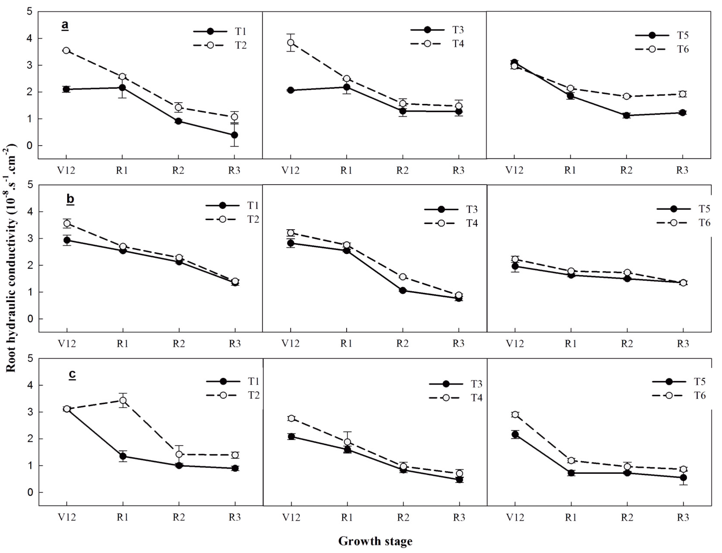
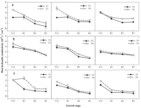
3.3. Root Hydraulic Conductivity (Lpr)
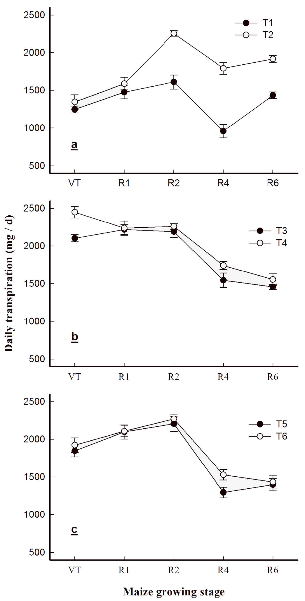
3.4. Stem Sap Flow Rate (SFR)
3.5. Relationship between Leaf Area Index (LAI) and Transpiration
3.6. Biomass Allocation Related with Evaporanspiration (ET)
3.7. Grain Yield Increase Rate, ET and WUE Improve Stably and Sustainably
3.8. Correlation of Analysis between RLD, BDW, LDW, RSR and ET
4. Discussion
5. Conclusions
Author Contributions
Funding
Institutional Review Board Statement
Informed Consent Statement
Data Availability Statement
Conflicts of Interest
References
- Allen, S.J.; Grime, V.L. Soil water status and root distribution across the rooting zone in maize with plastic film mulching. Field Crop. Res. 2014, 156, 40–47. [Google Scholar]
- Xu, H.; Yang, R.; Song, J.F. Agricultural Water Use Efficiency and Rebound Effect: A Study for China. Int. J. Environ. Res. Public Health 2021, 18, 7151. [Google Scholar] [CrossRef] [PubMed]
- Asai, H.; Samson, B.K.; Stephan, H.M.; Songyikhangsuthor, K.; Homma, K.; Kiyono, Y.; Inoue, Y.; Shiraiwa, T.; Horie, T. Temporal rainfall patterns with water partitioning impacts on maize yield in a freeze-thaw zone. J. Hydrol. 2013, 486, 412–419. [Google Scholar]
- Nyakudya, I.W.; Stroosnijder, L. Effect of rooting depth, plant density and planting date on maize (Zea mays L.) yield and water use efficiency in semi-arid Zimbabwe: Modelling with AquaCrop. Agric. Water Manag. 2014, 146, 280–296. [Google Scholar] [CrossRef]
- Foley, J.A.; Ramankutty, N.; Brauman, K.A.; Cassidy, E.S.; Gerber, J.S.; Johnston, M.; Mueller, N.D.; O’Connell, C.; Ray, D.K.; West, P.C.; et al. Solutions for a cultivated planet. Nature 2011, 478, 337–342. [Google Scholar] [CrossRef]
- Neumann, K.; Verburg, P.H.; Stehfest, E.; Muller, C. The yield gap of global grain production: A spatial analysis. Agric. Syst. 2010, 103, 316–326. [Google Scholar] [CrossRef]
- Miao, Y.X.; Stewart, B.A.; Zhang, F.S. Long-term experiments for sustainable nutrient management in China. A review. Agron. Sustain. Dev. 2011, 31, 397–414. [Google Scholar] [CrossRef]
- Meng, Q.F.; Sun, Q.P.; Chen, X.P.; Cui, Z.L.; Yue, S.C.; Zhang, F.S.; Romheld, V. Alternative cropping systems for sustainable water and nitrogen use in the North China Plain. Agric. Ecosyst. Environ. 2012, 146, 93–102. [Google Scholar] [CrossRef]
- Chen, X.P.; Cui, Z.L.; Fan, M.S.; Zhao, M.; Ma, W.Q.; Wang, Z.L.; Zhang, W.J.; Yan, X.Y.; Ma, L.; Zhang, W.F.; et al. Producing more grain with lower environmental costs. Nature 2014, 514, 486–489. [Google Scholar] [CrossRef]
- Asai, H.; Samson, B.K.; Stephan, H.M.; Songyikhangsuthor, K.; Homma, K.; Kiyono, Y.; Inoue, Y.; Shiraiwa, T.; Horie, T. Biochar amendment techniques for upland rice production in Northern Laos 1. Soil physical properties, leaf SPAD and grain yield. Field Crop. Res. 2009, 111, 81–84. [Google Scholar] [CrossRef]
- Edmeades, D.C. The long-term effects of manures and fertilisers on soil productivity and quality: A review. Nutr. Cycl. Agroecosyst. 2003, 66, 165–180. [Google Scholar] [CrossRef]
- Asmamaw, D.K.; Janssens, P.; Dessie, M.; Tilahun, S.; Adgo, E.; Nyssen, J.; Walraevens, K.; Pue, J.D.; Yenehun, A.; Nigate, F.; et al. Effect of integrated soil fertility management on hydrophysical soil properties and irrigated wheat production in the upper Blue Nile Basin, Ethiopia. Soil Tillage Res. 2022, 221, 105384. [Google Scholar] [CrossRef]
- Kihara, J.; Bationo, A.; Mugendi, D.N.; Martius, C.; Vlek, P.L.G. Conservation tillage, local organic resources and nitrogen fertilizer combinations affect maize productivity, soil structure and nutrient balances in semi-arid Kenya. Nutr. Cycl. Agroecosyst. 2011, 90, 213–225. [Google Scholar] [CrossRef]
- Hu, T.T.; Kang, S.Z.; Li, F.S.; Zhang, J.H. Effects of partial root-zone irrigation on hydraulic conductivity in the soil-root system of maize plants. J. Exp. Bot. 2011, 62, 4163–4172. [Google Scholar] [CrossRef]
- Yu, G.R.; Zhuang, J.; Nakayama, K.; Jin, Y. Root water uptake and profile soil water as affected by vertical root distribution. Plant Ecol. 2007, 189, 15–30. [Google Scholar] [CrossRef]
- Azaizeh, H.; Steudle, E. Effects of salinity on water transport of excised maize (Zea mays L.) roots. Plant Physiol. 1991, 97, 1136–1145. [Google Scholar] [CrossRef]
- Dardanelli, J.L.; Ritchie, J.T.; Calmon, M.; Andriani, J.M.; Collino, D.J. An empirical model for root water uptake. Field Crop. Res. 2004, 87, 59–71. [Google Scholar] [CrossRef]
- Wang, X.B.; Dai, K.A.; Zhang, D.C.; Zhang, X.M.; Wang, Y.; Zhao, Q.S.; Cai, D.X.; Hoogmoed, W.B.; Oenema, O. Dryland maize yields and water use efficiency in response to tillage/crop stubble and nutrient management practices in China. Field Crop. Res. 2011, 120, 47–57. [Google Scholar] [CrossRef]
- Osborne, S.L.; Chim, B.K.; Riedell, W.E.; Schumacher, T.E. Root length density of cereal and grain legume crops grown in diverse rotations. Crop Sci. 2020, 60, 2611–2620. [Google Scholar] [CrossRef]
- Ma, J.X.; Chen, Y.N.; Li, W.H.; Huang, X.; Zhu, C.G.; Ma, X.D. Sap flow characteristics of four typical species in desert shelter forest and their responses to environmental factors. Environ. Earth Sci. 2012, 67, 151–160. [Google Scholar] [CrossRef]
- Nadal, M.; Flexas, J. Variation in photosynthetic characteristics with growth form in a water-limited scenario: Implications for assimilation rates and water use efficiency in crops. Agric. Water Manag. 2019, 216, 457–472. [Google Scholar] [CrossRef]
- Guan, D.H.; Al-Kaisi, M.M.; Zhang, Y.S.; Duan, L.S.; Tan, W.M.; Zhang, M.C.; Li, Z.H. Tillage practices affect biomass and grain yield through regulating root growth, root-bleeding sap and nutrients uptake in summer maize. Field Crop. Res. 2014, 157, 89–97. [Google Scholar] [CrossRef]
- Frensch, J.; Steudle, E. Axial and radial hydraulic resistance to roots of maize (Zea mays L.). Plant Physiol. 1989, 91, 719–726. [Google Scholar] [CrossRef] [PubMed]
- Steudle, E.; Oren, R.; Schulze, E.-D. Water transport in maize roots measurement of hydraulic conductivity, solute permeability, and of reflection coefficients of excised roots using the root pressure probe. Plant Physiol. 1987, 84, 1220–1232. [Google Scholar] [CrossRef]
- Steudle, E. Water transport across roots. Plant Soil 1994, 167, 79–90. [Google Scholar] [CrossRef]
- Grime, V.L.; Morison, J.I.L.; Simmonds, L.P. Including the heat-storage term in sap flow measurements with the stem heat-balance method. Agric. For. Meteorol. 1995, 74, 1–25. [Google Scholar] [CrossRef]
- Grime, V.L.; Morison, J.I.L.; Simmonds, L.P. Sap flow measurements from stem heat balances—A comparison of constant with variable power methods. Agric. For. Meteorol. 1995, 74, 27–40. [Google Scholar] [CrossRef]
- Cammalleri, C.; Rallo, G.; Agnese, C.; Ciraolo, G.; Minacapilli, M.; Provenzano, G. Combined use of eddy covariance and sap flow techniques for partition of ET fluxes and water stress assessment in an irrigated olive orchard. Agric. Water Manag. 2013, 120, 89–97. [Google Scholar] [CrossRef]
- Allen, S.J.; Grime, V.L. Measurements of transpiration from savanna shrubs using sap flow gauges. Agric. For. Meteorol. 1995, 75, 23–41. [Google Scholar] [CrossRef]
- Gavloski, J.E.; Whitfield, G.H.; Ellis, C.R. Effect of restricted watering on sap flow and growth in corn (Zea mays L). Can. J. Plant Sci. 1992, 72, 361–368. [Google Scholar] [CrossRef]
- Groot, A.; King, K.M. Measurement of sap flow by the heat-balance method—Numerical-analysis and application to coniferous seedlings. Agric. For. Meteorol. 1992, 59, 289–308. [Google Scholar] [CrossRef]
- Kelliher, F.M.; Kostner, B.M.M.; Hollinger, D.Y.; Byers, J.N.; Hunt, J.E.; McSeveny, T.M.; Meserth, R.; Weir, P.L.; Schulze, E.D. Evaporation, xylem sap flow, and tree transpiration in a new-zealand broad-leaved forest. Agric. For. Meteorol. 1992, 62, 53–73. [Google Scholar] [CrossRef]
- Langensiepen, M.; Kupisch, M.; Graf, A.; Schmidt, M.; Ewert, F. Improving the stem heat balance method for determining sap-flow in wheat. Agric. For. Meteorol. 2014, 186, 34–42. [Google Scholar] [CrossRef]
- Logsdon, S.D.; Singer, J.W.; Prueger, J.H.; Hatfield, J.L. Comparison of Corn Transpiration, Eddy Covariance, and Soil Water Loss. Soil Sci. Soc. Am. J. 2014, 78, 1214–1223. [Google Scholar] [CrossRef]
- Marshall, M.; Thenkabail, P.; Biggs, T.; Post, K. Hyperspectral narrowband and multispectral broadband indices for remote sensing of crop evapotranspiration and its components (transpiration and soil evaporation). Agric. For. Meteorol. 2016, 218, 122–134. [Google Scholar] [CrossRef]
- Unkovich, M.; Baldock, J.; Farquharson, R. Field measurements of bare soil evaporation and crop transpiration, and transpiration efficiency, for rainfed grain crops in Australia—A review. Agric. Water Manag. 2018, 205, 72–80. [Google Scholar] [CrossRef]
- Zhang, Z.; Tian, F.; Hu, H.; Yang, P. A comparison of methods for determining field evapotranspiration: Photosynthesis system, sap flow, and eddy covariance. Hydrol. Earth Syst. Sci. 2014, 18, 1053–1072. [Google Scholar] [CrossRef]
- Chang, X.X.; Zhao, W.Z.; He, Z.B. Radial pattern of sap flow and response to microclimate and soil moisture in Qinghai spruce (Picea crassifolia) in the upper Heihe River Basin of arid northwestern China. Agric. For. Meteorol. 2014, 187, 14–21. [Google Scholar] [CrossRef]
- Herrero-Langreo, A.; Tisseyre, B.; Roger, J.M.; Scholasch, T. Test of sampling methods to optimize the calibration of vine water status spatial models. Precis. Agric. 2018, 19, 365–378. [Google Scholar] [CrossRef]
- Wang, W.; Yang, X.; Zhang, S.; Sun, Y. The root cortex cell hydraulic conductivity is enhanced with increasing chromosome ploidy in wheat. Plant Physiol. Biochem. 2013, 68, 37–43. [Google Scholar] [CrossRef]
- Hou, L.Z.; Wenninger, J.; Shen, J.G.; Zhou, Y.X.; Bao, H.; Liu, H.J. Assessing crop coefficients for Zea mays in the semi-arid Hailiutu River catchment, northwest China. Agric. Water Manag. 2014, 140, 37–47. [Google Scholar] [CrossRef]
- Zhang, H.P.; Simmonds, L.P.; Morison, J.I.L.; Payne, D. Estimation of transpiration by single trees: Comparison of sap flow measurements with a combination equation. Agric. For. Meteorol. 1997, 87, 155–169. [Google Scholar] [CrossRef]
- He, Y.; Mouthier, T.M.B.; Kabel, M.A.; Dijkstra, J.; Hendriks, W.H.; Struik, P.C.; Cone, J.W. Lignin composition is more important than content for maize stem cell wall degradation. J. Sci. Food Agric. 2018, 98, 384–390. [Google Scholar] [CrossRef] [PubMed]
- Fang, Y.; Xu, B.C.; Liu, L.; Gu, Y.J.; Liu, Q.Q.; Turner, N.C.; Li, F.M. Does a mixture of old and modern winter wheat cultivars increase yield and water use efficiency in water-limited environments. Field Crop. Res. 2014, 156, 12–21. [Google Scholar] [CrossRef]
- Zhang, Q.; Zhang, L.Z.; Evers, J.C.; van der Werf, W.; Zhang, W.Q.; Duan, L.S. Maize yield and quality in response to plant density and application of a novel plant growth regulator. Field Crop. Res. 2014, 164, 82–89. [Google Scholar] [CrossRef]
- Vandeleur, R.K.; Sullivan, W.; Athman, A.; Jordans, C.; Gilliham, M.; Kaiser, B.N.; Tyerman, S.D. Rapid shoot-to-root signalling regulates root hydraulic conductance via aquaporins. Plant Cell Environ. 2014, 37, 520–538. [Google Scholar] [CrossRef]
- Postma, J.A.; Dathe, A.; Lynch, J.P. The Optimal Lateral Root Branching Density for Maize Depends on Nitrogen and Phosphorus Availability. Plant Physiol. 2014, 166, 590-U948. [Google Scholar] [CrossRef]
- Das, P.P.; Singh, K.R.; Nagpure, G.; Mansoori, A.; Singh, R.P.; Ghazi, I.A.; Kumar, A.; Singh, J. Plant-soil-microbes: A tripartite interaction for nutrient acquisition and better plant growth for sustainable agricultural practices. Environ. Res. 2022, 214, 21. [Google Scholar] [CrossRef]
- Syed, S.; Wang, X.X.; Prasad, T.; Lian, B. Bio-Organic Mineral Fertilizer for Sustainable Agriculture: Current Trends and Future Perspectives. Minerals 2021, 11, 1336. [Google Scholar] [CrossRef]
- Bocchi, S.; Tano, F. Effects of cattle manure and components of pig slurry on maize growth and production. Eur. J. Agron. 1994, 3, 235–241. [Google Scholar] [CrossRef]
- Le Marie, C.; Kirchgessner, N.; Marschall, D.; Walter, A.; Hund, A. Rhizoslides: Paper-based growth system for non-destructive, high throughput phenotyping of root development by means of image analysis. Plant Methods 2014, 10, 16. [Google Scholar] [CrossRef]
- Wang, X.J.; Zhang, J.Y.; Gao, J.; Shahid, S.; Xia, X.H.; Geng, Z.; Tang, L. The new concept of water resources management in China: Ensuring water security in changing environment. Environ. Dev. Sustain. 2018, 20, 897–909. [Google Scholar] [CrossRef]
- Couvreur, V.; Vanderborght, J.; Beff, L.; Javaux, M. Horizontal soil water potential heterogeneity: Simplifying approaches for crop water dynamics models. Hydrol. Earth Syst. Sci. 2014, 18, 1723–1743. [Google Scholar] [CrossRef]
- Zhao, T.X.; Zhu, Y.; Wu, J.W.; Ye, M.; Mao, W.; Yang, J.Z. Quantitative Estimation of Soil-Ground Water Storage Utilization during the Crop Growing Season in Arid Regions with Shallow Water Table Depth. Water 2020, 12, 3351. [Google Scholar] [CrossRef]
- Jadidoleslam, N.; Mantilla, R.; Krajewski, W.F.; Cosh, M.H. Data-driven stochastic model for basin and sub-grid variability of SMAP satellite soil moisture. J. Hydrol. 2019, 576, 85–97. [Google Scholar] [CrossRef]
- Li, D.F.; Shao, M.A. Temporal stability analysis for estimating spatial mean soil water storage and deep percolation in irrigated maize crops. Agric. Water Manag. 2014, 144, 140–149. [Google Scholar] [CrossRef]








| Treatments | Plant Density (plants/ha) | Basic Fertilizer | Top Application N at V6 Stage (kg/ha) | |||
|---|---|---|---|---|---|---|
| N | PO | KO | Manure | |||
| (kg/ha) | (kg/ha) | (kg/ha) | (t/ha) | |||
| T1 | 60,000 | 135 | 112.5 | 112.5 | 0 | 90 |
| T2 | 60,000 | 135 | 112.5 | 112.5 | 52.5 | 90 |
| T3 | 75,000 | 135 | 112.5 | 112.5 | 0 | 90 |
| T4 | 75,000 | 135 | 112.5 | 112.5 | 52.5 | 90 |
| T5 | 90,000 | 135 | 112.5 | 112.5 | 0 | 90 |
| T6 | 90,000 | 135 | 112.5 | 112.5 | 52.5 | 90 |
| Treatments | BDW (g) | LDW (g) | RSR (g) |
|---|---|---|---|
| T1 | 355.31ab | 49.90a | 0.07ab |
| T2 | 398.38a | 46.26ab | 0.06b |
| T3 | 327.68c | 39.15c | 0.07ab |
| T4 | 347.89b | 41.22bc | 0.07ab |
| T5 | 285.24d | 38.08c | 0.08a |
| T6 | 319.24cd | 40.40c | 0.08a |
| Indicators | BDW (g) | RSR (g) | LDW (g) | ET (mm) |
|---|---|---|---|---|
| BDW | 1 | |||
| RSR | 0.72 * | 1 | ||
| LDW | 0.88 ** | 0.69 * | 1 | |
| ET | 0.44 | 0.53 | 0.80 * | 1 |
| Treatments | Grain Yield Increasing Rate (%) | ET (mm) | WUE (%) | |||||||||||||
|---|---|---|---|---|---|---|---|---|---|---|---|---|---|---|---|---|
| 2011 | 2012 | 2013 | 2014 | Mean | 2011 | 2012 | 2013 | 2014 | Mean | 2011 | 2012 | 2013 | 2014 | Mean | ||
| T1 | – | – | – | – | – | 364.48a | 372.11a | 456.75a | 412.41a | 401.44a | – | – | – | – | – | |
| T2 | 5.30 | 6.39 | 24.75 | 0.78 | 9.31 | 362.03a | 380.49a | 490.60a | 420.36a | 413.37a | 6.01 | 5.02 | 16.17 | 1.95 | 7.29 | |
| T3 | – | – | – | – | – | 359.76a | 379.94a | 452.15a | 418.47a | 402.58a | – | – | – | – | – | |
| T4 | 11.78 | 1.42 | 7.83 | 4.78 | 6.45 | 353.88a | 386.93a | 480.87a | 440.21a | 415.47a | 7.40 | 1.71 | 5.56 | 0.43 | 5.43 | |
| T5 | – | – | – | – | – | 361.42a | 359.49a | 485.63a | 410.23a | 404.19a | – | – | – | – | – | |
| T6 | 7.86 | 16.34 | 6.81 | 8.94 | 9.99 | 357.73a | 377.59a | 483.31a | 423.14a | 410.44a | 8.97 | 9.75 | 7.36 | 5.59 | 7.92 | |
Disclaimer/Publisher’s Note: The statements, opinions and data contained in all publications are solely those of the individual author(s) and contributor(s) and not of MDPI and/or the editor(s). MDPI and/or the editor(s) disclaim responsibility for any injury to people or property resulting from any ideas, methods, instructions or products referred to in the content. |
© 2023 by the authors. Licensee MDPI, Basel, Switzerland. This article is an open access article distributed under the terms and conditions of the Creative Commons Attribution (CC BY) license (https://creativecommons.org/licenses/by/4.0/).
Share and Cite
Wei, L.-C.; Zhang, H.-P.; Wang, X.-L.; Zhang, S.-Q. Improved Water Use of the Maize Soil–Root–Shoot System under the Integrated Effects of Organic Manure and Plant Density. Agronomy 2023, 13, 1172. https://doi.org/10.3390/agronomy13041172
Wei L-C, Zhang H-P, Wang X-L, Zhang S-Q. Improved Water Use of the Maize Soil–Root–Shoot System under the Integrated Effects of Organic Manure and Plant Density. Agronomy. 2023; 13(4):1172. https://doi.org/10.3390/agronomy13041172
Chicago/Turabian StyleWei, Li-Chao, Hua-Ping Zhang, Xiao-Lin Wang, and Sui-Qi Zhang. 2023. "Improved Water Use of the Maize Soil–Root–Shoot System under the Integrated Effects of Organic Manure and Plant Density" Agronomy 13, no. 4: 1172. https://doi.org/10.3390/agronomy13041172
APA StyleWei, L.-C., Zhang, H.-P., Wang, X.-L., & Zhang, S.-Q. (2023). Improved Water Use of the Maize Soil–Root–Shoot System under the Integrated Effects of Organic Manure and Plant Density. Agronomy, 13(4), 1172. https://doi.org/10.3390/agronomy13041172

