Next Article in Journal
Geochemical Characteristics of Typical Karst Soil Profiles in Anhui Province, Southeastern China
Previous Article in Journal
Analytic Method for Optimizing the Allocation of Manure Nutrients Based on the Assessment of Land Carrying Capacity: A Case Study from a Typical Agricultural Region in China
Previous Article in Special Issue
Helichrysum microphyllum subsp. tyrrhenicum, Its Root-Associated Microorganisms, and Wood Chips Represent an Integrated Green Technology for the Remediation of Petroleum Hydrocarbon-Contaminated Soils
 
 
Font Type:
Arial Georgia Verdana
Font Size:
Aa Aa Aa
Line Spacing:
Column Width:
Background:
Article

Sustainable Management of Sewage Sludge Using Dhaincha (Sesbania bispinosa (Jacq.) W.Wight) Cultivation: Studies on Heavy Metal Uptake and Characterization of Fibers

1
University of Zagreb, Faculty of Agriculture, Svetosimunska 25, 10000 Zagreb, Croatia
2
Department of Biology, College of Science, Princess Nourah bint Abdulrahman University, P.O. Box 84428, Riyadh 11671, Saudi Arabia
3
Agro-Ecology and Pollution Research Laboratory, Department of Zoology and Environmental Science, Gurukula Kangri (Deemed to Be University), Haridwar 249404, India
4
Department of Environment Science, Graphic Era (Deemed to be University), Dehradun 248002, India
5
Department of Agronomy, Faculty of Agronomy, University of Forestry, 10 Kliment Ohridski Blvd, 1797 Sofia, Bulgaria
6
Department of Plant Production, Faculty of Agriculture, Lebanese University, Beirut 1302, Lebanon
7
Department of Agricultural and Biosystems Engineering, University of Ilorin, PMB 1515, Ilorin 240103, Nigeria
8
Department of Agricultural Civil Engineering, Kyungpook National University, Daegu 41566, Republic of Korea
9
Key Laboratory of Environmental Biotechnology, Research Center for Eco-Environmental Sciences, Chinese Academy of Sciences, Beijing 100085, China
10
Department of Civil and Environmental Engineering, Federal University of Technology, Akure PMB 704, Nigeria
11
Biology Department, College of Science, King Khalid University, Abha 61321, Saudi Arabia
12
Biology Department, Faculty of Science and Arts, King Khalid University, Mohail Assir 61321, Saudi Arabia
13
Botany Department, Faculty of Science, Kafrelsheikh University, Kafr El-Sheikh 33516, Egypt
*
Authors to whom correspondence should be addressed.
Agronomy 2023, 13(4), 1066; https://doi.org/10.3390/agronomy13041066
Submission received: 14 March 2023 / Revised: 1 April 2023 / Accepted: 5 April 2023 / Published: 6 April 2023
(This article belongs to the Special Issue Bioremediation and Management for Sustainable Agriculture)

Abstract

In this study, the potential use of sewage sludge (SS) as a fertilizer source for cultivated Dhaincha (Sesbania bispinosa (Jacq.) W.Wight) crops was investigated. Field experiments were conducted using different doses of SS such as 0% (T0), 5% (T1), 10% (T2), and 15% (T3) to amend the soil (w/w). The findings showed that soil amended with SS significantly (p < 0.05) improved the response parameters of S. bispinosa with an increase in the dose of SS from 0% to 15%. In particular, the T3 treatment gave the best results (mean values) for plant growth and yield parameters such as plant height (380.59 cm), fresh weight (1.47 kg/plant), dry weight (0.27 kg/plant), base diameter (3.19 cm), seed yield (44.71 g/plant), total chlorophyll (3.15 mg/g fwt), carotenoids (0.88 mg/g fwt), carbohydrates (9.40 mg/g), and phenol (0.13 mg/g) contents. Moreover, the selected proximate and fiber characteristics of the S. bispinosa crop were significantly (p < 0.05) improved by the same treatment (T3); such as ash (7.25%), crude fiber (32.70%), crude protein (15.94%), lignin (24.60%), cellulose (37.25%), fiber weight (3.06 g/plant), stick weight (32.08 g/plant), fiber: stick ratio (0.10), fiber diameter (26.97 µm), ultimate tensile strength (855.98 MPa), strength (58.92 g/tex), density (1.54 g/cm3), and luster (45.65%) compared with the control treatment (T0). The bioaccumulation factor (BAF) studies showed that the S. bispinosa plant was capable of accumulating selected heavy metals from the soil following the order: Fe > Mn > Zn > Cu > Cd > Cr. The study suggested a sustainable approach for efficient soil fertilization and high-quality S. bispinosa fiber production that could minimize the environmental pollution caused by the unsafe disposal of SS.

1. Introduction

Sewage sludge (SS), being a by-product of the urban wastewater treatment process, contains a variety of organic and inorganic elements, including carbon (C), nitrogen (N), phosphorus (P), potassium (K), and heavy metals [1,2]. Nowadays, SS management is a major environmental and economic problem, as its unsafe disposal can cause serious environmental and health risks, including contamination of the soil and water sources [3]. However, the most common approach to SS management is to treat it before disposal, which can be accomplished through several methods, including physical, chemical, and biological treatments [4]. In particular, research communities have reported that physical (filtration, settling, and dewatering), chemical (addition of chemicals to reduce pollutants and pathogens), and biological (use of bacteria and other microorganisms to degrade pollutants and pathogens) are among the top methods for efficient SS management [5]. Moreover, SS can also be reutilized in a variety of ways, including composting, application to land, resource recovery, and energy recovery [6,7,8,9,10].
Reusing SS for crop cultivation is a viable way to recycle the nutrients and organic matter (OM) contained in SS back into the soil [11]. Recent studies have reported that SS can provide major plant nutrients, such as N, P, and K, as well as other essential trace elements including copper (Cu), iron (Fe), manganese (Mn), and zinc (Zn) [12,13]. When applied to agricultural land, SS can improve the soil’s fertility, reduce the need for chemical fertilizers, and improve crop yields. Efficacious results were obtained by other researchers when cultivating tomatoes (Lycopersicon esculentum Mill.) [14], pea (Pisum sativum L.) [15], mung bean (Vigna radiata L.) [16], and okra (Abelmoschus esculentus (L.) Moench) [17] crops using varying doses of SS in both pot-type and open-field experiments. However, the SS must be carefully managed to ensure that heavy metals and other contaminants do not accumulate in the soil or crop plants. Several authors have developed mathematical models for efficient monitoring and optimization of the SS dose for sustainable crop cultivation [18,19] without causing health risks to consumers.
Sesbania bispinosa [(Jacq.) W.Wight], commonly known as “dhaincha” in India and Bangladesh, is a deciduous shrub or small tree native to tropical and subtropical parts of Asia, Africa, and the Americas [20]. S. bispinosa is a fast-growing plant with nitrogen-fixing root nodules widely grown in the northern regions of India. S. bispinosa plants can be used for numerous industrial and commercial purposes, such as the production of paper pulp, textile manufacturing, and animal feed [21]. It is also used for medical applications, including wound dressings, surgical sutures, and biodegradable drug delivery systems [22,23]. The plant’s bark is used in traditional medicine to treat a variety of ailments. Pigeonpea (Cajanus cajan (L.) Millsp.) is a legume crop that is often grown in combination with S. bispinosa due to its complementary growth habits [24]. When used as green manure, the plant’s roots and leaves are incorporated into the soil, releasing N, P, and other minerals beneficial to the soil. S. bispinosa can also be used as a cover crop to reduce the growth of weeds and help to retain moisture in the soil [25].
Plant fibers offer natural advantages such as durability, strength, breathability, comfort, and versatility [26]. These characteristics can make plant fibers an ideal choice for many products and applications. S. bispinosa fiber production is a traditional practice in India. The fiber obtained from S. bispinosa can be used to make rope, cordage, and other materials. The fibers are extracted from the plant’s stem, which is harvested in late winter or early spring [21]. The fibers are extracted by retting or boiling after the stem has been dried. The fibers are then spun into yarn, which is used to make items such as bags, mats, and other fabrics. S. bispinosa fibers are strong and long-lasting, making them an excellent material for a wide range of applications [27].
Previously, no study has reported the use of SS for the cultivation of S. bispinosa. Keeping in view the aforementioned points, applying SS to a S. bispinosa crop could improve the soil’s fertility and provide a sustainable source of nutrients for the crop. Thus, the objective of this study was to evaluate the potential of using SS as a fertilizer for S. bispinosa crop production. The research also assessed the impact of applying SS on plant growth, yield, biochemical traits, and heavy metal accumulation through the proximate and quality characterization of the obtained S. bispinosa fibers. According to the findings of this study, a sustainable method for producing high-quality S. bispinosa fiber and fertilizing the soil effectively could reduce the environmental pollution brought on by improper disposal of SS. Therefore, the study may provide valuable information on the sustainable management of SS, the potential use of fiber plants as phytoremediation tools, and the characterization of the properties of the fibers of a lesser-known plant. The combination of these factors makes this research innovative and relevant to sustainable waste management.

2. Materials and Methods

2.1. Collection of Experimental Materials

For the present study, SS samples were collected from the drying area of the sewage treatment plant (STP) located in Saliyar, Roorkee, India (29°54′05.8′′ N, 77°51′53.8′′ E). The plant is designed to treat up to 33 million liters per day (MLD) or 33,000 m3/day of urban sewage water, and it is equipped with advanced technology for purification, disinfection, and recycling. Specifically, the SS samples were collected in high-density polyethylene (HDPE) bags with a 20 kg capacity and carefully transported to the experimental site. The collected SS was air-dried and mixed thoroughly to achieve uniform physicochemical and nutrient properties. High-quality S. bispinosa seeds (variety: Punjab Dhaincha 1) were procured from the local market of Nakur, Saharanpur, India (29°54′51.1′′ N, 77°18′02.0′′ E). This bold-seeded variety matures in just 150 days and has more root nodules; thus, it is commonly grown by local farmers for different purposes, including green manure, fiber, cattle fodder, and firewood.

2.2. Experimental Design and Conditions

The S. bispinosa cultivation experiments were conducted on the agricultural land of Kulheri village, Saharanpur District, India (29°52′51.8′′ N, 77°16′17.2′′ E). The experimental site is located in an average sunny condition, has well-drained soil, and has good air circulation. The selected land had no previous history of SS being applied. Figure 1 depicts the experimental design of the current study. In this study, a 5 × 5 m sized field bed was initially plowed and left for 10 days. Thereafter, 10 sowing points were marked in 8 lines i.e., 2 lines for each of 4 physically separated treatments (T0: control with no SS application; T1: 5% SS; T2: 10% SS; T3: 15% SS), thus 20 sowing points per treatment. For this, small pits (circumference of 25 cm) were made by digging the soil at each marked point, and proportional doses of SS (w/w of net soil volume and area) were mixed for the separate treatment groups. For propagation, one healthy S. bispinosa seed was placed in each pit at a depth of 4 cm and a spacing of 20 × 15 cm on 15 June 2021. The soil was kept moist until the seedlings fully emerged and then watered evenly using a borewell water supply. Regular pruning was carried out to eliminate any dead and diseased branches and leaves to encourage healthy growth. The crop was harvested on 2 December 2021 when the seeds had matured and subsequently used for characterization. During the S. bispinosa cultivation period, the average environmental parameters such as temperature, humidity, and light intensity of the experimental site were recorded as 27 °C, 68%, and 6800 lx, respectively. The best five replicates in each treatment were used for data collection and analysis.

2.3. Analytical Methods

2.3.1. Physicochemical and Heavy Metal Analyses

Prior to their use in experiments, the soil and SS samples (5 replicates) were analyzed for selected physicochemical and heavy metal parameters following standard methods [28]. Briefly, the pH and electrical conductivity of the soil and SS samples were analyzed using an ESICO 1611 (Parwanoo, India) digital meter. Similarly, the contents of organic matter (OM; Walkley and Black method [29]), nitrogen (N; Kjeldahl’s method [30]), phosphorus (P; spectrophotometer method), and potassium (K; flame photometer method) were determined by following standard protocols [24,25,26]. For analyses of the heavy metal, 1 g of soil, SS, and plant tissue samples were separately acid-digested in 10 mL of a di-acid mixture (1:3; HClO4 and HNO3) using a hot plate (180 °C) for 2 h until 5 mL of the contents remained. Afterward, the samples were cooled to room temperature, followed by the addition of a 3% HNO3 solution and filtered through 0.45 µm filter paper. The filtrate was further used for determining the concentrations of heavy metals using an atomic absorption spectrophotometer (AAS, Analyst 800, Agilent Technologies, Santa Clara, CA, USA) following the standard methods. The calibration and analytical conditions of the AAS were adjusted as per previously described by AL-Huqail et al. [31].

2.3.2. Growth, Biochemical, Proximate, and Fiber Analyses of S. bispinosa

S. bispinosa plants cultivated in different SS treatments were assessed for selected growth parameters such as plant height, fresh weight, dry weight, base diameter, and seed yield. Moreover, the biochemical constituents of S. bispinosa leaves, including total chlorophyll, carotenoids, carbohydrates, and total phenols, were also estimated by standard methods as previously described by Al-Huqail et al. [31] and Krishnan et al. [32]. Similarly, S. bispinosa plant stems were stacked for 3 days to sun-dry and then retted for 15 days by steeping in a water tank for extraction of the fiber. The fiber was characterized for selected proximate parameters such as total ash, crude fiber, crude protein, Klason lignin, and cellulose, as previously described by Sharma et al. [33]. Moreover, fiber and stick weight, fiber-to-stick ratio, fiber diameter, ultimate tensile strength, density, luster, and strength were measured [20,34,35]. A tensile test was adopted for measuring the ultimate tensile strength of S. bispinosa fibers [36]. For this, the fiber sample was placed in an automatic tensile testing machine (Texcare Instruments, Gautam Budh Nagar, India) for measuring the strength in megapascals and the amount of force applied. The relative luster of S. bispinosa fiber was measured using a gloss meter (ETB-0686, M&A Instruments, Arcadia, CA, USA). Finally, the fiber’s diameter was measured using a digital light microscope (Optika, B-383PLi, Ponteranica, Italy) equipped with size measurement software.

2.4. Data Analysis

Microsoft Excel (Version 2019, Microsoft Corp., Redmond, WA, USA) was used for the data analysis and visualization. The data obtained (mean ± standard deviation of five replicates) in this study were analyzed using one-way analysis of variance (ANOVA) and post hoc tests based on Tukey’s multiple comparisons. The level of statistical significance was based on a confidence interval of 95% (p < 0.05). Moreover, the heavy metal bioaccumulation capacity of the S. bispinosa plant was calculated using the bioaccumulation factor (BAF) [37] as given in Equations (1)–(4)
BAFL = HML/HMS
BAFFS = HMFS/HMS
BAFR = HMR/HMS
BAFSD = HMSD/HMS
where HM refers to the heavy metal concentration (mg/kg dwt) in the corresponding soil (S) and S. bispinosa plant tissues (L, leaves; FS, fiber stem; R, roots; SD, seeds).

3. Results and Discussion

3.1. Properties of Soil and Sewage Sludge Used in This Study

The properties of arable soil (AS), sewage sludge (SS), and experimental treatments used for S. bispinosa cultivation are reported in Table 1. The analysis of variance (ANOVA) revealed that there were significant differences (p < 0.05) between treatments. Moreover, the pH values ranged between 7.40 ± 0.04 and 7.89 ± 0.06 in the experimental treatments and were thus considered to be approximately neutral. Moreover, the SS had a pH of 8.13 ± 0.09, which can be considered suitable for use in agricultural practices, as indicated by Iticescu et al. [38]. These authors stated that SS with a pH of >6 has less potential to transfer heavy metals to agricultural soils. On the other hand, S. bispinosa can be grown on soils with high alkalinity (up to pH 10) [39], with optimum growth at a pH range of 4.5–7.2 [40]. The promising performance of Sesbania spp. was observed at pH 8.6, even under moderate salt stress [41]. A previous study by Prasad et al. [42]. on S. bispinosa also mentioned that a reduction in the soil pH from 9.3 to 8.1 resulted in a beneficial increase in total organic nitrogen of around 0.48%. The incorporation of 5%, 10%, and 15% SS to AS significantly increased (p < 0.05) the electrical conductivity (EC) of the experimental treatments (2.50 ± 0.02, 2.82 ± 0.05, and 3.13 ± 0.11 dS/m) compared with the control (AS). When assessing the potential impact of heavy metals, pH is an important factor to consider. Acidic conditions can increase the solubility and mobility of certain heavy metals, resulting in higher concentrations of these contaminants in the environment. Furthermore, a very low pH can also have adverse effects on plants, including reduced growth and reproduction [15].
Furthermore, all the experimental treatments belonged to the slightly saline soil classification (2.0–4.0 dS/m); therefore, no salt stress condition could be found. In all cases, S. bispinosa, like other Sesbania species, shows a moderate tolerance to salinity [40]. This has been recently confirmed by Zhu et al. [41], who successfully cultivated S. cannabina on soil with an EC value of 10.9 dS/m. The incorporation of 5%, 10%, and 15% SS to AS resulted in a significant increase in the organic matter (OM) in the experimental treatments (3.42 ± 007, 4.63 ± 0.09, and 5.38 ± 0.17%, respectively) in comparison with the control. Although the SS used in the present study had a relatively low OM compared with previous reports (51.6–63.5%) [43], it could help maintain good water infiltration and reduce the soil’s bulk density [44] when applied to agricultural soils. Moreover, the percentage of OM in the SS in the present study can be considered safe according to Solt [45]. It was reported that SS with an OM range of 20–45% is harmless and suitable for agriculture. The application of SS (5%, 10%, and 15%) to AS resulted in a significant increase (p < 0.05) in the nitrogen (N) content of the experimental treatments (2.97 ± 0.10, 4.20 ± 0.03, and 5.46 ± 0.09 g/kg, respectively). Although N is the most limiting factor of plant growth and development, high N rates can decrease the availability of K and P in the soil [46]. K deficiencies in agricultural soils can lead to reductions in the chlorophyll biosynthesis of the cultivated crops [47], whereas P deficiencies can inhibit plant growth [48]. However, the increased N content of the soil in the experimental treatments did not indicate the negative effects of any of these contents, which can therefore be considered safe. The P and K contents in the soil of the experimental treatments (5%, 10%, and 15% SS) were significantly increased (p < 0.05) in comparison with AS (2.07 ± 0.04, 2.65 ± 0.08, and 3.23 ± 0.16 g/kg for P; 0.39 ± 0.12, 0.62 ± 0.02, and 0.81 ± 0.02 g/kg for K, respectively). P plays a crucial role in inducing root development and improving the nutrient uptake of cultivated crops [49], whereas K regulates the nitrogen metabolism and C/N ratio, and improves enzymatic activities [50]. Heavy metals are potentially toxic elements [31] that can harm crops’ growth via agricultural soil pollution. This results in decreased productivity and quality, thus threatening the number and diversity of microbial populations [51,52].
In this study, cadmium (Cd), chromium (Cr), copper (Cu), iron (Fe), manganese (Mn), and zinc (Zn) were significantly increased (p < 0.05) in the experimental treatments in comparison with AS. More precisely, these contents varied across the following ranges: 0.27 ± 0.04–0.46 ± 0.05, 4.25 ± 0.12–5.13 ± 0.10, 7.36 ± 0.18–10.21 ± 1.88, 17.10 ± 0.52–23.26 ± 0.61, 10.22 ± 0.10–11.94 ± 0.16, and 6.40 ± 0.35–11.23 ± 1.05 mg/kg, respectively. They followed the order Fe > Mn > Cu > Zn > Cr > Cd. Among the experimental treatments, T1 (5% SS) and T3 (15% SS) had the lowest and highest heavy metal contents, respectively. Moreover, the control, including all experimental treatments, showed heavy metal contents far below the maximum values allowed by the Indian and European Union standards [53,54], which made these soils suitable for cultivating S. bispinosa.

3.2. Effects of Sewage Sludge on the Growth and Biochemical Traits of S. bispinosa

The effects of different loading rates of SS on the growth and biochemical characteristics of cultivated S. bispinosa are reported in Table 2. All the productive and compositional traits were improved in T1 (5% SS), T2 (10% SS), and T3 (15% SS) compared with the control (T0) following the order T3 > T2 > T1 > T0; thus, the improvement can be attributed to the incorporation of SS in the AS. Specifically, plant height, fresh weight, base diameter, seed yield, chlorophyll, carbohydrates, and total phenol contents increased significantly (p < 0.05) in T2 and T3 in comparison with T0 (control) (8.73–11.00%, 5.30–11.36%, 4.87–11.14%, 4.90–10.99%, 4.18–9.75%, 1.21–4.09%, and 20.00–30.00%, respectively). This increase in S. bispinosa plants’ height contradictrf previous claims that SS inhibited shrubs’ growth [55]. Prasad [42] reported a plant height of 200.0 ± 4.0 cm for S. bispinosa after 60 days of seeding. This value was 1.7-fold lower than the results observed in the current study when compared with the control.
This can be possibly attributed to the difference in soil properties; herein, the soil was approximately neutral, while it was alkaline in the aforementioned study. In addition, S. bispinosa was reported to reach a height of 209 ± 8.85 cm after 60 days of seeding, being lower by 1.6-fold than results obtained for the control in the present study. Moreover, the incorporation of SS in AS revealed similar plant heights to those observed for other Sesbania species supplemented with N and P fertilizers after 163 days of seeding (357.2 cm) [41]. Prasad [42] mentioned a fresh weight of 12 t/ha for S. bispinosa after 60 days of seeding. Chandra et al. [35] described a base diameter of 1.24 ± 0.05 cm after 60 days of seeding that was lower by 2.3-fold than the one observed in the control of the present study. These researchers also stated that S. bispinosa had a seed yield of 31.19 ± 1.67 g/plant after 60 days of seeding, which was lower than the value observed for control in the current study by 1.3-fold. Zhu et al. [35] reported a chlorophyll content of 1.5–2.4 mg/g fwt for Sesbania spp. after 141 days of seeding, which was 1.2–1.9-fold lower than that detected in T0. The carbohydrate content in several Sesbania species was reported to be in the range of 7.8–11.67 mg/g [56], which corroborates our findings. Rathod et al. [57] presented a total phenol content of 14.4 mg/g for Sesbania grandiflora L., which was far higher than our findings. The reason for the large difference could be species-dependent. Only T3 had a significantly higher (p < 0.05) dry weight in comparison with T0 (0.27 ± 0.01 and 0.24 ± 0.01 kg/plant, respectively). In this regard, Zhu et al. [41] found that S. cannabina, supplemented with N and P fertilizers, had a dry weight of 9.3–16.4 t/ha after 163 days of seeding. The incorporation of SS in AS in different proportions (5%, 10%, and 15%) led to a significant increase (p < 0.05) in the carotenoid content (0.42 ± 0.02, 0.57 ± 0.06, and 0.88 ± 0.09 mg/g, respectively). The carotenoid content of S. cannabina was previously reported to be in the range of 0.25–0.80 mg/g fwt after 141 days of seeding [41], which corroborates our findings.

3.3. Effects of Sewage Sludge on Heavy Metal Uptake by S. bispinosa

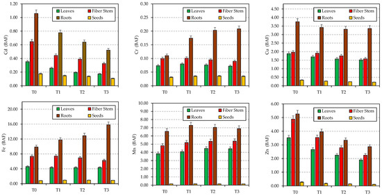
Table 3 shows the heavy metal concentration (mg/kg dwt) in different parts of the cultivated S. bispinosa plants as influenced by the application of different loading rates of SS. In this study, it was observed that the impact of SS on heavy metal accumulation in the roots, leaves, stems, and seeds of the S. bispinosa plant depended on the available concentration of metals present in the SS, as well as the amount of SS applied to the soil. In general, the more sludge was applied to the soil, the higher the accumulation of metal observed in S. bispinosa plants. The results showed that the heavy metal concentration in S. bispinosa plant parts was significantly (p < 0.05) increased in SS-based treatments. However, the SS amendment rate (0–15%) had a relatively low (non-significant; p > 0.05) influence on the accumulation of Cd and Cr. The highest contents of Cd (0.24 ± 0.01 mg/kg), Cr (1.07 ± 0.06 mg/kg), Cu (34.30 ± 2.28 mg/kg), Fe (367.26 ± 45.70 mg/kg), Mn (82.30 ± 4.11 mg/kg), and Zn (32.19 ± 1.27 mg/kg) were found in the roots of the T3 treatment, whereas the minimum values were observed in the seeds of the control treatment (Cd, 0.03 ± 0.01; Cr, 0.12 ± 0.01; Cu, 1.93 ± 0.04; Fe, 12.60 ± 0.44; Mn, 1.37 ± 0.05; Zn, 1.10 ± 0.02 mg/kg). However, no significant (p > 0.05) difference was observed for the heavy metal concentrations in T2 and T3 treatments, which suggests that the SS mixing rate of 10% was more appropriate than 15%. On the other hand, bioaccumulation occurs when heavy metals are released into the soil and are further absorbed by plant roots, causing a gradual increase in the accumulation of those metals in their vegetative tissues. The bioaccumulation factor BAF is used to measure the concentration of heavy metals in the tissues of the plant and is often used to determine the level of metal contamination in the environment. The BAF studies showed that the incorporation of SS contributed to an increase in the BAF values for Cr, Fe, and Mn, while a decrease in the BAF values was observed for Cd, Cu, and Zn (Figure 2). Specifically, the highest BAF values were reported for Fe, followed by Mn, Zn, Cu, Cd, and Cr. Moreover, significant variation was observed in the BAF values of the same heavy metal among different S. bispinosa plant parts, where the roots showed maximum BAF levels followed by the fiber stems, leaves, and seeds.
Heavy metal accumulation in plants might be influenced by several physicochemical and nutrient properties of the soil, such as pH and OM. Previous studies have confirmed that heavy metal accumulation in plants is greatest when SS is applied to soils with an appropriate OM and a low pH [18], which is in accordance with the findings reported in the present work. In their study, Ahmad et al. [58] found that Sesbania spp. was able to accumulate eight heavy metals from soils contaminated with industrial wastes in New Delhi, India. The BAF values of the heavy metals were >1 (Fe, 6.25; Zn, 26.27; Cu, 80.67; Cr, 88.97; Pb, 7.98; Cd, 57.56; Hg, 12.50; As, 35.00), indicating that Sesbania species are a strong bioaccumulators and could be utilized for the decontamination of polluted soils. A report by Eid et al. [14] studied heavy metal bioaccumulation in tomato (L. esculentum) cultivated using different loading rates (0, 10, 20, 30, and 40 g/kg) of SS. The authors found that the BAF values (>1) of eight heavy metals (Al, Cr, Cu, Fe, Mn, Ni, Pb, and Zn) increased with an increase in the SS loading rate. Moreover, the level of heavy metal accumulation was found to be strongly influenced by the pH, OM, and bioavailable heavy metal load in soils mixed with SS. This study focused on the uptake of heavy metals by S. bispinosa from SS-amended soils. However, we did not investigate the potential health risks associated with the use of the plant’s fibers in industrial applications. The bioaccumulation of heavy metals by plants depends on several factors, including the concentration and duration of the exposure, the plant species, and the environmental conditions [15]. Thus, it is possible that S. bispinosa grown in SS may contain elevated levels of heavy metals that may pose a risk in some industrial applications.

3.4. Effects of Sewage Sludge on Proximate and Fiber Properties of S. bispinosa

The results showing the effects of applying SS on selected the proximate and fiber properties of the S. bispinosa plant are presented in Table 4. It was found that the application of SS significantly (p < 0.05) altered the proximate composition of fibers obtained from S. bispinosa plants, including the contents of proteins, carbohydrates, and lipids. In particular, an increasing order of proximate contents in different experimental treatments was observed as follows: T0 (control) < T1 < T2 < T3. Herein, the highest ash (7.25 ± 0.03%), crude fiber (32.70 ± 0.12%), crude protein (15.94 ± 0.25%), lignin (24.60 ± 0.56), and cellulose (37.25 ± 0.90%) contents were observed in T3 compared with the control treatment. However, no significant difference (p > 0.05) in the values of the proximate parameters was observed between the T2 and T3 treatments, thus showing that an SS mixing rate of >10% was not feasible. These increases in the proximate parameters might be associated with the nutrients added by the application of SS, which aided in the efficient growth of S. bispinosa plants. By supplying vital nutrients for growth, such as N, P, and K, SS might have improved the plants’ proximate parameters. The OM present in SS also contributes to improvements in the soil’s fertility, which can support the growth of plants. On the other hand, the characteristics of S. bispinosa fibers were also found to increase with an increase in the SS mixing rate (0 to 15%). In this study, the highest weight of fibers and sticks was obtained in the T3 treatment, i.e., 3.06 ± 0.10 and 32.08 ± 1.04 g/plant, respectively, with a fiber-to-stick ratio of 0.10 ± 0.02. In contrast, no significant (p > 0.05) improvement in the fibers’ diameter was observed after the application of SS. The best ultimate tensile strength and strength were recorded as 855.98 ± 27.65 MPa and 58.92 ± 1.90 g/tex, respectively, in the same treatment (T3). The tensile strength is strongly associated with proximate constituents of plant fibers. However, the tensile strength of plant-based fibers is lower than that of commercial fibers such as Kevlar aramid and carbon fiber (>1000 MPa) [59]. Similarly, the density of S. bispinosa fibers was improved after the application of SS (from 1.39 ± 0.03 in the control to 1.54 ± 0.05 g/cm3 in the T3 treatment).
It was reported that plants with a high cellulose and lignin content typically have a better fiber quality than those with less cellulose and lignin [60,61]. Cellulose, as a main component of plant fiber, is responsible for its strength. Since cellulose is a long chain of glucose molecules that are linked together to form a rigid structure, this rigid structure gives plant fibers their strength and durability [62]. Previously, Chanda et al. [20] studied the proximate and fiber characteristics of three Sesbania species (S. bispinosa, S. cannabina, and S. sesban) collected from Bangladesh. They observed that S. cannabina and S. bispinosa had higher yield, growth, and proximate parameters, which contributed to better fiber quality compared with S. sesban. Similarly, Kabir et al. [63] also reported the proximate composition of selected 40 S. bispinosa accessions collected from four regions of Bangladesh. They found significant variation in the proximate constituents of selected accessions. Thus, it was observed that the S. bispinosa plant’s higher proximate parameters in SS-based treatments contributed to increasing the quality of the fiber obtained.

4. Conclusions

This study concluded that the dhaincha (Sesbania bispinosa (Jacq.) W.Wight) crop grown on soils amended with varying doses of SS yielded promising results. The addition of SS improved the physicochemical and nutrient composition of the soil. Overall, the application of SS significantly (p < 0.05) increased the yield, biochemical, proximate, heavy metal, and fiber characteristics of S. bispinosa in the following order T0 < T1 < T2 < T3. In this regard, the best S. bispinosa crop performance was observed in the T3 treatment. S. bispinosa has demonstrated its ability to absorb heavy metals from the soil, thus reducing their bioavailability and potentially toxic effects, as indicated by the bioaccumulation factor (BAF > 1) values. This study indicated that S. bispinosa has the potential to be a viable option for the sustainable and productive use of SS, as well as to improve soil fertility and reduce the environmental impact of SS disposal. Since this is a preliminary study carried out in a single season, evaluating the effect of SS on S. bispinosa in multiple seasons is desirable. Further studies on biomonitoring the uptake of other potentially toxic heavy metals as well as a characterization of cultivated crops using other instrumental measurement techniques are highly recommended. Additional studies should be conducted to assess the effects of S. bispinosa on soil fertility and its potential as a green manure crop.

Author Contributions

Conceptualization, I.Š., P.K. and E.M.E.; data curation, P.K.; formal analysis, P.K. and M.G.; funding acquisition, I.Š., A.A.A.-H. and M.A.T.; investigation, P.K. and M.G.; methodology, P.K. and E.M.E.; project administration, A.A.A.-H., M.A.T. and E.M.E.; resources, V.K.; software, M.G.; supervision, P.K.; validation, I.Š., A.A.A.-H., S.A.F., B.A., F.O.A., S.A.A., S.A.M.A., M.A.T., J.S., V.K. and E.M.E.; visualization, P.K. and M.G.; writing—original draft, P.K. and S.A.F.; writing—review and editing, I.Š., A.A.A.-H., B.A., F.O.A., S.A.A., S.A.M.A., M.A.T., J.S., V.K. and E.M.E. All authors have read and agreed to the published version of the manuscript.

Funding

This research was funded by Princess Nourah bint Abdulrahman University Researchers Supporting Project (number PNURSP2023R93), Princess Nourah bint Abdulrahman University, Riyadh, Saudi Arabia. This research was funded by the Deanship of Scientific Research at King Khalid University, Abha, Saudi Arabia (grant number RGP.2/220/44).

Data Availability Statement

Not applicable.

Acknowledgments

The authors are grateful to their host institutes for providing the necessary facilities to conduct this study. This is joint work by the members of the Sustainable Agro-Environment International Research Group (SAEIRG). Pankaj Kumar is grateful to his father, Sh. Rakam Singh, for invaluable assistance with the field experiments. The publication was supported by the Open Access Publication Fund of the University of Zagreb’s Faculty of Agriculture. The authors express their gratitude to Princess Nourah bint Abdulrahman University Researchers Supporting Project (number PNURSP2023R93), Princess Nourah bint Abdulrahman University, Riyadh, Saudi Arabia. The authors extend their appreciation to the Deanship of Scientific Research at King Khalid University, Abha, Saudi Arabia, for funding this work through the Research Group Project under grant number RGP.2/220/44. All individuals included in this section have consented to the acknowledgement.

Conflicts of Interest

The authors declare no conflict of interest.

References

  1. Banjoko, B.; Sridhar, C.M.K. Upgrading Wastewater Treatment Systems for Urban Water Reuse. In Urban Water Reuse Handbook; CRC Press: Boca Raton, FL, USA, 2016; pp. 497–516. [Google Scholar]
  2. Adelodun, B.; Kumar, P.; Odey, G.; Ajibade, F.O.; Ibrahim, R.G.; Alamri, S.A.M.; Alrumman, S.A.; Eid, E.M.; Kumar, V.; Adeyemi, K.A.; et al. A Safe Haven of SARS-CoV-2 in the Environment: Prevalence and Potential Transmission Risks in the Effluent, Sludge, and Biosolids. Geosci. Front. 2022, 13, 101373. [Google Scholar] [CrossRef]
  3. Kacprzak, M.; Neczaj, E.; Fijałkowski, K.; Grobelak, A.; Grosser, A.; Worwag, M.; Rorat, A.; Brattebo, H.; Almås, Å.; Singh, B.R. Sewage Sludge Disposal Strategies for Sustainable Development. Environ. Res. 2017, 156, 39–46. [Google Scholar] [CrossRef] [PubMed]
  4. Kelessidis, A.; Stasinakis, A.S. Comparative Study of the Methods Used for Treatment and Final Disposal of Sewage Sludge in European Countries. Waste Manag. 2012, 32, 1186–1195. [Google Scholar] [CrossRef] [PubMed]
  5. Przydatek, G.; Wota, A.K. Analysis of the Comprehensive Management of Sewage Sludge in Poland. J. Mater. Cycles Waste Manag. 2020, 22, 80–88. [Google Scholar] [CrossRef]
  6. Kominko, H.; Gorazda, K.; Wzorek, Z.; Wojtas, K. Sustainable Management of Sewage Sludge for the Production of Organo-Mineral Fertilizers. Waste Biomass Valorization 2018, 9, 1817–1826. [Google Scholar] [CrossRef]
  7. Xue, T.; Huang, X. Releasing Characteristics of Phosphorus and Other Substances during Thermal Treatment of Excess Sludge. J. Environ. Sci. 2007, 19, 1153–1158. [Google Scholar] [CrossRef]
  8. Adam, C.; Kley, G.; Simon, F.-G. Thermal Treatment of Municipal Sewage Sludge Aiming at Marketable P-Fertilisers. Mater. Trans. 2007, 48, 3056–3061. [Google Scholar] [CrossRef]
  9. Cieślik, B.; Konieczka, P. A Review of Phosphorus Recovery Methods at Various Steps of Wastewater Treatment and Sewage Sludge Management. The Concept of “No Solid Waste Generation” and Analytical Methods. J. Clean. Prod. 2017, 142, 1728–1740. [Google Scholar] [CrossRef]
  10. Świerczek, L.; Cieślik, B.M.; Konieczka, P. The Potential of Raw Sewage Sludge in Construction Industry—A Review. J. Clean. Prod. 2018, 200, 342–356. [Google Scholar] [CrossRef]
  11. Breda, C.C.; Soares, M.B.; Tavanti, R.F.R.; Viana, D.G.; Freddi, O.D.S.; Piedade, A.R.; Mahl, D.; Traballi, R.C.; Guerrini, I.A. Successive Sewage Sludge Fertilization: Recycling for Sustainable Agriculture. Waste Manag. 2020, 109, 38–50. [Google Scholar] [CrossRef]
  12. Kirchmann, H.; Börjesson, G.; Kätterer, T.; Cohen, Y. From Agricultural Use of Sewage Sludge to Nutrient Extraction: A Soil Science Outlook. Ambio 2017, 46, 143–154. [Google Scholar] [CrossRef] [PubMed]
  13. da Silva, W.R.; do Nascimento, C.W.A.; da Silva, F.B.V.; de Souza, A.A.B.; Fracetto, G.G.M.; de Sá Veloso Ximenes, D.H. Effects of Sewage Sludge Stabilization Processes on Soil Fertility, Mineral Composition, and Grain Yield of Maize in Successive Cropping. J. Soil. Sci. Plant. Nutr. 2021, 21, 1076–1088. [Google Scholar] [CrossRef]
  14. Eid, E.M.; Shaltout, K.H.; Alamri, S.A.M.; Alrumman, S.A.; Hussain, A.A.; Sewelam, N.; El-Bebany, A.F.; Alfarhan, A.H.; Picó, Y.; Barcelo, D. Prediction Models Based on Soil Properties for Evaluating the Uptake of Eight Heavy Metals by Tomato Plant (Lycopersicon esculentum Mill.) Grown in Agricultural Soils Amended with Sewage Sludge. J. Environ. Chem. Eng. 2021, 9, 105977. [Google Scholar] [CrossRef]
  15. Eid, E.M.; El-Bebany, A.F.; Taher, M.A.; Alrumman, S.A.; Galal, T.M.; Shaltout, K.H.; Sewelam, N.A.; Ahmed, M.T. Heavy Metal Bioaccumulation, Growth Characteristics, and Yield of Pisum sativum L. Grown in Agricultural Soil-Sewage Sludge Mixtures. Plants 2020, 9, 1300. [Google Scholar] [CrossRef]
  16. Singh, R.P.; Agrawal, M. Effect of Different Sewage Sludge Applications on Growth and Yield of Vigna radiata L. Field Crop: Metal Uptake by Plant. Ecol. Eng. 2010, 36, 969–972. [Google Scholar] [CrossRef]
  17. Kumar, P.; Alamri, S.A.M.; Alrumman, S.A.; Eid, E.M.; Adelodun, B.; Goala, M.; Choi, K.S.; Kumar, V. Foliar Use of TiO2-Nanoparticles for Okra (Abelmoschus esculentus L. Moench) Cultivation on Sewage Sludge–Amended Soils: Biochemical Response and Heavy Metal Accumulation. Environ. Sci. Pollut. Res. 2022, 29, 66507–66518. [Google Scholar] [CrossRef] [PubMed]
  18. Eid, E.M.; Khedher, K.M.; Ayed, H.; Arshad, M.; Mouldi, A.; Shaltout, K.H.; Sewelam, N.A.; Galal, T.M.; El-Bebany, A.F.; Alshehri, A.M.A. Prediction Models Based on Soil Properties for Evaluating the Heavy Metal Uptake into Hordeum vulgare L. Grown in Agricultural Soils Amended with Different Rates of Sewage Sludge. Int. J. Environ. Health Res. 2022, 32, 106–120. [Google Scholar] [CrossRef]
  19. Shaltout, K.H.; Alamri, S.A.M.; Alrumman, S.A.; Hussain, A.A.; Sewelam, N.; Eid, E.M. Evaluation of Uptake of Eight Metals by Sorghum bicolor Grown in Arable Soil Combined with Sewage Sludge Based on Prediction Models. Environ. Monit. Assess. 2021, 193, 510. [Google Scholar] [CrossRef]
  20. Chanda, S.; Hossain, M.; Uddin, M.; Islam, M.; Sarwar, A.G. Fiber Yield, Physical and Biochemical Properties of Three Species of Sesbania. Bangladesh Agron. J. 2019, 21, 79–85. [Google Scholar] [CrossRef]
  21. Bunma, S.; Balslev, H. A Review of the Economic Botany of Sesbania (Leguminosae). Bot. Rev. 2019, 85, 185–251. [Google Scholar] [CrossRef]
  22. Gomase, P.; Gomase, P.; Anjum, S.; Shakil, S.; Shahnavaj, K.M. Sesbania Sesban Linn: A Review on Its Ethnobotany, Phytochemical and Pharmacological Profile. Asian J. Biomed. Pharm. Sci. 2012, 2, 11–14. [Google Scholar]
  23. Akram, M.; Siddique, A.; Laila, U.; Ghotekar, S. Traditional Use, Phytochemistry and Pharmacology of Genus Sesbania: A Review. Adv. J. Sci. Eng. 2021, 2, 64–68. [Google Scholar]
  24. Dwivedi, A.; Singh, A.; Naresh, R.K.; Kumar, M.; Kumar, V.; Bankoti, P.; Sharma, D.K.; Thaneshwar; Singh, A.; Singh, O. Towards Sustainable Intensification of Maize (Zea mays L.) + Legume Intercropping Systems; Experiences; Challenges and Opportunities in India; A Critical Review. J. Pure Appl. Microbiol. 2016, 10, 725–740. [Google Scholar]
  25. Kumar, R.; Mahajan, G.; Srivastava, S.; Sinha, A. Green Manuring: A Boon for Sustainable Agriculture and Pest Management—A Review. Agric. Rev. 2014, 35, 196. [Google Scholar] [CrossRef]
  26. Shahid-ul-Islam; Shahid, M.; Mohammad, F. Perspectives for Natural Product Based Agents Derived from Industrial Plants in Textile Applications—A Review. J. Clean. Prod. 2013, 57, 2–18. [Google Scholar] [CrossRef]
  27. Singh, N.; Rani, A. Needle Punched Non Woven of Sesbania aculeate (Dhaincha) Fibre. Int. J. Text. Fash. Technol. (IJTFT) 2014, 4, 7–12. [Google Scholar]
  28. Latimer, G.W. Official Methods of Analysis of AOAC International, 21st ed.; AOAC International: Rockville, MD, USA, 2019. [Google Scholar]
  29. Walkley, A.; Black, I.A. An Examination of the Degtjareff Method for Determining Soil Organic Matter, and a Proposed Modification of the Chromic Acid Titration Method. Soil. Sci. 1934, 37, 29–38. [Google Scholar] [CrossRef]
  30. Chromý, V.; Vinklárková, B.; Šprongl, L.; Bittová, M. The Kjeldahl Method as a Primary Reference Procedure for Total Protein in Certified Reference Materials Used in Clinical Chemistry. I. A Review of Kjeldahl Methods Adopted by Laboratory Medicine. Crit. Rev. Anal. Chem. 2015, 45, 106–111. [Google Scholar] [CrossRef]
  31. AL-Huqail, A.A.; Kumar, P.; Eid, E.M.; Adelodun, B.; Abou Fayssal, S.; Singh, J.; Arya, A.K.; Goala, M.; Kumar, V.; Širić, I. Risk Assessment of Heavy Metals Contamination in Soil and Two Rice (Oryza sativa L.) Varieties Irrigated with Paper Mill Effluent. Agriculture 2022, 12, 1864. [Google Scholar] [CrossRef]
  32. Krishnan, H.B.; Oehrle, N.W.; Alaswad, A.A.; Stevens, W.G.; Maria John, K.M.; Luthria, D.L.; Natarajan, S.S. Biochemical and Anatomical Investigation of Sesbania herbacea (Mill.) Mcvaugh Nodules Grown under Flooded and Non-Flooded Conditions. Int. J. Mol. Sci. 2019, 20, 1824. [Google Scholar] [CrossRef]
  33. Sharma, D.K.; Dave, R.S.; Shah, K.R. Proximate Analysis and Evolution of Energy Value from Leaves and Stem of Sword Fern: Nephrolepis Exaltata. Int. Res. J. Pure Appl. Chem. 2020, 21, 10–17. [Google Scholar] [CrossRef]
  34. Mukul, M.M.; Akter, N.; Islam, M.M.; Bhuiyan, M.S.H.; Mostofa, M.G.; Ghosh, R.K.; Saha, C.K.; Ali, M.A. Morpho-Phenetical Study Of High Yielding Tossa Jute Variety Bjri Tossa Pat 7 (Mg-1) For Bast Fibre Yield And Qualities. Heliyon 2021, 7, e08129. [Google Scholar] [CrossRef] [PubMed]
  35. Chanda, S.C.; Abdullah, M.R.; Razzak, M.A.; Sarwar, A.K.M.G. Morphological and Physiological Characterization of Sesbania Genotypes. Legume Res. 2021, 44, 1087–1091. [Google Scholar] [CrossRef]
  36. Singh, N.; Rani, A. Extraction and Processing of Fiber from Sesbania aculeata (Dhaincha) for Preparation of Needle Punched Nonwoven Fabric. Natl. Acad. Sci. Lett. 2013, 36, 489–492. [Google Scholar] [CrossRef]
  37. Eid, E.M.; Shaltout, K.H. Bioaccumulation and Translocation of Heavy Metals by Nine Native Plant Species Grown at a Sewage Sludge Dump Site. Int. J. Phytoremediat. 2016, 18, 1075–1085. [Google Scholar] [CrossRef] [PubMed]
  38. Iticescu, C.; Georgescu, P.L.; Arseni, M.; Rosu, A.; Timofti, M.; Carp, G.; Cioca, L.I. Optimal Solutions for the Use of Sewage Sludge on Agricultural Lands. Water 2021, 13, 585. [Google Scholar] [CrossRef]
  39. Orwa, C.; Mutua, A.; Kindt, R.; Jamnadass, R.; Simons, A.J. A Tree Reference and Selection Guide Version 4.0; World Agroforestry Centre: Nairobi, Kenya, 2009; Volume 4. [Google Scholar]
  40. Yost, R.; Evans, D. Green Manures and Legume Covers in the Tropics; University of Hawaii: Honolulu, HI, USA, 1988. [Google Scholar]
  41. Zhu, G.; Xu, Y.; Xu, Z.; Ahmad, I.; Nimir, N.E.A.; Zhou, G. Improving Productivity of Sesbania Pea in Saline Soils by Enhancing Antioxidant Capacity with Optimum Application of Nitrogen and Phosphate Combination. Front. Plant. Sci. 2022, 13, 1027227. [Google Scholar] [CrossRef]
  42. Prasad, M.N.V. Bioresource Potential of Sesbania Bispinosa (Jacq.) W.F. Wight. Bioresour. Technol. 1993, 44, 251–254. [Google Scholar] [CrossRef]
  43. Romanos, D.; Nemer, N.; Khairallah, Y.; Abi Saab, M.T. Assessing the Quality of Sewage Sludge as an Agricultural Soil Amendment in Mediterranean Habitats. Int. J. Recycl. Org. Waste Agric. 2019, 8, 377–383. [Google Scholar] [CrossRef]
  44. Roig, N.; Sierra, J.; Martí, E.; Nadal, M.; Schuhmacher, M.; Domingo, J.L. Long-Term Amendment of Spanish Soils with Sewage Sludge: Effects on Soil Functioning. Agric. Ecosyst. Environ. 2012, 158, 41–48. [Google Scholar] [CrossRef]
  45. Solt, G. An Introduction for Environmental Scientists and Engineers, 3rd ed.; IWA Publishing: London, UK, 2000; Volume 78. [Google Scholar]
  46. Sun, J.; Li, W.; Li, C.; Chang, W.; Zhang, S.; Zeng, Y.; Zeng, C.; Peng, M. Effect of Different Rates of Nitrogen Fertilization on Crop Yield, Soil Properties and Leaf Physiological Attributes in Banana Under Subtropical Regions of China. Front. Plant. Sci. 2020, 11, 613760. [Google Scholar] [CrossRef] [PubMed]
  47. Thornburg, T.E.; Liu, J.; Li, Q.; Xue, H.; Wang, G.; Li, L.; Fontana, J.E.; Davis, K.E.; Liu, W.; Zhang, B.; et al. Potassium Deficiency Significantly Affected Plant Growth and Development as Well as MicroRNA-Mediated Mechanism in Wheat (Triticum aestivum L.). Front. Plant. Sci. 2020, 11, 1219. [Google Scholar] [CrossRef]
  48. Meng, X.; Chen, W.W.; Wang, Y.Y.; Huang, Z.R.; Ye, X.; Chen, L.S.; Yang, L.T. Effects of Phosphorus Deficiency on the Absorption of Mineral Nutrients, Photosynthetic System Performance and Antioxidant Metabolism in Citrus Grandis. PLoS ONE 2021, 16, e0246944. [Google Scholar] [CrossRef] [PubMed]
  49. Mitran, T.; Meena, R.S.; Lal, R.; Layek, J.; Kumar, S.; Datta, R. Role of Soil Phosphorus on Legume Production. In Legumes for Soil Health and Sustainable Management; Springer: Singapore, 2018; pp. 487–510. [Google Scholar]
  50. Xu, X.; Du, X.; Wang, F.; Sha, J.; Chen, Q.; Tian, G.; Zhu, Z.; Ge, S.; Jiang, Y. Effects of Potassium Levels on Plant Growth, Accumulation and Distribution of Carbon, and Nitrate Metabolism in Apple Dwarf Rootstock Seedlings. Front. Plant. Sci. 2020, 11, 904. [Google Scholar] [CrossRef] [PubMed]
  51. Singh, S.; Parihar, P.; Singh, R.; Singh, V.P.; Prasad, S.M. Heavy Metal Tolerance in Plants: Role of Transcriptomics, Proteomics, Metabolomics, and Ionomics. Front. Plant. Sci. 2016, 6, 1143. [Google Scholar] [CrossRef]
  52. Xie, Y.; Fan, J.; Zhu, W.; Amombo, E.; Lou, Y.; Chen, L.; Fu, J. Effect of Heavy Metals Pollution on Soil Microbial Diversity and Bermudagrass Genetic Variation. Front. Plant. Sci. 2016, 7, 755. [Google Scholar] [CrossRef]
  53. Awasthi, S.K. Prevention of Food Adulteration Act. No. 37 of 1954. Central and State Rules as Amended for 1999, 3rd ed.; Ashoka Law House: New Delhi, India, 2000. [Google Scholar]
  54. Holm, O.; Hansen, E.; Lassen, C.; Stuer-Lauridsen, F.; Jesper, K. Heavy Metals in Waste–Final Report. European Commission DG ENV. E3, Project ENV. E; COWI: Lyngby, Denmark, 2002. [Google Scholar]
  55. Ferreiro-Domínguez, N.; Rigueiro-Rodríguez, A.; Bianchetto, E.; Mosquera-Losada, M.R. Effect of Lime and Sewage Sludge Fertilisation on Tree and Understory Interaction in a Silvopastoral System. Agric. Ecosyst. Environ. 2014, 188, 72–79. [Google Scholar] [CrossRef]
  56. Kadam, V.B.; Ahire, P.P.; Wadikar, M.S.; Sumia, F. Evaluation of Carbohydrate Content in Three Medicinal Plants of Genus Sesbania in Maharashtra. J. Drug. Deliv. Ther. 2013, 3, 49–51. [Google Scholar] [CrossRef]
  57. Rathod, V.K.; Keerthiga, G.; Gharat, N.N. Kinetics of Extraction of Total Phenolic Content from Sesbania grandiflora L. Leaves Using Ultrasound. Indian Chem. Eng. 2022, 64, 266–276. [Google Scholar] [CrossRef]
  58. Ahmad, A.; Ghufran, R.; Zularisam, A.W. Phytosequestration of Metals in Selected Plants Growing on a Contaminated Okhla Industrial Areas, Okhla, New Delhi, India. Water Air Soil. Pollut. 2011, 217, 255–266. [Google Scholar] [CrossRef]
  59. Wang, S.; Jiang, F.; Xu, X.; Kuang, Y.; Fu, K.; Hitz, E.; Hu, L. Super-Strong, Super-Stiff Macrofibers with Aligned, Long Bacterial Cellulose Nanofibers. Adv. Mater. 2017, 29, 1702498. [Google Scholar] [CrossRef] [PubMed]
  60. Poletto, M.; Ornaghi Júnior, H.L.; Zattera, A.J. Native Cellulose: Structure, Characterization and Thermal Properties. Materials 2014, 7, 6105–6119. [Google Scholar] [CrossRef] [PubMed]
  61. Evans, D.O.; Rotar, P.P. Sesbania in Agriculture; CRC Press: Boca Raton, FL, USA, 2020; ISBN 9780429305856. [Google Scholar]
  62. Pan, Z.; Sun, D.; Sun, J.; Zhou, Z.; Jia, Y.; Pang, B.; Ma, Z.; Du, X. Effects of Fiber Wax and Cellulose Content on Colored Cotton Fiber Quality. Euphytica 2010, 173, 141–149. [Google Scholar] [CrossRef]
  63. Kabir, A.K.M.A.; Moniruzzaman, M.; Gulshan, Z.; Rahman, A.B.M.M.; Sarwar, A.K.M.G. Biomass Yield, Chemical Composition and In Vitro Gas Production of Different Dhaincha (Sesbania spp.) Accessions from Bangladesh. Indian J. Anim. Nutr. 2018, 35, 397. [Google Scholar] [CrossRef]
Figure 1. Experimental layout for the cultivation and characterization of dhaincha (S. bispinosa).
Figure 1. Experimental layout for the cultivation and characterization of dhaincha (S. bispinosa).
Agronomy 13 01066 g001
Figure 2. Bioaccumulation factor (BAF) of selected heavy metals in dhaincha (S. bispinosa) plant parts grown with different loading rates of sewage sludge (T0, 0% as the control; T1, 5%; T2, 10%; T3, 15%).
Figure 2. Bioaccumulation factor (BAF) of selected heavy metals in dhaincha (S. bispinosa) plant parts grown with different loading rates of sewage sludge (T0, 0% as the control; T1, 5%; T2, 10%; T3, 15%).
Agronomy 13 01066 g002
Table 1. Properties of the experimental arable soil and sewage sludge used for the dhaincha (S. bispinosa) cultivation experiments.
Table 1. Properties of the experimental arable soil and sewage sludge used for the dhaincha (S. bispinosa) cultivation experiments.
PropertiesSewage Sludge (SS)Arable Soil
(T0: AS)
Experimental Treatments
T1: 5% SST2: 10% SST3: 15% SS
pH8.13 ± 0.09 d7.31 ± 0.05 a7.40 ± 0.04 a7.57 ± 0.03 b7.89 ± 0.06 c
Electrical conductivity (EC: dS/m)6.26 ± 0.19 e2.19 ± 0.13 a2.50 ± 0.02 b2.82 ± 0.05 c3.13 ± 0.11 d
Organic matter (OM: %)18.95 ± 3.30 e2.55 ± 0.15 a3.42 ± 0.07 b4.63 ± 0.09 c5.38 ± 0.17 d
Nitrogen (N: g/kg)25.03 ± 4.75 e1.72 ± 0.09 a2.97 ± 0.10 b4.20 ± 0.03 c5.46 ± 0.09 d
Phosphorus (P: g/kg)11.57 ± 0.23 e1.49 ± 0.10 a2.07 ± 0.04 b2.65 ± 0.08 c3.23 ± 0.16 d
Potassium (K: g/kg)1.58 ± 0.03 d0.21 ± 0.02 a0.39 ± 0.12 a0.62 ± 0.02 b0.81 ± 0.02 c
Cadmium (Cd: mg/kg)1.94 ± 0.04 d0.17 ± 0.01 a0.27 ± 0.04 b0.36 ± 0.05 b0.46 ± 0.05 c
Chromium (Cr: mg/kg)9.40 ± 0.10 e3.80 ± 0.08 a4.25 ± 0.12 b4.72 ± 0.08 c5.13 ± 0.10 d
Copper (Cu: mg/kg)32.16 ± 1.29 c5.73 ± 0.13 a7.36 ± 0.18 b8.95 ± 0.26 b10.21 ± 1.88 b
Iron (Fe: mg/kg)54.33 ± 4.72 d15.04 ± 1.46 a17.10 ± 0.52 a20.40 ± 0.95 b23.26 ±0.61 c
Manganese (Mn: mg/kg)17.81 ± 0.53 d9.17 ± 0.06 a10.22 ± 0.10 b11.12 ± 0.43 c11.94 ± 0.16 c
Zinc (Zn: mg/kg)48.33 ± 3.90 e3.98 ± 0.17 a6.40 ± 0.35 b8.81 ± 0.51 c11.23 ± 1.05 d
Values are means followed by the standard deviation of five analyses (n = 5). Matching letters (a–e) indicate no significant differences in the properties of AS, SS, and selected treatments at p < 0.05. AS: arable soil; SS: sewage sludge.
Table 2. Effects of different loading rates of sewage sludge on growth and biochemical characteristics of cultivated dhaincha (S. bispinosa).
Table 2. Effects of different loading rates of sewage sludge on growth and biochemical characteristics of cultivated dhaincha (S. bispinosa).
CharacteristicsExperimental Treatments
T0 (Control)T1 (5% SS)T2 (10% SS)T3 (15% SS)
Plant height (cm)342.87 ± 6.06 a350.01 ± 10.50 ab376.87 ± 15.07 bc380.59 ± 12.29 c
Fresh weight (kg/plant)1.32 ± 0.03 a1.39 ± 0.04 ab1.42 ± 0.06 bc1.47 ± 0.05 c
Dry weight (kg/plant)0.24 ± 0.01 a0.25 ± 0.01 a0.26 ± 0.01 ab0.27 ± 0.01 b
Base diameter (cm)2.87 ± 0.06 a3.01 ± 0.09 ab3.07 ± 0.12 bc3.19 ± 0.10 c
Seed yield (g/plant)40.28 ± 0.81 a42.29 ± 1.27 ab43.10 ± 1.50 bc44.71 ± 1.44 c
Chlorophyll (mg/g fwt)2.87 ± 0.05 a2.99 ± 0.04 ab3.06 ± 0.11 b3.15 ± 0.07 b
Carotenoids (mg/g)0.34 ± 0.03 a0.42 ± 0.02 b0.57 ± 0.06 c0.88 ± 0.09 d
Carbohydrates (mg/g)9.03 ± 0.08 a9.14 ± 0.12 ab9.25 ± 0.07 b9.40 ± 0.14 c
Total phenol (mg/g)0.10 ± 0.01 a0.12 ± 0.01 ab0.14 ± 0.02 b0.13 ± 0.02 b
Values are means followed by the standard deviation of five replicates (n = 5); matching letters (a–d) indicate no significant difference in the parameters of dhaincha (S. bispinosa) among the experimental treatments at p < 0.05. SS: sewage sludge.
Table 3. Effects of different loading rates of sewage sludge on heavy metal concentrations (mg/kg) in different parts of cultivated dhaincha (S. bispinosa).
Table 3. Effects of different loading rates of sewage sludge on heavy metal concentrations (mg/kg) in different parts of cultivated dhaincha (S. bispinosa).
CharacteristicsPlant PartsExperimental Treatments
T0 (Control)T1 (5% SS)T2 (10% SS)T3 (15% SS)
CdLeaves0.06 ± 0.02 a0.07 ± 0.01 a0.07 ± 0.02 a0.08 ± 0.02 a
Fiber stems0.11 ± 0.01 a0.12 ± 0.02 ab0.14 ± 0.01 b0.15 ± 0.02 b
Roots0.18 ± 0.03 a0.21 ± 0.01 a0.23 ± 0.02 ab0.24 ± 0.01 b
Seeds0.03 ± 0.01 a0.04 ± 0.01 a0.05 ± 0.01 ab0.05 ± 0.02 b
CrLeaves0.28 ± 0.04 a0.34 ± 0.03 ab0.36 ± 0.02 b0.37 ± 0.03 b
Fiber stems0.38 ± 0.02 a0.43 ± 0.02 b0.45 ± 0.03 b0.46 ± 0.02 bc
Roots0.42 ± 0.05 a0.74 ± 0.07 b0.96 ± 0.09 bc1.07 ± 0.06 c
Seeds0.12 ± 0.01 a0.15 ± 0.01 b0.17 ± 0.02 b0.18 ± 0.02 b
CuLeaves10.81 ± 0.17 a12.51 ± 0.20 b14.09 ± 0.41 c15.48 ± 0.36 c
Fiber stems11.28 ± 0.44 a14.07 ± 0.15 b15.71 ± 0.83 bc16.14 ± 0.39 c
Roots21.50 ± 0.70 a25.18 ± 1.26 b29.65 ± 1.09 c34.30 ± 2.28 d
Seeds1.93 ± 0.04 a2.04 ± 0.05 b2.12 ± 0.03 bc2.18 ± 0.04 c
FeLeaves69.33 ± 2.93 a74.25 ± 5.72 ab88.06 ± 3.86 c100.94 ± 6.21 d
Fiber stems110.71 ± 9.10 a126.80 ± 12.06 ab141.78 ± 8.61 b145.10 ± 10.04 b
Roots148.02 ± 7.12 a201.10 ± 23.50 b262.82 ± 14.19 c367.26 ± 45.70 d
Seeds12.60 ± 0.44 a16.29 ± 1.93 b19.53 ± 1.60 bc21.24 ± 1.02 c
MnLeaves35.17 ± 2.37 a41.65 ± 0.54 b49.69 ± 2.21 c53.04 ± 3.09 c
Fiber stems44.09 ± 1.16 a53.06 ± 2.49 b59.50 ± 1.82 c64.12 ± 0.92 d
Roots60.20 ± 4.90 a74.47 ± 3.08 b78.29 ± 2.37 bc82.30 ± 4.11 c
Seeds1.37 ± 0.05 a1.50 ± 0.03 b1.62 ± 0.07 c1.66 ± 0.03 c
ZnLeaves14.02 ± 0.29 a17.01 ± 0.30 b19.82 ± 0.65 c21.36 ± 1.05 c
Fiber stems19.44 ± 1.04 a22.67 ± 0.86 b24.58 ± 1.40 c25.21 ± 0.59 c
Roots20.95 ± 0.36 a25.32 ± 0.43 b29.45 ± 0.91 c32.19 ± 1.27 d
Seeds1.10 ± 0.02 a1.15 ± 0.02 b1.21 ± 0.06 bc1.24 ± 0.03 c
Values are means followed by the standard deviation of five replicates (n = 5); matching letters (a–d) indicate no significant difference in the parameters of Dhaincha (S. bispinosa) among the experimental treatments at p < 0.05. SS: sewage sludge.
Table 4. Effects of different loading rates of sewage sludge on the proximate and fiber characteristics of cultivated dhaincha (S. bispinosa).
Table 4. Effects of different loading rates of sewage sludge on the proximate and fiber characteristics of cultivated dhaincha (S. bispinosa).
ParametersExperimental Treatments
T0 (Control)T1 (5% SS)T2 (10% SS)T3 (15% SS)
Ash (%)7.20 ± 0.01 a7.21 ± 0.03 a7.24 ± 0.02 ab7.25 ± 0.03 ab
Crude fiber (%)26.03 ± 0.25 a28.14 ± 0.67 b31.67 ± 1.09 bc32.70 ± 0.12 c
Crude protein (%)13.97 ± 0.09 a14.10 ± 0.05 a15.28 ± 0.48 b15.94 ± 0.25 bc
Lignin (%)21.09 ± 0.10 a22.83 ± 0.40 b24.01 ± 1.37 bc24.60 ± 0.56 c
Cellulose (%)33.07 ± 0.51 a35.09 ± 1.77 ab36.82 ± 0.42 bc37.25 ± 0.90 c
Fiber weight (g/plant)2.76 ± 0.06 a2.90 ± 0.09 ab2.95 ± 0.12 ab3.06 ± 0.10 bc
Stick weight (g/plant)28.90 ± 0.58 a30.35 ± 0.91 a30.92 ± 1.24 ab32.08 ± 1.04 b
Fiber: stick ratio0.10 ± 0.02 a0.10 ± 0.01 a0.10 ± 0.02 a0.10 ± 0.02 a
Fiber diameter (µm)24.30 ± 0.49 a25.52 ± 0.77 a26.03 ± 1.04 ab26.97 ± 0.87 ab
Ultimate tensile (MPa)780.16 ± 15.60 a819.10 ± 24.57 ab834.74 ± 33.39 bc855.98 ± 27.65 bc
Strength (g/tex)53.98 ± 1.08 a55.54 ± 1.67 ab57.70 ± 2.31 bc58.92 ± 1.90 bc
Density (g/cm3)1.39 ± 0.03 a1.46 ± 0.04 ab1.49 ± 0.06 bc1.54 ± 0.05 c
Luster (%)41.08 ± 0.82 a43.13 ± 1.29 ab43.93 ± 1.76 ab45.65 ± 1.47 bc
Values are means followed by the standard deviation of five replicates (n= 5); matching letters (a–d) indicate no significant differences in the parameters of dhaincha (S. bispinosa) among the experimental treatments at p < 0.05. SS: sewage sludge.
Disclaimer/Publisher’s Note: The statements, opinions and data contained in all publications are solely those of the individual author(s) and contributor(s) and not of MDPI and/or the editor(s). MDPI and/or the editor(s) disclaim responsibility for any injury to people or property resulting from any ideas, methods, instructions or products referred to in the content.

Share and Cite

MDPI and ACS Style

Širić, I.; AL-Huqail, A.A.; Kumar, P.; Goala, M.; Abou Fayssal, S.; Adelodun, B.; Ajibade, F.O.; Alrumman, S.A.; Alamri, S.A.M.; Taher, M.A.; et al. Sustainable Management of Sewage Sludge Using Dhaincha (Sesbania bispinosa (Jacq.) W.Wight) Cultivation: Studies on Heavy Metal Uptake and Characterization of Fibers. Agronomy 2023, 13, 1066. https://doi.org/10.3390/agronomy13041066

AMA Style

Širić I, AL-Huqail AA, Kumar P, Goala M, Abou Fayssal S, Adelodun B, Ajibade FO, Alrumman SA, Alamri SAM, Taher MA, et al. Sustainable Management of Sewage Sludge Using Dhaincha (Sesbania bispinosa (Jacq.) W.Wight) Cultivation: Studies on Heavy Metal Uptake and Characterization of Fibers. Agronomy. 2023; 13(4):1066. https://doi.org/10.3390/agronomy13041066

Chicago/Turabian Style

Širić, Ivan, Arwa A. AL-Huqail, Pankaj Kumar, Madhumita Goala, Sami Abou Fayssal, Bashir Adelodun, Fidelis O. Ajibade, Sulaiman A. Alrumman, Saad A. M. Alamri, Mostafa A. Taher, and et al. 2023. "Sustainable Management of Sewage Sludge Using Dhaincha (Sesbania bispinosa (Jacq.) W.Wight) Cultivation: Studies on Heavy Metal Uptake and Characterization of Fibers" Agronomy 13, no. 4: 1066. https://doi.org/10.3390/agronomy13041066

APA Style

Širić, I., AL-Huqail, A. A., Kumar, P., Goala, M., Abou Fayssal, S., Adelodun, B., Ajibade, F. O., Alrumman, S. A., Alamri, S. A. M., Taher, M. A., Singh, J., Kumar, V., & Eid, E. M. (2023). Sustainable Management of Sewage Sludge Using Dhaincha (Sesbania bispinosa (Jacq.) W.Wight) Cultivation: Studies on Heavy Metal Uptake and Characterization of Fibers. Agronomy, 13(4), 1066. https://doi.org/10.3390/agronomy13041066

Note that from the first issue of 2016, this journal uses article numbers instead of page numbers. See further details here.

Article Metrics

Back to TopTop