Remediation of Cd and Cu Contaminated Agricultural Soils near Oilfields by Biochar Combined with Sodium Humate-Wood Vinegar
Abstract
1. Introduction
2. Materials and Methods
2.1. Soil Samples and Chemicals
2.2. Preparation Procedure of BHW Remediation Materials
2.3. Remediation Experiment
2.4. The Measurement of Metal Content of Different Fractions
2.5. Adsorption Properties of Remediation Materials
2.5.1. Adsorption Kinetics
2.5.2. Adsorption Isotherms
2.5.3. Competitive Adsorption
2.6. Data Statistics
2.6.1. Adsorption Capacity
2.6.2. Adsorption Kinetic
- (1)
- Pseudo first-order rate equationwhere, Qe refers to the adsorption amount at equilibrium, mg·g−1; Qt means the adsorption amount at the time t, mg·g−1; K1 is the pseudo-first-order rate constant, min−1; t represents the reaction time, min.
- (2)
- Pseudo-second-order rate equationwhere, Qe refers to the adsorption amount at equilibrium, mg·g−1; Qt means the adsorption amount at the time of t, mg·g−1; K2 is the pseudo-second-order rate constant, min−1; t represents the reaction time, min.
2.6.3. Adsorption Isotherm
- (1)
- Langmuir adsorption isothermwhere, Ce refers to the concentration at adsorption equilibrium, mg·L−1; Qe represents the adsorption capacity at equilibrium, mg·g−1; KL means a constant related to the size of the adsorption energy, L·mg−1; Qmax refers to the adsorption capacity at maximum, mg·g−1.
- (2)
- Freundlich adsorption isothermwhere, Ce refers to the concentration at adsorption equilibrium, mg·L−1; KF represents a constant related to the adsorption strength, mg·g−1; Qe means the adsorption amount at equilibrium, mg·g−1; n refers to the heterogeneity of the adsorbent. The factor, when n > 1, indicates that there is a strong force between the adsorbate and the adsorbent.
2.7. Fourier Transform Infrared Spectroscopy and X-ray Photoelectron Spectrometer Measurements
3. Results and Discussion
3.1. Effect of BHW on the Availability of Cu and Cd
3.2. Effect of BHW on the Chemical Fractions of Cu and Cd
3.3. Effect of BHW on Competitive Adsorption
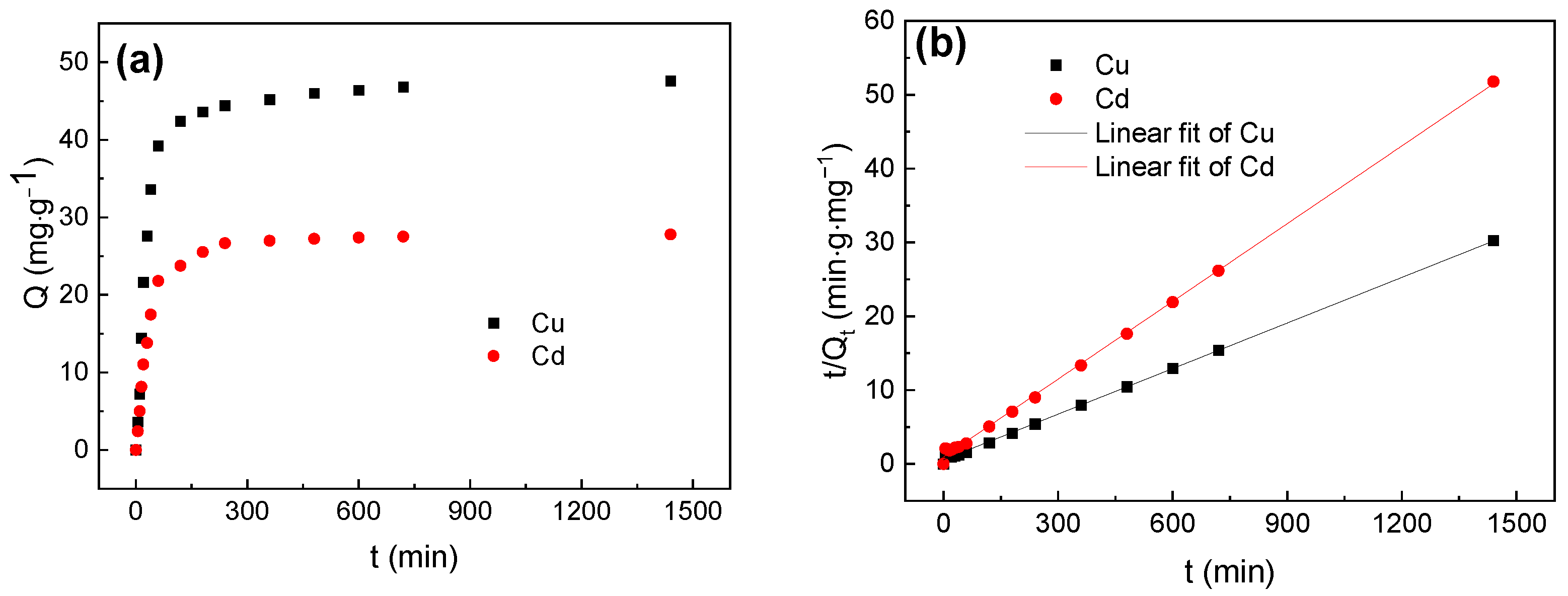
3.4. Adsorption Kinetic
3.5. Adsorption Isotherms
3.6. Immobilization Mechanism
4. Conclusions
Supplementary Materials
Author Contributions
Funding
Data Availability Statement
Acknowledgments
Conflicts of Interest
References
- Lwin, C.S.; Seo, B.H.; Kim, H.U.; Owens, G.; Kim, K.R. Application of soil amendments to contaminated soils for heavy metal immobilization and improved soil quality—A critical review. Soil Sci. Plant Nutr. 2018, 64, 156–167. [Google Scholar] [CrossRef]
- Yang, Q.; Li, Z.; Lu, X.; Duan, Q.; Huang, L.; Bi, J. A review of soil heavy metal pollution from industrial and agricultural regions in China: Pollution and risk assessment. Sci. Total Environ. 2018, 642, 690–700. [Google Scholar] [CrossRef] [PubMed]
- MEP of China (Ministry of Environmental Protection of China). Soil Pollution Control Action Plan. 2016. Available online: https://zfsmepgovcn/fg/gwyw/201605/t20160531_352665shtml (accessed on 1 January 2021).
- Fei, X.; Christakos, G.; Xiao, R.; Ren, Z.; Liu, Y.; Lv, X. Improved heavy metal mapping and pollution source apportionment in Shanghai city soils using auxiliary information. Sci. Total Environ. 2019, 661, 168–177. [Google Scholar] [CrossRef] [PubMed]
- Szatyłowicz, E.; Krasowska, M. Assessment of heavy metals leaching from fly ashes as an indicator of their agricultural use. Desalin. Water Treat. 2020, 199, 288–296. [Google Scholar] [CrossRef]
- Li, H.; Ye, X.; Geng, Z.; Zhou, H.; Guo, X.; Zhang, Y.; Zhao, H.; Wang, G. The influence of biochar type on long-term stabilization for Cd and Cu in contaminated paddy soils. J. Hazard. Mater. 2016, 304, 40–48. [Google Scholar] [CrossRef] [PubMed]
- Palansooriya, K.N.; Shaheen, S.M.; Chen, S.S.; Tsang Daniel, C.W.; Hashimoto, Y.; Hou, D.; Bolan, N.S.; Rinklebe, J.; Ok, Y.S. Soil amendments for immobilization of potentially toxic elements in contaminated soils: A critical review. Environ. Int. 2020, 134, 105046. [Google Scholar] [CrossRef]
- Yang, T.; Hodson, M.E. Investigating the use of synthetic humic-like acid as a soil washing treatment for metal contaminated soil. Sci. Total Environ. 2019, 647, 290–300. [Google Scholar] [CrossRef]
- Abbas, T.; Rizwan, M.; Ali, S.; Zia-ur-Rehman, M.; Qayyum, M.F.; Abbas, F.; Hannana, F.; Rinklebed, J.; Ok, Y.S. Effect of biochar on cadmium bioavailability and uptake in wheat (Triticum aestivum L.) grown in a soil with aged contamination. Ecotoxicol. Environ. Saf. 2017, 140, 37–47. [Google Scholar] [CrossRef]
- Brennan, A.; Jiménez, E.M.; Puschenreiter, M.; Alburquerque, J.A.; Switzer, C. Effects of biochar amendment on root traits and contaminant availability of maize plants in a copper and arsenic impacted soil. Plant Soil 2014, 379, 351–360. [Google Scholar] [CrossRef]
- Cha, J.S.; Park, S.H.; Jung, S.C.; Ryu, C.; Jeon, J.K.; Shin, M.C.; Park, Y.K. Production and Utilization of Biochar: A Review. J. Ind. Eng. Chem. 2016, 40, 1–15. [Google Scholar] [CrossRef]
- Liang, J.; Yang, Z.; Tang, L.; Zeng, G.; Yu, M.; Li, X.; Wu, H.; Qian, Y.; Li, X.; Luo, Y. Changes in heavy metal mobility and availability from contaminated wetland soil remediated with combined biochar-compost. Chemosphere 2017, 181, 281–288. [Google Scholar] [CrossRef] [PubMed]
- Xu, D.; Zhao, Y.; Sun, K.; Gao, B.; Wang, Z.; Jin, J.; Zhang, Z.; Wang, S.; Yan, Y.; Liu, X.; et al. Cadmium adsorption on plant-and manure-derived biochar and biochar-amended sandy soils: Impact of bulk and surface properties. Chemosphere 2014, 111, 320–326. [Google Scholar] [CrossRef] [PubMed]
- Ye, X.; Kang, S.; Wang, H.; Li, H.; Zhang, Y.; Wang, G.; Zhao, H. Modified natural diatomite and its enhanced immobilization of lead copper and cadmium in simulated contaminated soils. J. Hazard. Mater. 2015, 289, 210–218. [Google Scholar] [CrossRef] [PubMed]
- Li, H.; Dong, X.; Da Silva, E.B.; De Oliveira, L.M.; Chen, Y.; Ma, L.Q. Mechanisms of metal sorption by biochars: Biochar characteristics and modifications. Chemosphere 2017, 178, 466–478. [Google Scholar] [CrossRef] [PubMed]
- Nguyen, B.T.; Lehmann, J.; Kinyangi, J.; Smernik, R.; Riha, S.J.; Engelhard, M.H. Long-term black carbon dynamics in cultivated soil. Biogeochemistry 2009, 92, 163–176. [Google Scholar] [CrossRef]
- Meng, J.; Tao, M.; Wang, L.; Liu, X.; Xu, J. Changes in heavy metal bioavailability and speciation from a Pb-Zn mining soil amended with biochars from co-pyrolysis of rice straw and swine manure. Sci. Total Environ. 2018, 633, 300–307. [Google Scholar] [CrossRef]
- Qi, F.; Lamb, D.; Naidu, R.; Bolan, N.S.; Yan, Y.; Ok, Y.S.; Rahman, M.M.; Choppala, G. Cadmium solubility and bioavailability in soils amended with acidic and neutral biochar. Sci. Total Environ. 2018, 610–611, 1457–1466. [Google Scholar] [CrossRef]
- Grewal, A.; Abbey, L.; Gunupuru, L.R. Production, Prospects and Potential Application of Pyroligneous Acid in Agriculture. J. Anal. Appl. Pyrolysis 2018, 135, 152–159. [Google Scholar] [CrossRef]
- Jin, X.; Wu, X.; Zhang, H.; Jiang, X.; Huang, Z.; Liu, Y.; Fang, M.; Min, X. Novel humic acid-based carbon materials: Adsorption thermodynamics and kinetics for cadmium(II) ions. Colloid Polym. Sci. 2018, 296, 537–546. [Google Scholar] [CrossRef]
- Pukalchik, M.; Mercl, F.; Terekhova, V.; Tlustoš, P. Biochar wood ash and humic substances mitigating trace elements stress in contaminated sandy loam soil: Evidence from an integrative approach. Chemosphere 2018, 203, 228–238. [Google Scholar] [CrossRef]
- Zhang, Y.J.; Ou, J.L.; Duan, Z.K.; Xing, Z.; Wang, Y. Adsorption of Cr (VI) on bamboo bark-based activated carbon in the absence and presence of humic acid. Colloids Surface A 2015, 481, 108–116. [Google Scholar] [CrossRef]
- Chen, D.; Liu, X.; Bian, R.; Cheng, K.; Zhang, X.; Zheng, J.; Joseph, S.; Crowley, D.; Pan, G.; Li, L. Effects of biochar on availability and plant uptake of heavy metals—A meta-analysis. J. Environ. Manag. 2018, 222, 76–85. [Google Scholar] [CrossRef] [PubMed]
- Cang, L.; Zhou, D.M.; Wang, Q.Y.; Wu, D.Y. Effects of electrokinetic treatment of a heavy metal contaminated soil on soil enzyme activities. J. Hazard. Mater. 2009, 172, 1602–1607. [Google Scholar] [CrossRef]
- Zhu, J.; Gao, W.; Ge, L.; Zhao, W.; Zhang, G.; Niu, Y. Immobilization properties and adsorption mechanism of nickel (II) in soil by biochar combined with humic acid-wood vinegar. Ecotoxicol. Environ. Saf. 2021, 215, 112159. [Google Scholar] [CrossRef] [PubMed]
- Kulikowska, D.; Gusiatin, Z.M.; Bułkowska, K.; Klik, B. Feasibility of using humic substances from compost to remove heavy metals (Cd Cu Ni Pb Zn) from contaminated soil aged for different periods of time. J. Hazard. Mater. 2015, 300, 882–891. [Google Scholar] [CrossRef]
- Santos, N.M.D.; Accioly, A.M.D.A.; Nascimento, C.W.A.D.; Silva, I.R.; Santos, J.A.G. Bioavailability of lead using chemical extractants in soil treated with humic acids and activated carbon. Rev. Ciênc. Agronômica 2015, 46, 663–668. [Google Scholar] [CrossRef]
- Zhu, J.; Gao, W.; Zhao, W.; Ge, L.; Zhu, T.; Zhang, G.; Niu, Y. Wood vinegar enhances humic acid-based remediation material to solidify Pb (II) for metal-contaminated soil. Environ. Sci. Pollut. Res. 2020, 28, 12648–12658. [Google Scholar] [CrossRef]
- Dong, Y.; Lin, H.; Zhao, Y.; Menzembere, E.R.G.Y. Remediation of vanadium-contaminated soils by the combination of natural clay mineral and humic acid. J. Clean. Prod. 2021, 279, 123874. [Google Scholar] [CrossRef]
- Sungur, A.; Soylak, M.; Ozcan, H. Investigation of heavy metal mobility and availability by the BCR sequential extraction procedure: Relationship between soil properties and heavy metals availability. Chem. Spec. Bioavailab. 2014, 26, 219–230. [Google Scholar] [CrossRef]
- Chen, H.; Li, Q.; Wang, M.; Ji, D.; Tan, W. XPS and two-dimensional FTIR correlation analysis on the binding characteristics of humic acid onto kaolinite surface. Sci. Total Environ. 2020, 724, 138154. [Google Scholar] [CrossRef]
- Vieira, R.S.; Oliveira, M.L.M.; Guibal, E.; Rodríguez-Castellón, E.; Beppu, M.M. Copper mercury and chromium adsorption on natural and crosslinked chitosan films: An XPS investigation of mechanism. Colloids Surface A 2011, 374, 108–114. [Google Scholar] [CrossRef]
- Rong, Q.; Zhong, K.; Huang, H.; Li, C.; Zhang, C.; Nong, X. Humic acid reduces the available cadmium copper lead and zinc in soil and their uptake by tobacco. Appl. Sci. 2020, 10, 1077. [Google Scholar] [CrossRef]
- Wang, Z.; Mi, Z.; Zheng, C.; Li, W.; Wang, W.; Wang, H. Effect of biochar on the bioavailability and transformation of heavy metals in soil of mining area. Chem. Ind. Eng. Prog. 2019, 38, 2977–2985. (In Chinese) [Google Scholar]
- Gu, P.; Zhang, Y.; Xie, H.; Wei, J.; Zhang, X.; Huang, X.; Wang, J.; Lou, X. Effect of cornstalk biochar on phytoremediation of Cd-contaminated soil by Beta vulgaris var cicla L. Ecotoxicol. Environ. Saf. 2020, 205, 111144. [Google Scholar] [CrossRef]
- Tawfik, A.S. Isotherm kinetic and thermodynamic studies on Hg (II) adsorption from aqueous solution by silica-multiwall carbon nanotubes. Environ. Sci. Pollut. 2015, 22, 16721–16731. [Google Scholar] [CrossRef]
- Meissl, K.; Smidt, E.; Schwanninger, M. Prediction of humic acid content and respiration activity of biogenic waste by means of Fourier transform infrared (FTIR) spectra and partial least squares regression (PLS-R) models. Talanta 2007, 72, 791–799. [Google Scholar] [CrossRef]
- Chowdhury, I.H.; Ghosh, S.; Basak, S.; Naskar, M.K. Mesoporous CuO-TiO2 microspheres for efficient catalytic oxidation of CO and photodegradation of methylene blue. J. Phys. Chem. Solids 2017, 104, 103–110. [Google Scholar] [CrossRef]
- Schrader, I.; Wittig, L.; Richter, K.; Vieker, H.; Beyer, A.; Golzhauser, A.; Hartwig, A.; Swiderek, P. Formation and structure of copper (II) oxalate layers on carboxy-terminated self-assembled monolayers. Langmuir 2014, 30, 11945–11954. [Google Scholar] [CrossRef] [PubMed]
- Rodríguez, F.J.; Schlenger, P.; García-Valverde, M. Monitoring changes in the structure and properties of humic substances following ozonation using UV–Vis FTIR and 1H NMR techniques. Sci. Total Environ. 2016, 541, 623–637. [Google Scholar] [CrossRef]
- Bai, H.; Luo, M.; Wei, S.; Jiang, Z.; He, M. The vital function of humic acid with different molecular weight in controlling Cd and Pb bioavailability and toxicity to earthworm (Eisenia fetida) in soil. Environ. Pollut. 2020, 261, 114222. [Google Scholar] [CrossRef]
- Liu, Y.; Wang, T.; Qu, G.; Jia, H. High-efficient decomplexation of Cu-HA by discharge plasma: Process and mechanisms. Sep. Purif. Technol. 2020, 248, 117137. [Google Scholar] [CrossRef]
- Hiyasmin, R.L.B.; Sang, C.L. Pyroligneous acids enhance phytoremediation of heavy metal-contaminated soils using mustard. Commun. Soil Sci. Plan 2017, 48, 2061–2073. [Google Scholar] [CrossRef]








| Treatment Dosage (g∙kg−1) | BC | BC-NaHA | BHW | |
|---|---|---|---|---|
| Control group | 0 | - | - | - |
| 1# | 0.04 | BC-1 | BC-NaHA-1 | BHW-1 |
| 2# | 0.1 | BC-2 | BC-NaHA-2 | BHW-2 |
| 3# | 0.2 | BC-3 | BC-NaHA-3 | BHW-3 |
| 4# | 0.3 | BC-4 | BC-NaHA-4 | BHW-4 |
| 5# | 0.4 | BC-5 | BC-NaHA-5 | BHW-5 |
| 6# | 0.5 | BC-6 | BC-NaHA-6 | BHW-6 |
| Partition Coefficient | Soil-A | KdΣsp1 | Soil-B | KdΣsp2 | ||
|---|---|---|---|---|---|---|
| Cu | Cd | Cu | Cd | |||
| Kd100 | 0.073 | 0.028 | 0.101 | 0.149 | 0.039 | 0.188 |
| Kd200 | 0.052 | 0.021 | 0.073 | 0.063 | 0.024 | 0.087 |
| Kd300 | 0.066 | 0.028 | 0.094 | 0.087 | 0.034 | 0.121 |
| Linear Model Type | Parameters | Cu2+ | Cd2+ |
|---|---|---|---|
| Quasi-first-order | Qe (mg·g−1) | 42.53 | 22.57 |
| K1 (min−1) | 0.0316 | 0.0175 | |
| R2 | 0.9766 | 0.9609 | |
| Quasi-second-order | Qe (mg·g−1) | 48.54 | 28.49 |
| K2 (g·mg−1·min−1) | 0.000757 | 0.001293 | |
| R2 | 0.9985 | 0.9989 |
| Fitting Type | Parameters | Cu(Ⅱ) | Cd(Ⅱ) | ||||
|---|---|---|---|---|---|---|---|
| 288.15 K | 289.15 K | 308.15 K | 288.15 K | 289.15 K | 308.15 K | ||
| Qmax (mg·g−1) | 43.48 | 45.87 | 47.62 | 25.91 | 27.86 | 30.67 | |
| Langmuir | KL (L·mg−1) | 0.0266 | 0.0356 | 0.0514 | 0.0954 | 0.1065 | 0.1457 |
| R2 | 0.8526 | 0.8751 | 0.9071 | 0.9566 | 0.8569 | 0.8457 | |
| KF (mg·g−1) | 2.418 | 3.276 | 4.128 | 2.376 | 2.875 | 3.721 | |
| Freundlich | n | 1.88 | 2.006 | 2.052 | 1.706 | 1.752 | 1.701 |
| R2 | 0.9844 | 0.9945 | 0.9949 | 0.9926 | 0.9937 | 0.9946 | |
Disclaimer/Publisher’s Note: The statements, opinions and data contained in all publications are solely those of the individual author(s) and contributor(s) and not of MDPI and/or the editor(s). MDPI and/or the editor(s) disclaim responsibility for any injury to people or property resulting from any ideas, methods, instructions or products referred to in the content. |
© 2023 by the authors. Licensee MDPI, Basel, Switzerland. This article is an open access article distributed under the terms and conditions of the Creative Commons Attribution (CC BY) license (https://creativecommons.org/licenses/by/4.0/).
Share and Cite
Wang, J.; Gao, W.; Zhu, J.; Yang, Y.; Niu, Y. Remediation of Cd and Cu Contaminated Agricultural Soils near Oilfields by Biochar Combined with Sodium Humate-Wood Vinegar. Agronomy 2023, 13, 1009. https://doi.org/10.3390/agronomy13041009
Wang J, Gao W, Zhu J, Yang Y, Niu Y. Remediation of Cd and Cu Contaminated Agricultural Soils near Oilfields by Biochar Combined with Sodium Humate-Wood Vinegar. Agronomy. 2023; 13(4):1009. https://doi.org/10.3390/agronomy13041009
Chicago/Turabian StyleWang, Junqi, Weichun Gao, Junfeng Zhu, Yuxiao Yang, and Yuhua Niu. 2023. "Remediation of Cd and Cu Contaminated Agricultural Soils near Oilfields by Biochar Combined with Sodium Humate-Wood Vinegar" Agronomy 13, no. 4: 1009. https://doi.org/10.3390/agronomy13041009
APA StyleWang, J., Gao, W., Zhu, J., Yang, Y., & Niu, Y. (2023). Remediation of Cd and Cu Contaminated Agricultural Soils near Oilfields by Biochar Combined with Sodium Humate-Wood Vinegar. Agronomy, 13(4), 1009. https://doi.org/10.3390/agronomy13041009

