Response of Soybean Yield and Certain Growth Parameters to Simulated Reproductive Structure Removal
Abstract
1. Introduction
2. Materials and Methods
3. Results and Discussion
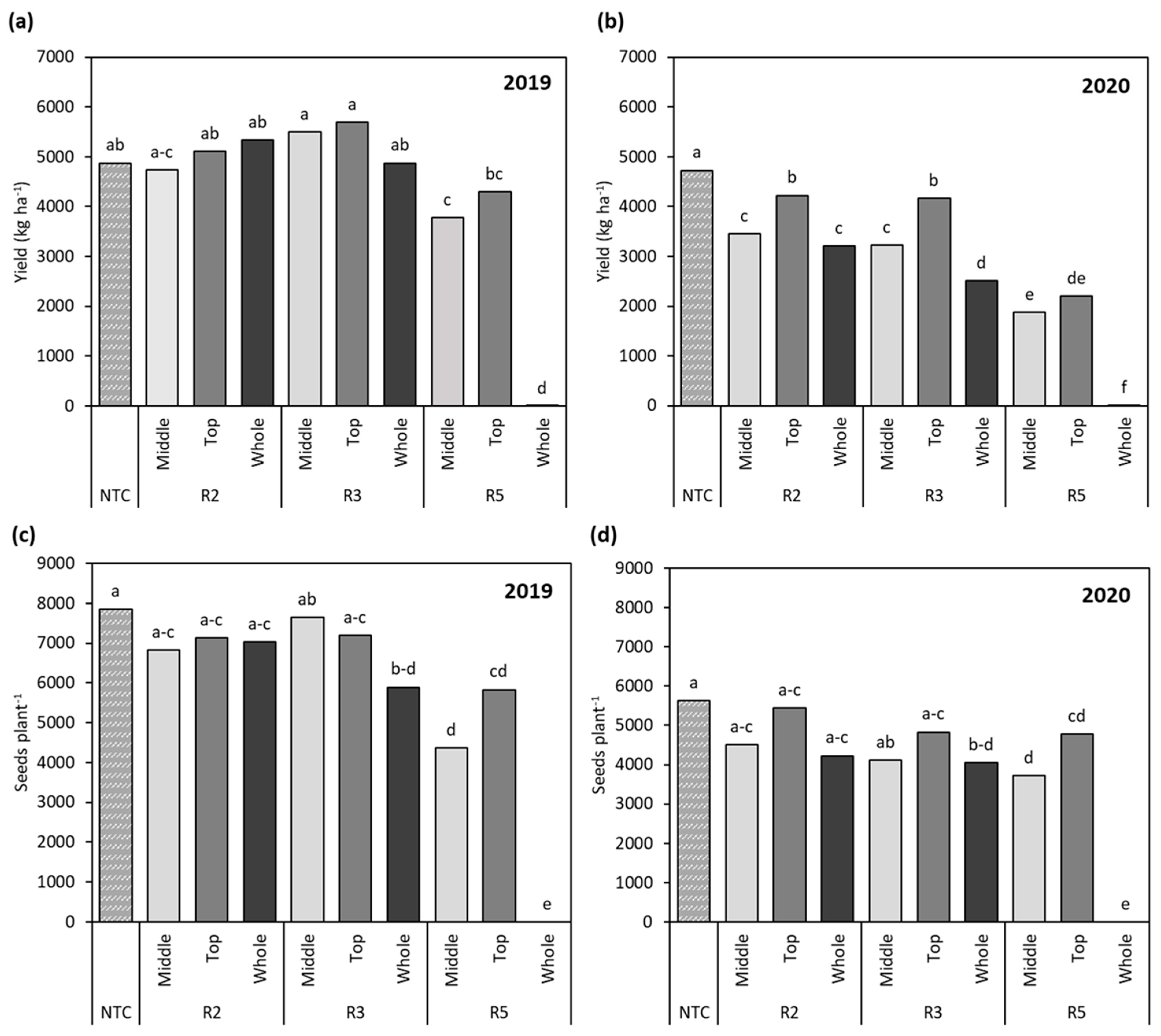
3.1. Crop Yield and Harvest Efficiency
3.2. Soybean Growth and Yield Formation
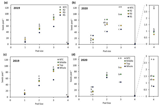
3.3. Potential for Pod Recovery
4. Summary
Author Contributions
Funding
Data Availability Statement
Conflicts of Interest
References
- FAOSTAT. Food Outlook, Biannual Report on Global Food Markets; Food and Agriculture Organization of the United Nations: Québec City, QC, Canada, 2020; pp. 35–36. [Google Scholar]
- Vogel, J.T.; Liu, W.; Olhoft, P.; Crafts-Brandner, S.J.; Pennycooke, J.C.; Christiansen, N. Soybean Yield Formation Physiology—A Foundation for Precision Breeding Based Improvement. Front. Plant Sci. 2021, 12, 719706. [Google Scholar] [CrossRef] [PubMed]
- Specht, J.E.; Hume, D.J.; Kumudini, S.V. Soybean Yield Potential—A Genetic and Physiological Perspective. Crop Sci. 1999, 39, 1560–1570. [Google Scholar] [CrossRef]
- Van Roekel, R.J.; Purcell, L.C.; Salmerón, M. Physiological and management factors contributing to soybean potential yield. Field Crops Res. 2015, 182, 86–97. [Google Scholar] [CrossRef]
- Savary, S.; Willocquet, L.; Pethybridge, S.J.; Esker, P.; McRoberts, N.; Nelson, A. The global burden of pathogens and pests on major food crops. Nat. Ecol. Evol. 2019, 3, 430–439. [Google Scholar] [CrossRef]
- Gai, J.; Palmer, R.G.; Fehr, W.R. Blood and pod set in determinate and indeterminate soybean grown in China. Agron. J. 1984, 76, 979–984. [Google Scholar] [CrossRef]
- Hansen, W.R.; Shibbles, R. Seasonal log of the flowering and podding activity of field-grown soybean. Agron. J. 1978, 70, 47–50. [Google Scholar] [CrossRef]
- Kuroda, T.; Saitoh, K.; Mahmood, T.; Yanagawa, K. Differences in flowering habit between determinate and inde-terminate types of soybean. Plant Prod. Sci. 1998, 1, 18–24. [Google Scholar] [CrossRef]
- Zheng, S.-H.; Nakamoto, H.; Yoshikawa, K.; Furuya, T.; Fukuyama, M. Influences of High Night Temperature on Flowering and Pod Setting in Soybean. Plant Prod. Sci. 2002, 5, 215–218. [Google Scholar] [CrossRef]
- Peterson, C.M.; Mosjidis, C.O.; Dute, R.R.; Westgate, M.E. A Flower and Pod Staging System for Soybean. Ann. Bot. 1992, 69, 59–67. [Google Scholar] [CrossRef]
- Wiebold, W.J. Rescue of soybean flowers destined to abscise. Agron. J. 1990, 82, 85–88. [Google Scholar] [CrossRef]
- Board, D.J.; Tan, Q. Assimilatory capacity effects on soybean yield components and pod number. Crop Ecol. 1995, 35, 846–851. [Google Scholar] [CrossRef]
- Carlson, J.B.; Lersten, N.R. Reproductive morphology. In Soybean: Improvement Production and Uses; American Society of Agronomy: Madison, WI, USA, 2004; Volume 16, pp. 59–65. [Google Scholar]
- Kokubun, M.; Shimada, S.; Takahasi, M. Flower abortion caused by preanthesis water deficit is not attributed to im-pairment of pollen in soybean. Crop Sci. 2001, 45, 1517–1521. [Google Scholar] [CrossRef]
- Raper, C.D.; Kramer, P.J. Stress physiology. In Soybean: Improvement, Production and Uses, 2nd ed.; Wilcox, J.R., Ed.; Agronomy Monograph 16; American Society of Agronomy: Madison, WI, USA, 1987; pp. 588–641. [Google Scholar]
- Shaw, R.H.; Laing, D.R. Moisture Stress and Plant Response. In Plant Environment and Efficient Water Use; American Society of Agronomy: Madison, WI, USA, 2015; pp. 73–94. [Google Scholar] [CrossRef]
- Egli, D.B.; Bruening, W. Temporal profiles of pod production and pod set in soybean. Eur. J. Agron. 2006, 24, 11–18. [Google Scholar] [CrossRef]
- Foley, T.C.; Orf, J.H.; Lambert, J.W. Performance of Related Determinate and Indeterminate Soybean Lines. Crop Breed. Genet. Cytol. 1986, 26, 5–8. [Google Scholar] [CrossRef]
- Robinson, S.L.; Wilcox, J.R. Comparison of Determinate and Indeterminate Soybean Near-Isolines and Their Response to Row Spacing and Planting Date. Crop Sci. 1998, 38, 1554–1557. [Google Scholar] [CrossRef]
- Cooper, R.L. A delayed flowering barrier to higher soybean yields. Field Crops Res. 2003, 82, 27–35. [Google Scholar] [CrossRef]
- Siebers, M.H.; Yendrek, C.R.; Drag, D.; Locke, A.M.; Rios Acosta, L.; Leakery, A.D.; Ainsworth, E.A.; Bernacchi, C.J.; Ort, D.R. Heat waves impored during early pod development in soybean cause significant yield loss despite a rapid recovery from oxidative stress. Glob. Chang. Biol. 2015, 21, 3114–3125. [Google Scholar] [CrossRef]
- Keisling, T.C.; Counce, P.A. An encoding process for morghological analysis of soybean fruit distribution. Crop Sci. 1997, 37, 1665–1669. [Google Scholar] [CrossRef]
- Heitholt, J.J.; Elgi, D.B.; Leggett, J.E. Characteristics of reproduction abortion in soybean. Crop Sci. 1986, 26, 589–595. [Google Scholar] [CrossRef]
- Frederick, J.R.; Camp, C.R.; Philip, J.B. Drought-stress effects on branch and mainstem seed yield and yield components. Irrig. Sci. 2001, 41, 759–763. [Google Scholar]
- Eck, H.; Mathers, A.; Musick, J. Plant water stress at various growth stages and growth and yield of soybeans. Field Crops Res. 1987, 17, 1–16. [Google Scholar] [CrossRef]
- Egli, D.B. Soybean Reproductive Sink Size and Short-term Reductions in Photosynthesis during Flowering and Pod Set. Crop Sci. 2010, 50, 1971–1977. [Google Scholar] [CrossRef]
- Wijewardana, C.; Reddy, K.R.; Alsajri, F.A.; Irby, J.T.; Krutz, J.; Golden, B. Quantifying soil moisture deficit effects on soybean yield and yield component distribution patterns. Irrig. Sci. 2018, 36, 241–255. [Google Scholar] [CrossRef]
- Foround, N.; Mundel, H.H.; Saindon, G.; Entz, T. Effect of level and timing of moisture stress on soybean plant development and yield components. Irrig. Sci. 1993, 13, 149–155. [Google Scholar]
- Brevedan, R.E.; Elgi, D.B. Short periods of water stress during seed filling, leaf senescence, and yield of soybean: Crop Physiology and Metabolism. Crop Sci. 2003, 43, 2083–2088. [Google Scholar] [CrossRef]
- DeSouza, P.I.; Elgi, D.B.; Bruening, W.P. Water stress during seed filling and leaf senescence in soybean. Agron. J. 1997, 89, 807–812. [Google Scholar] [CrossRef]
- Purcell, L.C.; Specht, J.E. Physiological Traits for Ameliorating Drought Stress. In Soybean: Improvement Production and Uses; Shibles, R.M., Harper, J.E., Wilson, R.F., Shoemaker, R.C., Eds.; American Society of Agronomy: Madison, WI, USA, 2016; pp. 569–620. [Google Scholar] [CrossRef]
- Munier-Jolain, N.G.; Munier-Jolain, N.M.; Roche, R.; Ney, B.; Duthion, C. Seed growth rate in grain legumes I. The effect of photoassimilate availability on seed growth rate. J. Exp. Bot. 1998, 49, 1963–1969. [Google Scholar] [CrossRef]
- Spears, J.F.; TekKrony, D.M.; Elgi, D.M. Temperature during seed filling stag and soybean seed germination and vigour. Seed Sci. Technol. 1997, 25, 233–244. [Google Scholar]
- Kimm, H.; Guan, K.; Burroughs, C.H.; Peng, B.; Ainsworth, E.A.; Bernacchi, C.J.; Moore, C.E.; Kumagai, E.; Yang, X.; Berry, J.A.; et al. Quantifying high-termperature stress on soybean canopy photosynthesis: The unique role of sun-induced chlorophyll fluorescence. Glob. Chang. Biol. 2021, 27, 2403–2415. [Google Scholar] [CrossRef]
- Kezar, S. Response of Simulated Stress of Soybean Production Systems: Growth Parameters and Yield. Master’s Thesis, Oklahoma State University, Stillwater, OK, USA, May 2020. [Google Scholar]
- Prasad, P.V.V.; Staggenbord, S.A.; Ristic, Z. Impact of drought and/or heat stress on physiological development. In Response of Crops to Limited Water: Understaind and Modeling Water Stress Effects on Plant Growth Processes; American Society of Agronomy: Madison, WI, USA, 2015; Volume 1, pp. 301–355. [Google Scholar]
- Meckel, L.; Egli, D.B.; Phillips, R.E.; Radcliffe, D.; Leggett, J.E. Effect of Moisture Stress on Seed Growth in Soybeans. Agron. J. 1984, 76, 647–650. [Google Scholar] [CrossRef]
- Kranz, W.L.S.; James, E. Irrigating Soybean. Available online: https://extensionpubs.unl.edu/publication/9000016368734/irrigating-soybean/ (accessed on 13 March 2023).
- Spollen, W.G.; Wiebold, W.J.; Glenn, D.S. Intraraceme competition in field-grown soybean 1. Agron. J. 1986, 78, 280–283. [Google Scholar] [CrossRef]
- Ahmed, S.U.; Senge, M.; Ito, K.; Adomako, J.T. The Effect of Deficit Irrigation on Root/shoot Ratio, Water Use Efficiency and Yield Efficiency of Soybean. J. Rainwater Catchment Syst. 2010, 15, 39–45. [Google Scholar] [CrossRef]
- Saitoh, K.; Wakui, N.; Mahmood, T.; Kuroda, T. Differentiation and Development of Floral Organs at Each Node and Raceme Order in an Indeterminate Type of Soybean. Plant Prod. Sci. 1999, 2, 47–50. [Google Scholar] [CrossRef]
- Herbert, S.J.; Litchfield, G.V. Partitioning soybean yield components 1. Crop Sci. 1982, 22, 1074–1079. [Google Scholar] [CrossRef]
- Miceli, F.; Crafts-Brandner, S.J.; Egli, D.B. Physical Restriction of Pod Growth Alters Development of Soybean Plants. Crop Sci. 1995, 35, 1080–1085. [Google Scholar] [CrossRef]
- Wittenbach, V.A. Effect of pod removal on leaf photosynthesis and soluble protein compostion of field-grown soybean. Plant Physiol. 1983, 73, 121–124. [Google Scholar] [CrossRef]
- Conley, S.P.; Pendersen, P.; Christmas, E.P. Main-stem removal effect of soybean seed yield and composition. Agron. J. 2009, 101, 120–123. [Google Scholar] [CrossRef]
- Harbach, C.J.; Allen, T.W.; Bowen, C.R.; Davis, J.A.; Hill, C.B.; Leitman, M.; Leonard, B.R.; Mueller, D.S.; Padgett, G.B.; Phillips, X.A.; et al. Delayed senescence in soybean: Terminology, research, update, and survey results from growers. Plant Health Rev. 2016, 17, 76–83. [Google Scholar] [CrossRef]
- Hill, C.B.; Hartman, G.L.; Esgar, R.; Hobbs, H.A. Field Evaluation of Green Stem Disorder in Soybean Cultivars. Crop Sci. 2006, 46, 879–885. [Google Scholar] [CrossRef]
- Hobbs, H.A.; Hill, C.B.; Grau, C.R.; Koval, N.C.; Wang, Y.; Pedersen, W.L.; Domier, L.L.; Hartman, G.L. Green Stem Disorder of Soybean. Plant Dis. 2006, 90, 513–518. [Google Scholar] [CrossRef]
- Harbach, C.J.; Chawla, S.; Bowen, C.R.; Hill, C.B.; Nafziger, E.D.; Hartman, G.L. Association of green-stem disorder with agronomic traits in soybean. Agron. J. 2016, 108, 2263–2268. [Google Scholar] [CrossRef]
- Brun, W.A.; Betts, K.J. Source/Sink Relations of Abscising and Nonabscising Soybean Flowers. Plant Physiol. 1984, 75, 187–191. [Google Scholar] [CrossRef] [PubMed]
- Nelson, R.L. Defining the seed-filling periods in soybeans to predict yield 1. Crop Sci. 1986, 26, 132–135. [Google Scholar] [CrossRef]
- Charles-Edwards, D.A.; Doley, D.; Rimmington, G.M. Modeling Plant Growth and Development; Academic Press (Australia): North Ryde, NSW, Australia, 1987. [Google Scholar]
- Jiang, H.; Egli, D.B. Soybean Seed Number and Crop Growth Rate during Flowering. Agron. J. 1995, 87, 264–267. [Google Scholar] [CrossRef]
- Kantolic, A.G.; Slafer, G. Reproductive development and yield components in indeterminate soybean as affected by post-flowering photoperiod. Field Crops Res. 2005, 93, 212–222. [Google Scholar] [CrossRef]
- Singer, J.W.; Malone, R.W.; Meek, D.W.; Drake, D. Predicting yield loss in indeterminate soybean from pod density using simulated damage studies. Agron. J. 2004, 96, 584–589. [Google Scholar] [CrossRef]
- Proulx, R.A.; Naeve, S.L. Pod Removal, Shade, and Defoliation Effects on Soybean Yield, Protein, and Oil. Agron. J. 2009, 101, 971–978. [Google Scholar] [CrossRef]
- Tian, Z.; Wang, X.; Lee, R.; Li, Y.; Specht, J.E.; Nelson, R.L.; McClean, P.E.; Qiu, L.; Ma, J. Artifical selection for determinate growth habit in soybean. Proc. Natl. Acad. Sci. USA 2010, 107, 8563–8568. [Google Scholar] [CrossRef]
- Ting, C.L. Genetic studies on wild and cultivated soybean 1. Agron. J. 1946, 38, 381–393. [Google Scholar] [CrossRef]
- Board, J.E.; Harville, B.G.; Saxton, A.M. Branch Dry Weight in Relation to Yield Increases in Narrow-Row Soybean. Agron. J. 1990, 82, 540–544. [Google Scholar] [CrossRef]
- Carpenter, A.C.; Board, J.E. Branch Yield Components Controlling Soybean Yield Stability across Plant Populations. Crop Sci. 1997, 37, 885–891. [Google Scholar] [CrossRef]
- Hicks, D.R.; Pendleton, J.W.; Bernard, R.L.; Johnston, T.J. Response of Soybean Plant Types to Planting Patterns 1. Agron. J. 1969, 61, 290–293. [Google Scholar] [CrossRef]
- Board, J.E.; Settimi, J.R. Photoperiod Effect before and after Flowering on Branch Development in Determinate Soybean 1. Agron. J. 1986, 78, 995–1002. [Google Scholar] [CrossRef]
- Caffaro, S.; Nakayama, F. Vegetative Activity of the Main Stem Terminal Bud under Photoperiod and Flower Removal Treatments in Soybean. Funct. Plant Biol. 1988, 15, 475–480. [Google Scholar] [CrossRef]








| Location | Planting Population | Planting Date | Harvest Date |
|---|---|---|---|
| Perkins 2019 | 260,000 seeds ha−1 | 15 May | 12 September |
| Bixby 2019 | 308,881 seeds ha−1 | 21 May | 28 October |
| Bixby 2020 | 308,881 seeds ha−1 | 21 May | 16 October |
| Source of Variation (2019) | Yield | Plant Height | Nodes Plant−1 | Seed Number Plant−1 | Pods Plant−1 | One Seed Pod | Two Seed Pods | Three Bean Pods | Four Bean Pods | Change in Pod Location | % Greenness at Harvest a | Pod Location b |
| S | <0.0001 | 0.054 | 0.3908 | <0.0001 | 0.1251 | 0.1353 | 0.2485 | 0.0689 | 0.0015 | 0.0017 | <0.0001 | <0.0001 |
| L | <0.0001 | 0.05 | 0.551 | <0.0001 | 0.0791 | 0.5861 | 0.2116 | 0.0296 | 0.0005 | 0.0004 | 0.0005 | 0.0038 |
| S*L | <0.0001 | 0.0064 | 0.7757 | 0.0002 | 0.4886 | 0.7528 | 0.3778 | 0.6181 | 0.0106 | 0.0089 | <0.0001 | 0.3645 |
| P | <0.0001 | |||||||||||
| S*P | <0.0001 | |||||||||||
| L*P | 0.0049 | |||||||||||
| S*L*P | <0.0001 | |||||||||||
| Source of Variation (2020) | Yield | Plant Height | Nodes Plant−1 | Seed Number Plant−1 | Pods Plant−1 | One Bean Pod | Two Bean Pods | Three Bean Pods | Four Bean Pods | Change in Pod Location | % Greenness at Harvest a | Pod Location b |
| S | <0.0001 | 0.4546 | 0.7141 | <0.0001 | <0.0001 | <0.0001 | <0.0001 | <0.0001 | 0.8969 | <0.0001 | NA | <0.0001 |
| L | <0.0001 | 0.0562 | 0.005 | <0.0001 | 0.0074 | <0.0001 | 0.3625 | <0.0001 | 0.2178 | 0.0029 | NA | <0.0001 |
| S*L | <0.0001 | 0.5959 | 0.0138 | <0.0001 | 0.0009 | 0.9084 | <0.0001 | 0.3397 | 0.2676 | <0.0001 | NA | <0.0001 |
| P | <0.0001 | |||||||||||
| S*P | <0.0001 | |||||||||||
| L*P | 0.0043 | |||||||||||
| S*L*P | <0.0001 |
| 2019 | 2020 | 2019 | 2020 | |||||
|---|---|---|---|---|---|---|---|---|
| Stage | Nodes Plant−1 | Level of Significance | Nodes Plant−1 | Level of Significance | Plant Height (cm) | Level of Significance | Plant Height (cm) | Level of Significance |
| NTC | 26.50 | a | 26.50 | a | 26.50 | a | 31.00 | a |
| R2 | 19.13 | b | 18.50 | b | 26.13 | a | 30.75 | a |
| R3 | 19.38 | b | 22.00 | b | 26.25 | a | 31.25 | a |
| R5 | 22.00 | b | 18.88 | b | 27.13 | a | 30.25 | a |
| Location | Nodes Plant−1 | Level of Significance | Nodes Plant−1 | Level of Significance | Plant Height (cm) | Level of Significance | Plant Height (cm) | Level of Significance |
| NTC | 31.00 | a | 31.00 | a | 26.50 | a | 31.00 | a |
| Middle | 20.00 | b | 19.25 | b | 25.00 | a | 29.00 | a |
| Top | 20.25 | b | 20.75 | b | 26.25 | a | 31.50 | a |
| Whole | 19.50 | b | 18.75 | b | 27.00 | a | 30.25 | a |
| 2019 | 2020 | ||||||||
|---|---|---|---|---|---|---|---|---|---|
| Stage | Location | Position: Mainstem | Level of Significance | Position: Branch | Level of Significance | Position: Mainstem | Level of Significance | Position: Branch | Level of Significance |
| NTC | NTC | 17.35 | fg | 44.71 | a | 64.25 | fg | 110.25 | b |
| R2 | Middle | 31.50 | c–e | 41.52 | ab | 59.27 | g–i | 109.83 | bc |
| R2 | Top | 24.58 | e–g | 35.91 | b–d | 60.17 | gh | 103.83 | b–d |
| R2 | Whole | 16.04 | g | 39.29 | a–c | 49.92 | Ij | 133.25 | a |
| R3 | Middle | 28.35 | d–f | 42.91 | ab | 48.33 | J | 104.33 | b–d |
| R3 | Top | 15.83 | g | 40.4 | a–c | 52.33 | h–j | 99.50 | d |
| R3 | Whole | 24.75 | e–g | 30.833 | c–e | 45.42 | J | 100.83 | cd |
| R5 | Middle | 15.65 | d–f | 22.87 | e–g | 34.33 | K | 75.75 | e |
| R5 | Top | 18.35 | fg | 23.92 | e–g | 52.67 | h–j | 71.83 | ef |
| R5 | Whole | 17.75 | fg | 2.83 | h | 13.75 | l | 7.58 | l |
Disclaimer/Publisher’s Note: The statements, opinions and data contained in all publications are solely those of the individual author(s) and contributor(s) and not of MDPI and/or the editor(s). MDPI and/or the editor(s) disclaim responsibility for any injury to people or property resulting from any ideas, methods, instructions or products referred to in the content. |
© 2023 by the authors. Licensee MDPI, Basel, Switzerland. This article is an open access article distributed under the terms and conditions of the Creative Commons Attribution (CC BY) license (https://creativecommons.org/licenses/by/4.0/).
Share and Cite
Kezar, S.; Ballagh, A.; Kankarla, V.; Sharma, S.; Sharry, R.; Lofton, J. Response of Soybean Yield and Certain Growth Parameters to Simulated Reproductive Structure Removal. Agronomy 2023, 13, 927. https://doi.org/10.3390/agronomy13030927
Kezar S, Ballagh A, Kankarla V, Sharma S, Sharry R, Lofton J. Response of Soybean Yield and Certain Growth Parameters to Simulated Reproductive Structure Removal. Agronomy. 2023; 13(3):927. https://doi.org/10.3390/agronomy13030927
Chicago/Turabian StyleKezar, Sarah, Anna Ballagh, Vanaja Kankarla, Sumit Sharma, Raedan Sharry, and Josh Lofton. 2023. "Response of Soybean Yield and Certain Growth Parameters to Simulated Reproductive Structure Removal" Agronomy 13, no. 3: 927. https://doi.org/10.3390/agronomy13030927
APA StyleKezar, S., Ballagh, A., Kankarla, V., Sharma, S., Sharry, R., & Lofton, J. (2023). Response of Soybean Yield and Certain Growth Parameters to Simulated Reproductive Structure Removal. Agronomy, 13(3), 927. https://doi.org/10.3390/agronomy13030927

