Improving Wheat Yield and Phosphorus Use Efficiency through the Optimization of Phosphorus Fertilizer Types Based on Soil P Pool Characteristics in Calcareous and Non-Calcareous Soil
Abstract
1. Introduction
2. Materials and Methods
2.1. Experimental Soils
2.2. Experimental Design
2.3. Sample Collection and Laboratory Analysis
2.4. Calculation and Statistical Analysis
3. Results
3.1. Grain Yield and Its Components
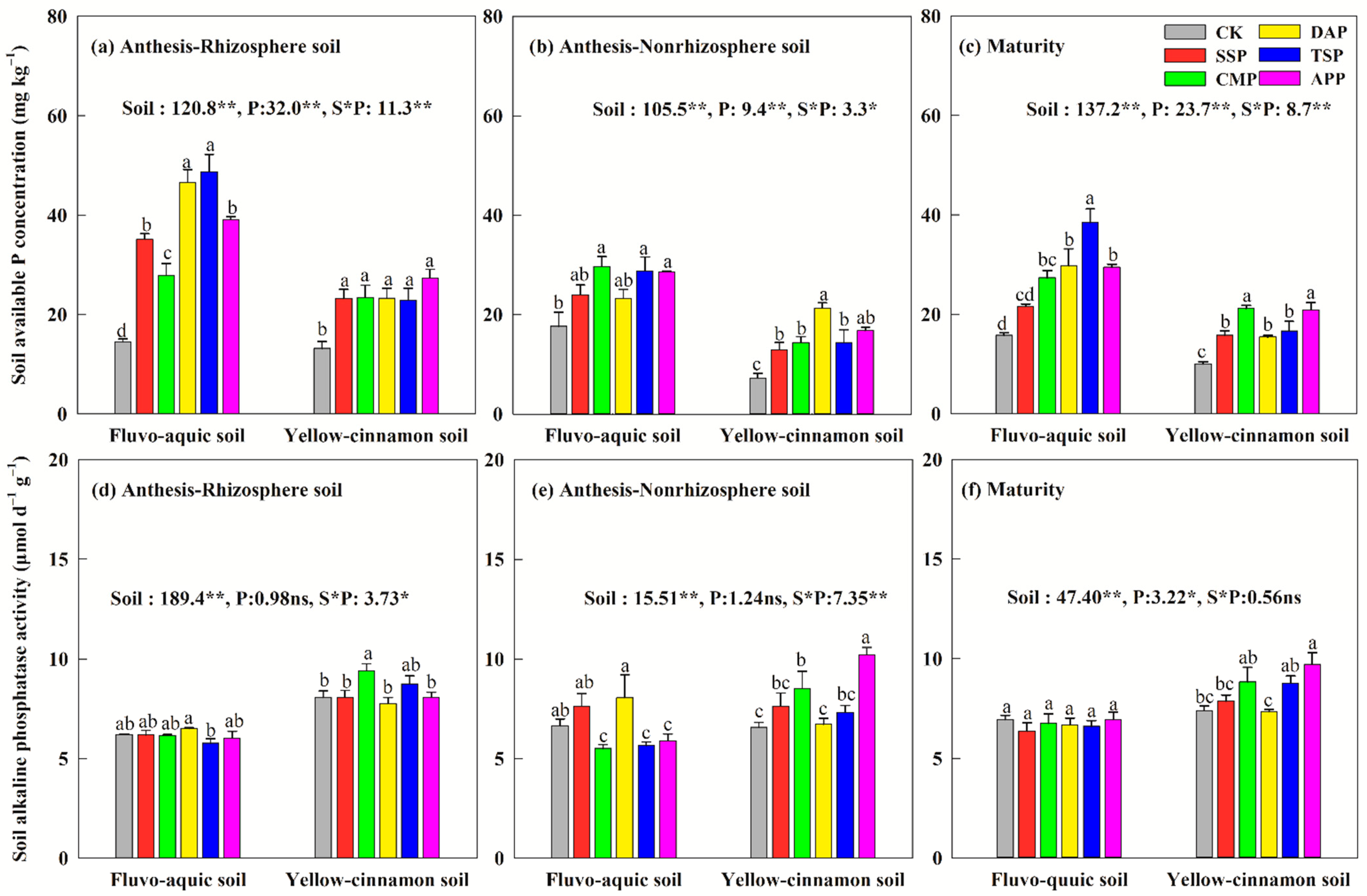
3.2. Soil Available P and Soil Alkaline Phosphatase Activity
3.3. Root Morphological Characteristics
3.4. Soil P Fraction
3.5. Shoot P Uptake
3.6. Direct and Indirect Effects of Soil P Fractions on Shoot P Uptake
3.7. P Use Efficiency
4. Discussion
4.1. Soil P Fraction Transformation and Availability Response to Different P Fertilizer Types
4.2. Relationship between Shoot P Uptake and Soil P Fraction
4.3. Shoot P Accumulation and Grain Yield Response to Different P Fertilizer Types
5. Conclusions
Author Contributions
Funding
Data Availability Statement
Acknowledgments
Conflicts of Interest
References
- Tilman, D.; Balzer, C.; Hill, J.; Befort, B.L. Global food demand and the sustainable intensification of agriculture. Proc. Natl. Acad. Sci. USA 2011, 108, 20260–20264. [Google Scholar] [CrossRef] [PubMed]
- Roy, B.B.; Chowdhury, R.B.; Baroi, A.R.; Rahman, S.; Powers, S.M.; Milne, N.; Sujauddin, M. Unravelling the anthropogenic pathways of phosphorus in the food production and consumption system of Bangladesh through the lens of substance flow analysis. J. Ind. Ecol. 2019, 23, 1439–1455. [Google Scholar] [CrossRef]
- Food and Agriculture Organization of the United Nations (FAO). FAOSTAT Technical Report. Available online: https://www.fao.org/home/zh/ (accessed on 20 May 2022).
- China Phosphate Fertilizer Industry Association. A Review of the Development of Phosphate Fertilizer Industry in 2020. Available online: https://www.cpia.org/ (accessed on 28 August 2022).
- Moreira, A.; Sfredo, G.J.; Moraes, L.A.C.; Fageria, N.K. Agronomic Efficiency of Two Types of Lime and Phosphate Fertilizer Sources in Brazilian Cerrado Soils Cultivated with Soybean. Commun. Soil Sci. Plant Anal. 2014, 45, 2319–2330. [Google Scholar] [CrossRef]
- Meyer, G.; Bell, M.J.; Doolette, C.L.; Brunetti, G.; Zhang, Y.Q.; Lombi, E.; Kopittke, P.M. Plant-Available Phosphorus in Highly Concentrated Fertilizer Bands: Effects of Soil Type, Phosphorus Form, and Coapplied Potassium. J. Agric. Food Chem. 2020, 68, 7571–7580. [Google Scholar] [CrossRef] [PubMed]
- Zhao, Y.N.; Li, R.K.; Huang, Y.F.; Sun, X.M.; Qin, W.; Wei, F.F.; Ye, Y.L. Effects of various phosphorus fertilizers on maize yield and phosphorus uptake in soils with different pH values. Arch. Agron. Soil Sci. 2021, 68, 1746–1754. [Google Scholar] [CrossRef]
- Dhillon, J.; Torres, G.; Driver, E.; Figueiredo, B.; Raun, W.B. World Phosphorus Use Efficiency in Cereal Crops. Agron. J. 2017, 109, 1670–1677. [Google Scholar] [CrossRef]
- Yu, X.; Keitel, C.; Dijkstra, F.A. Global analysis of phosphorus fertilizer use efficiency in cereal crops. Glob. Food Secur. 2021, 29, 100545. [Google Scholar] [CrossRef]
- Li, S.X.; Wang, Z.H.; Stewart, B.A. Differences of some leguminous and nonleguminous crops in utilization of soil phosphorus and responses to phosphate fer-tilizers. Adv. Agron. 2011, 110, 125–249. [Google Scholar] [CrossRef]
- Bai, Z.H.; Li, H.G.; Yang, X.Y.; Zhou, B.K.; Shi, X.J.; Wang, B.R.; Li, D.C.; Shen, J.B.; Chen, Q.; Qin, W.; et al. The critical soil P levels for crop yield, soil fertility and environmental safety in different soil types. Plant Soil 2013, 372, 27–37. [Google Scholar] [CrossRef]
- Hopkins, B.G.; Hansen, N.C. Phosphorus Management in High-Yield Systems. J. Environ. Qual. 2019, 14, 7669. [Google Scholar] [CrossRef]
- Erro, J.; Baigorri, R.; Yvin, J.-C.; Garcia-Mina, J.M. 31 P NMR Characterization and Efficiency of New Types of Water-Insoluble Phosphate Fertilizers to Supply Plant-Available Phosphorus in Diverse Soil Types. J. Agric. Food Chem. 2011, 59, 1900–1908. [Google Scholar] [CrossRef]
- Lu, D.J.; Song, H.; Jiang, S.T.; Chen, X.Q.; Wang, H.Y.; Zhou, J.M. Integrated Phosphorus Placement and Form for Improving Wheat Grain Yield. Agron. J. 2019, 111, 1998–2004. [Google Scholar] [CrossRef]
- Wang, X.W.; Gao, Y.J.; Hu, B.W.; Chu, G.X. Comparison of the hydrolysis characteristics of three polyphosphates and their effects on soil phosphorus and micronutrient availability. Soil Use Manag. 2019, 35, 664–674. [Google Scholar] [CrossRef]
- Ji, B.J.; Li, W.H.; Xu, M.Y.; Niu, J.C.; Zhang, S.L.; Yang, X.Y. Varying synthetic phosphorus varieties lead to different fractions in calcareous soil. Sci. Agric. Sin. 2021, 54, 2581–2594. [Google Scholar]
- Li, Q.J.; Zhang, Y.; Harlhax, Y.; Feng, G. Phosphorus utilization efficiency and yield responses of drip irrigated cotton under plastic film mulching to three types of water soluble phosphorus fertilizers. Cotton Sci. 2018, 30, 172–179. [Google Scholar]
- Zhang, H.Y.; Zhang, J.; Zhang, F.L.; Liu, D.; Wei, C.Z. Effects of different phosphorus fertilizers on soil phosphorus availability and maize yield under drip irrigation. J. Soil Water Conserv. 2019, 33, 189–195. [Google Scholar]
- Wang, Y.K.; Cai, Z.J.; Feng, G. Effects of different phosphorus application techniques on phosphorus availability in a rape system in a red soil. Acta Pedol. Sin. 2023, 60, 235–246. [Google Scholar]
- Weihrauch, C.; Opp, C. Ecologically relevant phosphorus pools in soils and their dynamics: The story so far. Geoderma 2018, 325, 183–194. [Google Scholar] [CrossRef]
- Han, Y.; Chen, X.W.; Choi, B. Effect of Freeze–Thaw Cycles on Phosphorus Fractions and Their Availability in Biochar-Amended Mollisols of Northeast China (Laboratory Experiment). Sustainability 2019, 11, 1006. [Google Scholar] [CrossRef]
- Milić, S.; Ninkov, J.; Zeremski, T.; Latković, D.; Šeremešić, S.; Radovanović, V.; Žarković, B. Soil fertility and phosphorus fractions in a calcareous chernozem after a long-term field experiment. Geoderma 2018, 339, 9–19. [Google Scholar] [CrossRef]
- Liao, D.; Zhang, C.C.; Lambers, H.; Zhang, F.S. Adding intercropped maize and faba bean root residues increases phosphorus bioavailability in a calcareous soil due to organic phosphorus mineralization. Plant Soil 2022, 476, 201–218. [Google Scholar] [CrossRef]
- Cherubin, M.R.; Franco, A.L.C.; Cerri, C.E.P.; Karlen, D.L.; Pavinato, P.S.; Rodrigues, M.; Davies, C.A.; Cerri, C.C. Phosphorus pools responses to land-use change for sugarcane expansion in weathered Brazilian soils. Geoderma 2016, 265, 27–38. [Google Scholar] [CrossRef]
- Menezes-Blackburn, D.; Giles, C.; Darch, T.; George, T.S.; Blackwell, M.; Stutter, M.; Shand, C.; Lumsdon, D.; Cooper, P.; Wendler, R.; et al. Opportunities for mobilizing recalcitrant phosphorus from agricultural soils: A review. Plant Soil 2017, 427, 5–16. [Google Scholar] [CrossRef]
- Hedley, M.J.; Steaward, J.W.B.; Chauhan, B.S. Changes in inorganic and organic soil phosphorus fractions induced by cultivation practices and by laboratory incubations. Soil Sci. Soc. Am. J. 1982, 46, 970–976. [Google Scholar] [CrossRef]
- Sui, Y.; Thompson, M.L.; Shang, C. Fractionation of Phosphorus in a Mollisol Amended with Biosolids. Soil Sci. Soc. Am. J. 1999, 63, 1174–1180. [Google Scholar] [CrossRef]
- Li, L.; Liang, X.Q.; Ye, Y.S.; Zhao, Y.; Zhang, Y.X.; Jin, Y.; Yuan, J.L.; Chen, Y.X. Effects of repeated swine manure applications on legacy phosphorus and phosphomonoesterase activities in a paddy soil. Biol. Fertil. Soils 2014, 51, 167–181. [Google Scholar] [CrossRef]
- Liu, J.; Li, C.Y.; Xing, Y.W.; Wang, Y.; Xue, Y.L.; Wang, C.R.; Dang, T.H. Effects of long-term fertilization on soil organic phosphorus fractions and wheat yield in farmland of Loess Plateau. J. Appl. Ecol. 2020, 31, 157–164. [Google Scholar]
- Zhang, L.C.; Chen, J.J.; Chu, G.X. Legacy phosphorus in calcareous soil under 33 years of P fertilizer application: Implications for efficient P management in agriculture. Soil Use Manag. 2022, 38, 1380–1393. [Google Scholar] [CrossRef]
- Feng, Y.H.; Zhang, Y.Z.; Huang, Y.X. Effects of phosphatezation on organic phosphorus fractions and their seasonal variations and bioavailabilities of paddy soils in Hunan Province. J. Plant Nutr. Fert. 2010, 16, 634–641. [Google Scholar]
- Johnston, A.E.; Poulton, P.R. Phosphorus in Agriculture: A Review of Results from 175 Years of Research at Rothamsted, UK. J. Environ. Qual. 2019, 48, 1133–1144. [Google Scholar] [CrossRef]
- Xu, X.F.; Mi, Q.; Liu, D.; Fu, S.L.; Wang, X.G.; Guo, D.Y.; Zhou, W. Effect of phosphorus fertilizer rate on phosphorus fractions contents in calcareous soil and phosphorus accumulation amount in crop. Chin. J. Eco-Agric. 2021, 29, 1857–1866. [Google Scholar]
- Valkama, E.; Uusitalo, R.; Ylivainio, K.; Virkajarvi, P.; Turtola, E. Phosphorus fertilization: A meta-analysis of 80 years of re-search in Finland. Agric. Ecosyst. Environ. 2009, 130, 75–85. [Google Scholar] [CrossRef]
- Tang, X.; Shi, X.; Ma, Y.; Hao, X. Phosphorus efficiency in a long-term wheat–rice cropping system in China. J. Agric. Sci. 2010, 149, 297–304. [Google Scholar] [CrossRef]
- Johnston, A.E.; Poulton, P.R.; Fixen, P.E.; Curtin, D. Phosphorus: Its efficient use in agriculture. Adv. Agron. 2014, 123, 177–228. [Google Scholar]
- Singh, J.; Brar, B.S.; Sekhon, B.S.; Mavi, M.S.; Singh, G.; Kaur, G. Impact of long-term phosphorous fertilization on Olsen-P and grain yields in maize–wheat cropping sequence. Nutr. Cycl. Agroecosystems 2016, 106, 157–168. [Google Scholar] [CrossRef]
- Moreira, A.; Moraes, L.A.C.; Petineli, R. Phosphate Fertilizer in Soybean-Wheat Cropping System Under No-Till Management. Front. Sustain. Food Syst. 2020, 4. [Google Scholar] [CrossRef]
- Katznelson, H.; Bose, B. Metabolic activity and phosphate-dissolving capability of bacterial isolates from wheat roots, rhizosphere, and non-rhizosphere soil. Can. J. Microbiol. 1959, 5, 673–678. [Google Scholar] [CrossRef] [PubMed]
- Zhang, Y.P.; Chen, Q.; Li, Y.; Li, G.S.; Sun, M.; Liu, Z.H. Effect of phosphorus levels on form and bioavailability of inorganic P in plough layer of cinnamon soil in Shandong province. Chin. Agric. Sci. Bull. 2008, 24, 245–248. [Google Scholar]
- Chen, B.L.; Sheng, J.D.; Jiang, P.A.; Liu, Y.G. Effect of applying different forms and rates of phosphoric fertilizer on phosphorus efficiency and cotton yield. Cotton Sci. 2010, 22, 49–56. [Google Scholar]
- Wang, Y.Y.; Gong, H.D.; Wang, X.Y.; Tu, Y.F.; Song, H.Y.; Chen, B.L.; Sheng, J.D. Effects of phosphorus application on inorganic phosphorus forms and available phosphorus in irrigated meadow soil. J. Agric. Resour. Environ. 2023, 40, 135–142. [Google Scholar]
- Adhami, E.; Ronaghi, A.; Karimian, N.; Molavi, R. Transformation of phosphorus in highly calcareous soils under field capac-ity and waterlogged conditions. Soil Res. 2012, 50, 249–255. [Google Scholar] [CrossRef]
- Maharajan, T.; Ceasar, S.A.; Krishna, T.P.A.; Ignacimuthu, S. Management of phosphorus nutrient amid climate change for sustainable agriculture. J. Environ. Qual. 2021, 50, 1303–1324. [Google Scholar] [CrossRef] [PubMed]
- Wang, Q.; Chen, Y.H.; Zhang, N.Y.; Qin, Z.H.; Jin, Y.W.; Zhu, P.; Peng, C.; Colinet, G.; Zhang, S.X. Phosphorus adsorption and desorption characteristics as affected by long-term phosphorus application in black soil. J. Plant Nutr. Fert. 2022, 28, 1569–1581. [Google Scholar]
- Gatiboni, L.C.; Schmitt, D.E.; Tiecher, T.; Veloso, M.G.; Dos Santos, D.R.; Kaminski, J.; Brunetto, G. Plant uptake of legacy phosphorus from soils without P fertilization. Nutr. Cycl. Agroecosystems 2021, 119, 139–151. [Google Scholar] [CrossRef]
- Boschetti, N.G.; Quintero, C.E.; Giuffre, L. Phosphorus fractions of soils under Lotus corniculatus as affected by different phosphorus fertilizers. Biol. Fertil. Soils 2008, 45, 379–384. [Google Scholar] [CrossRef]
- Uygur, V.; Durgun, B.; Senol, H. Chemical Fractions of Phosphorus: The Effect of Soil Orders, Soil Properties, and Land Use. Commun. Soil Sci. Plant Anal. 2017, 48, 1319–1335. [Google Scholar] [CrossRef]
- Mahmood, M.; Tian, Y.; Ma, Q.X.; Ahmed, W.; Mehmood, S.; Hui, X.L.; Wang, Z.H. Changes in Phosphorus Fractions and Its Availability Status in Relation to Long Term P Fertilization in Loess Plateau of China. Agronomy 2020, 10, 1818. [Google Scholar] [CrossRef]
- Shaheen, S.M.; Tsadilas, C.D.; Stamatiadis, S. Inorganic phosphorus forms in some entisols and aridisols of Egypt. Geoderma 2007, 142, 217–225. [Google Scholar] [CrossRef]
- Weil, R.R.; Brady, N.C. The Nature and Properties of Soils, 15th ed.; Pearson Education: Columbus, OH, USA, 2017. [Google Scholar]
- Khorshid, M.S.H.; Kruse, J.; Semella, S.; Vohland, M.; Wagner, J.F.; Thiele-Bruhn, S. Phosphorus fractions and speciation in rural and urban calcareous soils in the semiarid region of Sulaimani city, Kurdistan, Iraq. Environ. Earth Sci. 2019, 78, 531. [Google Scholar] [CrossRef]
- Kumar, A.; Suri, V.K.; Choudhary, A.K. Influence of inorganic phosphorus, VAM fungi, and irrigation regimes on crop productivity and phosphorus transformations in okra (Abelmoschus esculentus L.)-pea (Pisum sativum L.) cropping system in an acid alfisol. Commun. Soil Sci. Plan. 2014, 45, 953–967. [Google Scholar] [CrossRef]
- Hailu, H.; Keskinen, R.; Woldetsadik, D.; Mamo, T. Different Indices as Indicators of Phosphorus Availability to Wheat on Vertisols in Central Highlands of Ethiopia. Commun. Soil Sci. Plant Anal. 2022, 53, 3029–3044. [Google Scholar] [CrossRef]
- Cao, D.Y.; Lan, Y.; Liu, Z.Q.; Yang, X.; Liu, S.N.; He, T.Y.; Wang, D.I.; Meng, J.; Chen, W.F. Responses of organic and inorganic phosphorus fractions in brown earth to successive maize stover and biochar application: A 5-year field experiment in Northeast China. J. Soils Sediments 2020, 20, 2367–2376. [Google Scholar] [CrossRef]
- Varinderpal-Singh.; Dhillon, N.S.; Raj-Kumar.; Brar, B.S. Long-term effects of inorganic fertilizers and manure on phosphorus reaction products in a Typic Ustochrept. Nutr. Cycl. Agroecosys. 2006, 76, 29–37. [Google Scholar] [CrossRef]
- Van der Bom, F.J.T.; McLaren, T.I.; Doolette, A.L.; Magid, J.; Frossard, E.; Oberson, A.; Jensen, L.S. Influence of long-term phosphorus fertilisation history on the availability and chemical nature of soil phosphorus. Geoderma 2019, 355, 113909. [Google Scholar] [CrossRef]
- Coelho, M.J.A.; Diaz, D.R.; Hettiarachchi, G.M.; Hansel, F.D.; Pavinato, P.S. Soil phosphorus fractions and legacy in a corn-soybean rotation on Mollisols in Kansas, USA. Geoderma Reg. 2019, 18, e00228. [Google Scholar] [CrossRef]
- Wang, X.C.; Deng, X.Y.; Pu, T.; Song, C.; Yong, T.W.; Yang, F.; Sun, X.; Liu, W.G.; Yan, Y.H.; Du, J.B.; et al. Contribution of interspecific interactions and phosphorus application to increasing soil phosphorus availability in relay intercropping systems. Field Crop. Res. 2017, 204, 12–22. [Google Scholar] [CrossRef]
- Yu, F.Y.; Li, W.; Gao, X.K.; Li, P.; Fu, Y.H.; Yang, J.Y.; Li, Y.J.; Chang, H.Q.; Zhou, W.L.; Wang, X.G.; et al. Genotype difference in the physiological characteristics of phosphorus acquisition by wheat seedlings in alkaline soils. Plant, Soil Environ. 2020, 66, 506–512. [Google Scholar] [CrossRef]
- Velásquez, G.; Calabi-Floody, M.; Poblete-Grant, P.; Rumpel, C.; Demanet, R.; Condron, L.; Mora, M.L. Fertilizer effects on phosphorus fractions and organic matter in Andisols. J. Soil Sci. Plant Nutr. 2016, 16, 294–304. [Google Scholar] [CrossRef]
- Yan, J.Y.; Ren, T.; Wang, K.K.; Li, H.Z.; Li, X.K.; Cong, R.H.; Lu, J.W. Improved crop yield and phosphorus uptake through the optimization of phosphorus fertilizer rates in an oilseed rape-rice cropping system. Field Crop. Res. 2022, 286. [Google Scholar] [CrossRef]
- Wang, K.K.; Ren, T.; Yan, J.Y.; Zhu, D.D.; Liao, S.P.; Zhang, Y.Y.; Lu, Z.F.; Cong, R.H.; Li, X.K.; Lu, J.W. Straw returning medi-ates soil microbial biomass carbon and phosphorus turnover to enhance soil phosphorus availability in a rice-oilseed rape rotation with different soil phosphorus levels. Agric. Ecosyst. Environ. 2022, 335, 107991. [Google Scholar] [CrossRef]
- Guo, D.Y.; Yuan, Y.Y.; Zeng, X.; Chen, B.; Wei, W.J.; Cui, Y.; Yuan, M.; Sun, L.R. Effect of phosphorus fertilizer on maize growth and inorganic phosphorus fractions in a calcareous soil. J. Soil Water Conserv. 2021, 35, 243–249. [Google Scholar]
- Alkhader, A.M.F.; Abu, R.A.M.; Rusan, M.J. The effect of phosphorus fertilizers on the growth and quality of lettuce (Lactuca sativa L.) under greenhouse and field conditions. J. Food Agric. Environ. 2013, 11, 777–783. [Google Scholar]
- Akhtar, M.; Yaqub, M.; Naeem, A.; Ashraf, M.; Hernandez, V.E. Improving phosphorus uptake and wheat productivity by phosphoric acid application in alkaline calcareous soils. J. Sci. Food Agric. 2015, 96, 3701–3707. [Google Scholar] [CrossRef] [PubMed]
- Phillips, S.B.; Raun, W.R.; Johnson, G.V.; Thomason, W.E. Effect of dual applied phosphorus and gypsum on wheat forage and grain yield. J. Plant Nutr. 2000, 23, 251–261. [Google Scholar] [CrossRef]
- Huang, Q.N.; Dang, H.Y.; Huang, T.M.; Hou, S.B.; Wang, Z.H. Evaluation of farmers’ fertilizer application and fertilizer reduction potentials in major wheat production regions of China. Sci. Agric. Sin. 2020, 53, 4816–4834. [Google Scholar]
- Mariotte, P.; Cresswell, T.; Johansen, M.P.; Harrison, J.J.; Keitel, C.; Dijkstra, F.A. Plant uptake of nitrogen and phosphorus among grassland species affected by drought along a soil available phosphorus gradient. Plant Soil 2020, 448, 121–132. [Google Scholar] [CrossRef]










| Soil Types | Texture | OM | TN | AN | AP | AK | pH |
|---|---|---|---|---|---|---|---|
| (g kg−1) | (g kg−1) | (mg kg−1) | (mg kg−1) | (mg kg−1) | |||
| Fluvo-aquic | Sandy loam | 11.7 ± 0.2 | 0.65 ± 0.01 | 56.1 ± 2.3 | 4.9 ± 0.1 | 101.3 ± 0.7 | 8.04 ± 0.1 |
| Yellow cinnamon | Clay loam | 14.9 ± 0.3 | 0.93 ± 0.01 | 69.9 ± 1.2 | 4.1 ± 0.2 | 150.0 ± 3.9 | 7.17 ± 0.1 |
Disclaimer/Publisher’s Note: The statements, opinions and data contained in all publications are solely those of the individual author(s) and contributor(s) and not of MDPI and/or the editor(s). MDPI and/or the editor(s) disclaim responsibility for any injury to people or property resulting from any ideas, methods, instructions or products referred to in the content. |
© 2023 by the authors. Licensee MDPI, Basel, Switzerland. This article is an open access article distributed under the terms and conditions of the Creative Commons Attribution (CC BY) license (https://creativecommons.org/licenses/by/4.0/).
Share and Cite
Luo, L.; Zhang, X.; Zhang, M.; Wei, P.; Chai, R.; Wang, Y.; Zhang, C.; Siddique, K.H.M. Improving Wheat Yield and Phosphorus Use Efficiency through the Optimization of Phosphorus Fertilizer Types Based on Soil P Pool Characteristics in Calcareous and Non-Calcareous Soil. Agronomy 2023, 13, 928. https://doi.org/10.3390/agronomy13030928
Luo L, Zhang X, Zhang M, Wei P, Chai R, Wang Y, Zhang C, Siddique KHM. Improving Wheat Yield and Phosphorus Use Efficiency through the Optimization of Phosphorus Fertilizer Types Based on Soil P Pool Characteristics in Calcareous and Non-Calcareous Soil. Agronomy. 2023; 13(3):928. https://doi.org/10.3390/agronomy13030928
Chicago/Turabian StyleLuo, Laichao, Xinyao Zhang, Min Zhang, Peng Wei, Rushan Chai, Yayi Wang, Chaochun Zhang, and Kadambot H. M. Siddique. 2023. "Improving Wheat Yield and Phosphorus Use Efficiency through the Optimization of Phosphorus Fertilizer Types Based on Soil P Pool Characteristics in Calcareous and Non-Calcareous Soil" Agronomy 13, no. 3: 928. https://doi.org/10.3390/agronomy13030928
APA StyleLuo, L., Zhang, X., Zhang, M., Wei, P., Chai, R., Wang, Y., Zhang, C., & Siddique, K. H. M. (2023). Improving Wheat Yield and Phosphorus Use Efficiency through the Optimization of Phosphorus Fertilizer Types Based on Soil P Pool Characteristics in Calcareous and Non-Calcareous Soil. Agronomy, 13(3), 928. https://doi.org/10.3390/agronomy13030928

