Effects of Carbon-Based Fertilizer on Soil Physical and Chemical Properties, Soil Enzyme Activity and Soil Microorganism of Maize in Northeast China
Abstract
1. Introduction
2. Materials and Methods
2.1. Experimental Design
2.2. Data Collection
2.2.1. Determination of Soil pH and Conductivity
2.2.2. Determination of Soil Carbon Flux
2.2.3. Determination of Soil Available Nutrient Content
2.2.4. Determination of Soil Enzyme Activity
2.2.5. Determination of Soil Microorganism
2.3. Statistical Analysis
3. Results
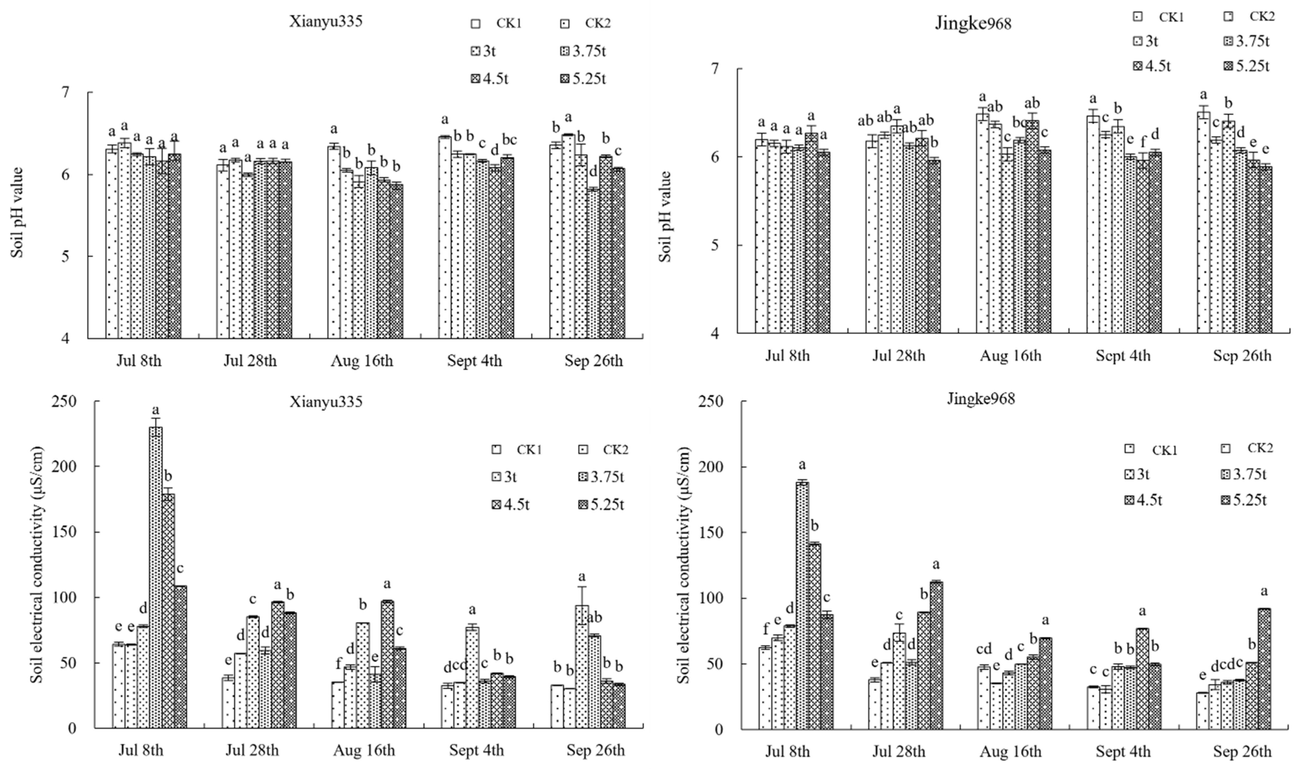
3.1. Soil pH Value and Soil Electrical Conductivity
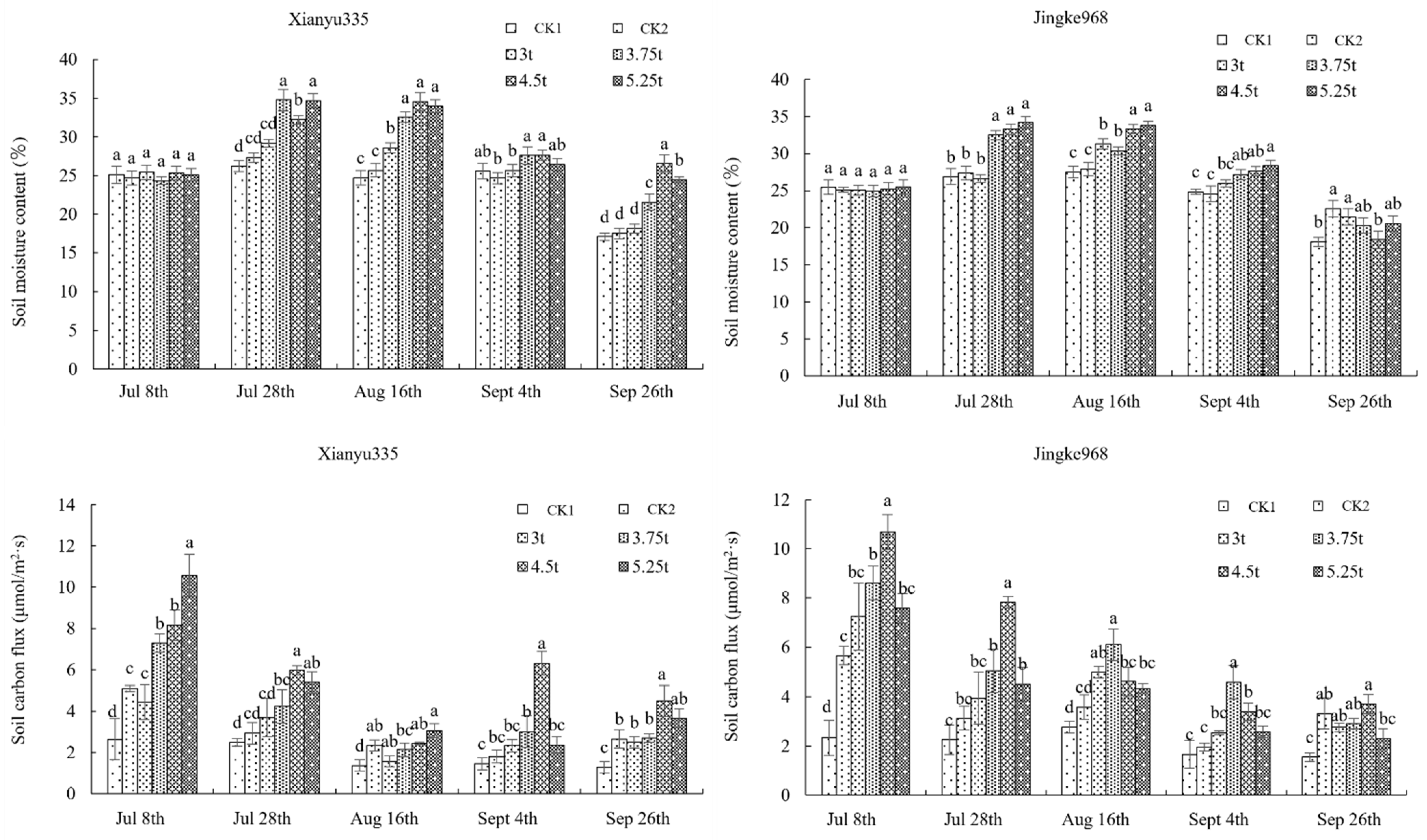
3.2. Soil Moisture Content and Soil Carbon Flux
3.3. Nitrate Nitrogen Content in Soil
3.4. Ammonium Nitrogen Content in Soil
3.5. Available Phosphorus Content in Soil
3.6. Soil Available Potassium Content
3.7. Soil Neutral Phosphatase Activity, Soil Urease Activity and Soil Β-Glucosidase Activity
3.8. Soil α-Xylosidase Activity, Soil Polyphenol Oxidase Activity and Soil Catalase Activity
3.9. Soil Bacteria
3.10. Soil Fungi
4. Discussion
5. Conclusions
Author Contributions
Funding
Data Availability Statement
Conflicts of Interest
References
- Wang, Q.; Li, Y. Fertilizer proper use and sustainable develpoment of soil environment in China. Adv. Environ. Sci. 1999, 2, 117–125. [Google Scholar]
- Yang, Z.; Zhang, Y. Effect of irrational fertilization practices on rice biomass production, nutrient uptake capacity and grain yield. Hunan Agric. Sci. 2007, 4, 108–112. [Google Scholar] [CrossRef]
- Chen, W.; Zhang, W.; Meng, J. Advances and prospects in research of biochar utilization in agriculture. Sci. Agric. Sin. 2013, 46, 3324–3333. [Google Scholar] [CrossRef]
- Woolf, D.; Amonette, J.; Street-Perrott, F.; Lehmann, J.; Joseph, S. Sustainable biochar to mitigate global climate change. Nat. Commun. 2010, 1, 56. [Google Scholar] [CrossRef]
- Zhan, X.; Peng, J.; Wang, Y.; Liu, Y.; Chen, K.; Han, X.; Wang, H.; Lin, W.; Li, X. Influences of application of biochar and biochar-based fertilizer on brown soil physiochemical properties and peanut yields. J. Plant Nutr. Fertil. 2015, 21, 1633–1641. [Google Scholar] [CrossRef]
- Lu, G.; Zhang, Y.; Wang, X.; Meng, Y. Effects of Carbon Base Fertilizers on Soil Physical Properties and Maize Yield. J. Hebei Agric. Sci. 2011, 15, 50–53. [Google Scholar] [CrossRef]
- Jiao, R.; Ren, S.; Wang, J.; Wei, C.; Meng, M.; Chen, Y. The Effects of Carbon Based Fertilizer on Soil Bulk Density and Porosity and Nutrient of Potato. Acta Agric. Boreali-Sin. 2015, 30, 231–238. [Google Scholar] [CrossRef]
- Lv, Y. The Experimental Study of Influence of Biochar Fertilizer on Soil Properties, Maize Growth and Water and Fertilizer Use Efficiency. Master’s Thesis, Inner Mongolia Agricultural University, Hohhot, China, 2014. [Google Scholar]
- Zhong, Z.; Yang, Q.; Li, X.; Luo, K.; Liu, Y.; Zeng, G. Preparation of peanut hull-based activated carbon by microwave-induced pHospHoric acid activation and its application in Remazol Brilliant Blue R adsorption. Ind. Crops Prod. 2012, 37, 178–185. [Google Scholar] [CrossRef]
- Zhang, D.; Jiang, B.; Liang, S.; Lv, S.; Xu, X. Responsive of aggregate stability of meadow black soil to different tillage practices and carbon-based fertilizers. Trans. Chin. Soc. Agric. Eng. 2019, 35, 125–132. [Google Scholar] [CrossRef]
- Khan, M.; Kim, K.; Mingzhi, W.; Lim, B.; Lee, W.; Lee, J. Nutrient-impregnated charcoal: An environmentally friendly slow-release fertilizer. Environmentalist 2007, 28, 231–235. [Google Scholar] [CrossRef]
- Liu, W. Effects of Combined Application of Biochar-Base Fertilizer and Chemical Fertilizer on Rice Yield and Soil Nutrients. Master’s Thesis, Jiangxi Agricultural University, Nanchang, China, 2019. [Google Scholar]
- Yang, J.; Lu, Y.; Liu, X.; Wang, Y.; Li, N.; Huang, Y.; Han, X. Effects of biochar-based slow-release fertilizer on photosynthetic characters of peanut functional leaves. J. Plant Nutr. Fertil. 2017, 23, 408–415. [Google Scholar] [CrossRef]
- Zhou, Z.; Gao, T.; Van Zwieten, L.; Zhu, Q.; Yan, T.; Xue, J.; Wu, Y. Soil microbial community structure shifts induced by biochar and biochar-based fertilizer amendment to karst calcareous soil. Soil Sci. Soc. Am. J. 2019, 83, 398–408. [Google Scholar] [CrossRef]
- Yin, D.; Jin, L.; Guo, X.; Liu, M.; Wang, H.; Xue, Y.; Yang, K.; Zhang, Y.; Guo, Y.; Guo, W.; et al. Effects of Biochar Based Fertilizer on Nutrient Content of Sandy Loam Soil and Yield of Silage Maize. J. Northeast Agric. Sci. 2019, 44, 19–24+88. [Google Scholar] [CrossRef]
- Wang, H.; Lu, C.; Shen, M.; Shi, L.; Zhou, X.; Jin, M. Effect of biochar-based organic fertilizer on rice yield and soil nutrients. Jiangsu Agric. Sci. 2016, 44, 104–107. [Google Scholar] [CrossRef]
- Gao, M.; Jiang, T.; Han, X.; Yang, J. Effects of Applying Biochar-Based Fertilizer and Biochar on Organic Carbon Fractions and Contents of Brown Soil. Sci. Agric. Sin. 2018, 51, 2126–2135. [Google Scholar] [CrossRef]
- Bi, Q.; Chen, Q.; Yang, X.; Li, H.; Zheng, B.; Zhou, W.; Liu, X.; Dai, P.; Li, K.; Lin, X. Effects of combined application of nitrogen fertilizer and biochar on the nitrification and ammonia oxidizers in an intensive vegetable soil. AMB Express 2017, 7, 198. [Google Scholar] [CrossRef] [PubMed]
- El Sharkawi, H.; Tojo, S.; Chosa, T.; Malhat, F.; Youssef, A. Biochar-ammonium phosphate as an uncoated-slow release fertilizer in sandy soil. Biomass Bioenergy 2018, 117, 154–160. [Google Scholar] [CrossRef]
- Alburquerque, J.; Cabello, M.; Avelino, R.; Barron, V.; del Campillo, M.; Torrent, J. Plant growth responses to biochar amendment of Mediterranean soils deficient in iron and phosphorus. J. Plant Nutr. Soil Sci. 2015, 178, 567–575. [Google Scholar] [CrossRef]
- Li, Q.; Zhang, L.; Liu, H.; Zhang, Y.; Zhao, J.; Zhang, H.; Yang, D.; Wang, H. Effects of cover crop diversity on soil microbial community functions in a kiwifruit orchard. J. Agro-Environ. Sci. 2020, 39, 351–359. [Google Scholar] [CrossRef]
- Zhang, Z. Effects of Biochar Based Fertilizers on Microbial Diversity and Growth of Flue-Cured Tobacco in Three Types of Tobacco Planting Soils. Master’s Thesis, Henan Agricultural University, Zhengzhou, China, 2019. [Google Scholar]
- Pietikäinen, J.; Kiikkilä, O.; Fritze, H. Charcoal as a habitat for microbes and its effect on the microbial community of the underlying humus. Oikos 2000, 89, 231–242. [Google Scholar] [CrossRef]
- Chen, Y.; Wu, C.; Li, C.; Lin, Y.; Cheng, J.; Pan, W. Effect of biochar-based fertilizer on bacterial and fungal community composition, diversity in tobacco-planting yellow soil. Acta Microbiol. Sin. 2020, 60, 653–666. [Google Scholar] [CrossRef]
- Chen, K.; Xu, X.; Peng, J.; Feng, X.; Li, Y.; Zhan, X.; Han, X. Effects of biochar and biochar-based fertilizer on soil microbial community structure. Sci. Agric. Sin. 2018, 51, 1920–1930. [Google Scholar] [CrossRef]
- Zhang, A.; Bian, R.; Pan, G.; Cui, L.; Hussain, Q.; Li, L.; Zheng, J.; Zheng, J.; Zhang, X.; Han, X.; et al. Effects of biochar amendment on soil quality, crop yield and greenhouse gas emission in a Chinese rice paddy: A field study of 2 consecutive rice growing cycles. Field Crops Res. 2012, 127, 153–160. [Google Scholar] [CrossRef]
- Cederlund, H.; Wessen, E.; Enwall, K.; Jones, C.; Juhanson, J.; Pell, M.; Philippot, L.; Hallin, S. Soil carbon quality and nitrogen fertilization structure bacterial communities with predictable responses of major bacterial phyla. Appl. Soil Ecol. 2014, 84, 62–68. [Google Scholar] [CrossRef]
- Chang, D.; Ma, W.; Zhang, K.; Wang, X.; He, X.; Xu, Y.; Xu, F. Effect of biochar fertilizer on microbial functional diversity in tobacco growing soil. Acta Table Sin. 2018, 24, 58–66. [Google Scholar] [CrossRef]
- Wang, L.; Yao, T.; Wang, F.; Wei, L.; Guo, C.; Wu, C.; Li, F. Soil microbial and soil enzyme activity in a discontinued farmland by the Lower Shiyang River. Acta Ecol. Sin. 2016, 36, 4769–4779. [Google Scholar] [CrossRef]
- He, F.; Jin, H.; Wang, S.; Han, S.; Zeng, R.; Ma, J. Effect of desertification on soil microbial biomass and enzyme activities in Maqu alpine meadow. Acta Ecol. Sin. 2016, 36, 5876–5883. [Google Scholar] [CrossRef]
- Wei, J.; Hong, J. Effect of inorganic organic fertilizer combined with biochar on enzyme activity and phosphorus forms in reclaimed soil. Acta Agric. Boreali-Sin. 2019, 34, 170–176. [Google Scholar] [CrossRef]
- Li, Y.; Wang, H.; Zhao, J.; Huangfu, C.; Yang, D. Effects of tillage methods on soil physicochemical properties and biological characteristics in farmland: A review. Chin. J. Appl. Ecol. 2015, 26, 939–948. [Google Scholar] [CrossRef]
- Ren, S. Effcets of Carbon Based Fertilizer on Growth and Soil Properties of Patato. Master’s Thesis, Inner Mongolia Agricultural University, Hohhot, China, 2014. [Google Scholar]
- Zhao, J.; Geng, Z.; Shang, J.; Geng, R.; Wang, Y.; Wang, S.; Zhao, H. Effects of biochar and biochar-based ammonium nitrate fertilizers on soil microbial biomass carbon and nitrogen and enzyme activities. Acta Ecol. Sin. 2016, 36, 2355–2362. [Google Scholar] [CrossRef]
- Huang, D.; Wang, L.; Li, W.; Qiu, X. Research progress on the effect and mechanism of fertilization measure on soil fertility. Chin. J. Eco-Agric. 2014, 22, 127–135. [Google Scholar] [CrossRef]
- Rong, Q.; Liang, G.; Zhou, W.; Liu, D.; Wang, X.; Sun, J.; Li, S.; Hu, C. Effects of different organic fertilization on fertility and enzyme activities of yellow clayey soil. J. Plant Nutr. Fertil. 2014, 20, 1168–1177. [Google Scholar] [CrossRef]
- Yu, Y.; Qian, C.; Gu, W.; Li, C. Responses of Root Characteristic Parameters and Plant Dry Matter Accumulation, Distribution and Transportation to Nitrogen Levels for Spring Maize in Northeast China. Agriculture 2021, 11, 308. [Google Scholar] [CrossRef]
- Gao, Y.; Liang, C.; Pei, Z.; Li, M.; Xie, F. Effcts of biochar anf lime on the fraction transform of cadmium in contaminated soil. J. Soil Water Conserv. 2014, 28, 258–261. [Google Scholar] [CrossRef]
- Luo, F.; Song, J.; Dong, M.; Xia, W.; Wei, J.; Chen, M. Characterization of contaminants in rapeseed cake-derived biochars and evaluation of their suitability for soil improvement. Res. Environ. Sci. 2014, 27, 1292–1297. [Google Scholar] [CrossRef]
- Fang, B.; Li, X.; Zhao, B.; Zhong, L. Influence of biochar on soil physical and chemical properties and crop yields in rainfed field. Ecol. Environ. Sci. 2014, 23, 1292–1297. [Google Scholar] [CrossRef]
- Deng, S.; He, S.; Liang, F.; Zhu, J.; Wu, D. Application effect of bio-carbon compound fertilizer on maize. Phosphate Comp. Fertil. 2019, 34, 39–40+47. [Google Scholar] [CrossRef]
- Hu, M.; Zhu, X.; Li, D.; Zhao, Y.; Sun, T.; Yang, B.; Jia, H.; Wang, X. Effects of biocharcoal-based base fertilizer and wood vinegar on soil nutrients and cotton yield in arid area. J. Xinjiang Agric. Univ. 2018, 41, 369–375. [Google Scholar] [CrossRef]
- Lv, Z. Effects of Biochar and Biochar Compound Fertilizer Application on Crop Yield and Economic Benefit. Master’s Thesis, Nanjing Agricultural University, Nanjing, China, 2017. [Google Scholar]
- Li, Y. Effects of Biochar on Apple Yield, Quality and Soil Nutrient Availablility. Master’s Thesis, Shandong Agricultural University, Taian, China, 2018. [Google Scholar]
- Yang, L.; Zhang, Q.; Wang, J.; Luo, H.; Zhang, Y.; Zhang, W. Effect of main technical measures on soil total organic carbon and easily oxidation seasonal dynamics of oasis farmlad. J. Shihezi Univ. (Nat. Sci.) 2013, 31, 549–555. [Google Scholar] [CrossRef]
- Wu, R.; Wang, Y.; Zhu, P.; He, M.; Huang, C.; Wang, L.; Zhang, F. Effects of long-term fertilization on soil respiration in spring maize field in the central part of northeast China. J. Plant Nutr. Fertil. 2018, 24, 44–52. [Google Scholar] [CrossRef]
- Shang, J.; Geng, Z.; Wang, Y.; Chen, X.; Zhao, J. Effect of biochar amendment on soil microbial biomass carbon and nitrogen and enzyme activity in tier soils. Sci. Agric. Sin. 2016, 49, 1142–1151. [Google Scholar] [CrossRef]
- Schulz, H.; Glaser, B. Effects of biochar compared to organic and inorganic fertilizers on soil quality and plant growth in a greenhouse experiment. J. Plant Nutr. Soil Sci. 2012, 175, 410–422. [Google Scholar] [CrossRef]
- Duan, C.; Shen, Y.; Xu, G.; Teng, Q.; Zhang, D.; He, C.; Zhang, Z.; Zhou, L.; Sun, Y. Effects of eucalyptus branches biochar application on soil physicochemical properties of acidified soil in a eucalyptus plantation in Northern Guangxi. Environ. Sci. 2020, 41, 4234–4245. [Google Scholar] [CrossRef]
- Chen, L.; Li, X.; Yue, X.; Li, K.; Li, J.; Ling, H. Effect of mixed application of bamboo charcoal and organic fertilizer on yield and quality of red pitaya and soil amelioration. Ecol. Environ. Sci. 2019, 28, 2231–2238. [Google Scholar] [CrossRef]
- Liao, S.; Chen, Y.; Li, Y.; Zhang, L.; Sun, Y. Effect of biochar-based urea on yield and quality of celery and soil NO3−-N content. J. Agric. Res. Environ. 2015, 32, 443–448. [Google Scholar] [CrossRef]
- Ye, X.; Yang, C.; Li, Z.; Jing, H. Effects of green manure in corporation on soil enzyme activities and fertility in tobacco-planting soils. J. Plant Nutr. Fertil. 2013, 19, 445–454. [Google Scholar] [CrossRef]
- Liu, X. Effect of Biochar and Biochar-Based Fertilizer on Bacterial Diversity and Peanut Yield. Master’s Thesis, Shenyang Agricultural University, Shenyang, China, 2018. [Google Scholar]
- Yang, F. Effect of Biochar-Based Organic Fertilizer on Sugar Beet Growth and Rhizophere Soil Property under Saline Alkali Stress. Master’s Thesis, Northeast Agricultural University, Harbin, China, 2019. [Google Scholar]
- Chen, K. Influences of Soil Microbial Community and Organic Nitrogen under the Long-Term Application of Biochar and Three Organic Resources. Master’s Thesis, Shenyang Agricultural University, Shenyang, China, 2017. [Google Scholar]
- Yu, C.; Jiang, D.; Tian, M.; Chen, Z.; Zhang, Y.; Wang, J.; Jiang, H.; Chen, L. Responses of soil intracellular and extracellular urease activities to carbon additions in chernozem. Chin. J. Appl. Ecol. 2020, 31, 1957–1962. [Google Scholar] [CrossRef]
- Guo, J.; Chen, J.; Yu, Y.; Xu, W.; Ma, M.; Zhao, N.; Li, X.; Zhu, Y. Characterization of soil enzyme activities of six typical halophyte plant communities in the wetland of yellow river delta. Wetl. Sci. Manag. 2020, 16, 55–59. [Google Scholar] [CrossRef]
- Zhang, X.; Zhou, W.; Ai, C.; Huang, S.; Liang, G. Effects of nitrogen management on soil enzyme activities and bacterial community structure in summer maize growing stagesunder straw incorporation. J. Plant Nutr. Fertil. 2020, 26, 295–306. [Google Scholar] [CrossRef]
- Chen, Y.; Geng, Y.; Huang, J.; Cui, X.; Hou, M. Differences of soil enzyme activities and their driving factors under different flooding conditions in the Bird Island area, Qinghai Lake. Chin. J. Ecol. 2019, 38, 735–743. [Google Scholar] [CrossRef]
- Zhang, J.; Yang, X.; Song, Y.; Liu, H.; Wang, G.; Xue, S.; Liu, G.; Ritsema, C.; Geissen, V. Revealing the nutrient limitation and cycling for microbes under forest management practices in the Loess Plateau—Ecological stoichiometry. Geoderma 2020, 361, 114108. [Google Scholar] [CrossRef]
- Zhang, J.; Dang, Y.; Zhao, G.; Wang, L.; Fan, T.; Li, S.; Lei, K. Effect of no-tillage with film and stubble residues on soil nutrients, microbial populations and enzyme activity in dryland maize fields. Acta Prataculturae Sin. 2020, 29, 123–133. [Google Scholar] [CrossRef]
- Zhao, Y.; Liu, X.; Wu, Y.; Tong, C.; Lin, F. Effects of Medicago sativa-Triticale wittmack intercropping system on rhizosphere soil nutrients and bacterial community in semi-arid region of Northwest China. Chin. J. Appl. Ecol. 2020, 31, 1645–1652. [Google Scholar] [CrossRef]
- Yang, Y.; Tang, X.; Zhang, H.; Cheng, W.; Duan, G.; Zhu, Y. The characterization of arsenic biotransformation microbes in paddy soil after straw biochar and straw amendments. J. Hazard. Mater. 2020, 391, 122200. [Google Scholar] [CrossRef] [PubMed]
- Ma, Z.; Deng, L.; Zhang, Y. Effects of microbial fertilizer on Juglans regia quality and soil microorganisms in Qin Ba Mountain Area. Contemp. Horticult. 2019, 1, 4–6. [Google Scholar] [CrossRef]
- Huang, W.; Zhang, J.; Liu, Q.; Zhang, Z.; Wang, W.; Li, F.; Li, G. Effects of the microbial fertilizers on enzymic activity and microorganism in lettuce soil. Hubei Agric. Sci. 2019, 58, 54–57+64. [Google Scholar] [CrossRef]
- Wang, C.; Liu, M.; Huang, S.; Li, Y.; Tian, W.; Chen, Q.; Wang, L.; Xi, Y. Effects of different fertilization treatments on microflora of organic planting soils. Jiangsu Agric. Sci. 2019, 47, 266–272. [Google Scholar] [CrossRef]
- Lin, Y.; Gao, G.; Ding, G.; Wang, X.; Wei, X.; Wang, L. Dynamics of soil physicochemical properties and microbial biomass in a Pinus sylvestris var.mongolica plantation. Chin. J. Ecol. 2020, 39, 1445–1454. [Google Scholar] [CrossRef]
- Li, Y.; Bi, J.; Yuan, Q.; Yin, M.; Wei, X. The population structure and metabolic diversity of microorganisms in rhizosphere soil of corn treated with different fertilizers. Chin. J. Microecol. 2020, 32, 21–24+30. [Google Scholar] [CrossRef]
- Wang, C.; Chen, L.; Tian, W.; Huang, S.; Wang, L.; Xi, Y. Study on effect of microbial fertilizer on microbial community in red soil of organic farm via high-throughput sequencing technology. Jiangsu Agric. Sci. 2019, 47, 272–277. [Google Scholar] [CrossRef]






| Month | Average Temperature (°C) | Precipitation (mm) | Sunshine Hours (h) |
|---|---|---|---|
| April | 11.6 | 46.2 | 200.6 |
| May | 18.5 | 70.5 | 234.1 |
| June | 22.7 | 115.2 | 224.5 |
| July | 27.4 | 31.1 | 275.4 |
| August | 25.2 | 47.4 | 223.2 |
| September | 18.5 | 52.4 | 185.9 |
| Variety | Treatment | 8 July | 28 July | 16 August | 4 September | 26 September |
|---|---|---|---|---|---|---|
| Xianyu335 | CK1 | 6.54 ± 0.92 e | 5.33 ± 0.46 e | 5.62 ± 0.20 d | 2.28 ± 0.12 d | 10.47 ± 1.03 b |
| CK2 | 17.35 ± 0.45 c | 12.21 ± 0.66 d | 7.32 ± 0.56 c | 4.81 ± 0.09 c | 10.92 ± 0.46 b | |
| 3 t | 15.27 ± 0.47 d | 13.20 ± 0.31 cd | 10.52 ± 0.76 b | 4.94 ± 0.14 c | 11.30 ± 0.66 ab | |
| 3.75 t | 17.81 ± 0.65 c | 13.53 ± 0.69 c | 11.17 ± 0.31 b | 5.17 ± 0.08 b | 11.24 ± 1.58 ab | |
| 4.5 t | 19.38 ± 0.76 b | 15.55 ± 0.63 b | 12.69 ± 0.64 a | 5.41 ± 0.08 a | 11.79 ± 0.60 ab | |
| 5.25 t | 21.27 ± 1.09 a | 16.81 ± 0.67 a | 10.81 ± 0.91 b | 5.26 ± 0.18 ab | 12.92 ± 0.40 a | |
| Jingke968 | CK1 | 6.35 ± 0.62 c | 6.65 ± 0.83 c | 4.18 ± 0.36 f | 2.88 ± 0.13 c | 9.67 ± 1.09 c |
| CK2 | 14.10 ± 0.72 b | 11.06 ± 2.59 b | 8.43 ± 0.86 e | 2.79 ± 0.08 c | 12.26 ± 0.75 b | |
| 3 t | 8.54 ± 1.15 c | 11.09 ± 1.01 b | 10.58 ± 0.57 d | 2.88 ± 0.69 c | 12.85 ± 0.26 ab | |
| 3.75 t | 21.79 ± 2.46 a | 11.60 ± 0.96 b | 12.20 ± 0.69 b | 5.05 ± 0.10 b | 12.78 ± 0.48 ab | |
| 4.5 t | 23.21 ± 0.69 a | 12.53 ± 0.72 ab | 12.70 ± 0.50 ab | 6.32 ± 0.26 a | 12.70 ± 0.40 ab | |
| 5.25 t | 20.89 ± 2.85 a | 14.78 ± 0.82 a | 13.70 ± 0.13 a | 6.81 ± 0.01 a | 13.51 ± 0.16 a |
| Variety | Treatment | 8 July | 28 July | 16 August | 4 September | 26 September |
|---|---|---|---|---|---|---|
| Xianyu335 | CK1 | 25.53 ± 4.36 b | 3.25 ± 0.08 e | 2.38 ± 0.15 e | 1.14 ± 0.12 d | 0.05 ± 0.01 e |
| CK2 | 60.09 ± 1.83 a | 4.86 ± 0.11 bc | 2.76 ± 0.10 d | 1.98 ± 0.15 c | 0.07 ± 0.01 de | |
| 3 t | 60.24 ± 2.04 a | 4.45 ± 0.09 d | 2.92 ± 0.09 d | 1.34 ± 0.09 d | 0.09 ± 0.01 d | |
| 3.75 t | 60.40 ± 2.70 a | 4.75 ± 0.12 c | 3.17 ± 0.14 c | 2.33 ± 0.11 c | 0.13 ± 0.01 c | |
| 4.5 t | 63.82 ± 4.09 a | 4.97 ± 0.03 b | 4.86 ± 0.14 b | 3.97 ± 0.59 a | 0.25 ± 0.01 b | |
| 5.25 t | 62.00 ± 3.54 a | 5.40 ± 0.11 a | 5.12 ± 0.11 a | 2.92 ± 0.19 b | 0.390.03 a | |
| Jingke968 | CK1 | 22.24 ± 3.26 c | 3.10 ± 0.25 d | 2.65 ± 0.20 d | 0.89 ± 0.20 e | 0.05 ± 0.01 f |
| CK2 | 63.72 ± 2.20 ab | 4.20 ± 0.08 bc | 3.42 ± 0.08 c | 1.54 ± 0.12 d | 0.07 ± 0.01 e | |
| 3 t | 58.06 ± 3.95 b | 3.85 ± 0.17 c | 3.29 ± 0.17 c | 1.65 ± 0.06 cd | 0.12 ± 0.01 d | |
| 3.75 t | 63.74 ± 1.36 ab | 4.25 ± 0.32 bc | 3.58 ± 0.32 bc | 1.83 ± 0.12 c | 0.15 ± 0.01 c | |
| 4.5 t | 64.24 ± 4.03 a | 4.44 ± 0.16 b | 3.89 ± 0.20 b | 2.21 ± 0.11 b | 0.22 ± 0.01 b | |
| 5.25 t | 64.86 ± 3.31 a | 5.35 ± 0.39 a | 4.38 ± 0.35 a | 3.86 ± 0.17 a | 0.27 ± 0.01 a |
| Variety | Treatment | 8 July | 28 July | 16 August | 4 September | 26 September |
|---|---|---|---|---|---|---|
| Xianyu335 | CK1 | 31.82 ± 1.53 c | 32.02 ± 1.32 c | 26.76 ± 2.76 b | 30.85 ± 2.64 b | 33.03 ± 1.50 bc |
| CK2 | 46.46 ± 4.55 a | 42.39 ± 4.58 ab | 39.03 ± 3.63 a | 34.43 ± 1.79 ab | 35.52 ± 2.35 bc | |
| 3 t | 36.72 ± 4.02 bc | 38.12 ± 2.87 bc | 35.20 ± 2.00 a | 30.96 ± 3.76 b | 32.18 ± 3.77 c | |
| 3.75 t | 36.36 ± 3.70 bc | 38.62 ± 2.50 bc | 35.49 ± 3.62 a | 34.41 ± 1.36 ab | 37.35 ± 1.81 ab | |
| 4.5 t | 43.72 ± 4.60 ab | 41.89 ± 2.12 ab | 38.48 ± 3.42 a | 35.32 ± 2.75 ab | 40.72 ± 2.08 a | |
| 5.25 t | 41.15 ± 4.87 ab | 45.11 ± 5.04 a | 40.77 ± 2.80 a | 37.82 ± 3.41 a | 40.14 ± 1.78 a | |
| Jingke968 | CK1 | 34.47 ± 1.62 d | 34.69 ± 0.94 c | 20.54 ± 1.04 d | 26.05 ± 4.46 d | 32.64 ± 4.31 b |
| CK2 | 50.43 ± 4.53 ab | 37.74 ± 1.71 c | 35.81 ± 2.24 c | 32.62 ± 3.77 c | 37.90 ± 3.27 ab | |
| 3 t | 41.93 ± 2.28 c | 42.44 ± 4.97 b | 39.16 ± 3.32 bc | 35.06 ± 0.73 bc | 34.00 ± 3.25 b | |
| 3.75 t | 44.71 ± 3.54 bc | 44.15 ± 1.86 ab | 41.67 ± 3.07 ab | 37.22 ± 3.61 abc | 36.52 ± 2.89 ab | |
| 4.5 t | 50.70 ± 2.83 ab | 46.23 ± 2.01 ab | 43.56 ± 1.81 ab | 40.27 ± 2.92 ab | 37.32 ± 2.28 ab | |
| 5.25 t | 54.71 ± 5.62 a | 48.22 ± 2.12 a | 44.13 ± 2.51 a | 42.50 ± 2.30 a | 42.44 ± 2.73 a |
| Variety | Treatment | 8 July | 28 July | 16 August | 4 September | 26 September |
|---|---|---|---|---|---|---|
| Xianyu335 | CK1 | 181.47 ± 2.35 c | 146.16 ± 4.71 d | 144.80 ± 6.22 b | 143.44 ± 0.00 c | 120.35 ± 2.35 d |
| CK2 | 248.03 ± 2.35 b | 155.66 ± 7.07 d | 140.72 ± 2.35 b | 150.23 ± 2.35 c | 135.29 ± 4.07 c | |
| 3 t | 184.19 ± 4.07 c | 181.47 ± 10.26 c | 131.21 ± 4.07 b | 151.59 ± 0.00 c | 133.93 ± 2.35 c | |
| 3.75 t | 239.88 ± 2.35 b | 208.64 ± 7.06 b | 147.51 ± 4.07 b | 152.95 ± 2.35 c | 138.01 ± 2.35 c | |
| 4.5 t | 291.50 ± 18.82 a | 222.22 ± 6.22 a | 195.06 ± 2.35 a | 176.04 ± 4.07 b | 152.95 ± 2.35 b | |
| 5.25 t | 292.86 ± 6.22 a | 223.58 ± 8.48 a | 180.11 ± 24.79 a | 201.85 ± 26.20 a | 262.97 ± 2.35 a | |
| Jingke968 | CK1 | 181.47 ± 2.35 d | 146.16 ± 2.35 d | 139.36 ± 7.06 b | 161.10 ± 6.22 cd | 114.91 ± 4.07 d |
| CK2 | 195.06 ± 2.35 d | 169.25 ± 13.10 c | 120.35 ± 11.76 c | 161.10 ± 2.35 cd | 140.72 ± 2.35 c | |
| 3 t | 211.36 ± 2.35 c | 205.92 ± 9.41 b | 161.10 ± 9.41 a | 157.02 ± 2.35 d | 139.36 ± 4.07 c | |
| 3.75 t | 261.61 ± 4.07 b | 214.07 ± 2.35 ab | 167.89 ± 0.00 a | 173.32 ± 10.26 bc | 150.23 ± 13.10 c | |
| 4.5 t | 262.97 ± 12.45 b | 219.51 ± 8.48 ab | 176.04 ± 4.07 a | 180.11 ± 10.78 ab | 176.04 ± 4.07 b | |
| 5.25 t | 284.71 ± 16.97 a | 222.22 ± 8.48 a | 166.53 ± 13.10 a | 186.91 ± 6.22 a | 216.79 ± 4.07 a |
| Time | Treatment | Coverage Rate (%) | Shannon Index | Simpson Index | ACE Index | Chao1 Index |
|---|---|---|---|---|---|---|
| 8 July | chemical fertilizer | 98.87 ± 0.15 a | 9.29 ± 0.06 b | 0.99 ± 0.007 a | 2561.14 ± 51.63 c | 2503.36 ± 103.72 c |
| carbon-based fertilizer | 98.57 ± 0.32 ab | 9.67 ± 0.15 a | 0.99 ± 0.001 a | 3040.47 ± 241.41 b | 2835.87 ± 13.5 b | |
| 16 August | chemical fertilizer | 98.47 ± 0.47 ab | 9.44 ± 0.06 b | 0.99 ± 0.004 a | 3236.90 ± 81.05 ab | 3330.97 ± 108.11 a |
| carbon-based fertilizer | 98.20 ± 0.10 b | 9.57 ± 0.21 ab | 0.99 ± 0.004 a | 3168.98 ± 214.67 b | 3223.84 ± 219.93 a | |
| 26 August | chemical fertilizer | 98.30 ± 0.17 ab | 9.50 ± 0.29 b | 0.99 ± 0.002 a | 3205.54 ± 57.34 b | 3193.91 ± 211.57 a |
| carbon-based fertilizer | 98.43 ± 0.35 ab | 9.73 ± 0.01 a | 0.99 ± 0.004 a | 3364.56 ± 93.67 a | 3325.49 ± 184.80 a |
| Time | Treatment | Coverage Rate (%) | Shannon Index | Simpson Index | ACE Index | Chao1 Index |
|---|---|---|---|---|---|---|
| 8 July | chemical fertilizer | 99.57 ± 0.12 a | 7.59 ± 0.12 a | 0.99 ± 0.002 a | 1320.73 ± 145.65 a | 1465.83 ± 360.16 a |
| carbon-based fertilizer | 99.63 ± 0.12 a | 7.60 ± 0.57 a | 0.98 ± 0.010 a | 1390.12 ± 23.67 a | 1381.76 ± 214.98 a | |
| 16 August | chemical fertilizer | 99.63 ± 0.06 a | 7.01 ± 0.70 a | 0.95 ± 0.340 a | 1355.14 ± 95.21 a | 1330.47 ± 67.41 a |
| carbon-based fertilizer | 99.63 ± 0.06 a | 7.36 ± 0.44 a | 0.98 ± 0.007 a | 1348.64 ± 93.45 a | 1318.02 ± 108.32 a | |
| 26 September | chemical fertilizer | 99.67 ± 0.06 a | 6.75 ± 1.25 a | 0.96 ± 0.030 a | 1227.89 ± 304.54 a | 1194.38 ± 320.00 a |
| carbon-based fertilizer | 99.60 ± 0.10 a | 7.01 ± 0.70 a | 0.97 ± 0.014 a | 1300.02 ± 31.88 a | 1259.88 ± 59.06 a |
Disclaimer/Publisher’s Note: The statements, opinions and data contained in all publications are solely those of the individual author(s) and contributor(s) and not of MDPI and/or the editor(s). MDPI and/or the editor(s) disclaim responsibility for any injury to people or property resulting from any ideas, methods, instructions or products referred to in the content. |
© 2023 by the authors. Licensee MDPI, Basel, Switzerland. This article is an open access article distributed under the terms and conditions of the Creative Commons Attribution (CC BY) license (https://creativecommons.org/licenses/by/4.0/).
Share and Cite
Wang, X.; Wang, B.; Gu, W.; Li, J. Effects of Carbon-Based Fertilizer on Soil Physical and Chemical Properties, Soil Enzyme Activity and Soil Microorganism of Maize in Northeast China. Agronomy 2023, 13, 877. https://doi.org/10.3390/agronomy13030877
Wang X, Wang B, Gu W, Li J. Effects of Carbon-Based Fertilizer on Soil Physical and Chemical Properties, Soil Enzyme Activity and Soil Microorganism of Maize in Northeast China. Agronomy. 2023; 13(3):877. https://doi.org/10.3390/agronomy13030877
Chicago/Turabian StyleWang, Xuerui, Bin Wang, Wanrong Gu, and Jian Li. 2023. "Effects of Carbon-Based Fertilizer on Soil Physical and Chemical Properties, Soil Enzyme Activity and Soil Microorganism of Maize in Northeast China" Agronomy 13, no. 3: 877. https://doi.org/10.3390/agronomy13030877
APA StyleWang, X., Wang, B., Gu, W., & Li, J. (2023). Effects of Carbon-Based Fertilizer on Soil Physical and Chemical Properties, Soil Enzyme Activity and Soil Microorganism of Maize in Northeast China. Agronomy, 13(3), 877. https://doi.org/10.3390/agronomy13030877
