The Effects of Natural Humus Material Amendment on Soil Organic Matter and Integrated Fertility in the Black Soil of Northeast China: Preliminary Results
Abstract
1. Introduction
2. Materials and Methods
2.1. Site Description
2.2. Experimental Design and Agronomic Management
2.3. Soil Sampling and Analysis
2.4. Soil Fertility Index
2.5. Statistical Analysis
3. Results
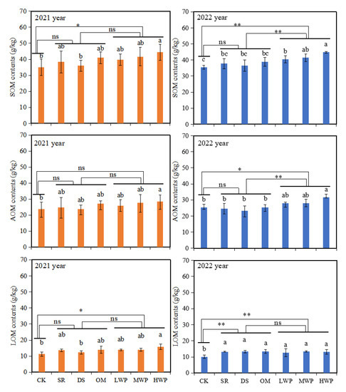
3.1. Effects of Different Treatments on SOM and Its Components
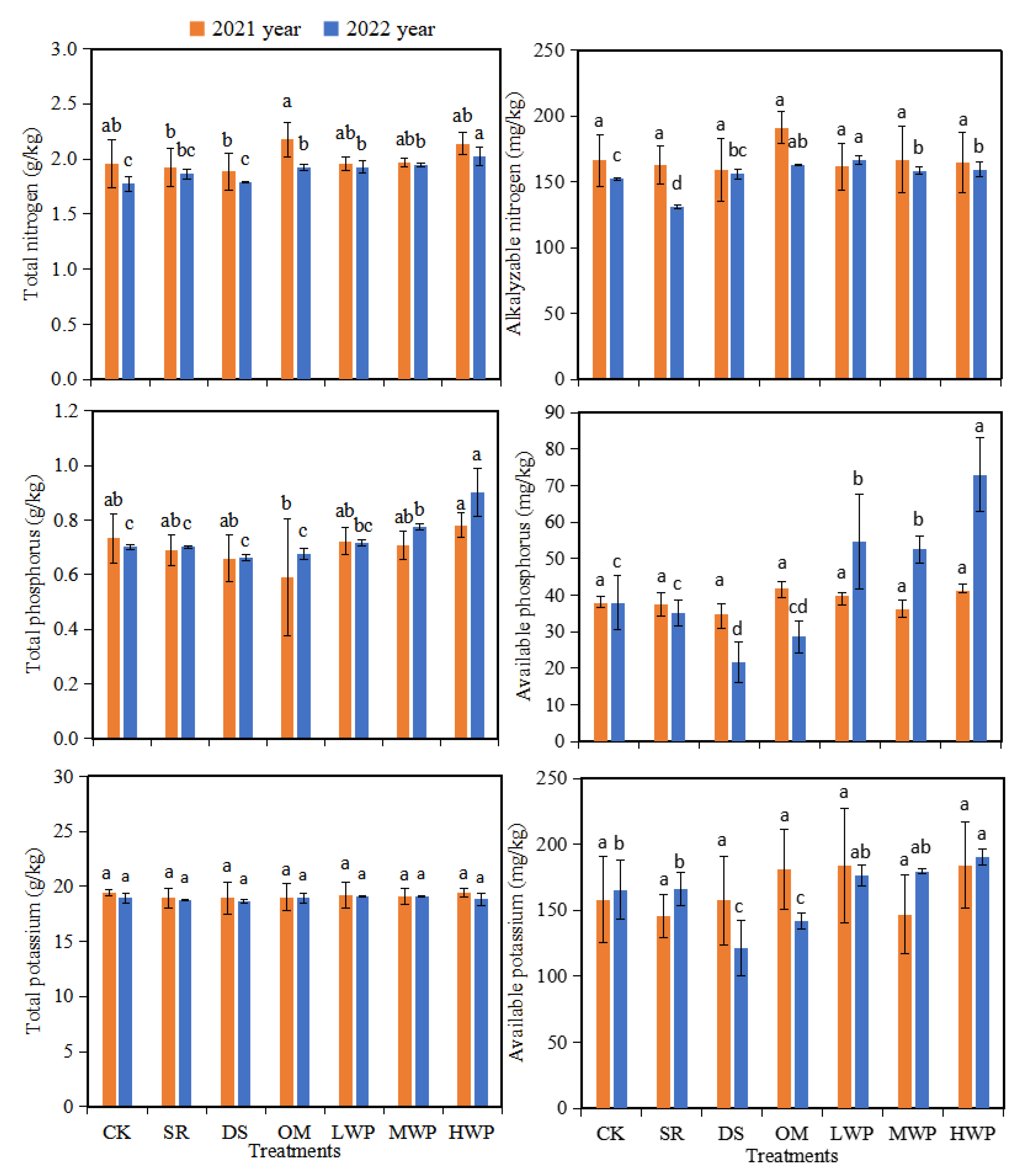
3.2. Effects of Different Treatments on Soil NPK Content
3.3. Effects of Different Treatments on Soil pH and EC
3.4. Changes in Maize Yield under Different Treatments
3.5. Changes in Integrated Fertility under Different Treatments
4. Discussion
4.1. Effects of Different Treatments on Soil Organic Matter and Its Components
4.2. Effects of Different Treatments on Soil-Integrated Fertility
5. Conclusions
Author Contributions
Funding
Data Availability Statement
Conflicts of Interest
References
- Pinheiro, C.R., Jr.; Tavares, T.R.; Oliveira, F.S.D.; Santos, O.A.Q.D.; Demattê, J.A.M.; García, A.C.; Anjos, L.H.C.D.; Pereira, M.G. Black soils in the Araripe basin, Northeast Brazil: Organic and inorganic carbon accumulation in a Chernozem-Kastanozem-Phaeozem sequence. J. South Am. Earth Sci. 2022, 116, 103789. [Google Scholar] [CrossRef]
- Han, X.; Li, N. Research Progress of Black Soil in Northeast China. Sci. Geogr. Sin. 2018, 38, 1032–1041. (In Chinese) [Google Scholar]
- Zhang, J.; Sun, B.; Zhu, J.; Wang, J.; Pan, X.; Gao, T. Black Soil Protection and Utilization Based on Harmonization of Mountain-River-Forest-Farmland-Lake-Grassland-Sandy Land Ecosystems and Strategic Construction of Ecological Barrier. Bull. Chin. Acad. Sci. 2021, 36, 1155–1164. (In Chinese) [Google Scholar]
- Zhao, Y.; Wang, M.; Hu, S.; Zhang, X.; Ouyang, Z.; Zhang, G.; Huang, B.; Zhao, S.; Wu, J.; Xie, D.; et al. Economics- and policy-driven organic carbon input enhancement dominates soil organic carbon accumulation in Chinese croplands. Proc. Natl. Acad. Sci. USA 2018, 115, 4045–4050. [Google Scholar] [CrossRef] [PubMed]
- Liu, X.B.; Zhang, X.Y.; Wang, Y.X.; Sui, Y.Y.; Zhang, S.L.; Herbert, S.J.; Ding, G. Soil degradation: A problem threatening the sustainable development of agriculture in Northeast China. Plant Soil Environ. 2010, 56, 87–97. [Google Scholar] [CrossRef]
- Han, X.; Wang, S.; Song, C.; Liu, X.; Meng, K. Study on the efficacy of organic matter in black soil. Syst. Sci. Compr. Stud. Agric. 2001, 17, 256–259. (In Chinese) [Google Scholar]
- Ren, G.; Zhang, X.; Xin, X.; Yang, W.; Zhu, A.; Yang, J.; Li, M. Soil organic carbon and nitrogen fractions as affected by straw and nitrogen management on the North China Plain. Agric. Ecosyst. Environ. 2023, 342, 108248. [Google Scholar] [CrossRef]
- Li, H.; Feng, W.-T.; He, X.-H.; Zhu, P.; Gao, H.-j.; Sun, N.; Xu, M.-G. Chemical fertilizers could be completely replaced by manure to maintain high maize yield and soil organic carbon (SOC) when SOC reaches a threshold in the Northeast China Plain. J. Integr. Agric. 2017, 16, 937–946. [Google Scholar] [CrossRef]
- Ashraf, M.N.; Hu, C.; Xu, X.; Aziz, T.; Wu, L.; Waqas, M.A.; Farooq, M.; Hu, X.; Zhang, W.; Xu, M. Pedosphere. Long-Term Manure Application Increased Soil Organic Carbon and Nitrogen Mineralization Through the Accumulation of Unprotected and Physically Protected Carbon Fractions; Elsevier: Amsterdam, The Netherlands, 2022. [Google Scholar]
- Xue, P.; Fu, Q.; Li, T.; Liu, D.; Hou, R.; Li, Q.; Li, M.; Meng, F. Effects of biochar and straw application on the soil structure and water-holding and gas transport capacities in seasonally frozen soil areas. J. Environ. Manag. 2022, 301, 113943. [Google Scholar] [CrossRef]
- Jiang, H.; Han, X.; Zou, W.; Hao, X.; Zhang, B. Seasonal and long-term changes in soil physical properties and organic carbon fractions as affected by manure application rates in the Mollisol region of Northeast China. Agric. Ecosyst. Environ. 2018, 268, 133–143. [Google Scholar] [CrossRef]
- Bonanomi, G.; De Filippis, F.; Zotti, M.; Idbella, M.; Cesarano, G.; Al-Rowaily, S.; Abd-ElGawad, A. Repeated applications of organic amendments promote beneficial microbiota, improve soil fertility and increase crop yield. Appl. Soil Ecol. 2020, 156, 103714. [Google Scholar] [CrossRef]
- Lehmann, J.; Kleber, M. The contentious nature of soil organic matter. Nature 2015, 528, 60–68. [Google Scholar] [CrossRef]
- Schimel, J.P.; Schaeffer, S.M. Microbial control over carbon cycling in soil. Front Microbiol. 2012, 3, 348. [Google Scholar] [CrossRef] [PubMed]
- Li, T.-T.; Zhang, J.-Z.; Zhang, H.-Y.; Chrisite, P.; Zhang, J.-L. Fractionation of soil organic carbon in a calcareous soil after long-term tillage and straw residue management. J. Integr. Agric. 2022, 21, 3611–3625. [Google Scholar] [CrossRef]
- Xu, J.; Zhao, B.; Li, Z.; Chu, W.; Mao, J.; Olk, D.C.; Zhang, J.; Xin, X.; Wei, W. Demonstration of Chemical Distinction among Soil Humic Fractions Using Quantitative Solid-State 13C NMR. J. Agric. Food Chem. 2019, 67, 8107–8118. [Google Scholar] [CrossRef] [PubMed]
- Guo, Z.; Zhang, J.; Fan, J.; Yang, X.; Yi, Y.; Han, X.; Wang, D.; Zhu, P.; Peng, X. Does animal manure application improve soil aggregation? Insights from nine long-term fertilization experiments. Sci. Total Environ. 2019, 660, 1029–1037. [Google Scholar] [CrossRef] [PubMed]
- Xie, H.; Li, J.; Zhang, B.; Wang, L.; Wang, J.; He, H.; Zhang, X. Long-term manure amendments reduced soil aggregate stability via redistribution of the glomalin-related soil protein in macroaggregates. Sci. Rep. 2015, 5, 14687. [Google Scholar] [CrossRef] [PubMed]
- Zheng, Y.; Zhang, J.; Tan, J.; Zhang, C.; Yu, Z. Chemical Composition and Structure of Humus Relative to Sources. Acta Pedol. Sin. 2019, 56, 386–397. (In Chinese) [Google Scholar]
- Fu, W.; Fan, J.; Wang, S.; Wang, H.; Dai, Z.; Zhao, X.; Hao, M. Woody peat addition increases soil organic matter but its mineralization is affected by soil clay in the four degenerated erodible soils. Agric. Ecosyst. Environ. 2021, 318, 107495. [Google Scholar] [CrossRef]
- Wei, Y.; Wang, J.; Chang, R.; Zhan, Y.; Wei, D.; Zhang, L.; Chen, Q. Composting with biochar or woody peat addition reduces phosphorus bioavailability. Sci. Total. Environ. 2021, 764, 142841. [Google Scholar] [CrossRef]
- Li, H.; Parent, L.E.; Karam, A.; Tremblay, C. Potential of Sphagnum peat for improving soil organic matter, water holding capacity, bulk density and potato yield in a sandy soil. Plant Soil 2004, 265, 355–365. [Google Scholar] [CrossRef]
- Huang, W.; Wu, J.-F.; Pan, X.-H.; Tan, X.-M.; Zeng, Y.-J.; Shi, Q.-H.; Liu, T.-J.; Zeng, Y.-H. Effects of long-term straw return on soil organic carbon fractions and enzyme activities in a double-cropped rice paddy in South China. J. Integr. Agric. 2021, 20, 236–247. [Google Scholar] [CrossRef]
- Zhang, X.; Yang, W.; Xin, X.; Zhu, A.; Ding, S. Poor physical structural components restrict soil fertility and crop productivity for wheat–maize cropping. Nutr. Cycl. Agroecosystems 2020, 117, 169–184. [Google Scholar] [CrossRef]
- Shaaban, M.; Wu, Y.; Núñez-Delgado, A.; Kuzyakov, Y.; Peng, Q.-A.; Lin, S.; Hu, R. Enzyme activities and organic matter mineralization in response to application of gypsum, manure and rice straw in saline and sodic soils. Environ. Res. 2023, 224, 115393. [Google Scholar] [CrossRef]
- Carter, M.R.; Gregorich, E.G. Soil Sampling and Methods of Analysis, 2nd ed.; CRC Press: Boca Raton, FL, USA, 2007. [Google Scholar]
- Loginow, W.; Wisniewski, W.; Gonet, S.S.; Ciescinska, B. Fractionation of organic carbon based on susceptibility to oxidation. Pol. J. Soil Sci. 1987, 20, 47–52. [Google Scholar]
- Olsen, S.R.; Watanabe, F.S.; Cosper, H.R.; Larson, W.E.; Nelson, L.B. Residual phosphorus availability in long-time rotations on calcareous soils. Soil Sci. 1954, 78, 141–151. [Google Scholar] [CrossRef]
- Lu, R. The Chemical Analysis of Agricultural Soil; Agriculture Science and Technique Press: Beijing, China, 2000. [Google Scholar]
- Shukla, M.K.; Lal, R.; Ebinger, M. Determining soil quality indicators by factor analysis. Soil Till. Res. 2006, 87, 194–204. [Google Scholar] [CrossRef]
- Rovira, P.; Vallejo, V.R. Labile and recalcitrant pools of carbon and nitrogen in organic matter decomposing at different depths in soil: An acid hydrolysis approach. Geoderma 2002, 107, 109–141. [Google Scholar] [CrossRef]
- Liu, X.; Chen, D.; Yang, T.; Huang, F.; Fu, S.; Li, L. Changes in soil labile and recalcitrant carbon pools after land-use change in a semi-arid agro-pastoral ecotone in Central Asia. Ecol. Indic. 2020, 110, 105925. [Google Scholar] [CrossRef]
- Gu, J.; Bol, R.; Wang, Y.; Zhang, H. Controls on soil dissolved organic carbon along the 4000 km North-South forest transect in Eastern China. Catena 2023, 220, 106691. [Google Scholar] [CrossRef]
- Li, Y.; Wang, L.; Tian, L.; Zheng, H.; Ou, Y.; Yan, B.; Cui, H.; Bao, M.; Zhang, S.; Guan, F. Dissolved organic carbon, an indicator of soil bacterial succession in restored wetland under freeze-thaw cycle. Ecol. Eng. 2022, 177, 106569. [Google Scholar] [CrossRef]
- Cotrufo, M.F.; Soong, J.L.; Horton, A.J.; Campbell, E.E.; Haddix, M.L.; Wall, D.H.; Parton, W.J. Formation of soil organic matter via biochemical and physical pathways of litter mass loss. Nat. Geosci. 2015, 8, 776–779. [Google Scholar] [CrossRef]
- Ye, X.; Ye, Y.; Chai, R.; Li, J.; Ma, C.; Li, H.; Xiong, Q.; Gao, H. The influence of a year-round tillage and residue management model on soil N fractions in a wheat-maize cropping system in central China. Sci. Rep. 2019, 9, 4767. [Google Scholar] [CrossRef]
- Xin, X.; Zhang, J.; Zhu, A.; Zhang, C. Effects of long-term (23 years) mineral fertilizer and compost application on physical properties of fluvo-aquic soil in the North China Plain. Soil Tillage Res. 2016, 156, 166–172. [Google Scholar] [CrossRef]
- Liu, F.; Wu, H.; Zhao, Y.; Li, D.; Yang, J.-L.; Song, X.; Shi, Z.; Zhu, A.X.; Zhang, G.-L. Mapping high resolution National Soil Information Grids of China. Sci. Bull. 2021, 67, 328–340. [Google Scholar] [CrossRef]
- You, M.; Li, N.; Zou, W.; Han, X.; Burger, M. Increase in soil organic carbon in a Mollisol following simulated initial development from parent material. Eur. J. Soil Sci. 2017, 68, 39–47. [Google Scholar] [CrossRef]
- Ding, J.; Jiang, X.; Ma, M.; Zhou, B.; Guan, D.; Zhao, B.; Zhou, J.; Cao, F.; Li, L.; Li, J. Effect of 35 years inorganic fertilizer and manure amendment on structure of bacterial and archaeal communities in black soil of northeast China. Appl. Soil Ecol. 2016, 105, 187–195. [Google Scholar] [CrossRef]
- Wang, J.; Wang, X.; Xu, M.; Feng, G.; Zhang, W.; Lu, C.A. Crop yield and soil organic matter after long-term straw return to soil in China. Nutr. Cycl. Agroecosystems 2015, 102, 371–381. [Google Scholar] [CrossRef]
- Xu, X.; An, T.; Zhang, J.; Sun, Z.; Schaeffer, S.; Wang, J. Transformation and stabilization of straw residue carbon in soil affected by soil types, maize straw addition and fertilized levels of soil. Geoderma 2019, 337, 622–629. [Google Scholar] [CrossRef]
- Wang, Q.; Huang, Q.; Wang, J.; Khan, M.A.; Guo, G.; Liu, Y.; Hu, S.; Jin, F.; Wang, J.; Yu, Y. Dissolved organic carbon drives nutrient cycling via microbial community in paddy soil. Chemosphere 2021, 285, 131472. [Google Scholar] [CrossRef]
- Zhang, X.; Bol, R.; Rahn, C.; Xiao, G.; Meng, F.; Wu, W. Agricultural sustainable intensification improved nitrogen use efficiency and maintained high crop yield during 1980–2014 in Northern China. Sci. Total Environ. 2017, 596–597, 61–68. [Google Scholar] [CrossRef]
- Chung, H.; Park, M.; Madhaiyan, M.; Seshadri, S.; Song, J.; Cho, H.; Sa, T. Isolation and characterization of phosphate solubilizing bacteria from the rhizosphere of crop plants of Korea. Soil Biol. Biochem. 2005, 37, 1970–1974. [Google Scholar] [CrossRef]
- Wu, J.; Huang, M.; Xiao, H.-A.; Su, Y.-R.; Tong, C.-L.; Huang, D.-Y.; Syers, J.K. Dynamics in microbial immobilization and transformations of phosphorus in highly weathered subtropical soil following organic amendments. Plant Soil 2006, 290, 333–342. [Google Scholar] [CrossRef]
- Long, H.; Fu, H.; Xv, M.; Gao, H.; Zhu, P.; Gao, H. Substitution rate of organic fertilizer under long-term fertilization in black soils. Chin. J. Eco-Agric. 2018, 26, 1398–1406. (In Chinese) [Google Scholar]
- Jin, J.; Fang, Y.; He, S.; Liu, Y.; Liu, C.; Li, F.; Khan, S.; Eltohamy, K.M.; Liu, B.; Liang, X. Improved phosphorus availability and reduced degree of phosphorus saturation by biochar-blended organic fertilizer addition to agricultural field soils. Chemosphere 2023, 317, 137809. [Google Scholar] [CrossRef]
- Jia, R.; Zhou, J.; Chu, J.; Shahbaz, M.; Yang, Y.; Jones, D.L.; Zang, H.; Razavi, B.S.; Zeng, Z. Insights into the associations between soil quality and ecosystem multifunctionality driven by fertilization management: A case study from the North China Plain. J. Clean. Prod. 2022, 362, 132265. [Google Scholar] [CrossRef]
- Mooney, S.; Zhou, H. Inorganic Fertilization Effects on the Structure of a Calcareous Silt Loam Soil. Agron. J. 2017, 109, 2871–2880. [Google Scholar]
- Haynes, R.J.; Naidu, R. Influence of lime, fertilizer and manure applications on soil organic matter content and soil physical conditions: A review. Nutr. Cycl. Agroecosystems 1998, 51, 123–137. [Google Scholar] [CrossRef]
- Mockeviciene, I.; Repsiene, R.; Amaleviciute, K.; Karcauskiene, D.; Slepetiene, A.; Lepane, V. Effect of long-term application of organic fertilizers on improving organic matter quality in acid soil. Arch. Agron. Soil Sci. 2021, 68, 1192–1204. [Google Scholar] [CrossRef]
- Guo, Z.C.; Zhang, Z.B.; Zhou, H.; Rahman, M.T.; Wang, D.Z.; Guo, X.S.; Li, L.J.; Peng, X.H. Long-term animal manure application promoted biological binding agents but not soil aggregation in a Vertisol. Soil Tillage Res. 2018, 180, 232–237. [Google Scholar] [CrossRef]






| Name | SOM (%) | Total Nitrogen (g/kg) | Total P2O5 (g/kg) | Total K2O (g/kg) | pH | EC (μs/cm) |
|---|---|---|---|---|---|---|
| Crop straw | 78.1 | 9.8 | 4.8 | 19.8 | / | / |
| Decomposed straw | 45.4 | 21 | 11 | 22 | 7.4 | 1800 |
| Organic manure | 36.5 | 23.1 | 1.71 | 58.9 | 7.9 | 2100 |
| Natural humus material | 89 | 6.8 | 0.09 | 0.18 | 5.4 | 92.8 |
| Variable | Factor 1 | Factor 2 | Factor 3 | Communality |
|---|---|---|---|---|
| SOM | 0.85 | 0.28 | 0.23 | 0.86 |
| LOM | 0.75 | 0.30 | 0.11 | 0.66 |
| AOM | 0.79 | 0.27 | 0.22 | 0.74 |
| DOM | 0.63 | −0.29 | 0.23 | 0.53 |
| TN | 0.86 | −0.18 | 0.24 | 0.83 |
| TP | 0.03 | 0.81 | 0.28 | 0.73 |
| TK | 0.24 | 0.41 | 0.03 | 0.22 |
| AN | 0.68 | −0.21 | 0.18 | 0.54 |
| AP | 0.67 | 0.47 | −0.44 | 0.86 |
| AK | 0.50 | 0.36 | −0.74 | 0.93 |
| pH | −0.64 | 0.70 | 0.16 | 0.92 |
| EC | 0.72 | −0.50 | −0.24 | 0.83 |
| Eigenvalue | 5.19 | 2.31 | 1.15 | 8.65 |
| Component variance (%) | 43.24 | 19.27 | 9.61 | 72.12 |
| Cumulative variance (%) | 43.24 | 62.51 | 72.12 |
| Variable | Factor 1 | Factor 2 | Factor 3 | Factor 4 | Communality |
|---|---|---|---|---|---|
| SOM | 0.88 | 0.25 | −0.12 | 0.18 | 0.89 |
| LOM | 0.16 | 0.50 | 0.09 | 0.76 | 0.86 |
| AOM | 0.91 | 0.05 | −0.18 | −0.16 | 0.88 |
| DOM | 0.68 | −0.05 | 0.45 | 0.19 | 0.70 |
| TN | 0.79 | 0.34 | −0.31 | 0.12 | 0.85 |
| TP | 0.85 | −0.11 | −0.34 | −0.03 | 0.85 |
| TK | 0.30 | 0.22 | 0.86 | −0.16 | 0.90 |
| AN | 0.23 | 0.67 | −0.03 | −0.59 | 0.85 |
| AK | 0.92 | −0.14 | 0.03 | −0.12 | 0.88 |
| AP | 0.83 | −0.35 | 0.23 | −0.04 | 0.86 |
| pH | 0.65 | −0.55 | 0.03 | −0.01 | 0.73 |
| EC | 0.09 | 0.80 | 0.02 | −0.07 | 0.65 |
| Eigenvalue | 5.54 | 2.02 | 1.26 | 1.08 | 9.89 |
| Component variance (%) | 46.14 | 16.85 | 10.49 | 8.96 | 82.44 |
| Cumulative variance (%) | 46.14 | 62.99 | 73.48 | 82.44 |
| Treatments | Factor 1 | Factor 2 | Factor 3 | Integrated Fertility Scores |
|---|---|---|---|---|
| CK | −0.8 | 0.2 | −0.15 | −0.32 b |
| SR | −0.52 | 0.29 | 0.4 | −0.13 ab |
| DS | −0.63 | −0.28 | −0.1 | −0.34 b |
| OM | 1.05 | −1.13 | −0.37 | 0.20 ab |
| LWP | −0.15 | 0.61 | −0.56 | −0.00 ab |
| MWP | −0.14 | 0.12 | 0.54 | 0.01 ab |
| HWP | 1 | 0.63 | 0.58 | 0.61 a |
| Treatments | Factor 1 | Factor 2 | Factor 3 | Factor 4 | Integrated Fertility Scores |
|---|---|---|---|---|---|
| CK | −0.52 | −1.13 | 0.51 | −1.24 | −0.49 c |
| SR | −0.42 | −1.11 | 0.12 | 1.58 | −0.23 bc |
| DS | −1.33 | 0.08 | −0.76 | 0.22 | −0.66 c |
| OM | −0.44 | 1.79 | 0.16 | 0.01 | 0.12 b |
| LWP | 0.33 | 0.20 | 0.21 | −0.85 | 0.13 b |
| MWP | 0.72 | 0.22 | 0.62 | 0.28 | 0.46 ab |
| HWP | 1.66 | −0.06 | −0.87 | 0.01 | 0.67 a |
| Year | Stepwise Regression Equation | R2 | Significance Level |
|---|---|---|---|
| 2021 | Maize yield (t/ha) = 0.64x + 12.01 | 0.53 | p < 0.01 |
| 2022 | Maize yield (t/ha) = 0.98x + 12.35 | 0.25 | p < 0.05 |
Disclaimer/Publisher’s Note: The statements, opinions and data contained in all publications are solely those of the individual author(s) and contributor(s) and not of MDPI and/or the editor(s). MDPI and/or the editor(s) disclaim responsibility for any injury to people or property resulting from any ideas, methods, instructions or products referred to in the content. |
© 2023 by the authors. Licensee MDPI, Basel, Switzerland. This article is an open access article distributed under the terms and conditions of the Creative Commons Attribution (CC BY) license (https://creativecommons.org/licenses/by/4.0/).
Share and Cite
Zhao, Z.; Zhang, C.; Wang, H.; Li, F.; Pan, H.; Yang, Q.; Li, J.; Zhang, J. The Effects of Natural Humus Material Amendment on Soil Organic Matter and Integrated Fertility in the Black Soil of Northeast China: Preliminary Results. Agronomy 2023, 13, 794. https://doi.org/10.3390/agronomy13030794
Zhao Z, Zhang C, Wang H, Li F, Pan H, Yang Q, Li J, Zhang J. The Effects of Natural Humus Material Amendment on Soil Organic Matter and Integrated Fertility in the Black Soil of Northeast China: Preliminary Results. Agronomy. 2023; 13(3):794. https://doi.org/10.3390/agronomy13030794
Chicago/Turabian StyleZhao, Zhanhui, Congzhi Zhang, Hongye Wang, Fang Li, Hui Pan, Qiang Yang, Jianpeng Li, and Jiabao Zhang. 2023. "The Effects of Natural Humus Material Amendment on Soil Organic Matter and Integrated Fertility in the Black Soil of Northeast China: Preliminary Results" Agronomy 13, no. 3: 794. https://doi.org/10.3390/agronomy13030794
APA StyleZhao, Z., Zhang, C., Wang, H., Li, F., Pan, H., Yang, Q., Li, J., & Zhang, J. (2023). The Effects of Natural Humus Material Amendment on Soil Organic Matter and Integrated Fertility in the Black Soil of Northeast China: Preliminary Results. Agronomy, 13(3), 794. https://doi.org/10.3390/agronomy13030794

