Nanoparticulate Fertilizers Increase Nutrient Absorption Efficiency and Agro-Physiological Properties of Lettuce Plant
Abstract
1. Introduction
2. Materials and Methods
2.1. Experimental Condations and Plant Material
2.2. Macro NFs and Treatments
2.2.1. Preparation of NFs Solutions
2.2.2. Fertilizers Treatments and Concentrations
2.3. Measurements
2.3.1. Plant Growth Parameters
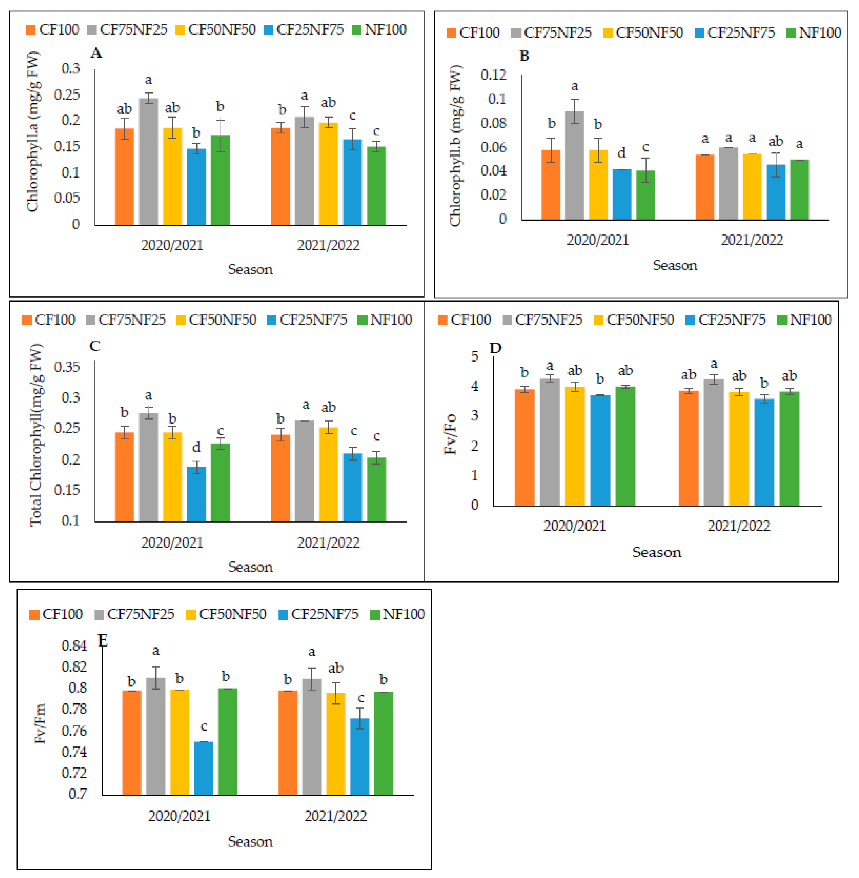
2.3.2. Photosynthetic Pigments and Chl Fluorescence Parameters
Chl a, b, and Total Chl and Chl Fluorescence
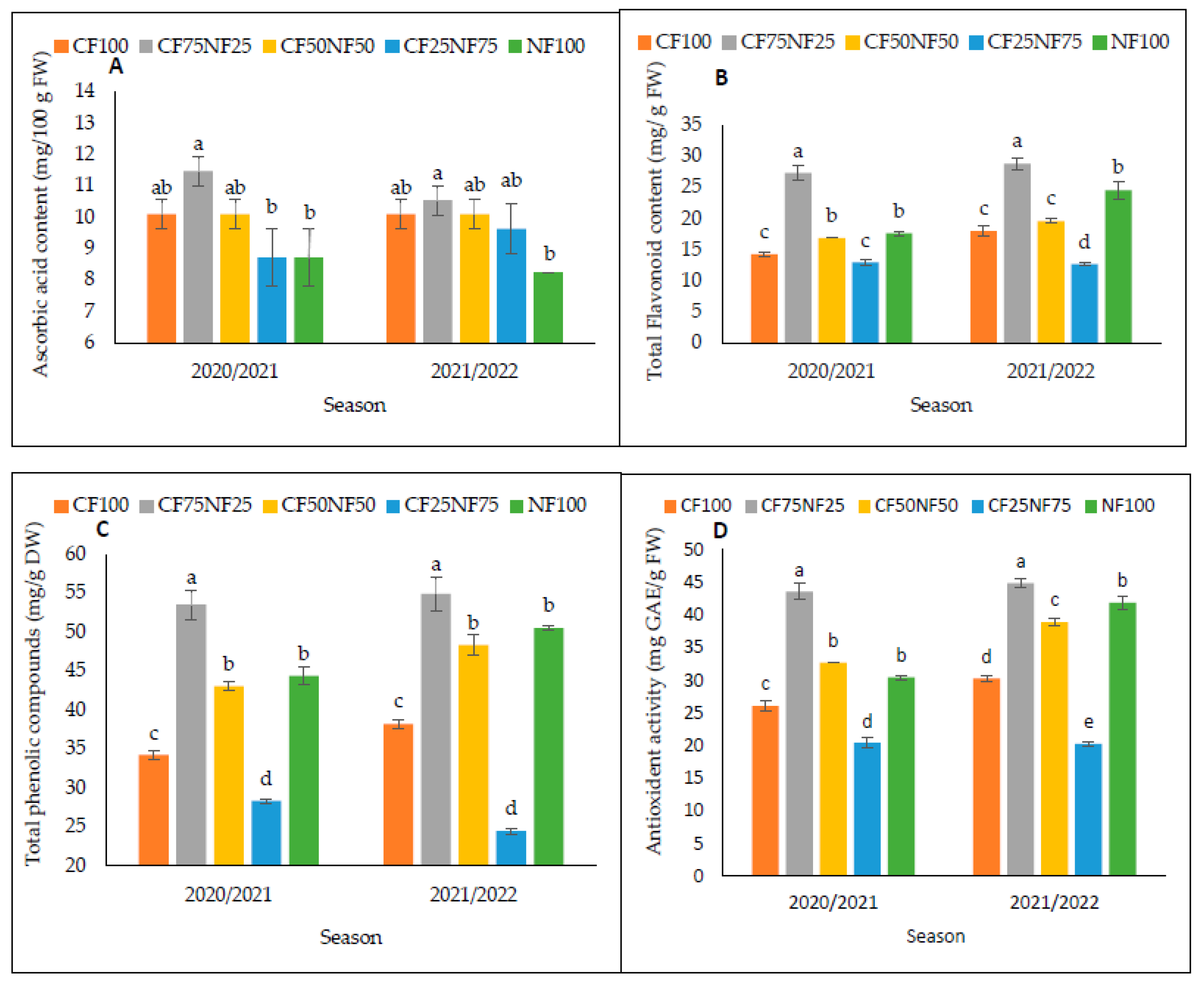
2.3.3. Phytochemical Components
Ascorbic Acid, Total Flavonoid Content, and Total Phenolic Compounds
Antioxidant Activity
2.4. Nutrient Composition and Uptake
2.4.1. Plant Analysis
2.4.2. Nitrogen, Phosphorus, and Potassium Uptake
2.4.3. Soil Analysis
2.5. Statistical Analysis
3. Results
3.1. Plant Growth Parameters
3.2. Photosynthetic Pigments and Chl Fluorescence Parameters
3.3. Phytochemical Components
3.4. N, P, and K Uptake
3.5. Nitrate Content of Leaves
3.6. Nutrient Content in Plant and Soil
3.7. Correlation Study
4. Discussion
5. Conclusions
Supplementary Materials
Author Contributions
Funding
Data Availability Statement
Acknowledgments
Conflicts of Interest
References
- Kim, M.J.; Moon, Y.; Tou, J.C.; Mou, B.; Waterland, N.L. Nutritional value, bioactive compounds and health benefits of lettuce (Lactuca sativa L.). J. Food Compos. Anal. 2016, 49, 19–34. [Google Scholar] [CrossRef]
- Das, R.; Bhattacharjee, C. Lettuce. In Nutritional Composition and Antioxidant Properties of Fruits and Vegetables; Elsevier: Amsterdam, The Netherlands, 2020; pp. 143–157. [Google Scholar] [CrossRef]
- FAO Statistics Division. 2022. Available online: https://www.fao.org/faostat/en/#data (accessed on 15 September 2022).
- Scott, N.R.; Chen, H.; Cui, H. Nanotechnology applications and implications of agrochemicals toward sustainable agriculture and food systems. J. Agric. Food Chem. 2018, 66, 6451–6456. [Google Scholar] [CrossRef] [PubMed]
- Fróna, D.; Szenderák, J.; Harangi-Rákos, M. The Challenge of Feeding the World. Sustainability 2019, 11, 5816. [Google Scholar] [CrossRef]
- Tan, Z.X.; Lal, R.; Wiebe, K.D. Global soil nutrient depletion and yield reduction. J. Sustain. Agric. 2005, 26, 123–146. [Google Scholar] [CrossRef]
- Brunner, T.J.; Wick, P.; Manser, P.; Spohn, P.; Grass, R.N.; Limbach, L.K.; Bruinink, A.; Stark, W.J. In vitro cytotoxicity of oxide nano-particles: Comparison to asbestos, silica, and effects of particle solubility. Environ. Sci. Technol. 2006, 40, 4374–4381. [Google Scholar] [CrossRef]
- Laghari, G.M.; Oad, F.C.; Tunio, S.D.; Gandahi, A.W.; Siddiqui, M.H.; Jagirani, A.W.; Oad, S.M. Growth yield and nutrient uptake of various wheat cultivars under different fertilizer regimes. Sarhad J. Agric. 2010, 26, 489–497. [Google Scholar]
- Omb_odi, A.; Saigusa, M. Broadcast application versus band application of polyolefin-coated fertilizer on green peppers grown on andisol. J. Plant Nutr. 2000, 23, 1485–1493. [Google Scholar] [CrossRef]
- Duhan, J.S.; Kumar, R.; Kumar, N.; Kaur, P.; Nehra, K.; Duhan, S. Nanotechnology: The new perspective in precision agriculture. Biotechnol. Rep. 2017, 15, 11–23. [Google Scholar] [CrossRef]
- Alexandratos, N.; Bruinsma, J. World Agriculture towards 2030/2050: The 2012 Revision; ESA Working Paper no. 12-03; FAO: Rome, Italy, 2012. [Google Scholar]
- Wang, Y.; Yuan, Z.; Tang, Y. Enhancing food security and environmental sustainability: A critical review of food loss and waste management. Resour. Environ. Sustain. 2021, 4, 100023. [Google Scholar] [CrossRef]
- Moulick, R.G.; Das, S.; Debnath, N.; Bandyopadhyay, K. Potential use of nanotechnology in sustainable and ‘smart’ agriculture: Advancements made in the last decade. Plant. Biotechnol. Rep. 2020, 14, 505–513. [Google Scholar] [CrossRef]
- Seleiman, M.F.; Alotaibi, M.; Alhammad, B.A.; Alharbi, B.; Refay, Y.; Badawy, S.A. Effects of ZnO nanoparticles and biochar of rice straw and cow manure on characteristics of contaminated soil and sunflower productivity, oil quality, and heavy metalsuptake. Agronomy 2020, 10, 790. [Google Scholar] [CrossRef]
- Liu, R.; Lal, R. Potentials of engineered nanoparticles as fertilizers for increasing agronomic productions. Sci. Total Environ. 2015, 514, 131–139. [Google Scholar] [CrossRef]
- Chhipa, H. Nanofertilizers and nanopesticides for agriculture. Environ. Chem Lett. 2017, 15, 15–22. [Google Scholar] [CrossRef]
- Ali, N.S.; Al-Juthery, H.W.A. The application of nanotechnology for micronutrient in agricultural production (review article). Iraqi J. Agric. Sci. 2017, 48, 984–990. [Google Scholar] [CrossRef]
- Morales-Díaz, A.B.; Hortensia, O.O.; Antonio, J.M.; Gregorio, C.P.; Susana, G.M.; Adalberto, B.M. Application of nano elements in plant nutrition and its impact in ecosystems. Adv. Nat. Sci. Nanosci. Nanotechnol. 2017, 8, 13001. [Google Scholar] [CrossRef]
- Singh, M.D.; Gautam, C.; Patidar, O.P.; Meena, H.M.; Prakasha, V.G. Nano Fertilizers is a new way to increase nutrients use efficiency in crop production. Int. J. Agric. Sci. 2017, 9, 3831–3833. [Google Scholar]
- Allah, D.; Muhammad, A. Applications and perspectives of using nanomaterials for sustainable plant nutrition. Nanotechnol. Rev. 2016, 5, 209–229. [Google Scholar] [CrossRef]
- Siddiqi, K.S.; Husen, A. Plant response to engineered metal oxide nanoparticles. Nanoscale Res. Lett. 2017, 12, 92. [Google Scholar] [CrossRef]
- Hasaneen, M.N.A.G.; Abdel-aziz, H.M.M.; Omer, A.M. Effect of foliar application of engineered nanomaterials: Carbon nanotubes NPK and chitosan nanoparticles NPK fertilizer on the growth of French bean plant. Biochem. Biotechnol. Res. 2016, 4, 68–76. [Google Scholar]
- Abdel-Aziz, H.M.; Hasaneen, M.N.; Omer, A.M. Nano chitosan-NPK fertilizer enhances the growth and productivity of wheat plants grown in sandy soil. Span. Jour. Agric. Res. 2016, 14, e0902. [Google Scholar] [CrossRef]
- Merghany, M.; Shahein, M.M.; Sliem, M.A.; Abdelgawad, K.F.; Radwan, A.F. Effect of nano-fertilizers on cucumber plant growth, fruit yield and it’s quality. Plant Arch. 2019, 19, 165–172. [Google Scholar]
- El-Ghany, M.F.A.; El-Kherbawy, M.I.; Abdel-Aal, Y.A.; El-Dek, S.I.; Abd ElBaky, T. Comparative study between traditional and nano calcium phosphate fertilizers on growth and production of snap bean (Phaseolus vulgaris L.) Plants. Nanomaterials 2021, 11, 2913. [Google Scholar] [CrossRef] [PubMed]
- Mahmoodi, P.; Yarnia, M.; Amirnia, R.; Tarinejad, A.; Mahmoodi, H. Comparison of the effect of nano urea and nono iron fertilizers with common chemical fertilizers on some growth traits and essential oil production of Borago Officinalis L. Dairy Vet. Sci. J. 2017, 2, 1–4. [Google Scholar] [CrossRef]
- Malerba, M.; Cerana, R. Chitosan effects on plant systems. Int. J. Mol. Sci. 2016, 17, 996. [Google Scholar] [CrossRef]
- Attaran Dowom, S.; Karimian, Z.; Mostafaei Dehnavi, M.; Samiei, L. Chitosan nanoparticles improve physiological and biochemical responses of Salvia abrotanoides (Kar.) under drought stress. BMC Plant Biol. 2022, 22, 364. [Google Scholar] [CrossRef]
- Elshamy, M.T.; ELKhallal, S.M.; Husseiny, S.M.; Farroh, K.Y. Application of nano-chitosan NPK fertilizer on growth and productivity of potato plant. J. Sci. Res. Sci. 2019, 36, 424–441. [Google Scholar] [CrossRef]
- Xu, J.; Luo, X.; Wang, Y.; Feng, Y. Evaluation of zinc oxide nanoparticles on lettuce (Lactuca sativa L.) growth and soil bacterial community. Environ. Sci. Pollut. Res. 2018, 25, 6026–6035. [Google Scholar] [CrossRef]
- Meier, S.; Moore, F.; Morales, A.; González, M.E.; Seguel, A.; Meriño-Gergichevich, C.; Rubilar, O.; Cumming, J.; Aponte, H.; Alarcón, D.; et al. Synthesis of calcium borate nanoparticles and its use as a potential foliar fertilizer in lettuce (Lactuca sativa) and zucchini (Cucurbita pepo). Plant Physiol. Biochem. 2020, 151, 673–680. [Google Scholar] [CrossRef]
- Kalisz, A.; Húska, D.; Jurkow, R.; Dvořák, M.; Klejdus, B.; Caruso, G.; Sękara, A. Nanoparticles of cerium, iron, and silicon oxides change the metabolism of phenols and flavonoids in butterhead lettuce and sweet pepper seedlings. Environ. Sci. Nano 2021, 8, 1945–1959. [Google Scholar] [CrossRef]
- Nofal, A.S.; Ashmawi, A.E.; Mohammed, A.A.; El-Abd, M.T.; Helaly, A.A. Effect of soil application of nano NPK fertilizers on growth, productivity and quality of Lettuce (Lactuca sativa). Al-Azhar J. Agric. Res. 2021, 46, 91–100. [Google Scholar] [CrossRef]
- Chen, M.; Zhou, S.; Zhu, Y.; Sun, Y.; Zeng, G.; Yang, C. Toxicity of carbon nanomaterials to plants, animals and microbes: Recent progress from 2015-present. Chemosphere 2018, 64, 206–255. [Google Scholar] [CrossRef]
- López-Moreno, M.L.; Cassé, C.; Correa-Torres, S.N. Engineered nanomaterials interactions with living plants: Benefits, hazards and regulatory policies. Curr. Opin. Environ. Sci. Health 2018, 6, 36–41. [Google Scholar] [CrossRef]
- White, J.C.; Gardea-Torresdey, J. Achieving food security through the very small. Nat. Nanotechnol. 2018, 13, 627. [Google Scholar] [CrossRef]
- Zulfqar, F.; Navarro, M.; Ashraf, M.; Akram, N.A.; Munné-Bosch, S. Nanofertilizer use for sustainable agriculture: Advantages and limitations. Plant Sci. 2019, 289, 110270. [Google Scholar] [CrossRef]
- Feregrino-Perez, A.A.; Magaña-López, E.; Guzmán, C.; Esquivel, K. A general overview of the benefits and possible negative effects of the nanotechnology in horticulture. Sci. Hortic. 2018, 238, 126–137. [Google Scholar] [CrossRef]
- Abd El-Azeim, M.M.; Mohamad W., S.; Sherif M., A.; Hussien, M.S. Influences of nano and non nano-fertilizers on potato quality and productivity. Minia J. Agric. Res. Develop 2019, 39, 1–31. [Google Scholar]
- Abdel-Aziz, H.M.; Soliman, M.I.; Abo Al-Saoud, A.M.; El-Sherbeny, G.A. Waste-Derived NPK Nanofertilizer Enhances Growth and Productivity of Capsicum annuum L. Plants 2021, 10, 1144. [Google Scholar] [CrossRef]
- Jenni, S.; Bourgeois, G. Quantifying phenology and maturity in crisphead lettuce. HortTechnology 2008, 18, 553–558. [Google Scholar] [CrossRef]
- Makvandi, P.; Gu, J.T.; Zare, E.N.; Ashtari, B.; Moeini, A.; Tay, F.R.; Niu, L.N. Polymeric and inorganic nanoscopical antimicrobial fillers in dentistry. Acta Biomater. 2020, 101, 69–101. [Google Scholar] [CrossRef]
- El-Helaly, M.A.; Darwish, O.S. Effect of culture system: Aeroponic, hydroponic and sandy substrate on growth, yield and chemical compositions of lettuce. Plant Arch. 2019, 19, 2543–2550. [Google Scholar]
- Costache, M.A.; Campeanu, G.; Neata, G. Studies concerning the extraction of chlorophyll and total carotenoids from vegetables. Rom. Biotechnol. Lett. 2012, 17, 7702–7708. [Google Scholar]
- Maxwell, K.; Johnson, G.N. Chlorophyll fluorescence—A practical guide. J. Exp. Bot. 2000, 51, 659–668. [Google Scholar] [CrossRef] [PubMed]
- Association of Official Analytical Chemistry (AOAC). Official Methods of Analysis of AOAC International, 17th ed.; Association of Official Analytical Chemistry: Gaithersburg, MD, USA, 2000. [Google Scholar]
- Meda, A.; Lamien, C.E.; Romito, M.; Millogo, J.; Nacoulma, O.G. Determination of the total phenolic, flavonoid and praline contents in Burkina Fasan honey, as well as their radical scavenging activity. Food Chem. 2005, 91, 571–577. [Google Scholar] [CrossRef]
- Singleton, V.L.; ROSSI, J.A. Colorimetry of total phenolics with phosphomolybdic phosphotungstic acid reagents. Am. J. Enol. Vitic. 1965, 16, 144–158. Available online: http://www.ajevonline.org/content/16/3/144 (accessed on 1 September 2022).
- Fang, X.; Wang, J.; Wang, Y.; Li, X.; Zhou, H.; Zhu, L. Optimization of ultrasonic-assisted extraction of wedelolactone and antioxidant polyphenols from Eclipta prostrate L using response surface methodology. Sep. Purif. Technol. 2014, 138, 55–64. [Google Scholar] [CrossRef]
- Rababah, T.M.; Al-Mahasneh, M.A.; Kilani, I.; Yang, W.; Alhamad, M.N.; Ereifej, K. Effect of jam processing and storage on total phenolics, antioxidant activity, and anthocyanins of different fruits. J. Sci. Food Agric. 2010, 91, 1096–1102. [Google Scholar] [CrossRef]
- Cataldo, D.A.; Haroon, M.; Schader, L.E.; Yongs, V.L. Rapid colorimetric determination of nitrate in plant tissue by nitration of Salicylic acid. Commun. Soil Sci. Plant Anal. 1975, 6, 71–80. [Google Scholar] [CrossRef]
- Helrich, K. Official Methods of Analysis, 15th ed.; Association of Official Agricultural Chemist: Arlington, VA, USA, 1990; Volume 1, p. 673. [Google Scholar]
- Jackson, M.L. Soil Chemical Analysis; Text book; Printice-Hall of India, Privat Limited: New Delhi, India, 1973; Volume 144–197, p. 381. [Google Scholar]
- Ali, A.; Ibrahim, S.; Fawy, H. Soil-based technique for managing nitrogen fertilization in wheat in some desert soils at West Nile Delta, Egypt. Alex. Sci. Exch. J. 2017, 38, 699–706. [Google Scholar] [CrossRef]
- Klute, A. Methods of soil analysis. Part 1: Physical and Mineralogical Methods, 2nd ed.; American Society of Agronomy and Soil Science Society of America: Madison, WI, USA, 1986. [Google Scholar]
- Chapman, H.D.; Pratt, P.F. Methods of Analysis for Soils, Plants and Waters; University of California: Los Angeles, CA, USA, 1961. [Google Scholar]
- Bremner, J.M.; Keeney, D.R. Steam distillation methods for determination of ammonium, nitrate, and nitrite. Anal. Chim. Acta 1965, 32, 485–495. [Google Scholar] [CrossRef]
- Olsen, S.R.; Sommers, L.E. Phosphorus. In Methods of Soil Analysis Part 2 Chemical and Microbiological Properties; Page, A.L., Ed.; American Society of Agronomy, Soil Science Society of America: Madison, WI, USA, 1982; pp. 403–430. [Google Scholar]
- Olsen, S.R.; Cole, C.V.; Watanabe, F.S.; Dean, L.A. Estimation of Available Phosphorus in Soils by Extraction with Sodium Bicarbonate; No. 939; US Department of Agriculture: Washington, DC, USA, 1954. [Google Scholar]
- Jackson, M.L. Soil Chemical Analysis; Prentice-Hall of India Pvt. Ltd.: New Delhi, India, 1967; 498p. [Google Scholar]
- Nongbet, A.; Mishra, A.K.; Mohanta, Y.K.; Mahanta, S.; Ray, M.K.; Khan, M.; Baek, K.H.; Chakrabartty, I. Nanofertilizers: A smart and sustainable attribute to modern agriculture. Plants 2022, 11, 2587. [Google Scholar] [CrossRef]
- Das, S.; Beegum, S. Nanofertilizers for sustainable agriculture. In Agricultural Nanobiotechnology; Woodhead Publishing: New Delhi, India, 2022; pp. 355–370. [Google Scholar] [CrossRef]
- Paramo, L.A.; Feregrino-Pérez, A.A.; Guevara, R.; Mendoza, S.; Esquivel, K. Nanoparticles in agroindustry: Applications, toxicity, challenges, and trends. Nanomaterials 2020, 10, 1654. [Google Scholar] [CrossRef]
- Zhu, J.; Zou, Z.; Shen, Y.; Li, J.; Shi, S.; Han, S.; Zhan, X. Increased ZnO nanoparticle toxicity to wheat upon co-exposure to phenanthrene. Environ. Pollut. 2019, 247, 108–117. [Google Scholar] [CrossRef]
- López-Moreno, M.L.; De La Rosa, G.; Hernández-Viezcas, J.A.; Peralta-Videa, J.R.; Gardea-Torresdey, J.L. X-ray absorption spectroscopy (XAS) corroboration of the uptake and storage of CeO2 nanoparticles and assessment of their di_erential toxicity in four edible plant species. J. Agric. Food Chem. 2010, 58, 3689–3693. [Google Scholar] [CrossRef]
- López-Moreno, M.L.; Avilés, L.L.; Pérez, N.G.; Irizarry, B.Á.; Perales, O.; Cedeno-Mattei, Y.; Román, F. Effect of cobalt ferrite (CoFe2O4) nanoparticles on the growth and development of Lycopersicon lycopersicum (tomato plants). Sci. Total Environ. 2016, 550, 45–52. [Google Scholar] [CrossRef]
- Rastogi, A.; Zivcak, M.; Tripathi, D.K.; Yadav, S.; Kalaji, H.M. Phytotoxic effect of silver nanoparticles in Triticum aestivum: Improper regulation of photosystem I activity as the reason for oxidative damage in the chloroplast. Photosynthetica 2019, 57, 209–216. [Google Scholar] [CrossRef]
- Abdel Wahab, M.M.; Suzy, M.A.; Mohamed, M.E.-M.; Emad Abdelhameed, A. Effect of Foliar ZnO and FeO nanoparticles application on growth and nutritional quality of Red Radish and Assessment of their accumulation on human health. Agriculture 2019, 65, 16–29. [Google Scholar] [CrossRef]
- Peng, J.; Feng, Y.; Wang, X.; Li, J.; Xu, G.; Phonenasay, S.; Luo, Q.; Han, Z.; Lu, W. Effects of nitrogen application rate on the photosynthetic pigment, leaf fluorescence characteristics, and yield of indica hybrid rice and their interrelations. Sci. Rep. 2021, 11, 7485. [Google Scholar] [CrossRef]
- Alzreejawi, S.A.M.; Al-Juthery, H.W.A. Effect of spray with nano NPK, complete micro fertilizers and nano amino acids on some growth and yield indicators of maize (Zea mays L.). IOP Conf. Ser. Earth Environ. Sci. 2020, 553, 12010. [Google Scholar] [CrossRef]
- Sidorowicz, A.; Maqbool, Q.; Nazar, M. Future of nanofertilizer. In Nanotechnology for Agriculture: Crop Production & Protection; Springer: Singapore, 2019; pp. 143–152. [Google Scholar]
- Sharaf-Eldin, M.A.; Elsawy, M.B.; Eisa, M.Y.; El-Ramady, H.; Usman, M.; Ziaur-Rehman, M. Application of nano-nitrogen fertilizers to enhance nitrogen efficiency for lettuce growth under different irrigation regimes. Pak. J. Agri. Sci. 2022, 59, 367–379. [Google Scholar] [CrossRef]
- Wu, L.; Liu, M. Preparation and properties of chitosan-coated NPK compound fertilizer with controlled-release and water-retention. Carbohydr. Polym. 2008, 72, 240–247. [Google Scholar] [CrossRef]
- Mohanraj, J.; Lakshmanan, A.; Subramanian, K. Nano-zeolite amendment to minimize greenhouse gas emission in rice soil. J. Environ. Nanotechnol. 2017, 6, 73. [Google Scholar] [CrossRef]
- Bhardwaj, A.K.; Arya, G.; Kumar, R.; Hamed, L.; Pirasteh-Anosheh, H.; Jasrotia, P.; Kashyap, P.L.; Singh, G.P. Switching to nanonutrients for sustaining agroecosystems and environment: The challenges and benefits in moving up from ionic to particle feeding. J. Nanobiotechnol. 2022, 20, 19. [Google Scholar] [CrossRef]
- Ha, N.M.C.; Nguyen, T.H.; Wang, S.L.; Nguyen, A.D. Preparation of NPK nanofertilizer based on chitosan nanoparticles and its effect on biophysical characteristics and growth of coffee in green house. Res. Chem. Intermed. 2019, 45, 51–63. [Google Scholar] [CrossRef]
- Zhang, Z.X.; Zheng, E.N.; Wang, C.M.; Fu, N.H. Effect of different water and nitrogen levels on chlorophyll fluorescence parameters and photosynthetic characteristics of rice. Trans. Chin. Soc. Agric. Mach. 2017, 48, 176–183. [Google Scholar]
- Iwaniuk, P.; Lozowicka, B. Biochemical compounds and stress markers in lettuce upon exposure to pathogenic Botrytis cinerea and fungicides inhibiting oxidative phosphorylation. Planta 2022, 255, 61. [Google Scholar] [CrossRef]
- Norhaiza, M.; Maziah, M.; Hakiman, M. Antioxidative properties of leaf extracts of popular Malaysian herb, Labisia pumila. J. Med. Plant Res. 2009, 3, 217–223. [Google Scholar]
- Ghasemzadeh, A.; Jaafar, H.Z.E.; Rahmat, A.; Wahab, P.E.M.; Halim, M.R.A. Effect of Different Light Intensities on Total Phenolics and Flavonoids Synthesis and Anti-oxidant Activities in Young Ginger Varieties (Zingiber officinale Roscoe). Int. J. Mol. Sci. 2010, 11, 3885–3897. [Google Scholar] [CrossRef]
- Ghasemzadeh, A.; Jaafar, H.Z.E. Effect of CO2 Enrichment on Synthesis of Some Primary and Secondary Metabolites in Ginger (Zingiber officinale Roscoe). Int. J. Mol. Sci. 2011, 12, 1101–1114. [Google Scholar] [CrossRef]
- Ghasemzadeh, A.; Jaafar, H.Z.E.; Rahmat, A. Synthesis of Phenolics and Flavonoids in Ginger (Zingiber officinale Roscoe) and Their Effects on Photosynthesis Rate. Int. J. Mol. Sci. 2010, 11, 4539–4555. [Google Scholar] [CrossRef]
- Ibrahim, M.H.; Jaafar, H.Z.; Karimi, E.; Ghasemzadeh, A. Primary, secondary metabolites, photosynthetic capacity and antioxidant activity of the Malaysian Herb Kacip Fatimah (Labisia pumila Benth) exposed to potassium fertilization under greenhouse conditions. Int. J. Mol. Sci. 2012, 13, 15321–15342. [Google Scholar] [CrossRef]
- El-Mogy, M.M.; Salama, A.M.; Mohamed, H.F.; Abdelgawad, K.F.; Abdeldaym, E.A. Responding of long green pepper plants to different sources of foliar potassium fertiliser. Agriculture 2019, 65, 59–76. [Google Scholar] [CrossRef]
- Wang, Z.H.; Zong, Z.Q.; Li, S.X.; Chen, B.M. Nitrate accumulation in vegetables and its residual in vegetable fields. Environ. Sci. 2002, 23, 79–83. [Google Scholar] [CrossRef]
- Ahmadil, H.; Akbarpour, V.; Dashti, F.; Shojaeian, A. Effect of different levels of nitrogen fertilizer on yield, nitrate accumulation and several quantitative attributes of five Iranian spinach accessions. Am. Euras. J. Agric. Environ. Sci. 2010, 8, 468–473. [Google Scholar]
- Addiscott, T. Is it nitrate that threatens life or the scare about nitrate? J. Sci. Food Agric. 2006, 86, 2005–2009. [Google Scholar] [CrossRef]
- Cometti, N.N.; Martins, M.Q.; Bremenkamp, C.A.; Nunes, J.A. Nitrate concentration in lettuce leaves depending on photosynthetic photon flux and nitrate concentration in the nutrient solution. Hortic. Bras. 2011, 29, 548–553. [Google Scholar] [CrossRef]
- Jyothi, T.V.; Hebsur, N.S. Effect of nano fertilizers on growth and yield of selected cereals—A review. Agric. Rev. 2017, 38, 112–120. [Google Scholar] [CrossRef]
- Al-Juthery, H.W.A.; Saadoun, S.F. Impact of foliar application of some micronutrients nanaofertilizer on growth and yield of jerusalem artichoke. Iraqi J. Agric. Sci. 2018, 49, 577. [Google Scholar] [CrossRef]
- Mahgoub, N.A.; Mohamed, A.I.; El Sayed, M.; Ali, O.M. Roots and nutrient distribution under drip irrigation and yield of faba bean and onion. Open J. Soil Sci. 2017, 7, 52. [Google Scholar] [CrossRef]
- Subramanian, K.S.; Thirunavukkarasu, M. Nano-fertilizers and nutrient transformations in soil. In Nanoscience and Plant–Soil Systems; Springer: Cham, Switzerland, 2017; pp. 305–319. [Google Scholar]
- Al-Uthery, H.W.; Al-Shami, Q.M. Impact of fertigation of nano NPK fertilizers, nutrient use efficiency and distribution in soil of potato (Solanum tuberosum L.). Plant Arch. 2019, 19, 1087–1096. [Google Scholar]






| Particle Size Distribution (%) | |
|---|---|
| Very coarse sand | 5.5 |
| Coarse sand | 20.6 |
| Medium sand | 51.4 |
| Fine sand | 15.6 |
| Silt | 4.7 |
| Clay | 2.2 |
| Soil texture | Sandy |
| Chemical properties | |
| pH (1:2.5) | 7.3 |
| EC (dS/m) | 1.24 |
| Soluble Anions (meq/L) | |
| HCO3− | 1.0 |
| SO42− | 3.5 |
| Cl− | 7.5 |
| Soluble Cations (meq/L) | |
| K+ | 0.20 |
| Na+ | 6.5 |
| Ca2+ | 3.3 |
| Mg2+ | 2 |
| Total—N (%) | 0.015 |
| Total—P (%) | 0.006 |
| Available—N (mg/kg soil) | 37.2 |
| Available—P (mg/kg soil) | 3.5 |
| Treatments | CFs | NFs | Amount of NPK | |||||||
|---|---|---|---|---|---|---|---|---|---|---|
| CFs | NFs | CFs + NFs | CFs + NFs (pot) | |||||||
| N kg/ha | P L/ha | K kg/ha | N kg/ha | P L/ha | K kg/ha | (N:P:K) (kg:L:kg) | (N:P:K) (g:mL:g) | |||
| CF100 | 100% (RD) | 0% | 318.8 | 48.8 | 333.2 | 0 | 0 | 0 | 318.8 + 48.8 + 333.2 | 0.67 + 0.1 + 0.7 |
| CF75NF25 | 75% | 2.5% (represents 25% of NF100) | 239.1 | 36.6 | 249.9 | 8 | 1.25 | 8.25 | 247.1 + 37.85 + 258.15 | 0.52 + 0.08 + 0.5 |
| CF50NF50 | 50% | 5% (represents 50% of NF100) | 159.4 | 24.4 | 166.6 | 16 | 2.5 | 16.5 | 175.4 + 26.9 + 183.1 | 0.37 + 0.05 + 0.4 |
| CF25NF75 | 25% | 7.5% (represents 75% of NF100) | 79.7 | 12.2 | 83.3 | 24 | 3.75 | 24.75 | 103.7 + 15.95 + 108.05 | 0.2 + 0.03 + 0.22 |
| NF100 | 0% | 10% of CF100 | 0 | 0 | 0 | 32 | 5 | 33 | 32 + 5 + 33 | 0.067 + 0.01 + 0.07 |
| Season | Treatment | No. Leaves/Plant | Plant Length (cm) | Root Length (cm) | Plant Fresh Weight (g) | Plant Dry Weight (g) |
|---|---|---|---|---|---|---|
| 2020/2021 | CF100 | 11.08 ± 1.05 ab | 17.79 ± 1.59 ab | 26.88 ± 1.02 b | 244.38 ± 10.29 b | 18.67 ± 0.51 b |
| CF75NF25 | 12.50 ± 2.02 a | 19.00 ± 1.01a | 30.75 ± 1.76 a | 271.65 ± 28.10 a | 20.52 ± 0.60 a | |
| CF50NF50 | 11.83 ± 0.36 a | 18.42 ± 0.75 a | 29.81 ± 1.93 a | 282.24 ± 33.75 a | 20.48 ± 0.56 a | |
| CF25NF75 | 9.08 ± 0.58 b | 14.67 ± 0.34 c | 27.38 ± 3.33 b | 176.61 ± 17.86 c | 17.52 ± 0.83 b | |
| NF100 | 8.25 ± 0.29 b | 13.13 ± 0.57 c | 24.25 ± 0.33 b | 138.63 ± 22.3 d | 16.60 ± 0.80 b | |
| 2021/2022 | CF100 | 9.42 ± 0.30 ab | 15.83 ± 0.68 ab | 22.08 ± 0.73 bc | 162.63 ± 18.73 b | 15.06 ± 1.57 bc |
| CF75NF25 | 10.25 ± 0.14 a | 16.83 ± 0.80 a | 29.83 ± 0.46 a | 193.59 ± 7.43 a | 18.10 ± 2.36 a | |
| CF50NF50 | 10.25 ± 0.43 a | 16.25 ± 0.88 a | 28.42 ± 1.96 ab | 173.91 ± 8.97 ab | 16.85 ± 0.34 ab | |
| CF25NF75 | 8.25 ± 0.72 b | 13.25 ± 0.87 b | 27.17 ± 4.19 b | 143.97 ± 16.24 c | 13.72 ± 0.82 c | |
| NF100 | 7.08 ± 0.58 b | 12.50 ± 0.29 b | 20.33 ± 3.29 c | 127.98 ± 17.70 c | 12.61 ± 0.82 c |
| Season | Treatment | Macronutrients Concentration (g/kg) | Micronutrients Concentration (mg/kg) | ||||||
|---|---|---|---|---|---|---|---|---|---|
| N | P | K | Ca | Mg | Fe | Mn | Zn | ||
| 2020/2021 | CF100 | 28.4 ± 0.30 cd | 3.5 ± 0.10 b | 42.3 ± 0.20 c | 16.9 ± 0.10 c | 4.2 ± 0.10 b | 46.8 ± 0.82 d | 34.9 ± 1.27 c | 56.7 ± 0.91 c |
| CF75NF25 | 41.4 ± 0.40 a | 4.4 ± 0.29 a | 58.5 ± 1.9 a | 24.0 ± 0.01 a | 5.5 ± 0.10 a | 68.6 ± 1.07 a | 44.1 ± 0.95 a | 66.7 ± 1.47 a | |
| CF50NF50 | 30.1 ± 0.60 bc | 3.2 ± 0.09 b | 43.4 ± 0.30 c | 20.7 ± 0.05 b | 4.5 ± 0.09 b | 53.8 ± 2.40 c | 37.9 ± 1.95 b | 61.3 ± 1.06 b | |
| CF25NF75 | 26.6 ± 1.69 d | 3.2 ± 0.10 b | 40.7 ± 0.29 c | 15.9 ± 0.04 c | 3.66 ± 0.30 c | 44.8 ± 1.24 d | 32.9 ± 1.71 d | 51.3 ± 2.01 d | |
| NF100 | 31.4 ± 0.00 b | 4.0 ± 0.10 ab | 51.6 ± 0.09 b | 23.1 ± 0.01 b | 4.7 ± 0.10 b | 62.2 ± 0.92 b | 41.9 ± 0.60 b | 63.5 ± 0.65 ab | |
| 2021/2022 | CF100 | 30.7 ± 0.60 b | 3.8 ± 0.10 b | 52.9 ± 3.59 ab | 20.0 ± 0.20 c | 5.2 ± 0.19 b | 59.2 ± 4.69 b | 43.2 ± 1.17 a | 61.3 ± 0.58 b |
| CF75NF25 | 45.9 ± 0.25 a | 4.6 ± 0.19 a | 57.9 ± 3.68 a | 25.9 ± 1.39 a | 5.8 ± 0.18 a | 71.2 ± 1.56 a | 45.5 ± 2.23 a | 68.2 ± 1.07 a | |
| CF50NF50 | 28.2 ± 0.12 b | 3.3 ± 0.20 c | 43.0 ± 0.30 b | 20.4 ± 0.10 c | 4.2 ± 0.10 c | 50.7 ± 1.65 bc | 36.8 ± 1.87 bc | 60.8 ± 0.44 b | |
| CF25NF75 | 25.0 ± 0.30 d | 3.0 ± 0.09 d | 39.9 ± 0.10 d | 16.0 ± 0.09 d | 3.5 ± 0.09 d | 42.8 ± 1.18 c | 32.6 ± 0.60 c | 51.9 ± 0.57 c | |
| NF100 | 31.1 ± 0.10 b | 4.2 ± 0.00 ab | 51.6 ± 0.01 a | 24.6 ± 0.01 ab | 4.4 ± 0.10 c | 58.6 ± 0.51 b | 37.9 ± 0.63 b | 59.5 ± 0.34 b | |
| Variables | No. leaves | P.L. | R.L | FW | DW | Chl.a | Chl.b | T. Chl | Fv/Fo | Fv/Fm | NO3 | AA | AOA | TPC | TFC | P | K | Ca | Mg | Fe | Mn | N |
|---|---|---|---|---|---|---|---|---|---|---|---|---|---|---|---|---|---|---|---|---|---|---|
| No. leaves | 1 | |||||||||||||||||||||
| P.L. | 0.61 | 1 | ||||||||||||||||||||
| R.L | 0.43 | 0.36 | 1 | |||||||||||||||||||
| FW | 0.72 | 0.70 | 0.46 | 1 | ||||||||||||||||||
| DW | 0.61 | 0.71 | 0.40 | 0.73 | 1 | |||||||||||||||||
| D.M% | −0.54 | −0.51 | −0.39 | −0.77 | −0.41 | |||||||||||||||||
| Chl.a | 0.49 | 0.46 | 0.15 | 0.37 | 0.43 | 1 | ||||||||||||||||
| Chl.b | 0.59 | 0.60 | 0.27 | 0.59 | 0.46 | 0.76 | 1 | |||||||||||||||
| T. Chl. | 0.50 | 0.40 | 0.02 | 0.31 | 0.37 | 0.94 | 0.64 | 1 | ||||||||||||||
| Fv/ Fo | 0.30 | 0.46 | 0.05 | 0.26 | 0.40 | 0.09 | 0.18 | 0.14 | 1 | |||||||||||||
| Fv/ Fm | 0.20 | 0.43 | 0.06 | 0.24 | 0.39 | 0.08 | 0.16 | 0.12 | 0.85 | 1 | ||||||||||||
| NO3 | 0.01 | 0.06 | 0.03 | 0.00 | 0.08 | 0.16 | 0.07 | 0.21 | 0.46 | 0.57 | 1 | |||||||||||
| AA | 0.64 | 0.55 | 0.19 | 0.39 | 0.43 | 0.32 | 0.25 | 0.36 | 0.44 | 0.27 | 0.19 | 1 | ||||||||||
| AOA | −0.02 | 0.05 | −0.08 | −0.02 | 0.04 | 0.15 | 0.08 | 0.21 | 0.50 | 0.61 | 0.97 | 0.15 | 1 | |||||||||
| TPC | 0.03 | 0.14 | −0.02 | 0.06 | 0.13 | 0.18 | 0.15 | 0.22 | 0.51 | 0.67 | 0.97 | 0.18 | 0.99 | 1 | ||||||||
| TFC | −0.07 | −0.04 | −0.10 | −0.05 | −0.02 | 0.04 | −0.07 | 0.12 | 0.35 | 0.59 | 0.95 | 0.17 | 0.96 | 0.93 | 1 | |||||||
| P | −0.22 | −0.15 | −0.24 | −0.13 | −0.22 | −0.19 | −0.29 | −0.09 | 0.14 | 0.31 | 0.75 | 0.12 | 0.76 | 0.73 | 0.88 | 1 | ||||||
| K | −0.02 | 0.03 | −0.16 | 0.06 | 0.01 | −0.07 | −0.13 | 0.00 | 0.23 | 0.39 | 0.73 | 0.66 | 0.73 | 0.73 | 0.85 | 0.93 | 1 | |||||
| Ca | −0.03 | −0.03 | −0.11 | −0.05 | −0.03 | 0.10 | 0.07 | 0.15 | 0.36 | 0.51 | 0.94 | 0.18 | 0.95 | 0.94 | 0.96 | 0.84 | 0.83 | 1 | ||||
| Mg | 0.21 | 0.30 | −0.04 | 0.24 | 0.21 | 0.18 | 0.15 | 0.22 | 0.33 | 0.52 | 0.71 | 0.45 | 0.74 | 0.75 | 0.79 | 0.81 | 0.89 | 0.81 | 1 | |||
| Fe | 0.03 | 0.12 | −0.09 | 0.07 | 0.07 | 0.08 | 0.02 | 0.13 | 0.30 | 0.50 | 0.83 | 0.28 | 0.84 | 0.84 | 0.91 | 0.90 | 0.94 | 0.91 | 0.65 | 1 | ||
| Mn | 0.06 | 0.10 | −0.09 | 0.06 | 0.06 | 0.10 | 0.03 | 0.14 | 0.32 | 0.49 | 0.74 | 0.33 | 0.74 | 0.74 | 0.80 | 0.85 | 0.89 | 0.84 | 0.75 | 0.93 | 1 | |
| *N | 0.20 | 0.18 | 0.09 | 0.70 | 0.99 | 0.58 | 0.02 | 0.61 | 0.89 | 0.81 | 0.69 | 0.51 | 0.66 | 0.67 | 0.78 | 0.81 | 0.82 | 0.77 | 0.86 | 0.86 | 0.79 | 1 |
Disclaimer/Publisher’s Note: The statements, opinions and data contained in all publications are solely those of the individual author(s) and contributor(s) and not of MDPI and/or the editor(s). MDPI and/or the editor(s) disclaim responsibility for any injury to people or property resulting from any ideas, methods, instructions or products referred to in the content. |
© 2023 by the authors. Licensee MDPI, Basel, Switzerland. This article is an open access article distributed under the terms and conditions of the Creative Commons Attribution (CC BY) license (https://creativecommons.org/licenses/by/4.0/).
Share and Cite
Abdel-Hakim, S.G.; Shehata, A.S.A.; Moghannem, S.A.; Qadri, M.; El-Ghany, M.F.A.; Abdeldaym, E.A.; Darwish, O.S. Nanoparticulate Fertilizers Increase Nutrient Absorption Efficiency and Agro-Physiological Properties of Lettuce Plant. Agronomy 2023, 13, 691. https://doi.org/10.3390/agronomy13030691
Abdel-Hakim SG, Shehata ASA, Moghannem SA, Qadri M, El-Ghany MFA, Abdeldaym EA, Darwish OS. Nanoparticulate Fertilizers Increase Nutrient Absorption Efficiency and Agro-Physiological Properties of Lettuce Plant. Agronomy. 2023; 13(3):691. https://doi.org/10.3390/agronomy13030691
Chicago/Turabian StyleAbdel-Hakim, Sara G., Ahmed S. A. Shehata, Saad A. Moghannem, Mai Qadri, Mona F. Abd El-Ghany, Emad A. Abdeldaym, and Omaima S. Darwish. 2023. "Nanoparticulate Fertilizers Increase Nutrient Absorption Efficiency and Agro-Physiological Properties of Lettuce Plant" Agronomy 13, no. 3: 691. https://doi.org/10.3390/agronomy13030691
APA StyleAbdel-Hakim, S. G., Shehata, A. S. A., Moghannem, S. A., Qadri, M., El-Ghany, M. F. A., Abdeldaym, E. A., & Darwish, O. S. (2023). Nanoparticulate Fertilizers Increase Nutrient Absorption Efficiency and Agro-Physiological Properties of Lettuce Plant. Agronomy, 13(3), 691. https://doi.org/10.3390/agronomy13030691

