Crop-Specific Effects on Pan-Trap Sampling of Potential Pollinators as Influenced by Trap Color and Location
Abstract
1. Introduction
2. Materials and Methods
2.1. Study Area
2.2. Study Crops
2.3. Sampling Design
2.4. Data Processing
2.5. Data Analysis
3. Results
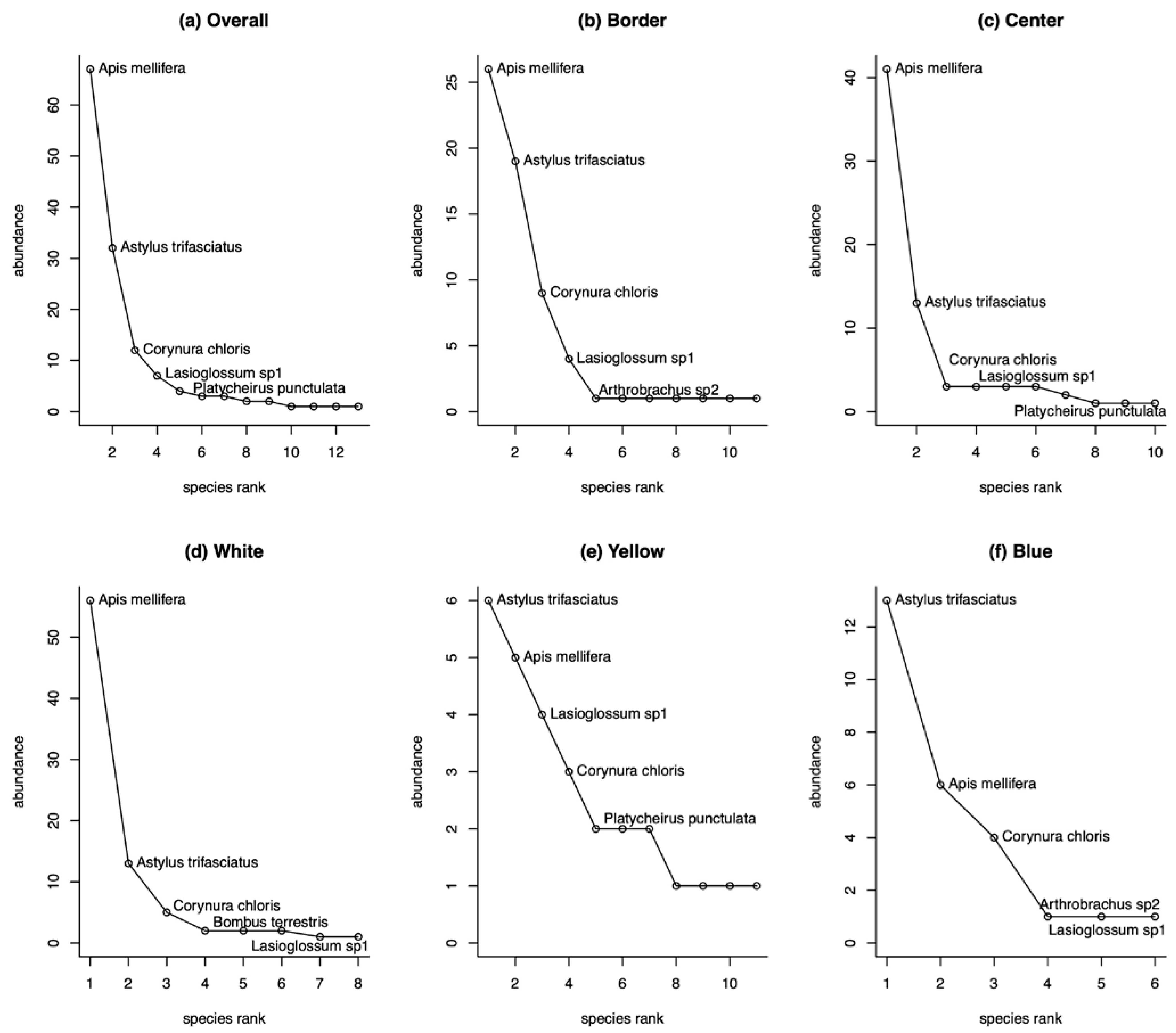
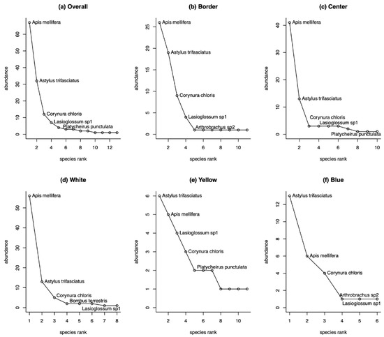
3.1. Blueberry Crop Insect Diversity
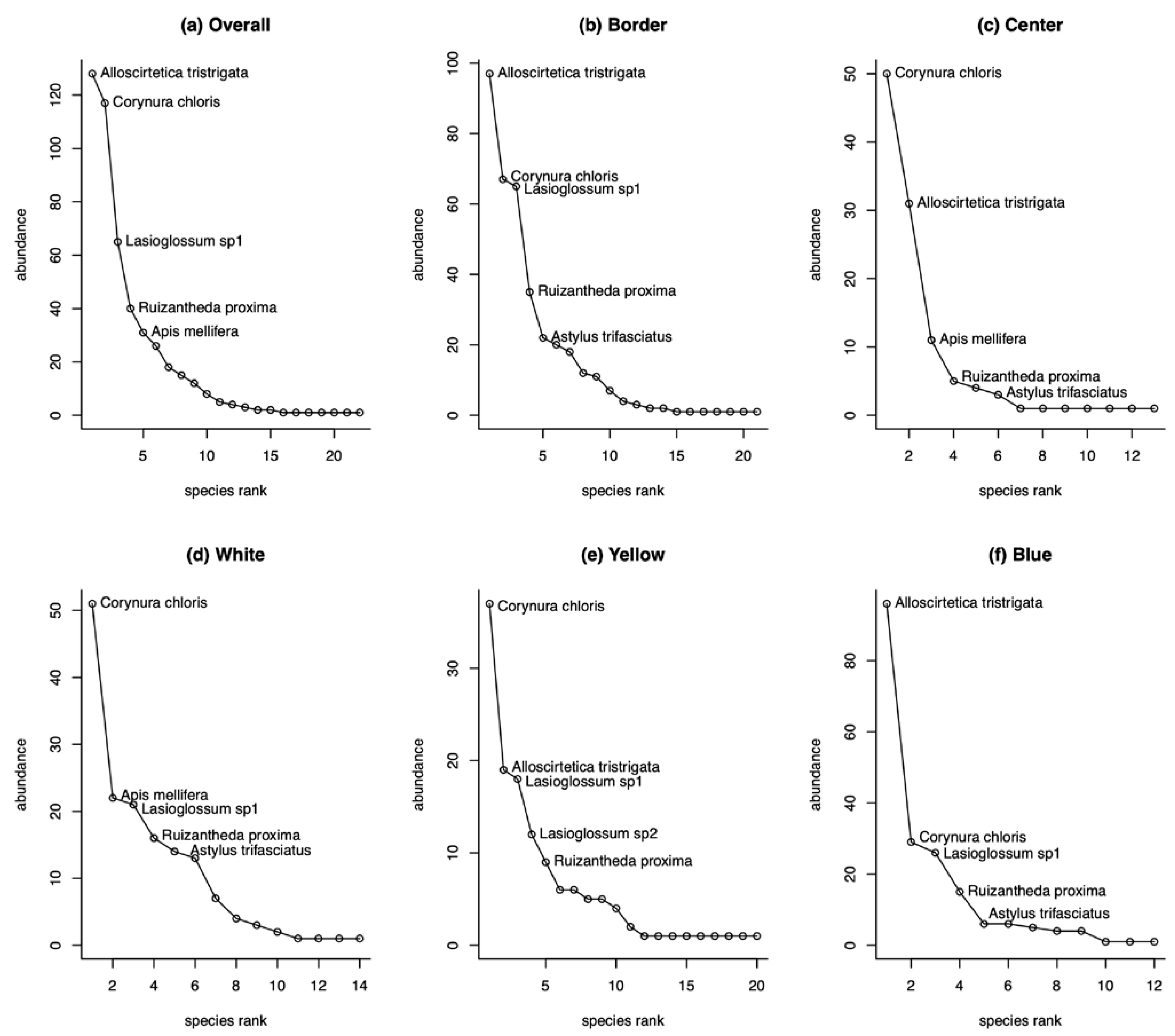
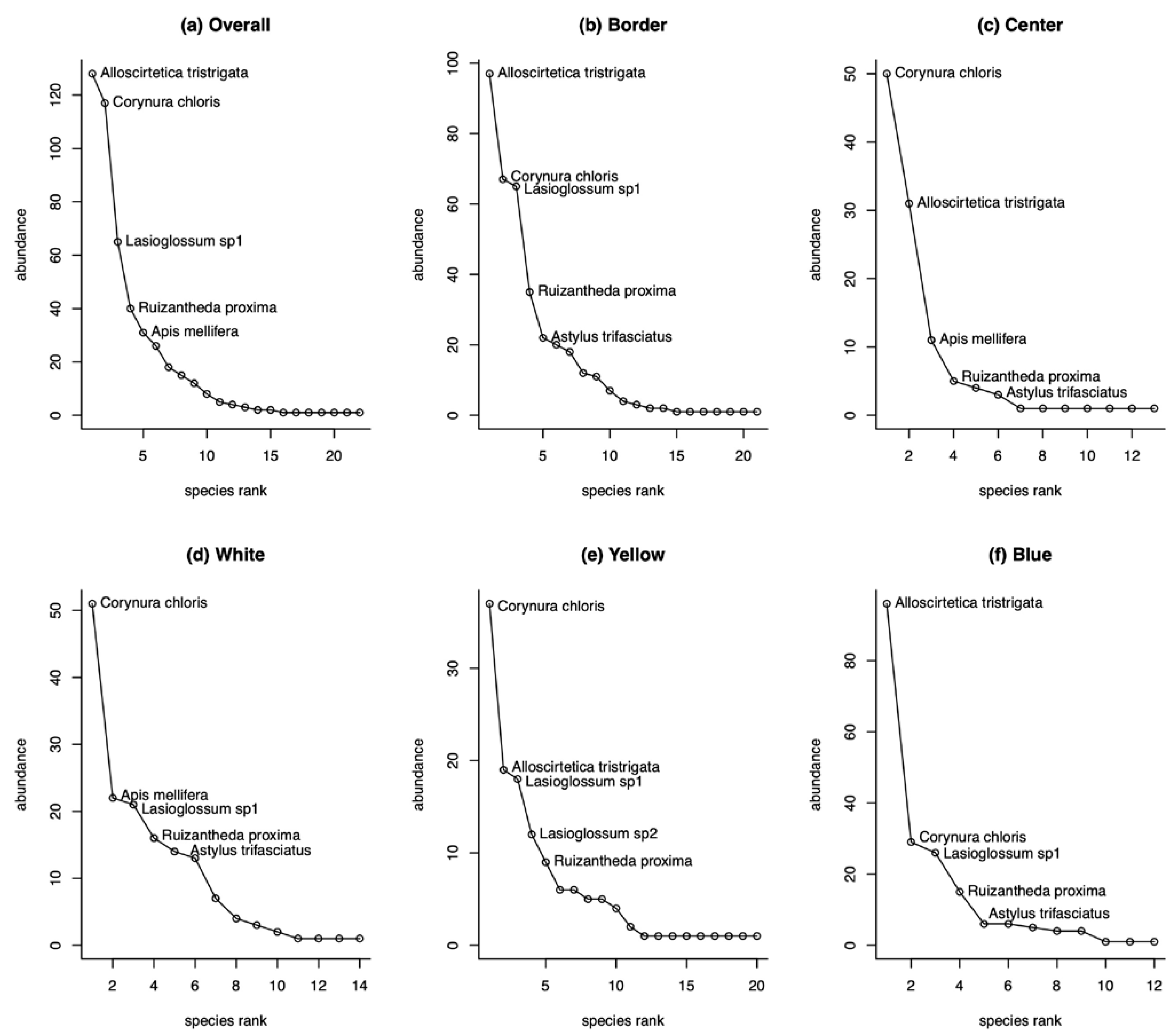
3.2. Canola Crop Insect Diversity
4. Discussion
5. Conclusions
Supplementary Materials
Author Contributions
Funding
Institutional Review Board Statement
Informed Consent Statement
Data Availability Statement
Acknowledgments
Conflicts of Interest
Appendix A
| Order | Family | Genus |
|---|---|---|
| Lepidoptera | All | All |
| Hemiptera | Lygaeidae | All |
| Coleoptera | Buprestidae | All |
| Melyridae | All | |
| Nitidulidae | All | |
| Chrysomelidae | All | |
| Cleridae | All | |
| Cantharidae | All | |
| Diptera | Syrphidae | All |
| Hymenoptera | Apidae | All |
| Colletidae | All | |
| Andrenidae | All | |
| Megachilidae | All | |
| Halictidae | All | |
| Formicidae | Camponotus | |
| Formicidae | Formica | |
| Formicidae | Iridomyrmex | |
| Formicidae | Leptothorax |
References
- Klein, A.M.; Vaissiere, B.E.; Cane, J.H.; Steffan-Dewenter, I.; Cunningham, S.A.; Kremen, C.; Tscharntke, T. Importance of pollinators in changing landscapes for world crops. Proc. R. Soc. B: Biol. Sci. 2007, 274, 303–313. [Google Scholar] [CrossRef] [PubMed]
- Kremen, C. The value of pollinator species diversity. Science 2018, 359, 741–742. [Google Scholar] [CrossRef] [PubMed]
- Potts, S.G.; Biesmeijer, J.C.; Kremen, C.; Neumann, P.; Schweiger, O.; Kunin, W.E. Global pollinator declines: Trends, impacts and drivers. Trends Ecol. Evol. 2010, 25, 345–353. [Google Scholar] [CrossRef] [PubMed]
- Vieli, L.; Murúa, M.M.; Flores-Prado, L.; Carvallo, G.O.; Valdivia, C.E.; Muschett, G.; Lopez-Aliste, M.; Andia, C.; Jofré-Perez, C.; Fontúrbel, F.E. Local actions to tackle a global problem: A multidimensional assessment of the pollination crisis in Chile. Diversity 2021, 13, 571. [Google Scholar] [CrossRef]
- Allen-Perkins, A.; Magrach, A.; Dainese, M.; Garibaldi, L.A.; Kleijn, D.; Rader, R.; Reilly, J.R.; Winfree, R.; Lundin, O.; McGrady, C.M.; et al. CropPol: A dynamic, open and global database on crop pollination. Ecology 2022, 103, e3614. [Google Scholar] [CrossRef]
- O’Connor, R.S.; Kunin, W.E.; Garratt, M.P.D.; Potts, S.G.; Roy, H.E.; Andrews, C.; Jones, C.M.; Peyton, J.M.; Savage, J.; Harvey, M.C.; et al. Monitoring insect pollinators and flower visitation: The effectiveness and feasibility of different survey methods. Methods Ecol. Evol. 2019, 10, 2129–2140. [Google Scholar] [CrossRef]
- Popic, T.J.; Davila, Y.C.; Wardle, G.M. Evaluation of common methods for sampling invertebrate pollinator assemblages: Net sampling out-perform pan traps. PLoS ONE 2013, 8, e66665. [Google Scholar] [CrossRef]
- Krauss, S.L.; Roberts, D.G.; Phillips, R.D.; Edwards, C. Effectiveness of camera traps for quantifying daytime and nighttime visitation by vertebrate pollinators. Ecol. Evol. 2018, 8, 9304–9314. [Google Scholar] [CrossRef]
- Naqvi, Q.; Wolff, P.J.; Molano-Flores, B.; Sperry, J.H. Camera traps are an effective tool for monitoring insect-plant interactions. Ecol. Evol. 2022, 12, e8962. [Google Scholar] [CrossRef]
- Vrdoljak, S.M.; Samways, M.J. Optimising coloured pan traps to survey flower visiting insects. J. Insect Conserv. 2012, 16, 345–354. [Google Scholar] [CrossRef]
- Hutchinson, L.A.; Oliver, T.H.; Breeze, T.D.; O’Connor, R.S.; Potts, S.G.; Roberts, S.P.M.; Garratt, M.P.D. Inventorying and monitoring crop pollinating bees: Evaluating the effectiveness of common sampling methods. Insect Conserv. Diver. 2022, 15, 299–311. [Google Scholar] [CrossRef]
- Krahner, A.; Schmidt, J.; Maixner, M.; Porten, M.; Schmitt, T. Evaluation of four different methods for assessing bee diversity as ecological indicators of agro-ecosystems. Ecol. Indic. 2021, 125, 107573. [Google Scholar] [CrossRef]
- Buffington, M.L.; Garretson, A.; Kula, R.R.; Gates, M.W.; Carpenter, R.; Smith, D.R.; Kula, A.A.R. Pan trap color preference across Hymenoptera in a forest clearing. Entomol. Exp. Appl. 2021, 169, 298–311. [Google Scholar] [CrossRef]
- Mendes, M.F.; Gottschalk, M.S.; Halinski, R.; Moreira, H.R.; Dalmorra, C.; Valente-Gaiesky, V.L.S. First report of colored pan traps to capture Drosophilidae (Diptera). Rev. Bras. Entomol. 2021, 65, e20210057. [Google Scholar] [CrossRef]
- Westerberg, L.; Berglund, H.L.; Jonason, D.; Milberg, P. Color pan traps often catch less when there are more flowers around. Ecol. Evol. 2021, 11, 3830–3840. [Google Scholar] [CrossRef] [PubMed]
- Saunders, M.E.; Luck, G.W. Pan trap catches of pollinator insects vary with habitat. Aust. J. Entomol. 2013, 52, 106–113. [Google Scholar] [CrossRef]
- Chittka, L.; Spaethe, J.; Schmidt, A.; Hickelsberger, A. Adaptation, constraint, and chance in the evolution of flower color and pollinator color vision. In Cognitive Ecology of Pollination: Animal Behavior and Floral Evolution; Chittka, L., Thomson, J., Eds.; Cambridge University Press.: Cambridge, UK, 2001; pp. 106–126. [Google Scholar]
- Westphal, C.; Bommarco, R.; Carre, G.; Lamborn, E.; Morison, N.; Petanidou, T.; Potts, S.G.; Roberts, S.P.M.; Szentgyorgyi, H.; Tscheulin, T.; et al. Measuring bee diversity in different European habitats and biogeographical regions. Ecol. Monogr. 2008, 78, 653–671. [Google Scholar] [CrossRef]
- Matthews, R.W.; Matthews, J.R. Insect Behavior; Springer: Dordrecht, The Netherlands, 2010; pp. 261–290. [Google Scholar]
- Mena-Mociño, L.; Pineda, S.; Connor, E.; Gemmill-Herren, B.; Azzu, N. Influence of trap-plate color and height on braconid (Hymenoptera: Braconidae) capture. Rev. Colomb. De Entomol. 2016, 42, 155–161. [Google Scholar] [CrossRef]
- Rodriguez-Saona, C.; Parra, L.; Quiroz, A.; Isaacs, R. Variation in highbush blueberry floral volatile profiles as a function of pollination status, cultivar, time of day and flower part: Implications for flower visitation by bees. Ann. Bot.-Lond. 2011, 107, 1377–1390. [Google Scholar] [CrossRef]
- Sánchez, R.; Espinoza, A.; Muro, A.; Gutiérrez, H. Growth and forage production of fall-winter canola (Brassica napus L.) in Zacatecas, Mexico. Rev. Fitotec. Mex. 2018, 41, 211–216. [Google Scholar]
- LeBuhn, G.; Droege, S.; Connor, E.; Gemmill-Herren, B.; Azzu, N. Protocol to Detect and Monitor Pollinator Communities: Guidance for Practitioners; Food and Agriculture Organization of the United Nations (FAO): Rome, Italy, 2016.
- Fontúrbel, F.E.; Rodríguez-Gómez, G.B.; Fernández, N.; García, B.; Orellana, J.I.; Castano-Villa, G.J. Sampling understory birds in different habitat types using point counts and camera traps. Ecol. Indic. 2020, 119, 106863. [Google Scholar] [CrossRef]
- Clarke, K.R. Non-parametric multivariate analysis of changes in community structure. Aust. J. Ecol. 1993, 18, 117–143. [Google Scholar] [CrossRef]
- R Development Core Team. R: A Language and Environment for Statistical Computing, Reference Index Version 4.0.5; Foundation for Statistical Computing: Vienna, Austria, 2021. [Google Scholar]
- Oksanen, J.; Blanchet, F.G.; Kindt, R.; Legendre, P.; Minchin, P.R.; O’Hara, R.B.; Simpson, G.L.; Solymos, P.; Stevens, M.H.H.; Wagner, H. Vegan: Community Ecology Package. R Package Version 2.0-10. Available online: https://CRAN.R-project.org/package=vegan:2013 (accessed on 11 January 2023).
- Kindt, R.; Coe, R. Tree Diversity Analysis: A Manual and Software for Common Statistical Methods for Ecological and Biodiversity Studies; World Agroforestry Centre: Nairobi, Kenya, 2005. [Google Scholar]
- López-Aliste, M.; Flores-Prado, L.; Ruz, L.; Sepulveda, Y.; Rodriguez, S.; Saraiva, A.M.; Fontúrbel, F.E. Wild bees of Chile: A database on taxonomy, sociality, and ecology. Ecology 2021, 102, e03377. [Google Scholar] [CrossRef]
- Henriquez-Piskulich, P.A.; Schapheer, C.; Vereecken, N.J.; Villagra, C. Agroecological strategies to safeguard insect pollinators in biodiversity hotspots: Chile as a case study. Sustainability 2021, 13, 6728. [Google Scholar] [CrossRef]
- Monzon, V.H.; Avendano-Soto, P.; Araujo, R.O.; Garrido, R.; Mesquita-Neto, J.N. Avocado crops as a floral resource for native bees of Chile. Rev. Chil. Hist. Nat. 2020, 93, art5. [Google Scholar] [CrossRef]
- Heneberg, P.; Bogusch, P. To enrich or not to enrich? Are there any benefits of using multiple colors of pan traps when sampling aculeate Hymenoptera? J. Insect Conserv. 2014, 18, 1123–1136. [Google Scholar] [CrossRef]
- Campbell, J.W.; Hanula, J.L. Efficiency of Malaise traps and colored pan traps for collecting flower visiting insects from three forested ecosystems. J. Insect Conserv. 2007, 11, 399–408. [Google Scholar] [CrossRef]
- Moreira, E.F.; Santos, R.L.D.; Penna, U.L.; Angel-Coca, C.; de Oliveira, F.F.; Viana, B.F. Are pan traps colors complementary to sample community of potential pollinator insects? J. Insect Conserv. 2016, 20, 583–596. [Google Scholar] [CrossRef]
- Acharya, R.S.; Leslie, T.; Fitting, E.; Burke, J.; Loftin, K.; Joshi, N.K. Color of pan trap influences sampling of bees in livestock pasture ecosystem. Biology 2021, 10, 445. [Google Scholar] [CrossRef]
- Garratt, M.P.D.; Coston, D.J.; Truslove, C.L.; Lappage, M.G.; Polce, C.; Dean, R.; Biesmeijer, J.C.; Potts, S.G. The identity of crop pollinators helps target conservation for improved ecosystem services. Biol. Conserv. 2014, 169, 128–135. [Google Scholar] [CrossRef]
- Potts, S.; Dauber, J.; Hochkirch, A.; Oteman, B.; Roy, D.; Ahrné, K.; Biesmeijer, K.; Breeze, T.; Carvell, C.; Ferreira, C. Proposal for an EU Pollinator Monitoring Scheme; Publications Office of the European Union: Luxembourg, 2021. [Google Scholar]
- Holzschuh, A.; Dormann, C.F.; Tscharntke, T.; Steffan-Dewenter, I. Expansion of mass-flowering crops leads to transient pollinator dilution and reduced wild plant pollination. Proc. R. Soc. B: Biol. Sci. 2011, 278, 3444–3451. [Google Scholar] [CrossRef] [PubMed]
- Reynolds, V.A.; Cunningham, S.A.; Rader, R.; Mayfield, M.M. Adjacent crop type impacts potential pollinator communities and their pollination services in remnants of natural vegetation. Divers. Distrib. 2022, 28, 1269–1281. [Google Scholar] [CrossRef]
- Portman, Z.M.; Bruninga-Socolar, B.; Cariveau, D.P. The state of bee monitoring in the United States: A call to refocus away from bowl traps and towards more effective methods. Ann. Entomol. Soc. Am. 2020, 113, 337–342. [Google Scholar] [CrossRef]
- Khalifa, S.A.M.; Elshafiey, E.H.; Shetaia, A.A.; Abd El-Wahed, A.A.; Algethami, A.F.; Musharraf, S.G.; AlAjmi, M.F.; Zhao, C.; Masry, S.H.D.; Abdel-Daim, M.M.; et al. Overview of bee pollination and its economic value for crop production. Insects 2021, 12, 688. [Google Scholar] [CrossRef]
- Wood, T.J.; Holland, J.M.; Goulson, D. A comparison of techniques for assessing farmland bumblebee populations. Oecologia 2015, 177, 1093–1102. [Google Scholar] [CrossRef] [PubMed]
- Garibaldi, L.A.; Steffan-Dewenter, I.; Kremen, C.; Morales, J.M.; Bommarco, R.; Cunningham, S.A.; Carvalheiro, L.G.; Chacoff, N.P.; Dudenhöffer, J.H.; Greenleaf, S.S. Stability of pollination services decreases with isolation from natural areas despite honey bee visits. Ecol. Lett. 2011, 14, 1062–1072. [Google Scholar] [CrossRef]
- Kevan, P. Floral colors through the insect eye: What they are and what they mean. In Handbook of Experimental Pollination Biology; Jones, C., Little, R., Eds.; Scientific and Academic Editions: New York, NY, USA, 1983; pp. 3–30. [Google Scholar]
- Boyer, K.J.; Fragoso, F.P.; Mabin, M.E.D.; Brunet, J. Netting and pan traps fail to identify the pollinator guild of an agricultural crop. Sci. Rep.-UK 2020, 10, 13819. [Google Scholar] [CrossRef]
- Nielsen, A.; Steffan-Dewenter, I.; Westphal, C.; Messinger, O.; Potts, S.G.; Roberts, S.P.M.; Settele, J.; Szentgyorgyi, H.; Vaissiere, B.E.; Vaitis, M.; et al. Assessing bee species richness in two Mediterranean communities: Importance of habitat type and sampling techniques. Ecol. Res. 2011, 26, 969–983. [Google Scholar] [CrossRef]
- Tuell, J.K.; Isaacs, R. Elevated pan traps to monitor bees in flowering crop canopies. Entomol. Exp. Appl. 2009, 131, 93–98. [Google Scholar] [CrossRef]
- Garibaldi, L.A.; Steffan-Dewenter, I.; Winfree, R.; Aizen, M.A.; Bommarco, R.; Cunningham, S.A.; Kremen, C.; Carvalheiro, L.G.; Harder, L.D.; Afik, O.; et al. Wild pollinators enhance fruit set of crops regardless of honey bee abundance. Science 2013, 339, 1608–1611. [Google Scholar] [CrossRef]
- Senapathi, D.; Frund, J.; Albrecht, M.; Garratt, M.P.D.; Kleijn, D.; Pickles, B.J.; Potts, S.G.; An, J.D.; Andersson, G.K.S.; Bansch, S.; et al. Wild insect diversity increases inter-annual stability in global crop pollinator communities. Proc. R. Soc. B: Biol. Sci. 2021, 288, 20210212. [Google Scholar] [CrossRef] [PubMed]






| Species | Ind. Contrib | AbundB | AbundC | Cum Dissim |
|---|---|---|---|---|
| Corynura chloris | 0.197 (0.169) | 0.667 | 6.500 | 0.232 *** |
| Alloscirtetica tristrigata | 0.171 (0.211) | 0.000 | 7.111 | 0.433 *** |
| Apis mellifera | 0.117 (0.146) | 3.722 | 1.722 | 0.571 ns |
| Lasioglossum sp. | 0.088 (0.102) | 0.389 | 3.611 | 0.674 ** |
| Astylus trifasciatus | 0.069 (0.075) | 1.778 | 1.444 | 0.755 ns |
| Ruizantheda proxima | 0.062 (0.069) | 0.167 | 2.222 | 0.828 ** |
| Comparison | Level | S | H’ | J |
|---|---|---|---|---|
| Overall | 13 | 1.362 | 0.716 | |
| Position | Center | 10 | 1.243 | 0.708 |
| Border | 6 | 1.481 | 0.795 | |
| Color | White | 8 | 1.055 | 0.451 |
| Yellow | 11 | 1.910 | 0.902 | |
| Blue | 6 | 1.121 | 0.795 | |
| Comparison | Level | S | H’ | J |
|---|---|---|---|---|
| Overall | 22 | 1.711 | 0.553 | |
| Position | Center | 13 | 1.384 | 0.534 |
| Border | 12 | 2.037 | 0.490 | |
| Color | White | 14 | 1.624 | 0.546 |
| Yellow | 20 | 2.030 | 0.622 | |
| Blue | 12 | 1.478 | 0.490 | |
Disclaimer/Publisher’s Note: The statements, opinions and data contained in all publications are solely those of the individual author(s) and contributor(s) and not of MDPI and/or the editor(s). MDPI and/or the editor(s) disclaim responsibility for any injury to people or property resulting from any ideas, methods, instructions or products referred to in the content. |
© 2023 by the authors. Licensee MDPI, Basel, Switzerland. This article is an open access article distributed under the terms and conditions of the Creative Commons Attribution (CC BY) license (https://creativecommons.org/licenses/by/4.0/).
Share and Cite
Jaques, S.A.; Jofré-Pérez, C.; Murúa, M.M.; Vieli, L.; Fontúrbel, F.E. Crop-Specific Effects on Pan-Trap Sampling of Potential Pollinators as Influenced by Trap Color and Location. Agronomy 2023, 13, 552. https://doi.org/10.3390/agronomy13020552
Jaques SA, Jofré-Pérez C, Murúa MM, Vieli L, Fontúrbel FE. Crop-Specific Effects on Pan-Trap Sampling of Potential Pollinators as Influenced by Trap Color and Location. Agronomy. 2023; 13(2):552. https://doi.org/10.3390/agronomy13020552
Chicago/Turabian StyleJaques, Solange A., Christian Jofré-Pérez, Maureen M. Murúa, Lorena Vieli, and Francisco E. Fontúrbel. 2023. "Crop-Specific Effects on Pan-Trap Sampling of Potential Pollinators as Influenced by Trap Color and Location" Agronomy 13, no. 2: 552. https://doi.org/10.3390/agronomy13020552
APA StyleJaques, S. A., Jofré-Pérez, C., Murúa, M. M., Vieli, L., & Fontúrbel, F. E. (2023). Crop-Specific Effects on Pan-Trap Sampling of Potential Pollinators as Influenced by Trap Color and Location. Agronomy, 13(2), 552. https://doi.org/10.3390/agronomy13020552

