Evaluation of 41 Cowpea Lines Sown on Different Dates in Southern China
Abstract
1. Introduction
2. Materials and Methods
2.1. Plant Materials
2.2. Field Trial Design
2.3. Evaluation of Agronomic Traits
2.4. Statistical Analysis
3. Results
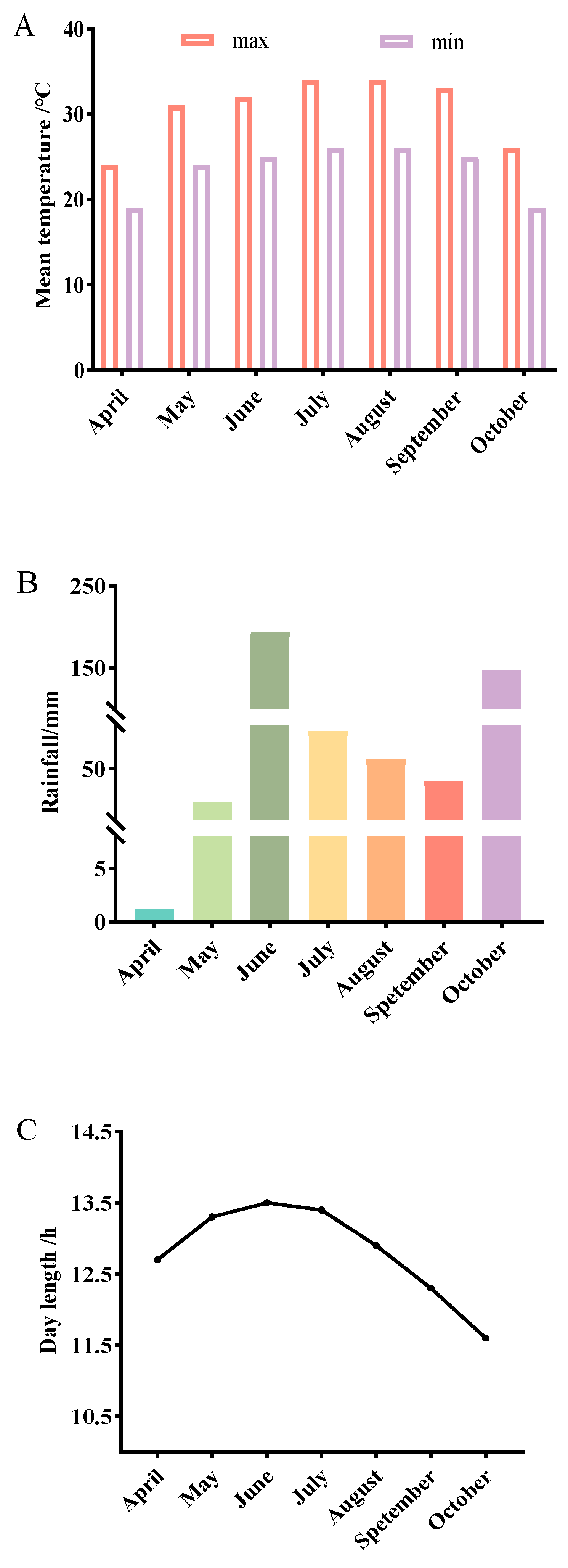
3.1. Climate Conditions in Wuming
3.2. Analysis of Phenotypic Traits across Sowing Seasons
3.3. Variations among Lines across Sowing Seasons
3.4. Principal Component Analysis of Traits
3.5. AMMI Model Analysis
3.6. Selection of Cowpea Lines Suitable for Local Production
4. Discussion
Supplementary Materials
Author Contributions
Funding
Data Availability Statement
Conflicts of Interest
References
- Boukar, O.; Abberton, M.; Oyatomi, O.; Togola, A.; Tripathi, L.; Fatokun, C. Introgression breeding in cowpea [Vigna unguiculata (L.) Walp.]. Front. Plant Sci. 2020, 11, 567425. [Google Scholar] [CrossRef] [PubMed]
- Huynh, B.L.; Ehlers, J.D.; Ndeve, A.; Wanamaker, S.; Lucas, M.R.; Close, T.J.; Roberts, P.A. Genetic mapping and legume synteny of aphid resistance in African cowpea (Vigna unguiculata L. Walp.) grown in California. Mol. Breed 2015, 35, 36. [Google Scholar] [CrossRef] [PubMed]
- Sombié, P.A.E.D.; Compaoré, M.; Coulibaly, A.Y.; Ouédraogo, J.T.; Tignégré, J.S.; Kiendrébéogo, M. Antioxidant and phytochemical studies of 31 Cowpeas (Vigna unguiculata (Walp L.)) genotypes from Burkina. Foods 2018, 7, 143. [Google Scholar] [CrossRef] [PubMed]
- Ginka, A.A.; Tsvetelina, D.S.; Maria, M.I. Proximate and lipid composition of cowpea (Vigna unguiculata L.) cultivated in Bulgaria. J. Food Compos. Anal. 2014, 33, 146–152. [Google Scholar]
- Carvalho, M.; Lino-Neto, T.; Rosa, E.; Carnide, V. Cowpea: A legume crop for a challenging environment. J. Sci. Food Agric. 2017, 97, 4273–4284. [Google Scholar] [CrossRef] [PubMed]
- Goncalves, A.; Goufo, P.; Barros, A.; Domínguez-Perles, R.; Trindade, H.; Rosa, E.A.S.; Ferreira, L.; Rodrigues, M. Cowpea (Vigna unguiculata L. Walp), a renewed multipurpose crop for a more sustainable agri-food system: Nutritional advantages and constraints. J. Sci. Food Agric. 2016, 96, 2941–2951. [Google Scholar] [CrossRef]
- FAOSTAT [EB/OL]. Available online: https://www.fao.org/faostat/zh/#data (accessed on 1 September 2022).
- Zhu, X.G.; Long, S.P.; Ort, D.R. Improving photosynthetic efficiency for greater yield. Annu. Rev. Plant Biol. 2010, 61, 235–261. [Google Scholar] [CrossRef] [PubMed]
- Peng, S.B.; Huang, J.L.; Sheehy, J.E.; Laza, R.C.; Visperas, R.M.; Zhong, X.H.; Centeno, G.S.; Khush, G.S.; Cassman, K.G. Rice yields decline with higher night temperature from global warming. Proc. Natl. Acad. Sci. USA 2004, 101, 9971–9975. [Google Scholar] [CrossRef] [PubMed]
- Lobell, D.B.; Field, C.B. Global scale climate–Crop yield relationships and the impacts of recent warming. Environ. Res. Lett. 2007, 2, 14002. [Google Scholar] [CrossRef]
- Timko, M.P.; Rushton, P.J.; Laudeman, T.W.; Bokowiec, M.T.; Chipumuro, E.; Cheung, F.; Town, C.D.; Chen, X.F. Sequencing and analysis of the gene-rich space of cowpea. BMC Genomics 2008, 9, 103. [Google Scholar] [CrossRef] [PubMed]
- Tlahig, S.; Bellani, L.; Karmous, I.; Barbieri, F.; Loumerem, M.; Muccifora, S. Response tosalinity in legume species: An insight on the effects of salt stress during seed germination and seedling growth. Chem. Biodivers. 2021, 18, e2000917. [Google Scholar] [CrossRef] [PubMed]
- Carvalho, M.; Castro, I.; Moutinho-Pereira, J.; Correia, C.; Egea-Cortines, M.; Matos, E.; Rosa, E.; Carnide, V.; Lino-Neto, T. Evaluating stress responses in cowpea under drought stress. J. Plant Physiol. 2019, 241, 153001. [Google Scholar] [CrossRef] [PubMed]
- Ogundele, O.M.; Gbashi, S.; Oyeyinka, S.A.; Kayitesi, E.; Adebo, O.A. Optimization of infrared heating conditions for precooked cowpea production using response surface methodology. Molecules 2021, 26, 6137. [Google Scholar] [CrossRef]
- Ji, J.; Zhang, C.; Sun, Z.; Wang, L.L.; Duanmu, D.Q.; Fan, Q.L. Genome editing in cowpea Vigna unguiculata using CRISPR-Cas9. Int. J. Mol. Sci. 2019, 20, 2471. [Google Scholar] [CrossRef]
- Zou, X.J.; Liu, Z.Q.; Niu, S.W. Preliminaryreport on fertilizer saving and benefit increasing experiment of peanut cowpea intercropping system. South China Agric. 2019, 13, 3–4. [Google Scholar]
- Niu, Y.; Bo, X.F.; Qin, Z.X.; Meng, Q.X. Effects of different legume intercropping on sapling growth, soil properties and soil microbial population in cherry orchard. Northern Horticultur. 2019, 4, 38–44. [Google Scholar]
- Wang, H.N.; Shang, C.; Shao, J.Z.; Sun, J.S. Effects of intercropping with cowpea (Vigna unguiculata L. Walp) on physiological parameters and frost hardiness of young apple tree. J. Agric. Univ. Hebei 2013, 36, 26–30. [Google Scholar]
- Gong, D.; Luo, G.L.; Zhang, X.Y.; Zhu, X.; Yin, Z.G.; Wang, S.H.; Sha, A.H.; Wang, L.X. Assessment of adaptability for 34 new cultivars of cowpea under different eco-environments. Crops 2022, 2, 89–95. [Google Scholar]
- Zhang, P.; Wang, S.H.; Pan, X.W.; Gong, D.; Chen, H.L.; Cheng, X.Z.; Wang, L.X. The breeding of new cowpea cultivar Zhongjiang No 10. China Seeds 2022, 5, 89–90. [Google Scholar]
- Wang, P.Z.; Li, X.X. Descriptors and Data Standard for Cowpea [Vigna unguiculata (L.) Walp.]; China Agriculture Press: Beijing, China, 2006. [Google Scholar]
- Wang, J.K.; Li, H.H.; Zhang, L.Y.; Lei, M. Version 4.1 of QTL IciMapping: Integrated software for genetic linkage map construction and QTL mapping in bi-parental populations. In Proceedings of the 7th International Crop Science Congress (7th ICSC), Beijing, China, 14–19 August 2016. [Google Scholar]
- Cheng, X.Z.; Wang, S.M. Edible Beans Cultivars in China; China Agricultural Science and Technology Press: Beijing, China, 2009. [Google Scholar]
- Ke, F.L.; Ma, X.L. Responses of maize hybrids with contrasting maturity to planting date in Northeast China. Sci. Rep. 2021, 11, 15776. [Google Scholar] [CrossRef]
- Lamari, N.; Zhendre, V.; Urrutia, M.; Bernillon, S.; Maucourt, M.; Deborde, C.; Prodhomme, D.; Jacob, D.; Ballias, P.; Rolin, D.; et al. Metabotyping of 30 maize hybrids under early-sowing conditions reveals potential marker-metabolites for breeding. Metabolomics 2018, 14, 132. [Google Scholar] [CrossRef] [PubMed]
- Ahmed, M.; Fayyaz-ul-Hassan. Response of spring wheat (Triticum aestivum L.) quality traits and yield to sowing date. PLoS ONE 2015, 10, e126097. [Google Scholar] [CrossRef] [PubMed]
- Srikanth, A.; Schmid, M. Regulation of flowering time: All roads lead to Rome. Cell Mol. Life Sci. 2011, 68, 2013–2037. [Google Scholar] [CrossRef]
- Tuttolomondo, T.; Virga, G.; Rossini, F.; Anastasi, U.; Licata, M.; Gresta, F.; Bella, S.L.; Santonoceto, C. Effects of environment and sowing time on growth and yield of upland cotton (Gossypium hirsutum L.) cultivars in Sicily (Italy). Plants 2020, 9, 1209. [Google Scholar] [CrossRef]
- Richards, M.F.; Preston, A.L.; Napier, T.; Jenkins, L.; Maphosa, L. Sowing date affects the timing and duration of key chickpea (Cicer arietinum L.) crowth phases. Plants 2020, 9, 1257. [Google Scholar] [CrossRef] [PubMed]
- Khan, A. Planting density and sowing date strongly influence growth and lint yield of cotton crops. Field Crops Res. 2017, 209, 129–135. [Google Scholar] [CrossRef]
- Yoldas, F.; Esiyok, D. Effects of sowing dates and cultural treatments on growth, quality and yield of processing beans. Pak. J. Biol. Sci. 2007, 10, 2470–2474. [Google Scholar] [CrossRef] [PubMed]
- Zu, Y.X.; Guo, J.; Gu, M.F.; Wu, Y.C.; Mei, Y.; Zheng, J.Q. Effects of sowing date and density on yield and some yield characters of red cowpea. Jiangsu Agric. Sci. 2010, 6, 252–253. [Google Scholar]
- Yin, L.j.; Dai, X.L.; He, M.R. Delayed sowing improves nitrogen utilization efficiency in winter wheat without impacting yield. Field Crops Res. 2018, 221, 166–174. [Google Scholar] [CrossRef]
- Gormus, O.; Yucel, C. Different planting date and potassium fertility effects on cotton yield and fiber properties in the çukurova region, Turkey. Field Crops Res. 2022, 78, 141–149. [Google Scholar] [CrossRef]
- Ferrise, R.; Triossi, A.; Stratonovitch, P.; Bindi, M.; Martre, P. Sowing date and nitrogen fertilization effects on dry matter and nitrogen dynamics for durum wheat: An experimental and simulation study. Field Crops Res. 2010, 117, 245–257. [Google Scholar] [CrossRef]
- Liu, K.Z.; Zhang, C.X.; Guan, B.B.; Yang, R.; Liu, K.; Wang, Z.Z.; Li, X.; Xue, K.Y.; Yin, L.J.; Wang, X.Y. The effect of different sowing dates on dry matter and nitrogen dynamics for winter wheat: An experimental simulation study. PeerJ. 2021, 9, e11700. [Google Scholar] [CrossRef] [PubMed]
- Lu, D.L.; Shen, X.; Cai, X.M.; Yan, F.B.; Lu, W.P.; Cheng-Shi, Y. Effects of heat stress during grain filling on the structure and thermal properties of waxy maize starch. Food Chem. 2014, 143, 313–318. [Google Scholar] [CrossRef]
- Zhang, C.M.; Zhao, K.; Tang, S.; Li, Z.S.; Chen, M.; Zhou, Z.G.; Zhou, S.M. Correlation, Principal component and cluster analysis of agronomic traits of six cowpea varieties. Southwest China J. Agric. Sci. 2021, 34, 501–507. [Google Scholar]
- Gilmour, A. Statistical analysis of regional yield trials AMMI analysis of factorial designs. Agric. Ecosyst. Environ. 1994, 48, 307–308. [Google Scholar] [CrossRef]
- Wang, H.X.; Shan, F.H.; Tian, L.P.; Ma, Q.Y.; Zhao, C.P.; Zhang, F.T. Analysis of stability of winter wheat varieties in the regional trails of the northern wheat region of China. Crops 2018, 5, 40–44. [Google Scholar]
- Hasan, M.J.; Kulsum, M.U.; Sarker, U.; Matin, M.Q.I.; Shahin, N.H.; Kabir, M.S.; Ercisli, S.; Marc, R.A. Assessment of GGE, AMMI, Regression, and its deviation model to identify stable rice hybrids in Bangladesh. Plants 2022, 11, 2336. [Google Scholar] [CrossRef]
- Bishwas, K.C.; Poudel, M.R.; Regmi, D. AMMI and GGE biplot analysis of yield of different elite wheat line under terminal heat stress and irrigated environments. Heliyon 2021, 7, e7206. [Google Scholar]
- Shojaei, S.H.; Mostafavi, K.; Omrani, A.; Omrani, S.; Mousavi, S.M.N.; Illés, A.; Bojtor, C.; Nagy, J. Yield stability analysis of maize (Zea mays L.) hybrids using parametric and AMMI methods. Scientifica 2021, 2021, 5576691. [Google Scholar] [CrossRef]
- Farias, F.J.; Carvalho, L.P.; Silva, F.J.L.; Teodoro, P.E. Biplot analysis of phenotypic stability in upland cotton genotypes in Mato Grosso. Genet Mol Res. 2016, 15, gmr8009. [Google Scholar] [CrossRef]


| Cowpea Lines | Seed Coat Color | Flower Color | Cowpea Lines | Seed Coat Color | Flower Color |
|---|---|---|---|---|---|
| 21BJ–1 | white with black hilum | white | 21BJ–22 | white with red hilum | lavender |
| 21BJ–2 | black | white | 21BJ–23 | red | lavender |
| 21BJ–3 | white with black hilum | dark purple | 21BJ–24 | white with red hilum | purple |
| 21BJ–4 | white with black hilum | white | 21BJ–25 | red and white | pterygoid valve with purple spot |
| 21BJ–5 | black and white | pterygoid valve with purple spot | 21BJ–26 | white with red hilum | lavender |
| 21BJ–6 | black and white | pterygoid valve with purple spot | 21BJ–27 | white with light red hilum | lavender |
| 21BJ–7 | white with black hilum | white | 21BJ–28 | white with light red hilum | lavender |
| 21BJ–8 | white with black hilum | white | 21BJ–29 | white with red hilum | white |
| 21BJ–9 | white with black hilum | white | 21BJ–30 | white with purplish red hilum | white |
| 21BJ–10 | white with black hilum | white | 21BJ–31 | white with red hilum | white |
| 21BJ–11 | white with black hilum | White | 21BJ–32 | white with red hilum | white |
| 21BJ–12 | white with light red hilum | white | 21BJ–33 | white with light red hilum | purple |
| 21BJ–13 | white and black | pterygoid valve with purple spot | 21BJ–34 | red | lavender |
| 21BJ–14 | light red | purple | 21BJ–35 | black | purple |
| 21BJ–15 | light red and white | pterygoid valve with purple spot | 21BJ–36 | black | white |
| 21BJ–16 | light red and white | pterygoid valve with purple spot | 21BJ–37 | black | purple |
| 21BJ–17 | white with light red hilum | white | 21BJ–38 | black | purple |
| 21BJ–18 | light red and white | pterygoid valve with purple spot | ZJ–1 | red | purple |
| 21BJ–19 | white and black | pterygoid valve with purple spot | GX18–11 | red | purple |
| 21BJ–20 | white with black hilum | white | GX18–21 | white with black hilum | white |
| 21BJ–21 | white with black hilum | white |
| Trait | Range | Mean Value | CV (%) | ||||||
|---|---|---|---|---|---|---|---|---|---|
| SpS | SuS | AuS | SpS | SuS | AuS | SpS | SuS | AuS | |
| GP(d) | 63.0–76.0 | 49.0–53.0 | 55.0–62.0 | 69.2 a | 51.0 c | 59.7 b | 6.6 | 2.9 | 3.3 |
| PH (cm) | 48.5–160.6 | 38.7–74.1 | 33.5–101.5 | 103.7 a | 57.8 b | 62.4 b | 27.5 | 13.7 | 31.2 |
| NBP (unit) | 1.3–5.0 | 1.8–5.4 | 1.2–3.1 | 3.1 a | 3.4 a | 2.5 b | 24.7 | 21.4 | 23.5 |
| NPP (unit) | 13.4–40.9 | 6.2–22.8 | 11.9–22.4 | 22.0 a | 13.6 c | 15.9 b | 26.7 | 28.8 | 14.6 |
| NSP (unit) | 8.7–16.1 | 6.1–14.6 | 8.9–14.9 | 13.1 a | 10.5 c | 12.2 b | 10.1 | 17.0 | 11.1 |
| PL (cm) | 11.3–25.4 | 11.1–21.6 | 11.2–21.3 | 17.1 a | 15.3 b | 16.1 ab | 16.3 | 14.5 | 15.4 |
| PW (cm) | 0.4–0.9 | 0.5–0.9 | 0.6–1.0 | 0.8 a | 0.8 a | 0.8 a | 12.9 | 12.4 | 10.2 |
| 100-SW(g) | 9.0–17.1 | 8.1–17.2 | 9.2–17.0 | 13.0 ab | 12.5 b | 14.0 a | 16.9 | 19.7 | 18.8 |
| PY (kg) | 3.1–9.6 | 1.2–3.2 | 2.2–5.7 | 5.6 a | 2.3 c | 3.9 b | 25.7 | 27.0 | 23.6 |
| Source of Variation | Df | Traits | ||||||
|---|---|---|---|---|---|---|---|---|
| PH | NBP | NPP | NSP | PL | PW | 100-SW | ||
| Blocks | 3 | 533.07 *** | 0.45 | 15.76 | 3.39 | 1.97 | 0.00 * | 2.30 * |
| Genotype(G) | 2 | 2114.57 *** | 1.60 *** | 35.53 *** | 5.80 *** | 34.16 *** | 0.03 *** | 30.84 *** |
| Date(D) | 40 | 46043.12 *** | 17.90 *** | 1583.99 *** | 155.82 *** | 64.82 *** | 0.03 *** | 57.11 *** |
| G × D | 80 | 529.27 *** | 0.67 ** | 39.50 *** | 3.73 *** | 2.14 *** | 0.01 *** | 2.35 *** |
| Error | 120 | 52.40 | 0.36 | 9.47 | 1.41 | 0.85 | 0.00 | 0.80 |
| Agronomic Trait | Sowing Season | SuS | AuS |
|---|---|---|---|
| GP | SpS | 0.62 ** | 0.71 ** |
| SuS | - | 0.68 ** | |
| PH | SpS | 0.59 ** | 0.62 ** |
| SuS | - | 0.47 ** | |
| NBP | SpS | 0.35 * | 0.54 ** |
| SuS | 0.21 | ||
| NPP | SpS | −0.19 | 0.36 * |
| SuS | −0.03 | ||
| NSP | SpS | 0.21 | 0.32 * |
| SuS | 0.10 | ||
| PL | SpS | 0.85 ** | 0.87 ** |
| SuS | 0.78 ** | ||
| PW | SpS | 0.46 ** | 0.57 ** |
| SuS | 0.52 ** | ||
| 100-SW | SpS | 0.78 ** | 0.85 ** |
| SuS | 0.74 ** | ||
| PY | SpS | −0.06 | 0.48 ** |
| SuS | −0.20 |
| Trait | Principal Components | ||
|---|---|---|---|
| PC1 | PC2 | PC3 | |
| GP | 0.90 | 0.01 | −0.13 |
| PH | 0.80 | 0.38 | −0.05 |
| NBP | −0.20 | 0.43 | −0.36 |
| NPP | −0.30 | 0.65 | −0.50 |
| NSP | −0.20 | 0.59 | 0.41 |
| PL | −0.15 | 0.57 | 0.65 |
| PW | 0.80 | 0.05 | 0.31 |
| 100-SW | 0.01 | −0.30 | −0.02 |
| PY | 0.59 | 0.68 | −0.20 |
| Eigen values | 3.43 | 1.97 | 1.12 |
| Contribution rate (%) | 38.06 | 21.93 | 12.48 |
| Accumulative contribution rate (%) | 38.06 | 59.99 | 72.47 |
| Sowing Season | Lines | Traits | ||
|---|---|---|---|---|
| Yield (kg/666.67m3) | Growth Period (d) | Plant Height (cm) | ||
| Spring | BJ–25 | 332.5 | 70.0 | 76.8 |
| BJ–31 | 286.9 | 64.0 | 69.5 | |
| Summer | BJ–8 | 131.2 | 51.0 | 42.2 |
| BJ–22 | 133.9 | 49.0 | 50.8 | |
| BJ–23 | 125.1 | 49.0 | 48.7 | |
| BJ–32 | 124.9 | 49.0 | 52.4 | |
| Autumn | BJ–28 | 201.4 | 61.0 | 49.0 |
| BJ–29 | 202.9 | 58.0 | 55.6 | |
| BJ–33 | 217.9 | 61.0 | 58.8 | |
Disclaimer/Publisher’s Note: The statements, opinions and data contained in all publications are solely those of the individual author(s) and contributor(s) and not of MDPI and/or the editor(s). MDPI and/or the editor(s) disclaim responsibility for any injury to people or property resulting from any ideas, methods, instructions or products referred to in the content. |
© 2023 by the authors. Licensee MDPI, Basel, Switzerland. This article is an open access article distributed under the terms and conditions of the Creative Commons Attribution (CC BY) license (https://creativecommons.org/licenses/by/4.0/).
Share and Cite
Gong, D.; Jia, L.; Luo, G.; Chen, Y.; Wang, S.; Wang, L. Evaluation of 41 Cowpea Lines Sown on Different Dates in Southern China. Agronomy 2023, 13, 551. https://doi.org/10.3390/agronomy13020551
Gong D, Jia L, Luo G, Chen Y, Wang S, Wang L. Evaluation of 41 Cowpea Lines Sown on Different Dates in Southern China. Agronomy. 2023; 13(2):551. https://doi.org/10.3390/agronomy13020551
Chicago/Turabian StyleGong, Dan, Long Jia, Gaoling Luo, Yanhua Chen, Suhua Wang, and Lixia Wang. 2023. "Evaluation of 41 Cowpea Lines Sown on Different Dates in Southern China" Agronomy 13, no. 2: 551. https://doi.org/10.3390/agronomy13020551
APA StyleGong, D., Jia, L., Luo, G., Chen, Y., Wang, S., & Wang, L. (2023). Evaluation of 41 Cowpea Lines Sown on Different Dates in Southern China. Agronomy, 13(2), 551. https://doi.org/10.3390/agronomy13020551

